Cadmium Contaminants in Pollen and Nectar Are Variably Linked to the Growth and Foraging Behaviors of Honey Bees
Simple Summary
Abstract
1. Introduction
2. Materials and Methods
2.1. Study Site
2.2. Experimental Design
2.3. Measurements
2.4. Data Analyses
3. Results
3.1. Effects of Soil Cd Concentration on Plant Traits
3.2. Effects of Soil Cd Concentration on Body Mass and Cd Concentration of Honey Bees
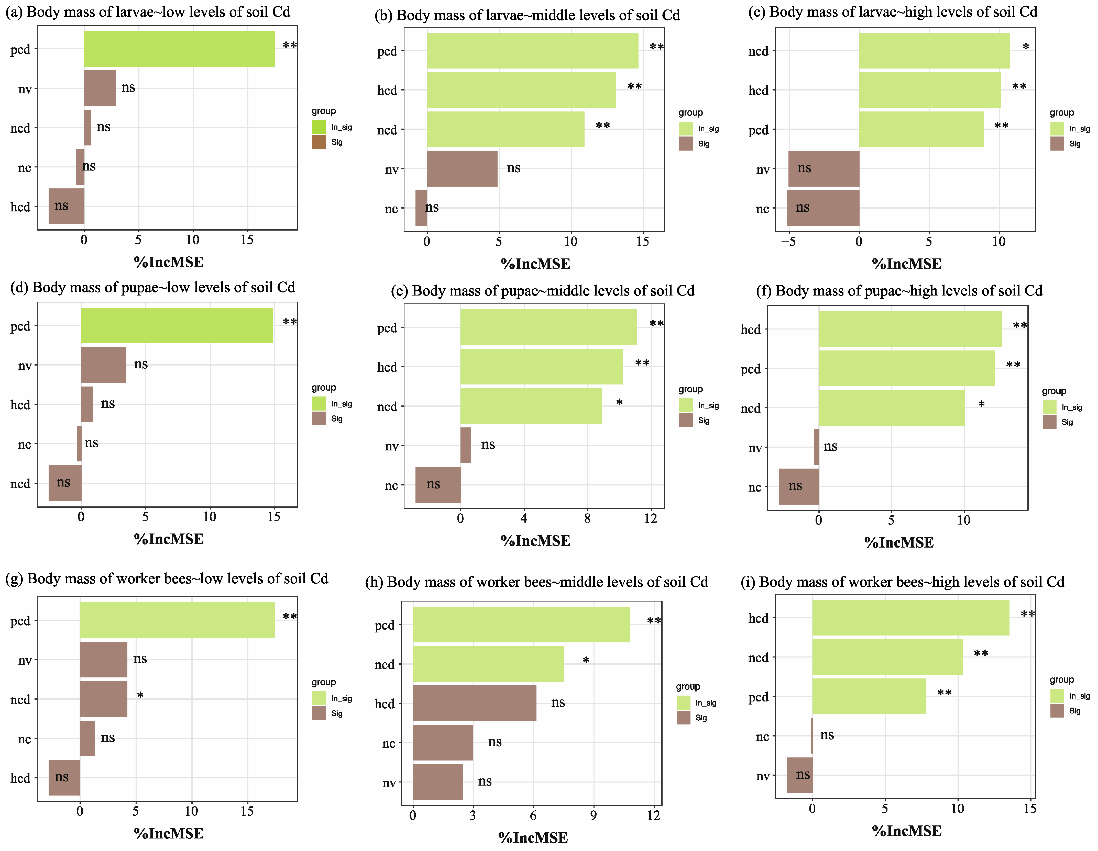
3.3. The Relationships Among the Plant Traits, Honey Bee Growth and Foraging Behavior
4. Discussion
5. Conclusions
Supplementary Materials
Author Contributions
Funding
Data Availability Statement
Conflicts of Interest
References
- Häder, D.P.; Banaszak, A.T.; Villafae, V.E.; Narvarte, M.A.; Helbling, E.W. Anthropogenic pollution of aquatic ecosystems: Emerging problems with global implications. Sci. Total Environ. 2020, 713, 136586. [Google Scholar] [CrossRef] [PubMed]
- Shetty, S.S.; Deepthi, D.; Harshitha, S.; Sonkusare, S.; Naik, P.B.; Suchetha, K.N.; Madhyastha, H. Environmental pollutants and their effects on human health. Heliyon 2023, 9, e19496. [Google Scholar] [CrossRef] [PubMed]
- Zandebasiri, M.; Jahanbazi Goujani, H.; Iranmanesh, Y.; Azadi, H.; Viira, A.-H.; Habibi, M. Ecosystem services valuation: A review of concepts, systems, new issues, and considerations about pollution in ecosystem services. Environ. Sci. Pollut. Res. 2023, 30, 83051–83070. [Google Scholar] [CrossRef] [PubMed]
- Foster, I.; Charlesworth, S. Heavy metals in the hydrological cycle: Trends and explanation. Hydrol. Process. 1996, 10, 227–261. [Google Scholar] [CrossRef]
- Koelbener, A.; Ramseier, D.; Suter, M. Competition alters plant species response to nickel and zinc. Plant Soil 2008, 303, 241–251. [Google Scholar] [CrossRef]
- Moroń, D.; Grześ, I.M.; Skorka, P.; Szentgyörgyi, H.; Laskowski, R.; Potts, S.G.; Woyciechowski, M. Abundance and diversity of wild bees along gradients of heavy metal pollution. J. Appl. Ecol. 2012, 49, 118–125. [Google Scholar] [CrossRef]
- Tian, S.; Wang, S.; Bai, X.; Zhou, D.; Luo, G.; Yang, Y.; Hu, Z.; Li, C.; Deng, Y.; Lu, Q. Ecological security and health risk assessment of soil heavy metals on a village-level scale, based on different land use types. Environ. Geochem. Health 2020, 42, 3393–3413. [Google Scholar] [CrossRef]
- Saleem, M.; Asghar, H.N.; Zahir, Z.A.; Shahid, M. Impact of lead tolerant plant growth promoting rhizobacteria on growth, physiology, antioxidant activities, yield and lead content in sunflower in lead contaminated soil. Chemosphere 2018, 195, 606–614. [Google Scholar] [CrossRef]
- Harris, R.C.; Rudd, J.W.; Amyot, M.; Babiarz, C.L.; Beaty, K.G.; Blanchfield, P.J.; Bodaly, R.; Branfireun, B.A.; Gilmour, C.C.; Graydon, J.A. Whole-ecosystem study shows rapid fish-mercury response to changes in mercury deposition. Proc. Natl. Acad. Sci. USA 2007, 104, 16586–16591. [Google Scholar] [CrossRef]
- Kubier, A.; Wilkin, R.T.; Pichler, T. Cadmium in soils and groundwater: A review. Appl. Geochem. 2019, 108, 104388. [Google Scholar] [CrossRef]
- Williams, C.; Harrison, R. Cadmium in the atmosphere. Experientia 1984, 40, 29–36. [Google Scholar] [CrossRef]
- Knoll, S.; Cappai, M.G. Foraging activity of honey bees (Apis mellifera L., 1758) and exposure to cadmium: A review. Biol. Trace Elem. Res. 2024, 202, 5733–5742. [Google Scholar] [CrossRef] [PubMed]
- Xun, E.; Zhang, Y.; Zhao, J.; Guo, J. Heavy metals in nectar modify behaviors of pollinators and nectar robbers: Consequences for plant fitness. Environ. Pollut. 2018, 242, 1166–1175. [Google Scholar] [CrossRef] [PubMed]
- Zattara, E.E.; Aizen, M.A. Worldwide occurrence records suggest a global decline in bee species richness. One Earth 2021, 4, 114–123. [Google Scholar] [CrossRef]
- Bruckner, S.; Steinhauer, N.; Aurell, S.D.; Caron, D.M.; James, D.; Fauvel, A.M.; Kulhanek, K.; Mcart, S.H.; Mullen, E.; Sagili, R.; et al. 2018–2019 Honey bee colony losses in the United States: Preliminary Results. In The Bee Informed Partnership; 2019; pp. 1–5.
- Brunet, J.; Fragoso, F.P. What are the main reasons for the worldwide decline in pollinator populations? CABI Rev. 2024, 19, 1–11. [Google Scholar] [CrossRef]
- Di, N.; Zhang, K.; Hladun, K.R.; Rust, M.; Chen, Y.F.; Zhu, Z.Y.; Liu, T.X.; Trumble, J.T. Joint effects of cadmium and copper on Apis mellifera forgers and larvae. Comp. Biochem. Physiol. Part C Toxicol. Pharmacol. 2020, 237, 108839. [Google Scholar] [CrossRef]
- Shi, X.; Ma, C.; Gustave, W.; Orr, M.C.; Yuan, Z.; Chen, J.; Yang, G.; Niu, Z.; Zhou, Q.; Xia, C. The impact of heavy metal pollution on wild bee communities in smallholder farmlands. Environ. Res. 2023, 233, 116515. [Google Scholar] [CrossRef]
- Monchanin, C.; Burden, C.; Barron, A.B.; Smith, B.H. Heavy metal pollutants: The hidden pervasive threat to honey bees and other pollinators. In Advances in Insect Physiology; Elsevier: Amsterdam, The Netherlands, 2023; pp. 255–288. [Google Scholar]
- Sivakoff, F.S.; McLaughlin, R.; Gardiner, M.M. Cadmium soil contamination alters plant-pollinator interactions. Environ. Pollut. 2024, 356, 124316. [Google Scholar] [CrossRef]
- Losfeld, G.; Saunier, J.B.; Grison, C. Minor and trance-elements in apiary products from a historical mining district (Les Malines, France). Food Chem. 2014, 146, 455–459. [Google Scholar] [CrossRef]
- Borsuk, G.; Sulborska, A.; Stawiarz, E.; Olszewski, K.; Wiacek, D.; Ramzi, N.; Nawrocka, A.; Jedryczka, M. Capacity of honeybees to remove heavy metals from nectar and excrete the contaminants from their bodies. Apidologie 2021, 52, 1098–1111. [Google Scholar] [CrossRef]
- Bogdanov, S. Contaminants of bee products. Apidologie 2006, 37, 1–18. [Google Scholar] [CrossRef]
- Liu, J.; Xiao, Y.L.; Dai, W.F.; Duan, J.F.; Mu, J.P. Effects of cadmium treatment on plant-pollinator interactions. Chin. J. Appl. Environ. Biol. 2021, 25, 1233–1239. [Google Scholar]
- Gekière, A.; Breuer, L.; Dorio, L.; Vanderplanck, M.; Michez, D. Lethal effects and sex-specific tolerance of copper and cadmium in the buff-tailed bumble bee. Environ. Toxicol. Pharmacol. 2024, 110, 104546. [Google Scholar] [CrossRef] [PubMed]
- Hu, B.; Shao, S.; Ni, H.; Fu, Z.; Hu, L.; Zhou, Y.; Min, X.; She, S.; Chen, S.; Huang, M. Current status, spatial features, health risks, and potential driving factors of soil heavy metal pollution in China at province level. Environ. Pollut. 2020, 266, 114961. [Google Scholar] [CrossRef]
- Cheng, B.; Gou, Z.; Zhang, F.; Feng, Q.; Huang, Z. Thermal comfort in urban mountain parks in the hot summer and cold winter climate. Sustain. Cities Soc. 2019, 51, 101756. [Google Scholar] [CrossRef]
- Fan, J.; Jintrawet, A.; Sangchyoswat, C. The relationships between extreme precipitation and rice and maize yields using machine learning in Sichuan Province, China. Curr. Appl. Sci. Technol. 2020, 20, 453–469. [Google Scholar]
- Dorn, L.A.; Mitchell-Olds, T. Genetics of Brassica campestris. 1. Genetic constraints on evolution of life-history characters. Evolution 1991, 45, 371–379. [Google Scholar] [CrossRef]
- Gao, R.; Hu, B.; Yuan, Y.; He, M.; Wang, R.; Lou, Y.; Mu, J. Nitrogen addition affects floral and vegetative traits, reproduction, and pollinator performance in Capsicum annuum L. Ann. Bot. 2023, 132, 1131–1144. [Google Scholar] [CrossRef]
- Horn, J.; Becher, M.A.; Johst, K.; Kennedy, P.J.; Osborne, J.L.; Radchuk, V.; Grimm, V. Honey bee colony performance affected by crop diversity and farmland structure: A modeling framework. Ecol. Appl. 2021, 31, e02216. [Google Scholar] [CrossRef]
- Real, L.A.; Rathcke, B.J. Individual variation in nectar production and its effect on fitness in Kalmia latifolia. Ecology 1991, 72, 149–155. [Google Scholar] [CrossRef]
- Li, Z.D.; Xuan, L.J.; Quan, H.S. A comparison of several methods used in the field for nectar collection and concentration analysis. Acta Phytotaxon. Sin. 2006, 44, 320–326. [Google Scholar] [CrossRef]
- Heady, H.F. The measurement and value of plant height in the study of herbaceous vegetation. Ecology 1957, 38, 313–320. [Google Scholar] [CrossRef]
- Page, R.E.; Peng, Y.S. Aging and development in social insects with emphasis on the honey bee, Apis mellifera L. Exp. Gerontol. 2001, 36, 695–711. [Google Scholar] [CrossRef] [PubMed]
- Zółtowska, K.; Fraczek, R.; Lipinski, Z. Hydrolases of developing worker brood and newly emerged worker of Apis mellifera carnica. J. Apic. Sci. 2011, 51, 27–37. [Google Scholar]
- Arroyo, M.T.K.; Armesto, J.J.; Primack, R.B. Community studies in pollination ecology in the high temperate Andes of central Chile II. effect of temperature on visitation rates and pollination possibilities. Plant Syst. Evol. 1985, 149, 187–203. [Google Scholar] [CrossRef]
- Vaudo, A.D.; Patch, H.M.; Mortensen, D.A.; Grozinger, C.M.; Tooker, J.F. Bumble bees exhibit daily behavioral patterns in pollen foraging. Arthropod-Plant Interact. 2014, 8, 273–283. [Google Scholar] [CrossRef]
- Wang, R.; Lou, Y.; He, L.; Chen, J.; Chen, Y.; Yan, W.; Deng, D.; Mu, J. Plant functional groups and soil properties vary with the restoration periods in Zoige desertification land. Front. Ecol. Evol. 2023, 11, 1331618. [Google Scholar] [CrossRef]
- Gammon, N. Determination of total potassium and sodium in sandy soils by flame photometer. Soil Sci. 1951, 71, 211–214. [Google Scholar] [CrossRef]
- Lobo, F.A.; Goveia, D.; Oliveira, A.P.; Romão, L.P.; Fraceto, L.F.; Dias Filho, N.L.; Rosa, A.H. Development of a method to determine Ni and Cd in biodiesel by graphite furnace atomic absorption spectrometry. Fuel 2011, 90, 142–146. [Google Scholar] [CrossRef]
- Bates, D.; Maechler, M. lme4: Linear Mixed-Effects Models Using S4 Classes. 2010. R Package Version 0.999375-37. Available online: http://www.r-project.org (accessed on 19 March 2019).
- Rigatti, S.J. Random forest. J. Insur. Med. 2017, 47, 31–39. [Google Scholar] [CrossRef]
- Lai, J.; Zou, Y.; Zhang, S.; Zhang, X.; Mao, L. glmm. hp: An R package for computing individual effect of predictors in generalized linear mixed models. J. Plant Ecol. 2022, 15, 1302–1307. [Google Scholar] [CrossRef]
- Li, T.; Lu, M.; Xu, B.; Chen, H.; Li, J.; Zhu, Z.; Yu, M.; Zheng, J.; Peng, P.; Wu, S. Multiple perspectives reveal the gut toxicity of polystyrene microplastics on Eisenia fetida: Insights into community signatures of gut bacteria and their translocation. Sci. Total Environ. 2022, 838, 156352. [Google Scholar] [CrossRef] [PubMed]
- Hladun, K.R.; Di, N.; Liu, T.X.; Trumble, J.T. Metal contaminant accumulation in the hive: Consequences for whole-colony health and brood production in the honey bee (Apis mellifera L.). Environ. Toxicol. Chem. 2016, 35, 322–329. [Google Scholar] [CrossRef] [PubMed]
- Moroń, D.; Szentgyörgyi, H.; Skórka, P.; Potts, S.G.; Woyciechowski, M. Survival, reproduction and population growth of the bee pollinator, Osmia rufa (Hymenoptera: Megachilidae), along gradients of heavy metal pollution. Insect Conserv. Divers. 2014, 7, 113–121. [Google Scholar] [CrossRef]
- Dai, W.; Yang, Y.; Patch, H.M.; Grozinger, C.M.; Mu, J. Soil moisture affects plant–pollinator interactions in an annual flowering plant. Philos. Trans. R. Soc. B 2022, 377, 20210423. [Google Scholar] [CrossRef]
- Kammerer, M.; Iverson, A.L.; Li, K.; Tooker, J.F.; Grozinger, C.M. Seasonal bee communities vary in their responses to resources at local and landscape scales: Implication for land managers. Landsc. Ecol. 2024, 39, 97. [Google Scholar] [CrossRef]
- Mu, J.; Che, P.; Li, D.; Chen, J.; Zhao, C.; Grozinger, C.M. Honey bees and bumble bees react differently to nitrogen-induced increases in floral resources. Environ. Entomol. 2024, 53, 1111–1119. [Google Scholar] [CrossRef]
- Carvalho, M.E.; Gaziola, S.A.; Carvalho, L.A.; Azevedo, R.A. Cadmium effects on plant reproductive organs: Physiological, productive, evolutionary and ecological aspects. Ann. Appl. Biol. 2021, 178, 227–243. [Google Scholar] [CrossRef]
- Hladun, K.R.; Parker, D.R.; Trumble, J.T. Cadmium, copper, and lead accumulation and bioconcentration in the vegetative and reproductive organs of Raphanus sativus: Implications for plant performance and pollination. J. Chem. Ecol. 2015, 41, 386–395. [Google Scholar] [CrossRef]




| Cd Content of Leaves | Cd Content of Flowers | Cd Content of Stems | Cd Content of Roots | |||||||||
|---|---|---|---|---|---|---|---|---|---|---|---|---|
| Predictors | Estimates | CI | p | Estimates | CI | p | Estimates | CI | p | Estimates | CI | p |
| (Intercept) | 0.16 *** | 0.10–0.21 | <0.001 | −1.03 *** | −1.15–−0.91 | <0.001 | 0.49 *** | 0.46–0.53 | <0.001 | −0.46 *** | −0.60–−0.32 | <0.001 |
| tr [Cdmiddle] | 0.19 *** | 0.12–0.26 | <0.001 | 0.38 *** | 0.26–0.51 | <0.001 | 1.55 *** | 1.40–1.72 | <0.001 | 0.45 *** | 0.33–0.56 | <0.001 |
| tr [Cdhigh] | 0.38 *** | 0.31–0.44 | <0.001 | 0.55 *** | 0.43–0.67 | <0.001 | 1.85 *** | 1.66–2.06 | <0.001 | 0.84 *** | 0.73–0.95 | <0.001 |
| TN | 0.02 | −0.01–0.05 | 0.180 | 0.03 | −0.02–0.08 | 0.277 | 1.00 | 0.96–1.05 | 0.939 | 0.01 | −0.03–0.05 | 0.564 |
| TP | −0.01 | −0.04–0.02 | 0.448 | 0.00 | −0.05–0.06 | 0.859 | 1.02 | 0.97–1.07 | 0.507 | −0.02 | −0.06–0.03 | 0.507 |
| TK | −0.01 | −0.04–0.02 | 0.583 | 0.02 | −0.04–0.07 | 0.551 | 1.02 | 0.97–1.07 | 0.533 | −0.00 | −0.05–0.04 | 0.835 |
| pH | −0.01 | −0.03–0.01 | 0.401 | −0.02 | −0.06–0.03 | 0.440 | 0.97 | 0.93–1.01 | 0.131 | −0.01 | −0.05–0.02 | 0.470 |
| Observations | 90 | 90 | 90 | 90 | ||||||||
| Marginal R2/Conditional R2 | 0.493/NA | 0.808/0.859 | 0.659/NA | 0.779/0.809 | ||||||||
| Cd Content of Pollen | Cd Content of Nectar | Cd Content of Honey | |||||||
|---|---|---|---|---|---|---|---|---|---|
| Predictors | Estimates | CI | p | Estimates | CI | p | Estimates | CI | p |
| (Intercept) | −2.21 *** | −2.30–−2.12 | <0.001 | −3.64 *** | −3.73–−3.55 | <0.001 | −4.36 *** | −4.50–−4.22 | <0.001 |
| tr [Cdmiddle] | 0.41 *** | 0.31–0.51 | <0.001 | 0.23 *** | 0.15–0.31 | <0.001 | 1.19 *** | 1.07–1.32 | <0.001 |
| tr [Cdhigh] | 0.85 *** | 0.76–0.94 | <0.001 | 0.61 *** | 0.54–0.69 | <0.001 | 1.77 *** | 1.65–1.89 | <0.001 |
| TN | 0.00 | −0.03–0.04 | 0.790 | 0.02 | −0.01–0.05 | 0.207 | 0.00 | −0.02–0.03 | 0.695 |
| TP | −0.02 | −0.06–0.02 | 0.281 | −0.01 | −0.05–0.02 | 0.425 | −0.02 | −0.05–0.00 | 0.090 |
| TK | −0.01 | −0.05–0.02 | 0.444 | −0.00 | −0.04–0.03 | 0.909 | −0.00 | −0.03–0.02 | 0.772 |
| pH | −0.00 | −0.03–0.03 | 0.800 | 0.01 | −0.02–0.04 | 0.633 | −0.01 | −0.03–0.01 | 0.401 |
| Observations | 90 | 90 | 90 | ||||||
| Marginal R2/Conditional R2 | 0.984/0.995 | 0.961/1.000 | 0.996/1.000 | ||||||
| Nectar Volume per Flower | Nectar Concentration | |||||
|---|---|---|---|---|---|---|
| Predictors | Estimates | CI | p | Estimates | CI | p |
| (Intercept) | −0.11 ** | −0.18–−0.04 | 0.002 | 3.76 *** | 3.72–3.80 | <0.001 |
| tr [Cdmiddle] | −0.05 | −0.10–0.01 | 0.097 | −0.00 | −0.06–0.06 | 0.897 |
| tr [Cdhigh] | −0.20 *** | −0.26–−0.14 | <0.001 | 0.04 | −0.02–0.10 | 0.151 |
| TN | −0.01 | −0.03–0.02 | 0.600 | −0.02 | −0.05–0.01 | 0.144 |
| TP | 0.01 | −0.02–0.04 | 0.456 | 0.02 | −0.01–0.05 | 0.152 |
| TK | 0.01 | −0.02–0.04 | 0.518 | 0.02 | −0.00–0.05 | 0.102 |
| pH | 0.03 * | 0.00–0.05 | 0.030 | 0.02 | −0.01–0.04 | 0.181 |
| Observations | 90 | 90 | ||||
| Marginal R2/Conditional R2 | 0.465/0.562 | 0.000/NA | ||||
Disclaimer/Publisher’s Note: The statements, opinions and data contained in all publications are solely those of the individual author(s) and contributor(s) and not of MDPI and/or the editor(s). MDPI and/or the editor(s) disclaim responsibility for any injury to people or property resulting from any ideas, methods, instructions or products referred to in the content. |
© 2025 by the authors. Licensee MDPI, Basel, Switzerland. This article is an open access article distributed under the terms and conditions of the Creative Commons Attribution (CC BY) license (https://creativecommons.org/licenses/by/4.0/).
Share and Cite
Li, D.; Liu, J.; Yuan, Y.; Chen, J.; Mu, J. Cadmium Contaminants in Pollen and Nectar Are Variably Linked to the Growth and Foraging Behaviors of Honey Bees. Insects 2025, 16, 306. https://doi.org/10.3390/insects16030306
Li D, Liu J, Yuan Y, Chen J, Mu J. Cadmium Contaminants in Pollen and Nectar Are Variably Linked to the Growth and Foraging Behaviors of Honey Bees. Insects. 2025; 16(3):306. https://doi.org/10.3390/insects16030306
Chicago/Turabian StyleLi, Dawei, Jia Liu, Yibin Yuan, Juanli Chen, and Junpeng Mu. 2025. "Cadmium Contaminants in Pollen and Nectar Are Variably Linked to the Growth and Foraging Behaviors of Honey Bees" Insects 16, no. 3: 306. https://doi.org/10.3390/insects16030306
APA StyleLi, D., Liu, J., Yuan, Y., Chen, J., & Mu, J. (2025). Cadmium Contaminants in Pollen and Nectar Are Variably Linked to the Growth and Foraging Behaviors of Honey Bees. Insects, 16(3), 306. https://doi.org/10.3390/insects16030306

