Effects of Different Levels of Drought Stress in Ficus Plants on the Life History and Population Growth of Perina nuda (Lepidoptera: Lymantriidae): An Age-Stage, Two-Sex Life Table Analysis
Simple Summary
Abstract
1. Introduction
2. Materials and Methods
2.1. Rearing of Insects
2.2. Rearing of Plants
2.3. Life Table Study of P. nuda
2.4. Life Table Data Analysis
2.5. Population Projection
2.6. Statistical Analysis
3. Results
3.1. Developmental Duration and Lifespan of P. nuda Reared on F. microcarpa Under Different Levels of Drought Stress
3.2. Pupal Characteristics of P. nuda Reared on F. microcarpa Under Different Levels of Drought Stress
3.3. Reproductive Parameters of P. nuda Reared on F. microcarpa Under Different Levels of Drought Stress
3.4. Population Parameters of P. nuda Reared on F. microcarpa Under Different Levels of Drought Stress
3.5. The Age-Stage Survival Rate (sxj) of P. nuda Reared on F. microcarpa Under Different Levels of Drought Stress
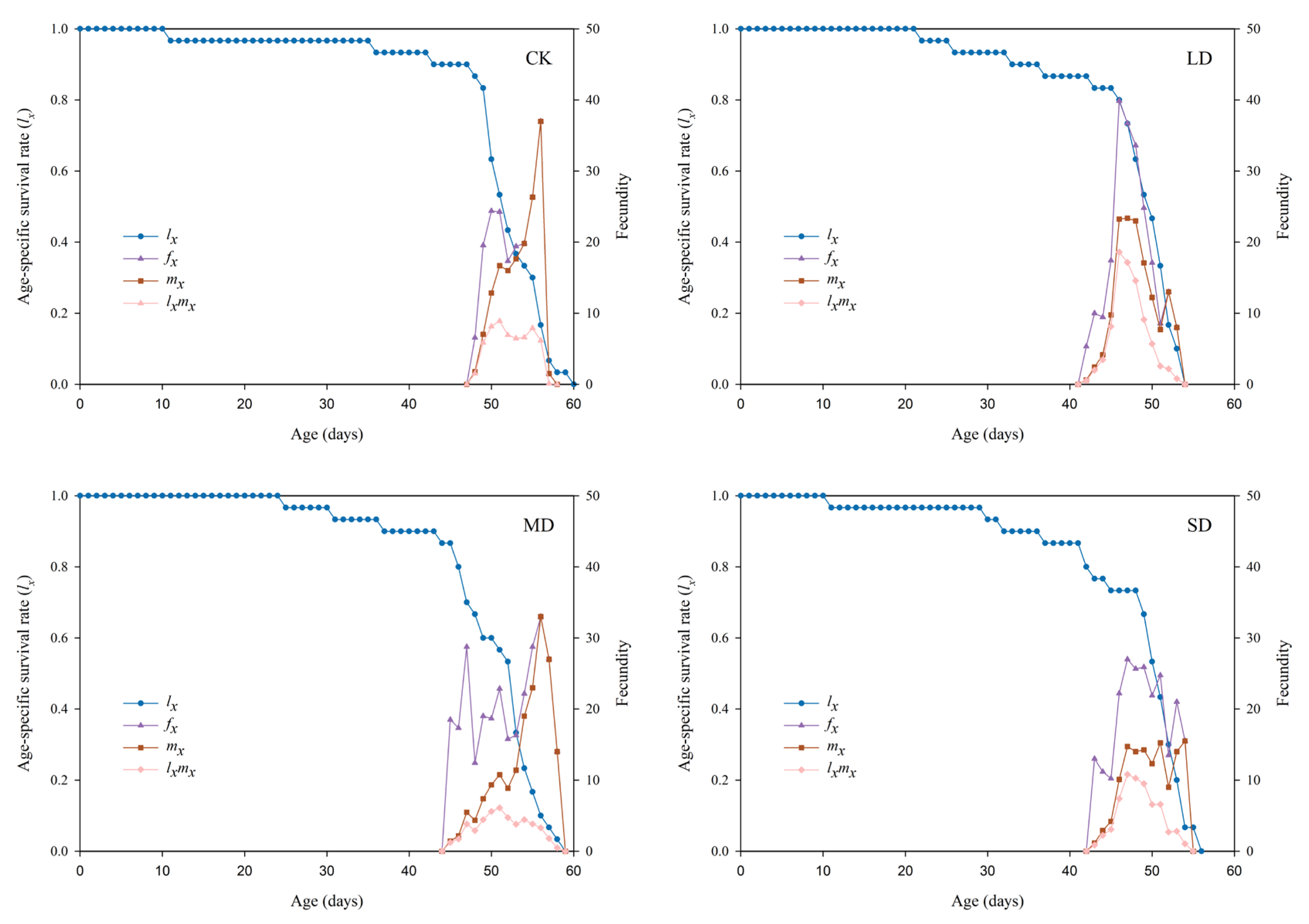
3.6. Population Survival Rate and Fecundity of P. nuda Reared on F. microcarpa Under Different Levels of Drought Stress
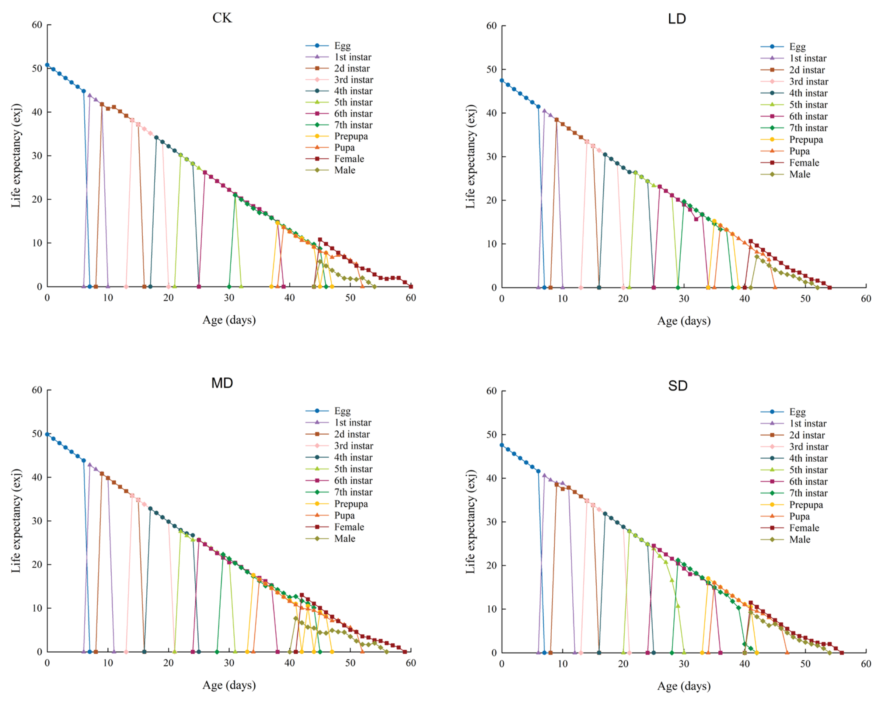
3.7. Life Expectancy (exj) of P. nuda Reared on F. microcarpa Under Different Levels of Drought Stress
3.8. Reproductive Value (vxj) of P. nuda Reared on F. microcarpa Under Different Levels of Drought Stress
3.9. Population Growth Prediction of P. nuda Reared on F. microcarpa Under Different Levels of Drought Stress
4. Discussion
5. Conclusions
Author Contributions
Funding
Institutional Review Board Statement
Informed Consent Statement
Data Availability Statement
Acknowledgments
Conflicts of Interest
References
- Peng, S.M.; Jiang, H.; Zhang, S.; Chen, L.H.; Li, X.G.; Korpelainen, H.; Li, C.Y. Transcriptional profiling reveals sexual differences of the leaf transcriptomes in response to drought stress in Populus yunnanensis. Tree Physiol. 2012, 32, 1541–1555. [Google Scholar] [CrossRef]
- Ault, T.R. On the essentials of drought in a changing climate. Science 2020, 368, 256–260. [Google Scholar] [CrossRef] [PubMed]
- Yang, X.D.; Wu, N.C.; Gong, X.W. Plant adaptation to extreme environments in drylands. Forests 2023, 14, 390. [Google Scholar] [CrossRef]
- Li, C.J.; Fu, B.J.; Wang, S.; Stringer, L.C.; Wang, Y.P.; Li, Z.D.; Liu, Y.X.; Zhou, W.X. Drivers and impacts of changes in China’s drylands. Nat. Rev. Earth Environ. 2021, 2, 858–873. [Google Scholar] [CrossRef]
- Bouabdelli, S.; Zeroual, A.; Meddi, M.; Assani, A. Impact of temperature on agricultural drought occurrence under the effects of climate change. Theor. Appl. Climatol. 2022, 148, 191–209. [Google Scholar] [CrossRef]
- Markus, M.; Cai, X.M.; Sriver, R. Extreme floods and droughts under future climate scenarios. Water 2019, 11, 1720. [Google Scholar] [CrossRef]
- Atkinson, N.J.; Urwin, P.E. The interaction of plant biotic and abiotic stresses: From genes to the field. J. Exp. Bot. 2012, 63, 3523–3543. [Google Scholar] [CrossRef] [PubMed]
- He, X.S.; Xu, L.C.; Pan, C.; Gong, C.; Wang, Y.J.; Liu, X.L.; Yu, Y.C. Drought resistance of Camellia oleifera under drought stress: Changes in physiology and growth characteristics. PLoS ONE 2020, 15, e0235795. [Google Scholar] [CrossRef]
- Suzuki, N.; Rivero, R.M.; Shulaev, V.; Blumwald, E.; Mittler, R. Abiotic and biotic stress combinations. New Phytol. 2014, 203, 32–43. [Google Scholar] [CrossRef] [PubMed]
- Mundim, F.M.; Vieira-Neto, E.H.M.; Alborn, H.; Bruna, E.M. Disentangling the influence of water limitation and simultaneous above and belowground herbivory on plant tolerance and resistance to stress. J. Ecol. 2021, 109, 2729–2739. [Google Scholar] [CrossRef]
- Zhang, K.X.; Li, H.Y.; Quandahor, P.; Gou, Y.P.; Li, C.C.; Zhang, Q.Y.; Haq, I.U.; Ma, Y.; Liu, C.Z. Responses of six wheat cultivars (Triticum aestivum) to wheat aphid (Sitobion avenae) infestation. Insects 2022, 13, 508. [Google Scholar] [CrossRef]
- Zhang, K.X.; Ma, Y.; Li, C.C.; Quandahor, P.; Haq, I.U.; Zhang, Q.Y.; Kong, L.L.; Tao, Y.; Liu, C.Z. Population growth of Tetranychus truncatus (Acari: Tetranychidae) on different drought-tolerant potato cultivars. J. Econ. Entomol. 2023, 116, 405–415. [Google Scholar] [CrossRef] [PubMed]
- Kansman, J.T.; Basu, S.; Casteel, C.L.; Crowder, D.W.; Lee, B.W.; Nihranz, C.T.; Finke, D.L. Plant water stress reduces aphid performance: Exploring mechanisms driven by water stress intensity. Front. Ecol. Evol. 2022, 10, 846908. [Google Scholar] [CrossRef]
- Cui, H.Y.; Wang, L.Y.; Reddy, G.V.P.; Zhao, Z.H. Light drought facilitates the increase in wheat aphid abundance by changing host metabolism. Ann. Entomol. Soc. Am. 2021, 114, 79–83. [Google Scholar] [CrossRef]
- Zhang, K.X.; Lin, C.Y.; Liu, H.P.; Haq, I.U.; Quandahor, P.; Gou, Y.P.; Li, C.C.; Yang, Z.Y.; Liu, C.Z. Drought reduced the adaptability of Myzus persicae on drought-tolerant potato cultivars. Entomol. Gen. 2024, 44, 563–571. [Google Scholar] [CrossRef]
- Cottee-Jones, H.E.W.; Bajpai, O.; Chaudhary, L.B.; Whittaker, R.J. The Importance of Ficus (Moraceae) trees for tropical forest restoration. Biotropica 2016, 48, 413–419. [Google Scholar] [CrossRef]
- Hussain, A.; Tian, M.Y.; He, Y.R.; Ahmed, S. Entomopathogenic fungi disturbed the larval growth and feeding performance of Ocinara varians (Lepidoptera: Bombycidae) larvae. Insect Sci. 2009, 16, 511–517. [Google Scholar] [CrossRef]
- Zheng, X.L.; Liu, J.Y.; Zhang, Z.L.; Wang, P.; Lu, W. Diel rhythms of sexual behavior and pheromone responses in Phauda flammans Walker (Lepidoptera: Zygaenidae). Pest. Manag. Sci. 2019, 75, 3070–3075. [Google Scholar] [CrossRef]
- Liao, S.K.; Lin, H.Y.; Wang, J.J.; Wang, Q.; Wei, H.J.; Chen, H. Effects of different Ficus feeding experiences on host preference of Perina nuda larvae (Lepidoptera: Lymantriidae). J. Econ. Entomol. 2024, 117, 209–217. [Google Scholar] [CrossRef]
- Mao, X.J.; Zheng, H.S.; Liao, S.K.; Wei, H.J.; Lin, H.Y.; Wang, Q.; Chen, H. Predicting the potential distribution of Perina nuda under climate change in China. Entomol. Exp. Appl. 2024, 172, 738–750. [Google Scholar] [CrossRef]
- Wakamura, S.; Arakaki, N.; Yamazawa, H.; Nakajima, N.; Yamamoto, M.; Ando, T. Identification of epoxyhenicosadiene and novel diepoxy derivatives as sex pheromone components of the clear-winged tussock moth Perina nuda. J. Chem. Ecol. 2002, 28, 449–467. [Google Scholar] [CrossRef] [PubMed]
- Liao, S.K.; Huang, J.H.; Lin, H.Y.; Wang, Q.; Wang, J.J.; Mao, X.J.; Wei, H.J.; Chen, H. Effects of temperature stress on demographic traits and population projection of Perina nuda (Lepidoptera: Lymantriidae). J. Asia-Pac. Entomol. 2024, 27, 102299. [Google Scholar] [CrossRef]
- Chi, H.; You, M.S.; Atlıhan, R.M.; Smith, C.L.; Kavousi, A.; Özgökçe, M.S.; Güncan, A.; Tuan, S.J.; Fu, J.W.; Xu, Y.Y.; et al. Age-Stage, two-sex life table: An introduction to theory, data analysis, and application. Entomol. Gen. 2020, 40, 103–124. [Google Scholar] [CrossRef]
- Ullah, F.; Haq, I.U.; Gul, H.; Hafeez, M.; Güncan, A.; Tariq, K.; Desneux, N.; Zhao, Z.H.; Li, Z.H. Impact of temperature stress on demographic traits and population projection of Bactrocera dorsalis. Entomol. Gen. 2022, 42, 949–957. [Google Scholar] [CrossRef]
- Chi, H.; Kavousi, A.; Gharekhani, G.; Atlihan, R.; Salih Özgökçe, M.; Güncan, A.; Gökçe, A.; Smith, C.L.; Benelli, G.; Guedes, R.N.C.; et al. Advances in theory, data analysis, and application of the age-stage, two-sex life table for demographic research, biological control, and pest management. Entomol. Gen. 2023, 43, 705–732. [Google Scholar] [CrossRef]
- Saska, P.; Skuhrovec, J.; Platková, H.; Kosová, K.; Tylová, E.; Tuan, S.J.; Vítámvás, P. Response of the spring wheat-cereal aphid system to drought: Support for the plant vigour hypothesis. J. Pest Sci. 2023, 96, 523–537. [Google Scholar] [CrossRef]
- Zhang, X.Y.; Liu, W.T.; Lv, Y.C.; Li, T.L.; Tang, J.Z.; Yang, X.H.; Bai, J.; Jin, X.; Zhou, H.T. Effects of drought stress during critical periods on the photosynthetic characteristics and production performance of Naked oat (Avena nuda L.). Sci. Rep. 2022, 12, 11199. [Google Scholar] [CrossRef]
- He, F.; Wu, Z.Q.; Zhao, Z.B.; Chen, G.; Wang, X.G.; Cui, X.L.; Zhu, T.H.; Chen, L.H.; Yang, P.; Bi, L.F.; et al. Drought stress drives sex-specific differences in plant resistance against herbivores between male and female poplars through changes in transcriptional and metabolic profiles. Sci. Total Environ. 2022, 845, 157171. [Google Scholar] [CrossRef]
- Chi, H.; Liu, H. Two new methods for the study of insect population ecology. Bull. Inst. Zool. Acad. Sin. 1985, 24, 225–240. [Google Scholar]
- Chi, H. Life-table analysis incorporating both sexes and variable development rates among individuals. Environ. Entomol. 1988, 17, 26–34. [Google Scholar] [CrossRef]
- Chi, H. TWOSEX-MSChart: A Computer Program for the Age-Stage, Two-Sex Life Table Analysis; National Chung Hsing University: Taichung, Taiwan, 2025; Available online: https://lifetablechi.com/software/ (accessed on 1 January 2025).
- Chi, H. TIMING-MSChart: A Computer Program for the Population Projection Based on Age-Stage, Two-Sex Life Table; National Chung Hsing University: Taichung, Taiwan, 2025; Available online: https://lifetablechi.com/software/ (accessed on 1 January 2025).
- Huang, H.W.; Chi, H.; Smith, C.L. Linking demography and consumption of Henosepilachna vigintioctopunctata (Coleoptera: Coccinellidae) fed on Solanum photeinocarpum (Solanales: Solanaceae): With a new method to project the uncertainty of population growth and consumption. J. Econ. Entomol. 2018, 111, 1–9. [Google Scholar] [CrossRef]
- Xie, W.; Zhi, J.R.; Ye, J.Q.; Zhou, Y.M.; Li, C.; Liang, Y.J.; Yue, W.B.; Li, D.Y.; Zeng, G.; Hu, C.X. Age-stage, two-sex life table analysis of Spodoptera frugiperda (JE Smith) (Lepidoptera: Noctuidae) reared on maize and kidney bean. Chem. Biol. Technol. Agric. 2021, 8, 44. [Google Scholar] [CrossRef]
- Akköprü, E.P.; Atlıhan, R.; Okut, H.; Chi, H. Demographic assessment of plant cultivar resistance to insect pests: A case study of the dusky-veined walnut aphid (Hemiptera: Callaphididae) on five walnut cultivars. J. Econ. Entomol. 2015, 108, 378–387. [Google Scholar] [CrossRef]
- La Rossa, F.R.; Vasicek, A.; López, M.C. Effects of pepper (Capsicum annuum) cultivars on the biology and life table parameters of Myzus persicae (Sulz.) (Hemiptera: Aphididae). Neotrop. Entomol. 2013, 42, 634–641. [Google Scholar] [CrossRef] [PubMed]
- Obopile, M.; Ositile, B. Life table and population parameters of cowpea aphid, Aphis craccivora Koch (Homoptera: Aphididae) on five cowpea Vigna unguiculata (L. Walp.) cultivars. J. Pest Sci. 2010, 83, 9–14. [Google Scholar] [CrossRef]
- Behmer, S.T. Insect herbivore nutrient regulation. Annu. Rev. Entomol. 2009, 54, 165–187. [Google Scholar] [CrossRef] [PubMed]
- da Silva, D.M.; Bueno, A.F.; Andrade, K.; Stecca, C.S.; Neves, P.M.O.J.; Oliveira, M.C.N. Biology and nutrition of Spodoptera frugiperda (Lepidoptera: Noctuidae) fed on different food sources. Sci. Agric. 2017, 74, 18–31. [Google Scholar] [CrossRef]
- Cisternas, M.F.; Ríos, R.S.; Gianoli, E. Gregarious caterpillars shorten their larval development time in response to simulated predation threat. Ecol. Entomol. 2022, 47, 906–910. [Google Scholar] [CrossRef]
- Miller, W.E. Extrinsic effects on fecundity-maternal weight relations in capital-breeding Lepidoptera. J. Lepid. Soc. 2005, 59, 143–160. [Google Scholar]
- Eck, D.J.; Shaw, R.G.; Geyer, C.J.; Kingsolver, J.G. An integrated analysis of phenotypic selection on insect body size and development time. Evolution 2015, 69, 2525–2532. [Google Scholar] [CrossRef]
- Takahashi, C.G.; Kalns, L.L.; Bernal, J.S. Plant defense against fall armyworm in micro-sympatric maize (Zea mays ssp. mays) and Balsas teosinte (Zea mays ssp. parviglumis). Entomol. Exp. Appl. 2012, 145, 191–200. [Google Scholar] [CrossRef]
- Juárez, M.L.; Schöfl, G.; Vera, M.T.; Vilardi, J.C.; Murúa, M.G.; Willink, E.; Hänniger, S.; Heckel, D.G.; Groot, A.T. Population structure of Spodoptera frugiperda maize and rice host forms in South America: Are they host strains? Entomol. Exp. Appl. 2014, 152, 182–199. [Google Scholar] [CrossRef]
- Ji, X.W.; Jiang, X.F.; Yin, J.; Chen, J.L.; Ding, T.B.; Tan, X.L. The adaptability of beet webworm (Loxostege sticticalis) to soybeans and other different host plants. Agronomy 2024, 14, 2595. [Google Scholar] [CrossRef]
- Awmack, C.S.; Leather, S.R. Host plant quality and fecundity in herbivorous insects. Annu. Rev. Entomol. 2002, 47, 817–844. [Google Scholar] [CrossRef]
- Wei, M.F.; Chi, H.; Guo, Y.F.; Li, X.W.; Zhao, L.L.; Ma, R.Y. Demography of Cacopsylla chinensis (Hemiptera: Psyllidae) reared on four cultivars of Pyrus bretschneideri (Rosales: Rosaceae) and P. communis pears with estimations of confidence intervals of specific life table statistics. J. Econ. Entomol. 2020, 113, 2343–2353. [Google Scholar] [CrossRef]
- Ulusoy, M.R.; Ölmez-Bayhan, S. Effect of certain brassica plants on biology of the cabbage aphid Brevicoryne brassicae under laboratory conditions. Phytoparasitica 2006, 34, 133–138. [Google Scholar] [CrossRef]
- Zarghami, S.; Allahyari, H.; Bagheri, M.R.; Saboori, A. Effect of nitrogen fertilization on life table parameters and population growth of Brevicoryne brassicae. Bull. Insectology 2010, 63, 39–43. [Google Scholar]
- Ximénez-Embún, M.G.; Castañera, P.; Ortego, F. Drought stress in tomato increases the performance of adapted and non-adapted strains of Tetrachycus urticae. J. Insect Physiol. 2017, 96, 73–81. [Google Scholar] [CrossRef]
- Faustino, V.A.; de Almeida Barros, R.; da Silva Júnior, N.R.; Barbosa, S.L.; Vital, C.E.; da Silva, F.L.; Cabrera, Y.B.M.; Campos, W.G.; de Oliveira Ramos, H.G.; de Almeida Oliveira, M.G. Soybean drought-stressed plants impair Anticarsia gemmatalis (Lepidoptera: Erebidae) midgut proteolytic activity and survival. Phytoparasitica 2021, 49, 491–500. [Google Scholar] [CrossRef]
- He, Z.H.; Webster, S.; He, S.Y. Growth-defense trade-offs in plants. Curr. Biol. 2022, 32, 634–639. [Google Scholar] [CrossRef]
- Schultz, J.C.; Appel, H.M.; Ferrieri, A.P.; Arnold, T.M. Flexible resource allocation during plant defense responses. Front. Plant Sci. 2013, 4, 324. [Google Scholar] [CrossRef] [PubMed]
- Huot, B.; Yao, J.; Montgomery, B.L.; He, S.Y. Growth–defense tradeoffs in plants: A balancing act to optimize fitness. Mol. Plant 2014, 7, 1267–1287. [Google Scholar] [CrossRef]
- Atlihan, R.; Kasap, I.; Özgökçe, M.S.; Polat-Akköprü, E.; Chi, H. Population growth of Dysaphis pyri (Hemiptera: Aphididae) on different pear cultivars with discussion on curve fitting in life table studies. J. Econ. Entomol. 2017, 110, 1890–1898. [Google Scholar] [CrossRef] [PubMed]
- Li, X.F.; Feng, D.D.; Xue, Q.Q.; Meng, T.L.; Ma, R.Y.; Deng, A.; Chi, H.; Wu, Z.Y.; Atlıhan, R.; Men, L.N.; et al. Density-dependent demography and mass-rearing of Carposina sasakii (Lepidoptera: Carposinidae) incorporating life table variability. J. Econ. Entomol. 2019, 112, 255–265. [Google Scholar] [CrossRef] [PubMed]
- Becklin, S.; Jin, Y.; Rebarber, R.; Tenhumberg, B. Spatial dynamics of a pest population with stage-structure and control. J. Math. Biol. 2025, 90, 48. [Google Scholar] [CrossRef]
- Pointer, M.D.; Spurgin, L.G.; McMullan, M.; Butler, S.; Richardson, D.S. Life history correlations and trade-offs resulting from selection for dispersal in Tribolium castaneum. J. Evol. Biol. 2024, 37, 748–757. [Google Scholar] [CrossRef]
- Zhao, C.T.; Tian, D.; Mo, Y.E.; Yu, G.; Ji, C.J.; Fan, D.Y.; Wang, X.P.; Fang, J.Y. Trouble follows the needy: More severe leaf herbivory in the resource-poor temperate oak forest than in the birch forest. Funct. Ecol. 2025, 39, 1083–1095. [Google Scholar] [CrossRef]






| Development Stage (d) | N | CK | N | LD | N | MD | N | SD |
|---|---|---|---|---|---|---|---|---|
| Egg | 30 | 7.00 ± 0.00 a | 30 | 7.00 ± 0.00 a | 30 | 7.00 ± 0.00 a | 30 | 7.00 ± 0.00 a |
| 1st instar | 30 | 2.07 ± 0.05 b | 30 | 2.23 ± 0.08 ab | 30 | 2.43 ± 0.10 a | 30 | 2.20 ± 0.11 ab |
| 2nd instar | 29 | 5.31 ± 0.11 a | 30 | 5.17 ± 0.13 a | 30 | 5.33 ± 0.12 a | 29 | 5.07 ± 0.07 a |
| 3rd instar | 29 | 4.07 ± 0.08 a | 30 | 4.23 ± 0.13 a | 30 | 4.13 ± 0.11 a | 29 | 4.00 ± 0.07 a |
| 4th instar | 29 | 4.79 ± 0.16 a | 29 | 4.38 ± 0.12 b | 30 | 4.47 ± 0.15 ab | 29 | 4.55 ± 0.16 ab |
| 5th instar | 29 | 5.66 ± 0.18 a | 28 | 4.11 ± 0.09 b | 29 | 4.48 ± 0.20 b | 28 | 4.14 ± 0.16 b |
| 6th instar | 29 | 5.62 ± 0.17 a | 27 | 4.59 ± 0.12 c | 28 | 5.11 ± 0.20 ab | 27 | 5.04 ± 0.21 bc |
| 7th instar | 28 | 6.04 ± 0.15 a | 26 | 4.81 ± 0.17 c | 27 | 5.48 ± 0.16 b | 25 | 5.36 ± 0.19 b |
| 1st to 7th instar | 28 | 33.68 ± 0.37 a | 26 | 29.58 ± 0.21 c | 27 | 31.63 ± 0.57 b | 25 | 30.32 ± 0.36 c |
| Pre-pupa | 28 | 1.04 ± 0.03 a | 26 | 1.04 ± 0.04 a | 27 | 1.07 ± 0.05 a | 25 | 1.16 ± 0.07 a |
| Pupa | 26 | 6.00 ± 0.05 a | 25 | 5.92 ± 0.05 a | 27 | 6.00 ± 0.07 a | 23 | 6.00 ± 0.06 a |
| Adult | 26 | 5.65 ± 0.39 b | 25 | 7.00 ± 0.36 a | 27 | 6.22 ± 0.36 ab | 23 | 7.26 ± 0.39 a |
| Total longevity | 26 | 53.31 ± 0.60 a | 25 | 50.52 ± 0.46 b | 27 | 51.93 ± 0.76 ab | 23 | 51.78 ± 0.51 ab |
| Reproductive Parameters | Water Regime | |||
|---|---|---|---|---|
| CK | LD | MD | SD | |
| Oviposition days (d) | 4.69 ± 0.38 a | 5.57 ± 0.34 a | 4.90 ± 0.31 a | 5.42 ± 0.28 a |
| APOP (d) | 2.15 ± 0.27 a | 1.71 ± 0.16 a | 2.30 ± 0.33 a | 1.67 ± 0.14 a |
| TPOP (d) | 50.69 ± 0.60 a | 45.21 ± 0.40 b | 49.80 ± 0.98 a | 46.25 ± 0.50 b |
| Fecundity (number of egg) | 135.23 ± 4.03 c | 181.64 ± 3.61 a | 144.60 ± 3.77 c | 159.58 ± 4.33 b |
| Hatching rate (%) | 88.87 ± 1.54 a | 89.33 ± 1.82 a | 91.81 ± 1.17 a | 89.52 ± 1.95 a |
| Population Parameters | Water Regime | |||
|---|---|---|---|---|
| CK | LD | MD | SD | |
| Net reproductive rate (R0) | 58.60 ± 12.39 a | 84.77 ± 16.60 a | 48.20 ± 12.48 a | 63.83 ± 14.40 a |
| Intrinsic rate of increase (r/day) | 0.0766 ± 0.0044 b | 0.0924 ± 0.0044 a | 0.0746 ± 0.0056 b | 0.0845 ± 0.0050 ab |
| Finite rate of increase (λ/day) | 1.08 ± 0.00 b | 1.10 ± 0.00 a | 1.08 ± 0.01 b | 1.09 ± 0.01 ab |
| Mean generation time (T/day) | 53.13 ± 0.58 a | 48.05 ± 0.45 b | 51.98 ± 0.98 a | 49.16 ± 0.60 b |
Disclaimer/Publisher’s Note: The statements, opinions and data contained in all publications are solely those of the individual author(s) and contributor(s) and not of MDPI and/or the editor(s). MDPI and/or the editor(s) disclaim responsibility for any injury to people or property resulting from any ideas, methods, instructions or products referred to in the content. |
© 2025 by the authors. Licensee MDPI, Basel, Switzerland. This article is an open access article distributed under the terms and conditions of the Creative Commons Attribution (CC BY) license.
Share and Cite
Chen, C.; Guan, Y.; Wang, Y.; Zhang, Y.; Liu, Z.; Zhou, Y.; Li, Z.; Zhang, Y. Effects of Different Levels of Drought Stress in Ficus Plants on the Life History and Population Growth of Perina nuda (Lepidoptera: Lymantriidae): An Age-Stage, Two-Sex Life Table Analysis. Insects 2026, 17, 48. https://doi.org/10.3390/insects17010048
Chen C, Guan Y, Wang Y, Zhang Y, Liu Z, Zhou Y, Li Z, Zhang Y. Effects of Different Levels of Drought Stress in Ficus Plants on the Life History and Population Growth of Perina nuda (Lepidoptera: Lymantriidae): An Age-Stage, Two-Sex Life Table Analysis. Insects. 2026; 17(1):48. https://doi.org/10.3390/insects17010048
Chicago/Turabian StyleChen, Changqi, Yunfang Guan, Yan Wang, Ying Zhang, Zhu Liu, Yana Zhou, Zongbo Li, and Yuan Zhang. 2026. "Effects of Different Levels of Drought Stress in Ficus Plants on the Life History and Population Growth of Perina nuda (Lepidoptera: Lymantriidae): An Age-Stage, Two-Sex Life Table Analysis" Insects 17, no. 1: 48. https://doi.org/10.3390/insects17010048
APA StyleChen, C., Guan, Y., Wang, Y., Zhang, Y., Liu, Z., Zhou, Y., Li, Z., & Zhang, Y. (2026). Effects of Different Levels of Drought Stress in Ficus Plants on the Life History and Population Growth of Perina nuda (Lepidoptera: Lymantriidae): An Age-Stage, Two-Sex Life Table Analysis. Insects, 17(1), 48. https://doi.org/10.3390/insects17010048

