Microbial Biopesticides to Control Whiteflies in Eggplant Solanum melongena, in Greenhouse
Simple Summary
Abstract
1. Introduction
2. Materials and Methods
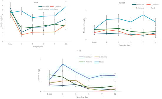
3. Results
4. Discussion
5. Conclusions
- The biopesticides evaluated demonstrated high efficiency in controlling populations of whitefly in an eggplant cultivation in greenhouse.
- The efficiency of C. javanica and B. bassiana was similar to that of the commercial insecticide Spirotetramat for controlling the developmental stages of the whitefly.
- The biopesticides showed high efficiency in controlling the whitefly from the first day of evaluation and maintained this effectiveness for the full 14 days of the study.
Author Contributions
Funding
Data Availability Statement
Conflicts of Interest
Abbreviations
| DAA | Days after application |
References
- Araméndiz, T.H.; Cardona, A.C.; Pérez, P.D. Hibridación artificial en berenjena (Solanum melongena L.) Efecto sobre la producción de frutos y semillas. Rev. UDCA Actual. Divulg. Cient. 2008, 11, 121–130. [Google Scholar]
- Stoleru, V.; Carmen-Simona, I.; Mihalache, G.; Cojocaru, A.; Teliban, G.C.; Caruso, G. Yield and Nutritional Response of Greenhouse Grown Tomato Cultivars to Sustainable Fertilization and Irrigation Management. Plants 2020, 9, 1053. [Google Scholar] [CrossRef]
- SIAP (Servicio de Información Agroalimentaria y Pesquera). Panorama Agroalimentario 2018–2024; Secretaría de Agricultura y Desarrollo Rural: Mexico City, Mexico, 2024; 210p, Available online: https://www.gob.mx/siap/acciones–y-programas/panorama-agroalimentario-258035 (accessed on 15 February 2025).
- Basso, C.; Franco, J.; Grille, G.; Pascal, C. Distribución espacial de Trialeurodes vaporariorum (Homoptera: Aleyrodidae) en plantas de tomate. Bol. Sanid. Veg. Plagas 2001, 27, 475–487. [Google Scholar]
- Dearlove, E.L.; Chandler, D.; Edgington, S.; Berry, D.S.; Martin, G.; Svendsen, C.; Hesketh, H. Improved control of Trialeurodes vaporariorum using mixture combinations of entomopathogenic fungi and the chemical insecticide spiromesifen. Sci. Rep. 2024, 14, 15259. [Google Scholar] [CrossRef]
- Scotta, R.R.; Sánchez, D.A.E.; Arregui, M.C. Determinación de las pérdidas causadas por la mosca blanca de los invernaderos (Trialeurodes vaporariorum) en cultivos de tomate bajo invernadero. FAVE Secc. Cienc. Agrar. 2014, 13, 29–34. [Google Scholar] [CrossRef][Green Version]
- Toledo, P.C. Beauveria bassiana con flupyradifurone para controlar Trialeurodes vaporariorum Vuill en el cultivo del ejote franés. Agron. Mesoam. 2019, 30, 647–657. [Google Scholar] [CrossRef]
- Abdukerim, R. Biodiversity of entomopathogenic fungi genus Beauveria in the soils of arid zone. Glob. J. Environ. Sci. Manag. 2025, 11, 193–206. [Google Scholar] [CrossRef]
- Figueroa, G.A.M.; Castro, T.E.A.; Castro, S.H.T. Efecto bioplaguicida de extractos vegetales para el control de Spodoptera frugiperda en el cultivo de maíz (Zea mays). Acta Biol. Colomb. 2019, 24, 58–66. [Google Scholar] [CrossRef]
- García-Hernández, S.A.; Marín-Sánchez, J.; Romero-Méndez, M.; Hernández-Pérez, C.; López-Aguirre, S. Productive and quality response of six varieties of bell pepper (Capsicum annuum L.) to organic fertilization in Guadalzacar, S.L.P. Rev. Bio Cienc. 2020, 7, e743. [Google Scholar] [CrossRef]
- Nava-Pérez, E.; García-Gutiérrez, C.; Camacho-Báez, J.R.; Vázquez-Montoya, E.L. Bioplaguicidas: Una opción para el control biológico de plagas. Ra Ximhai 2012, 8, 17–29. [Google Scholar] [CrossRef]
- Quesada-Moraga, E.; González-Mas, N.; Yousef-Yousef, M.; Garrido-Jurado, I.; Fernández-Bravo, M. Key role of environmental competence in successful use of entomopathogenic fungi in microbial pest control. J. Pest Sci. 2024, 97, 1–15. [Google Scholar] [CrossRef]
- Kumar, P.; Poehling, H.M. Uv-blocking Plastic Films and Nets Influence Vectors and Virus Transmission on Greenhouse Tomatoes in the Humid Tropics. Environ. Entomol. 2006, 35, 1069–1082. [Google Scholar] [CrossRef]
- Wittmann, S.; Jüttner, I.; Mewis, I.; Förster, N.; Asseng, S.; Mempel, H. Advanced strawberry farming: Effect of UV light and fruiting characteristics on resource efficiency in Vertical Indoor Farming. J. Appl. Bot. Food Qual. 2025, 98, 1–10. [Google Scholar] [CrossRef]
- Torres-Torres, L.; Espinel-Correal, C.; Santos-Díaz, A.M. Hospederos alternativos y estandarización de métodos para evaluar la actividad biocontroladora de micoinsecticidas. Rev. Colomb. Entomol. 2020, 46, e7678. [Google Scholar] [CrossRef]
- Murillo- Alonso, K.; Brunner, C.; Ayala-Zermeño, M.; Enríquez-Vara, J.; Toriello, C. Insecticidas agrícolas a base de hongos en México. Sci. Fungorum 2024, 55, 13. [Google Scholar]
- Alatorre, R.R. Hongos entomopatógenos. In Teoría y Aplicación del Control Biológico, 1st ed.; Rodríguez del-Bosque, L.A., Arredondo-Bernal, H.C., Eds.; Sociedad Mexicana de Control Biológico: San Andrés Cholula, Mexico, 2007; Volume 1, p. 303. [Google Scholar]
- Kesho, A. Microbial Bio-Pesticides and Their Use in Integrated Pest Management. Chem. Biomol. Eng. 2020, 5, 26–34. [Google Scholar] [CrossRef]
- Gallou, A.; Serna-Domínguez, M.G.; Berlanga-Padilla, A.M.; Ayala-Zermeño, M.A.; Mellín-Rosas, M.A.; Montesinos-Matías, R.; Arredondo-Bernal, H.C. Species clarification of Cordyceps isolates used as biocontrol agents against Diaphorina citri (Hemiptera: Liviidae) in Mexico. Fungal Biol. 2016, 120, 414–423. [Google Scholar] [CrossRef]
- Sharma, A.; Sharma, S.; Yadav, P.K. Entomopathogenic fungi and their relevance in sustainable agriculture: A review. Cogent Food Agric. 2023, 9, 2180857. [Google Scholar] [CrossRef]
- Lisi, F.; Siscaro, G.; Biondi, A.; Zappalà, L.; Ricupero, M. Non-target effects of bioinsecticides on natural enemies of arthropod pests. Curr. Opin. Environ. Sci. Health 2025, 45, 100624. [Google Scholar] [CrossRef]
- Abonyo, E.A.; Maniania, N.K.; Warui, C.M.; Kokwaro, E.D.; Palmer, T.M.; Doak, D.F.; Brody, A.K. Effects of entomopathogenic fungus Metarhizium anisopliae on non-target ants associated with Odontotermes spp. (Isoptera: Termitidae) termite mounds in Kenya. Int. J. Trop. Insect Sci. 2016, 36, 128–134. [Google Scholar] [CrossRef]
- Muñiz-Reyes, E.; Ramos, B.C.A.; Rodríguez-Hernández, C.; Ortega-Arenas, L.D. Actividad biológica De Nim en Adultos De Mosca Blanca Trialeurodes vaporariorum (Aleyrodidae) West. Rev. Mex. Cienc. Agríc. 2017, 7, 1283–1295. [Google Scholar] [CrossRef][Green Version]
- García-Pereyra, J.; Aviña-Martínez, G.N.; De los Santos-Villalobos, S.; Graciano, R.R.; Garcia Montelongo, A.M.; Medrano-Roldán, H. Formulation of a bioinsecticide based on neem and chamomile used for the greenhouse control of the glasshouse whitefly Trialeurodes vaporariorum. Mod. Environ. Sci. Eng. 2021, 7, 119–125. [Google Scholar]
- Murillo-Cuevas, F.D.; Cabrera-Mireles, H.; Adame-García, J.; Fernández-Viveros, J.A.; Villegas Narváez, J.; López-Morales, V.; Vázquez-Hernández, A.; Meneses-Márquez, I. Evaluación de insecticidas biorracionales en el control de mosca blanca (Hemiptera: Aleyrodidae) en la producción de hortalizas. Biotecnia 2020, 22, 39–47. [Google Scholar] [CrossRef]
- CNRCB (Centro Nacional de Referencia de Control Biológico). Collection of Entomopathogenic Fungi: Catalogue of Species; Centro Nacional de Referencia Fitosanitaria; Dirección General de Sanidad Vegetal; Servicio Nacional de Sanidad, Inocuidad y Calidad Agroalimentaria; Secretario de Agricultura y Desarrollo Rural: Colima, Mexico, 2025; 107p. Available online: https://www.gob.mx/senasica/documentos/coleccion-de-hongos-entomopatogenos (accessed on 12 May 2025).
- Gómez, R.H.; Zapata, G.A.; Torres, D.A.E.; Tenorio, C.M. Manual de Producción y Uso de Hongos Entomopatógenos; SENASA Peru: Lima, Peru, 2014; 37p. [Google Scholar]
- Vélez, A.P.E.; Posada, F.F.J.; Marín, M.P.; González, G.M.T.; Osorio, V.E.; Bustillo, P.A.E. Técnicas Para el Control de Calidad de Formulaciones de Hongos Entomopatógenos; Boletín Técnico No. 17; Cenicafé: Chinchiná, Colombia, 1997; 37p. [Google Scholar]
- Ain, Q.M.; Mohsin, A.U.l.; Naeem, M.; Shabbir, G. Effect of entomopathogenic fungi, Beauveria bassiana and Metarhizium anisopliae, on Thrips tabaci Lindeman (Thysanoptera: Thripidae) populations in different onion cultivars. Egypt. J. Biol. Pest Control 2021, 31, 97. [Google Scholar] [CrossRef]
- Ahmed, M.; Lokma, N.; Hendawy, M. Efficacy of Some Insecticides Against Whitefly, Bemisia tabaci (Genn.), White Butterfly, Pieris rapae (Linn.) and Their Associated Natural Enemies on Brassica Fields. Egypt. Acad. J. Biol. Sci. F Toxicol. Pest Control 2023, 15, 99–106. [Google Scholar] [CrossRef]
- Nguyen, T.H.; Phung Le, K.Y.; Thai, T.N.D.; Diem, N.T.; Duy, D.A. Insecticidal activity of isolated Purpureocillium lilacinum PL1 against whitefly, Bemisia tabaci Gennadius (Hemiptera: Aleyrodidae) on cassava plantations in southern Viet Nam. Egypt. J. Biol. Pest Control 2023, 33, 44. [Google Scholar] [CrossRef]
- Avery, P.B.; Kumar, V.; Skvarch, E.A.; Mannion, C.M.; Powell, C.A.; McKenzie, C.L.; Osborne, L.S. An Ecological Assessment of Isaria fumosorosea Applications Compared to a Neonicotinoid Treatment for Regulating Invasive Ficus Whitefly. J. Fungi 2019, 5, 36. [Google Scholar] [CrossRef]
- Chouikhi, S.; Assadi, B.H.; Lebdi, K.G.; Belkadhi, M.S. Efficacy of the entomopathogenic fungus, Beauveria bassiana and Lecanicillium muscarium against two main pests, Bemisia tabaci (Genn.) and Tetranychus urticae (Koch), under geothermal greenhouses of Southern Tunisia. Egypt. J. Biol. Pest Control 2022, 32, 125. [Google Scholar] [CrossRef]
- Ghongade, D.S.; Sangha, K.S. Efficacy of biopesticides against the whitefly, Bemisia tabaci (Gennadius) (Hemiptera: Aleyrodidae), on parthenocarpic cucumber grown under protected environment in India. Egypt. J. Biol. Pest Control 2021, 31, 19. [Google Scholar] [CrossRef]
- Henderson, C.F.; Tilton, W.E. Tests with acaricides against the brow wheat mite. J. Econ. Entomol. 1995, 48, 157–161. [Google Scholar] [CrossRef]
- Little, T.M.; Hills, F.J. Agricultural Experimentation: Design and Analysis, 1st ed.; John Wiley and Sons: New York, NY, USA, 1978; p. 350. [Google Scholar]
- Martínez, G.A. Experimentación Agrícola. Métodos Estadísticos, 1st ed.; Universidad Autónoma Chapingo: Texcoco, Mexico, 1994; p. 357. [Google Scholar]
- StatSoft Inc. “Statistica”, Data Analysis Software System, version 7. StatSoft Inc.: Tulsa, OK, USA, 2004; Available online: https://statistica.software.informer.com/7.0/ (accessed on 12 May 2025).
- Siegel, S.; Castellan, N.J. Nonparametric Statistics for the Behavioral Sciences, 2nd ed.; McGraw-Hill: New York, NY, USA, 1988; pp. 213–215. [Google Scholar]
- Macbeth, G.; Razumiejczyk, E.; Ledesma, R.D. Cliff’s Delta Calculator: A non-parametric effect size program for two groups of observations. Univ. Psychol. 2011, 10, 545–555. [Google Scholar] [CrossRef]
- García-Gutiérrez, C.; González-Maldonado, M.B. Uso de bioinsecticidas para el control de plagas de hortalizas en comunidades rurales. Ra Ximhai 2010, 6, 17–22. [Google Scholar] [CrossRef]
- Laeun, J.; Young-gyun, P.; Un, T.L. Beauveria bassiana ARP14 a potential entomopathogenic fungus against Bemisia tabaci (Gennadius) and Trialeurodes vaporariorum (Westwood) (Hemiptera: Aleyrodidae). J. Asia-Pac. Entomol. 2023, 26, 102022. [Google Scholar] [CrossRef]
- Scorsetti, A.C.; Humber, R.A.; De Gregorio, C.; López, L.C.C. New records of entomopathogenic fungi infecting Bemisia tabaci and Trialeurodes vaporariorum, pests of horticultural crops, in Argentina. BioControl 2008, 53, 787. [Google Scholar] [CrossRef]
- D’Alessandro, C.P. Hongos Patógenos de la Mosca Blanca [Hemiptera:Aleyrodidae]:Diversidad, Patología y Variación Estacional en Cultivos Hortícolas. Ph.D. Thesis, Universidad Nacional de La Plata, Facultad de Ciencias Naturales y Museo, La Plata, Argentina, 2010. Available online: http://naturalis.fcnym.unlp.edu.ar/id/20120126001036 (accessed on 16 December 2024).
- Cabanillas, H.E.; Jones, W.A. Pathogenicity of Isaria sp. (Hypocreales: Clavicipitaceae) against the sweet potato whitefly B biotype, Bemisia tabaci (Hemiptera: Aleyrodidae). Crop Prot. 2009, 28, 333–337. [Google Scholar] [CrossRef]
- Orozco-Santos, M.; Larios, J.F.; Pérez, J.L.; Vásquez, N.R.R. Uso de Beauveria bassiana para el control de Bemisia argentifolii en melón. Manejo Integr. Plagas 2000, 56, 45–51. [Google Scholar]
- Quesada-Moraga, E.; Maranhao, E.A.A.; Valverde-García, P.; Santiago-Álvarez, C. Selection of Beauveria bassiana isolates for control of the whiteflies Bemisia tabaci and Trialeurodes vaporariorum on the basis of their virulence, thermal requirements, and toxicogenic activity. Biol. Control 2006, 36, 274–287. [Google Scholar] [CrossRef]
- Kim, C.S.; Lee, J.B.; Kim, B.; Nam, Y.H.; Shin, K.S.; Kim, J.W.; Kim, J.E.; Kwon, G.S. A Technique for the Prevention of Greenhouse Whitefly (Trialeurodes vaporariorum) Using the Entomopathogenic Fungus Beauveria bassiana M130. J. Microbiol. Biotechnol. 2014, 24, 1–7. [Google Scholar] [CrossRef]
- Paradza, V.M.; Khamis, F.M.; Yusuf, A.A.; Subramanian, S.; Akutse, K.S. Virulence and horizontal transmission of Metarhizium anisopliae by the adults of the greenhouse whitefly Trialeurodes vaporariorum (Hemiptera: Aleyrodidae) and the efficacy of oil formulations against its nymphs. Heliyon 2021, 7, 2405–8440. [Google Scholar] [CrossRef]
- Aiuchi, D.; Moyo, D.; Ishikura, S.; Tani, M.; Kinoshita, R.; Rakotondrafara, A.M.; Koike, M. Virulence of Lecanicillium spp. (Hypocreales: Cordycipitaceae) hybrid strains against various biological stages of the greenhouse whitefly, Trialeurodes vaporariorum (Hemiptera: Aleyroidae). Biocontrol Sci. Technol. 2020, 30, 1006–1017. [Google Scholar] [CrossRef]
- Javar, S.; Farrokhi, S.; Naeimi, S.; Jooshani, M.K. Comparison of survival and pathogenicity of Beauveria bassiana A1-1 spores produced in solid and liquid state fermentation on whitefly nymph, Trialeurodes vaporariorum. J. Plant Prot. Res. 2023, 63, 308–317. [Google Scholar] [CrossRef]
- Gebremariam, A.; Chekol, Y.; Assefa, F. Extracellular enzyme activity of entomopathogenic fungi, Beauveria bassiana and Metarhizium anisopliae and their pathogenicity potential as a bio-control agent against whitefly pests, Bemisia tabaci and Trialeurodes vaporariorum (Hemiptera: Aleyrodidae). BMC Res. Notes 2022, 15, 117. [Google Scholar] [CrossRef] [PubMed]
- Gebremariam, A.; Mekuriaw, E.; Shemekit, F.; Assefa, F. Integrated Potential of Microbial, Botanical, and Chemical Pesticides for the Control of Viral Disease Vector Whiteflies (Hemiptera: Aleyrodidae) on Tomato under Greenhouse and Field Perspectives. Int. J. Agron. 2022, 2022, e08277. [Google Scholar] [CrossRef]
- Komagata, Y.; Sekine, T.; Oe, T.; Kakui, S.; Yamanaka, S. Simultaneous use of Beauveria bassiana and Bacillus subtilis-based biopesticides contributed to dual control of Trialeurodes vaporariorum (Hemiptera: Aleyrodidae) and tomato powdery mildew without antagonistic interactions. Egypt. J. Biol. Pest Control 2024, 34, 18. [Google Scholar] [CrossRef]



Disclaimer/Publisher’s Note: The statements, opinions and data contained in all publications are solely those of the individual author(s) and contributor(s) and not of MDPI and/or the editor(s). MDPI and/or the editor(s) disclaim responsibility for any injury to people or property resulting from any ideas, methods, instructions or products referred to in the content. |
© 2025 by the authors. Licensee MDPI, Basel, Switzerland. This article is an open access article distributed under the terms and conditions of the Creative Commons Attribution (CC BY) license (https://creativecommons.org/licenses/by/4.0/).
Share and Cite
Cabrera-Mireles, H.; Jiménez-Jiménez, M.; Ruiz-Ramírez, J.; Murillo-Cuevas, F.D.; Adame-García, J.; Jiménez-Zilli, J.; Vásquez Hernández, A.; Herrera-Bonilla, R.U. Microbial Biopesticides to Control Whiteflies in Eggplant Solanum melongena, in Greenhouse. Insects 2025, 16, 578. https://doi.org/10.3390/insects16060578
Cabrera-Mireles H, Jiménez-Jiménez M, Ruiz-Ramírez J, Murillo-Cuevas FD, Adame-García J, Jiménez-Zilli J, Vásquez Hernández A, Herrera-Bonilla RU. Microbial Biopesticides to Control Whiteflies in Eggplant Solanum melongena, in Greenhouse. Insects. 2025; 16(6):578. https://doi.org/10.3390/insects16060578
Chicago/Turabian StyleCabrera-Mireles, Héctor, Magali Jiménez-Jiménez, Juan Ruiz-Ramírez, Félix David Murillo-Cuevas, Jacel Adame-García, Jorge Jiménez-Zilli, Andrés Vásquez Hernández, and Rubén Uriel Herrera-Bonilla. 2025. "Microbial Biopesticides to Control Whiteflies in Eggplant Solanum melongena, in Greenhouse" Insects 16, no. 6: 578. https://doi.org/10.3390/insects16060578
APA StyleCabrera-Mireles, H., Jiménez-Jiménez, M., Ruiz-Ramírez, J., Murillo-Cuevas, F. D., Adame-García, J., Jiménez-Zilli, J., Vásquez Hernández, A., & Herrera-Bonilla, R. U. (2025). Microbial Biopesticides to Control Whiteflies in Eggplant Solanum melongena, in Greenhouse. Insects, 16(6), 578. https://doi.org/10.3390/insects16060578

