Chemical Ecology of Host- and Mate-Finding in the Cypress Bark Beetle Phloeosinus aubei, with Notes on Congeneric Species
Simple Summary
Abstract
1. Introduction
2. Chemical Ecology of Bark Beetles: General Concepts and Historical Background
3. Biology of Bark Beetles Associated with Cupressaceae
3.1. Taxonomy, Host Plants, Pest Status and Original Distribution
3.2. Life Cycle
3.3. Area Expansion and Pest Status of Invasive Species in Europe
3.4. Risk of Phloeosinus Bark Beetles in North America
4. Chemical Ecology of Phloeosinus aubei
4.1. Mating Behavior
4.2. Host Plant Kairomones
4.3. Pheromones
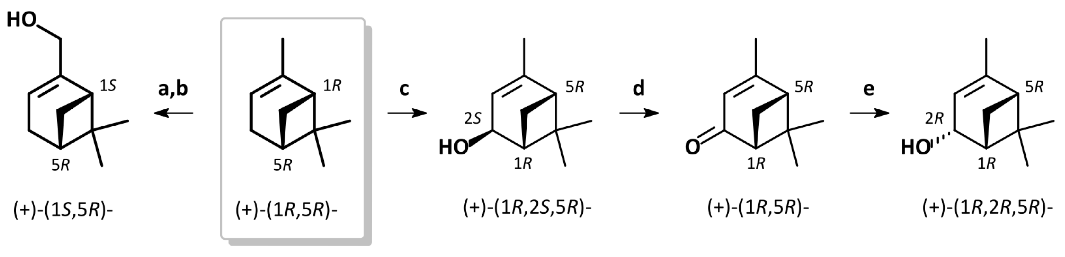
4.4. Identification and Enantioselective Synthesis of Pheromone Compounds
4.5. Biosynthetic Considerations
5. Conclusions
Author Contributions
Funding
Data Availability Statement
Conflicts of Interest
References
- Butenandt, A.; Beckman, R.; Stamm, D.; Hecker, E. Über den Sexualstoffe des Seidenspinners Bombyx mori. Reindarstellung und Konstitution. Z. Naturforsch. B 1959, 14, 283–284. [Google Scholar] [CrossRef]
- Rudinsky, J.A. Scolytid beetles associated with douglas fir: Response to terpenes. Science 1966, 152, 218–219. [Google Scholar] [CrossRef]
- Silverstein, R.M.; Rodin, J.O.; Wood, D.L. Sex attractants in frass produced by male Ips confusus in ponderosa pine. Science 1966, 154, 509–510. [Google Scholar] [CrossRef]
- Silverstein, R.M.; Rodin, J.O.; Wood, D.L.; Browne, L.E. Identification of two new terpene alcohols from frass produced by Ips confusus in ponderosa pine. Tetrahedron 1966, 22, 1929–1936. [Google Scholar] [CrossRef]
- Vité, J.P.; Pitman, G.B. Insect and host odors in the aggregation of the western pine beetle. Can. Entomol. 1969, 101, 113–117. [Google Scholar] [CrossRef]
- Silverstein, R.M.; Brownlee, R.G.; Bellas, T.E.; Wood, D.L.; Browne, L.E. Brevicomin: Principal sex attractant in the frass of the female western pine beetle. Science 1968, 159, 889–891. [Google Scholar] [CrossRef]
- Bakke, A. Spruce bark beetle, Ips typographus: Pheromone production and field response to synthetic pheromones. Naturwissenschaften 1976, 63, 92. [Google Scholar] [CrossRef]
- Vité, J.P.; Renwick, J.A.A. Inhibition of Dendroctonus frontalis response to frontalin by isomers of brevicomin. Naturwissenschaften 1971, 58, 418. [Google Scholar] [CrossRef]
- Vité, J.P.; Pitman, G.B. Aggregation behaviour of Dendroctonus brevicomis in response to synthetic pheromones. J. Insect Physiol. 1969, 15, 1617–1622. [Google Scholar] [CrossRef]
- Renwick, J.A.A.; Vité, J.P. Bark beetle attractants: Mechanism of colonization by Dendroctonus frontalis. Nature 1969, 224, 1222–1223. [Google Scholar] [CrossRef]
- Schlyter, F.; Birgersson, G.A. Chapter 6. Forest beetles. 113-148. In Pheromones of Non-Lepidopteran Insects; Hardie, J., Minks, A.K., Eds.; CABI Publishing: Wallingford, UK, 1999; p. 466. [Google Scholar]
- Rudinsky, J.A. Multiple functions of the southern pine beetle pheromone verbenone. Environ. Entomol. 1973, 2, 511–514. [Google Scholar] [CrossRef]
- Rudinsky, J.A. Multiple functions of the douglas fir beetle pheromone 3-methyl-2-cyclohexen-1-one. Environ. Entomol. 1973, 2, 579–585. [Google Scholar] [CrossRef]
- Stewart, T.E.; Plummer, E.L.; McCandless, L.L.; West, J.R.; Silverstein, R.M. Determination of enantiomer composition of several bicyclic ketal insect pheromone components. J. Chem. Ecol. 1977, 3, 27–43. [Google Scholar] [CrossRef]
- Payne, T.L.; Richerson, J.V.; Dickens, J.C.; West, J.R.; Mori, K.; Berisford, C.W.; Hedden, R.L.; Vité, J.P.; Blum, M.S. Southern pine beetle: Olfactory receptor and behavior discrimination of enantiomers of the attractant pheromone frontalin. J. Chem. Ecol. 1982, 8, 873–881. [Google Scholar] [CrossRef]
- Vité, J.P.; Billings, R.F.; Ware, C.W.; Mori, K. Southern pine beetle: Enhancement or inhibition of aggregation response mediated by enantiomers of endo-brevicomion. Naturwissenschaften 1985, 72, 99–100. [Google Scholar] [CrossRef]
- Renwick, J.A.A.; Hughes, P.R.; Krull, I.S. Selective production of cis- and trans-verbenol from (-)-and (+)-α-pinene by a bark beetle. Science 1976, 191, 199–201. [Google Scholar] [CrossRef]
- Klimetzek, D.; Francke, W. Relationship between the enantiomeric composition of α-pinene in host trees and the production of verbenols in Ips species. Experientia 1980, 36, 1343–1345. [Google Scholar] [CrossRef]
- Francke, W.; Heemann, V.; Gerken, B.; Renwick, J.A.A.; Vité, J.P. 2-Ethyl-1,6-dioxaspiro[4]nonane, principal aggregation pheromone of Pityogenes chalcographus (L.). Naturwissenschafte 1977, 64, 590. [Google Scholar] [CrossRef]
- Francke, W. Spiroacetals: A new widespread type of insect pheromones. In Proceedings of the les Médiateurs Chimiques Agissant sur le Comportement des Insectes, Symposium International, Versailles, France, 16–20 November 1981; Volume 7, pp. 81–84. [Google Scholar]
- Francke, W.; Schröder, F.; Philipp, P.; Meyer, H.; Sinnwell, V.; Gries, G. Identification and synthesis of new bicyclic acetals from the mountain pine beetle, Dendroctonus ponderosae Hopkins (Col.: Scol.). Bioorg. Med. Chem. 1996, 4, 363–374. [Google Scholar] [CrossRef] [PubMed]
- Francke, W.; Kitching, W. Spiroacetals in insects. Curr. Org. Chem. 2001, 5, 233–251. [Google Scholar] [CrossRef]
- Zocchi, R. Il gen. Phloeosinus Chap. (Coleoptera: Scolitynae) in Italia. Redia 1956, 41, 129–225. [Google Scholar]
- Pfeffer, A. Zentral-und Westpaläarktische Borken- und Kernfäfer (Coloeptera: Scolytidae, Platypodidae); Pro Entomologia c/o Naturhistorisches Muzeum: Basel, Switzerland, 1994; ISBN 3-9520840-6-9. (In German) [Google Scholar]
- Scolytinae of Slovenia. Hypothenemus eruditus. Available online: https://scolytinae.bf.uni-lj.si/en/22-01-hypothenemus-eruditus-westwood-1834/ (accessed on 3 January 2026).
- Löbl, I.; Smetana, A. (Eds.) Catalogue of Palaearctic Coleoptera; Curculionidea I; Apollo Books: Stenstrup, Denmark, 2011; Volume 7. [Google Scholar]
- Faccoli, M.; Sidoti, A. Description of Phloeosinus laricionis sp. n. (Coleoptera: Curculionidae, Scolytinae), a new bark beetle species from southern Europe. Zootaxa 2013, 3722, 92–100. [Google Scholar] [CrossRef]
- Arnett, R.H.; Thomas, M.C., Jr.; Skelley, P.E.; Frank, H.J. (Eds.) American beetles. In Volume II: Polyphaga: Scarabaeoidea through Curculionoidea; CRC Press LLC: Boca Raton, FL, USA, 2002. [Google Scholar]
- Atkinson, T.H. Bark and Ambrosia Beetles of the Americas. 2025. Available online: https://www.barkbeetles.info (accessed on 3 January 2026).
- Schedl, K.E. The bark and timber beetles (Scolytidae) of Israel. Isr. J. Entomol. 1969, 4, 285–293. [Google Scholar]
- Mendel, Z. Life history of Phloeosinus armatus Reitter and P. aubei Perris (Coleoptera: Scoloytidae) in Israel. Phytoparasitica 1984, 12, 89–97. [Google Scholar] [CrossRef]
- Habib, R.B.; Jamâa, M.L.B.; Nouira, S. Biological characteristics of the cypress bark beetle Phloeosinus aubei in the Kessra Forest, Center Tunisia. Tunis. J. Plant Prot. 2007, 2, 99–108. [Google Scholar]
- Karamaouna, F.; Kontodimas, D.C. New threat from an insect borer in urban trees in Greece. Hell. Plant Prot. J. 2010, 3, 1–5. [Google Scholar]
- Moraal, L.G. Infestation of the cypress bark beetles Phloeosinus rudis, P. bicolor and P. thujae in the Netherlands (Coleoptera: Curculionidae, Scolytinae). Entomol. Ber. 2010, 70, 140–145. [Google Scholar]
- Fiala, T.; Holuša, J. Occurrence of the invasive bark beetle Phloeosinus aubei on common Juniper trees in The Czech Republic. Forests 2019, 10, 12. [Google Scholar] [CrossRef]
- DAISIE. Inventory of Alien Invasive Species in Europe. Available online: https://www.gbif.org/dataset/39f36f10-559b-427f-8c86-2d28afff68ca (accessed on 30 December 2025). [CrossRef]
- Balachowsky, A.S.; Chararas, C. Contribution à l’étude de Phloeosinus armatus Reitter (Coleoptera, Scolytidae) nuisible au cyprès dans le bassin oriental de la Méditerranée. Rev. Pathol. Vég. Entomol. Agric. Fr. 1961, 39, 245–257. [Google Scholar]
- Karpun, N.N.; Petrov, A.V.; Zhuravleva, E.N.; Shoshina, E.I.; Kirichenko, N.I.; Mandelshtam, M.Y.; Musolin, D.L. Two invasive bark beetles Phloeosinus armatus Reitter and Xylosandrus compactus (Eichhoff) (Coleoptera, Curculionidae: Scolytinae) newly recorded in Russia. EPPO Bull. 2024, 54, 166–181. [Google Scholar] [CrossRef]
- Alonso-Zarazaga, M.A.; Barrios, H.; Borovec, R.; Bouchard, P.; Caldara, R.; Colonnelli, E.; Gültekin, L.; Hlaváč, P.; Korotyaev, B.; Lyal, C.H.C.; et al. Cooperative Catalogue of Palaearctic Coleoptera Curculionoidea; Monografías Electrónicas S.E.A.; Sociedad Entomológica Aragonesa (S.E.A.): Zaragoza, Spain, 2017; Volume 8, pp. 1–729. [Google Scholar]
- Beghami, R.; Bertella, N.; Laamari, M.; Bensaci, O.A. Bark beetle and woodborer insects’ outbreak as a potent driver of Atlas cedar (Cedrus atlantica (Endl.) Carrière) forests dieback in Aures-East Algeria. For. Sci. Technol. 2020, 16, 75–85. [Google Scholar] [CrossRef]
- Knížek, M. New species of Phloeosinus (Chapuis) from Cyprus (Coleoptera, Scolytidae). Folia Heyrovskyana 1994, 2, 124–127. [Google Scholar]
- Gebhardt, H.; Mertens, D.; Schacht, W. Erster Nachweis von Phloeosinus sequoiae (Hopkins, 1903) für Europa aus dem nordwestlichen Deutschland (Coleoptera, Curculionidae, Scolytinae)—First European record of Phloeosinus sequoiae (Hopkins, 1903) from north-western Germany (Coleoptera, Curculionidae, Scolytinae). Entomol. Nachr. Ber. 2024, 68, 43–46. [Google Scholar]
- Bragard, C.; Dehnen-Schmutz, K.; Di Serio, F.; Gonthier, P.; Jacques, M.-A.; Jaques Miret, J.A.; Justesen, A.F.; MacLeod, A.; Magnusson, C.S.; Navas-Cortes, J.A.; et al. List of non-EU Scolytinae of coniferous hosts. EFSA J. 2020, 18, e05933. [Google Scholar] [CrossRef]
- Barauch, O.; Harari, A.; Sapir, N.; Mendel, Z. The colonization process and gallery system of the cypress bark beetles (Phloeosinus spp.). Isr. J. Entomol. 2007, 37, 369. [Google Scholar]
- Bozsik, G.; Szőcs, G. Phenology, behavior and infestation levels of the invasive small cypress bark beetle, Phloeosinus aubei, on some cultivars of Thuja and Juniper spp., in Hungary. Phytoparasitica 2017, 45, 201–210. [Google Scholar] [CrossRef]
- Endrődi, S. Szúbogarak—Scolytidae. Magyarország Állatvilága Fauna Hung. 1959, 10, 27–28. (In Hungarian) [Google Scholar]
- Rakk, Z.; Bürgés, G. On the damage of the Juniperus bark-beetle (Coleoptera; Scolytidae: Phloeosinus aubei Perris). Növényvédelem (Plant Prot.) 1994, 30, 7–10, (In Hungarian with English abstract). [Google Scholar]
- Reiderné-Saly, K.; Podlussány, A. Spread, host range and biology of Juniperus bark-beetle (Phloeosinus aubei Perris, 1855). Növényvédelem Plant Prot. 1994, 30, 23–24. (In Hungarian) [Google Scholar]
- Varga, Z. Extra-Mediterranean refugia, postglacial vegetation history and area dynamics in Eastern-Central Europe. In Relict Species. Phylogeography and Conservation Biology; Habel, J.C., Assmann, T., Eds.; Springer: Berlin/Heidelberg, Germany, 2010; pp. 57–87. [Google Scholar]
- Both, G.; Farkas, I. Juniper bark beetle is a serious threat. Növényvédelem Plant Prot. 2005, 41, 305–306. (In Hungarian) [Google Scholar]
- Balachowsky, A. Faune de France 50. Paris: Coléopterès Scolytides; Librairie de la Faculte des Sciences: Paris, France, 1949. [Google Scholar]
- Dern, R. Schaden durch den zweifarbigen Thuja Borkenkäfer, Phloeosinus aubei (Perr.), an Chamaecyparis und Juniperusarten in Süd Hessen. Gesunde Pflanz. 1976, 28, 241–243. (In German) [Google Scholar]
- Sobczyk, T.; Lehmann, M. Zur Ausbreitung des Zweifarbigen Thujaborkenkäfers Phloeosinus aubei (Perris, 1855) in Ostdeutschland mit Anmerkungen zu Phloeosinus thujae (Perris, 1855) und Phloeosinus rudis Blandford, 1894 (Coleoptera, Curculionidae, Scolytinae). Märkische Entomol. Nachrichten 2007, 9, 55–60. [Google Scholar]
- Olenici, N.; Mitroiu, M.-D.; Knížek, M.; Olenici, V. Parasitoids of Phloeosinus aubei (Coleptera: Curculionidae) from Romania. Acta Zool. Bulg. 2015, 67, 293–295. [Google Scholar]
- Winter, T. Phloeosinus aubei (Perris) (Scolytidae) in Surrey, the first record of this bark beetle in Britain. Coleopt. 1998, 1, 1–2. [Google Scholar]
- Foote, N.E.; Foote, G.G.; Comai, N.; Caballero, J.R.I.; Stewart, J.E.; Ambrose, A.R.; Baxter, W.L.; Davis, T.S. Patterns of occurrence, phenology, and phylogeny of Phloeosinus punctatus LeConte (Coleoptera: Curculionidae, Scolytinae) in giant sequoia. Environ. Entomol. 2024, 53, 1183–1196. [Google Scholar] [CrossRef]
- Seybold, S.J.; Penrose, R.L.; Graves, A.D. Chapter 21. Invasive Bark and Ambrosia Beetles in California Mediterranean Forest Ecosystems. In Insects and Diseases of Mediterranean Forest Systems; Paine, T.D., Lieutier, F., Eds.; Springer International Publishing: Cham, Switzerland, 2016; pp. 583–662. [Google Scholar]
- Blomquist, G.J.; Figueroa-Teran, R.; Aw, M.; Song, M.; Gorzalski, A.; Abbott, N.L.; Chang, E.; Tittiger, C. Pheromone production in bark beetles. Insect Biochem. Mol. Biol. 2010, 40, 699–712. [Google Scholar] [CrossRef]
- Liu, Z.; Xu, B.; Guo, Y.; Raffa, K.F.; Sun, J. Gallery and acoustic traits related to female body size mediate male mate choice in a bark beetle. Anim. Behav. 2017, 125, 41–50. [Google Scholar] [CrossRef]
- Bozsik, G.; Molnár, B.P.; Hegedüs, K.; Soós, T.; Schulz, S.; Tröger, A.; Francke, W.; Szőcs, G. (−)-Myrtenol and (−)-α-pinene: Aggregation pheromone components of the cypress bark beetle Phloeosinus aubei. J. Appl. Entomol. 2024, 148, 351–363. [Google Scholar] [CrossRef]
- Bozsik, G.; Tröger, A.; Schulz, S.; Szőcs, G. cis-Verbenol and verbenone as male-produced pheromone components of the cypress bark beetle, Phloeosinus aubei: Identification and behavioral tests in combination with the female-produced pheromone components. Agric. For. Entomol. 2025, 27, 671–682. [Google Scholar] [CrossRef]
- Bozsik, G.; Molnár, B.P.; Domingue, M.J.; Szőcs, G. Changes to volatile profiles of arborvitae, Thuja occidentalis, from drought and insect infestation: Olfactory cues for the cypress bark beetle, Phloeosinus aubei. Chemoecology 2023, 33, 113–124. [Google Scholar] [CrossRef]
- Bozsik, G.; Tröger, A.; Francke, W.; Szőcs, G. Thuja occidentalis: Identification of volatiles and electroantennographic response by the invasive cedar bark beetle, Phloeosinus aubei. J. Appl. Entomol. 2016, 140, 434–443. [Google Scholar] [CrossRef]
- Bozsik, G.; Molnár, B.P.; Szőcs, G. Comparison of antennal responses of Ovalisia festiva and Phloeosinus aubei to volatile compounds of their common host, Thuja occidentalis. Physiol. Entomol. 2022, 47, 136–146. [Google Scholar] [CrossRef]
- Krokene, P.; Barnes, I.; Wingfield, B.D.; Wingfield, M.J. A PCR-RFLP based diagnostic technique to rapidly identify Seiridium species causing cypress canker. Mycologia 2004, 96, 1352–1354. [Google Scholar] [CrossRef]
- Wijayawardene, N.N.; Goonasekara, I.D.; Camporesi, E.; Wang, Y.; An, Y.L. Two new Seimatosporium species from Italy. Mycosphere 2016, 7, 204–213. [Google Scholar] [CrossRef]
- Sun, J.-P.; Fu, J.-H.; Fan, W.; Xu, H.-F.; Yuan, J.; Song, L.-W. Field responses of two sympatric Phloeosinus bark beetles to coniferous plant volatiles. Chin. Hortic. Abstr. 2013, 5, 157–160. [Google Scholar]
- Hayes, J.L.; Johnson, P.L.; Eglitis, A.; Scott, D.W.; Spiegel, L.; Schmitt, C.L.; Smith, S.E. Response of bark and woodboring beetles to host volatiles and wounding on western juniper. West. J. Appl. For. 2008, 23, 206–215. [Google Scholar] [CrossRef]
- Yang, X.; Zhao, B.; Zhou, Z.; Li, Y. Determination of active components from stressed Platycladus orientalis as potential aggregation pheromones of Phloeosinus aubei Perris. J. Northeast. For. Univ. 2006, 34, 10–12. [Google Scholar]
- Fiala, T.; Pyszko, P.; Holuša, J. Efficacy of different lures for Phloeosinus aubei and other native and exotic bark and ambrosia beetles. Ann. Appl. Biol. 2024, 184, 86–97. [Google Scholar] [CrossRef]
- Dvornikova, I.A.; Frolova, L.L.; Kuchin, A.V.; Beletskaya, I.P. Synthesis of new enantiomeric 1, 2-diamines containing a myrtenyl fragment. Russ. J. Org. Chem. 2007, 43, 352–358. [Google Scholar] [CrossRef]
- Kozel, V.; Daniliuc, C.G.; Kirsch, P.; Haufe, G. C3-Symmetric Tricyclo [2.2.1.02,6] heptane-3,5,7triol. Angew. Chem. Int. Edit. 2017, 56, 15456–15460. [Google Scholar] [CrossRef] [PubMed]
- Mori, K. Synthesis of Optically Pure (+)-trans-Verbenol and its antipode, the pheromone of Dendroctonns bark beetles. Agric. Biol. Chem. 1976, 40, 415–418. [Google Scholar] [CrossRef]
- Mori, K.; Mizumachi, N.; Matsui, M. Synthesis of optically pure (1S,4S,5S)-2-pinen-4-ol (cis-verbenol) and its antipode, the pheromone of Ips bark beetles. Agric. Biol. Chem. 1976, 40, 1611–1615. [Google Scholar] [CrossRef]
- Byers, J.A. Pheromone biosynthesis in the bark beetle, Ips paraconfusus, during feeding or exposure to vapours of host plant precursors. Insect Biochem. 1981, 11, 563–569. [Google Scholar] [CrossRef]
- Byers, J.A. Bark beetle conversion of a plant compound to a sexspecific inhibitor of pheromone attraction. Science 1983, 220, 624–626. [Google Scholar] [CrossRef]
- Vité, J.P.; Francke, W. Waldschutz gegen Borkenkäfer: Vom Fangbaum zur Falle. Chem. Unserer Zeit 1985, 19, 11–21. [Google Scholar] [CrossRef]
- Fang, J.-X.; Zhang, S.-F.; Liu, F.; Cheng, B.; Zhang, Z.; Zhang, Q.-H.; Kong, X.-B. Functional investigation of monoterpenes for improved understanding of the relationship between hosts and bark beetles. J. Appl. Entomol. 2021, 145, 303–311. [Google Scholar] [CrossRef]
- Byers, J.A. Influence of sex, maturity and host substances on pheromones in the guts of the bark beetles, Ips paraconfusus and Dendroctonus brevicomis. J. Insect Physiol. 1983, 29, 5–13. [Google Scholar] [CrossRef]




| Species | Occurrence in Europe | Status in Europe | Notes/References |
|---|---|---|---|
| Phloeosinus aubei (Perris, 1855) | Southern, Western and Central Europe | Invasive/expanding | Native to the Mediterranean region; has expanded northwards and is considered an invasive pest of Cupressaceae (e.g., Juniperus, Cupressus, Thuja) in Central Europe [34,35]. |
| P. thujae (Perris, 1855) | Widespread in Europe | Native | Widely distributed and considered native to Europe; associated mainly with Thuja and Juniperus spp. [24,34]. |
| P. rudis Blandford, 1894 | Local records in Western and Central Europe | Non-native, locally established | Native in temperate and tropical zone of Asia; introduced in Europe; sporadic records in Western Europe, often linked to ornamental Cupressaceae [34,36]. |
| P. armatus Reitter, 1894 | Southern Europe (e.g., Greece, Italy, Cyprus), introduced in Russia | Native/invasive | Native to the eastern Mediterranean region; invasive status described from Russia [24,37,38]. |
| P. cedri Brisout de Barneville, 1883 | Southwestern Europe (e.g., Spain) | Native (Mediterranean) | Associated mainly with Cedrus spp.; limited distribution in Europe [39,40]. |
| P. gillerforsi Bright, 1987 | Azores | Endemic/localized | Known only from the Azores and Canary Islands; not invasive [39]. |
| P. laricionis Faccoli & Sidoti, 2013 | Italy | Native (local) | Rare species with restricted distribution [27]. |
| P. pfefferi Knížek, 1994 | Cyprus | Native (local) | Endemic or near-endemic to Cyprus [41]. |
| P. sequoiae (Hopkins, 1903) | Germany | Non-native/ expanding | Native in North America, the first European record was described from north-western Germany [42]. |
| P. henschi Reitter, 1901 | Bulgaria, Italy, Greece, Croatia, Ukraine | Native | Associated with pathogenic fungi (Geosmithia spp.) [39,43]. |
| Semiochemicals for Phloeosinus aubei | No. of Phase in Figure 1 | Releaser | Role | Description |
|---|---|---|---|---|
| (−)- and (+)-α-pinene | 1. | host | kairomone | It is a key component of host colonisation. It is produced in increased amounts by a decaying host [60,62]. |
| (−)-α-pinene | 2. and 3. | female and male | aggregation pheromone | It is produced by both male and female P. aubei. It is a precursor of the gender-specific pheromone components [60,61]. |
| (−)-myrtenol | 2. | female | aggregation pheromone | It is produced by the pioneer gender (female) and attracts both sexes of conspecifics [60]. |
| cis-verbenol | 3. | male | aggregation pheromone | It is produced when males are joined to females [61]. |
| verbenone | 3. | male | anti-aggregation pheromone | It has an anti-aggregation, repellent effect for both sexes [61]. |
Disclaimer/Publisher’s Note: The statements, opinions and data contained in all publications are solely those of the individual author(s) and contributor(s) and not of MDPI and/or the editor(s). MDPI and/or the editor(s) disclaim responsibility for any injury to people or property resulting from any ideas, methods, instructions or products referred to in the content. |
© 2026 by the authors. Licensee MDPI, Basel, Switzerland. This article is an open access article distributed under the terms and conditions of the Creative Commons Attribution (CC BY) license.
Share and Cite
Bozsik, G.; Tröger, A.; Schulz, S.; Domingue, M.J.; Szőcs, G. Chemical Ecology of Host- and Mate-Finding in the Cypress Bark Beetle Phloeosinus aubei, with Notes on Congeneric Species. Insects 2026, 17, 107. https://doi.org/10.3390/insects17010107
Bozsik G, Tröger A, Schulz S, Domingue MJ, Szőcs G. Chemical Ecology of Host- and Mate-Finding in the Cypress Bark Beetle Phloeosinus aubei, with Notes on Congeneric Species. Insects. 2026; 17(1):107. https://doi.org/10.3390/insects17010107
Chicago/Turabian StyleBozsik, Gábor, Armin Tröger, Stefan Schulz, Michael J. Domingue, and Gábor Szőcs. 2026. "Chemical Ecology of Host- and Mate-Finding in the Cypress Bark Beetle Phloeosinus aubei, with Notes on Congeneric Species" Insects 17, no. 1: 107. https://doi.org/10.3390/insects17010107
APA StyleBozsik, G., Tröger, A., Schulz, S., Domingue, M. J., & Szőcs, G. (2026). Chemical Ecology of Host- and Mate-Finding in the Cypress Bark Beetle Phloeosinus aubei, with Notes on Congeneric Species. Insects, 17(1), 107. https://doi.org/10.3390/insects17010107

