Exploring the Diversity of Microbial Communities Associated with Two Anopheles Species During Dry Season in an Indigenous Community from the Colombian Amazon
Simple Summary
Abstract
1. Introduction
2. Materials and Methods
2.1. Ethics Statement
2.2. Study Area and Collection of Samples
2.3. DNA Extraction of Immature Individuals, Adult Mosquitoes, and Water Sample from the Breeding Site
2.4. Molecular Identification of Anopheles Specimens and Endosymbiotic Bacteria
2.5. Next-Generation Sequencing of the DNA Samples
2.6. Bioinformatic and Statistical Analysis of the Bacterial Microbiome
3. Results
3.1. Characterization of the Anopheles Specimens in the Intradomestic and Peridomestic Areas, Amazonian Secondary Forest, and Breeding Site
3.2. Identification of Breeding Sites and Physicochemical Parameters of Water
3.3. Identification of Endosymbiotic Bacteria in Anophelines Collected in S.P.L.-Leticia, Amazonas
3.4. Bacterial Communities and Endosymbiont Presence in Anopheles Larvae, Pupae, Adults, and Breeding Site
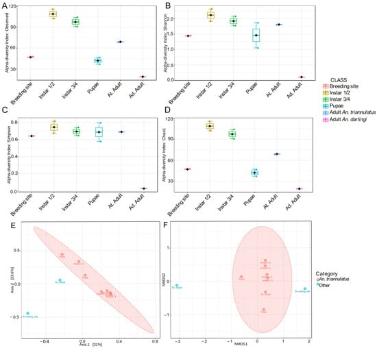
3.5. Diversity and Microbial Community Structures in the Different Life Stages of An. triannulatus s.l., Its Breeding Site, and An. darlingi Adults
4. Discussion
5. Conclusions
Supplementary Materials
Author Contributions
Funding
Data Availability Statement
Acknowledgments
Conflicts of Interest
References
- Kwansa-Bentum, B.; Aboagye-Antwi, F.; Otchere, J.; Wilson, M.D.; Boakye, D.A. Implications of Low-Density Microfilariae Carriers in Anopheles Transmission Areas: Molecular Forms of Anopheles Gambiae and Anopheles Funestus Populations in Perspective. Parasit. Vectors 2014, 7, 157. [Google Scholar] [CrossRef] [PubMed][Green Version]
- Gleave, K.; Cook, D.; Taylor, M.J.; Reimer, L.J. Filarial Infection Influences Mosquito Behaviour and Fecundity. Sci. Rep. 2016, 6, 36319. [Google Scholar] [CrossRef] [PubMed]
- Belda, E.; Nanfack-Minkeu, F.; Eiglmeier, K.; Carissimo, G.; Holm, I.; Diallo, M.; Diallo, D.; Vantaux, A.; Kim, S.; Sharakhov, I.V.; et al. De Novo Profiling of RNA Viruses in Anopheles Malaria Vector Mosquitoes from Forest Ecological Zones in Senegal and Cambodia. BMC Genomics 2019, 20, 664. [Google Scholar] [CrossRef]
- Guzmán-Terán, C.; Calderón-Rangel, A.; Rodriguez-Morales, A.; Mattar, S. Venezuelan Equine Encephalitis Virus: The Problem Is Not over for Tropical America. Ann. Clin. Microbiol. Antimicrob. 2020, 19, 19. [Google Scholar] [CrossRef]
- María Claudia, A.-P.; Alfonso, C.-R.; Richard, H.-L. Genetic Diversity and Phylogeny of Anopheles Nuneztovari C and Anopheles Albimanus, Vectors of Malaria in the Department of Córdoba, Colombia. Heliyon 2023, 9, e23006. [Google Scholar] [CrossRef] [PubMed]
- Hernandez-Valencia, J.C.; Muñoz-Laiton, P.; Gómez, G.F.; Correa, M.M. A Systematic Review on the Viruses of Anopheles Mosquitoes: The Potential Importance for Public Health. Trop. Med. Infect. Dis. 2023, 8, 459. [Google Scholar] [CrossRef]
- World Health Organization. World Malaria Report 2023; World Health Organization: Geneva, Switzerland, 2023. [Google Scholar]
- Ferreira, M.U.; Gamboa, D.; Torres, K.; Rodriguez-Ferrucci, H.; Soto-Calle, V.E.; Pardo, K.; Fontoura, P.S.; Tomko, S.S.; Gazzinelli, R.T.; Conn, J.E.; et al. Evidence-Based Malaria Control and Elimination in the Amazon: Input from the International Center of Excellence in Malaria Research Network in Peru and Brazil. Am. J. Trop. Med. Hyg. 2022, 107, 160–167. [Google Scholar] [CrossRef]
- Quiñones, M.L.; Ruiz, F.; Calle, D.A.; Harbach, R.E.; Erazo, H.F.; Linton, Y.-M. Incrimination of Anopheles (Nyssorhynchus) Rangeli and An. (Nys.) Oswaldoi as Natural Vectors of Plasmodium Vivax in Southern Colombia. Mem. Inst. Oswaldo Cruz 2006, 101, 617–623. [Google Scholar] [CrossRef]
- Montoya-Lerma, J.; Solarte, Y.A.; Giraldo-Calderón, G.I.; Quiñones, M.L.; Ruiz-López, F.; Wilkerson, R.C.; González, R. Malaria Vector Species in Colombia: A Review. Mem. Inst. Oswaldo Cruz 2011, 106, 223–238. [Google Scholar] [CrossRef]
- Pimenta, P.F.; Orfano, A.S.; Bahia, A.C.; Duarte, A.P.; Ríos-Velásquez, C.M.; Melo, F.F.; Pessoa, F.A.; Oliveira, G.A.; Campos, K.M.; Villegas, L.M.; et al. An Overview of Malaria Transmission from the Perspective of Amazon Anopheles Vectors. Mem. Inst. Oswaldo Cruz 2015, 110, 23–47. [Google Scholar] [CrossRef]
- Padilla-Rodríguez, J.C.; Olivera, M.J.; Ahumada-Franco, M.L.; Paredes-Medina, A.E. Malaria Risk Stratification in Colombia 2010 to 2019. PLoS ONE 2021, 16, e0247811. [Google Scholar] [CrossRef] [PubMed]
- Camargo-Ayala, P.A.; Cubides, J.R.; Niño, C.H.; Camargo, M.; Rodríguez-Celis, C.A.; Quiñones, T.; Sánchez-Suárez, L.; Patarroyo, M.E.; Patarroyo, M.A. High Plasmodium Malariae Prevalence in an Endemic Area of the Colombian Amazon Region. PLoS ONE 2016, 11, e0159968. [Google Scholar] [CrossRef] [PubMed]
- Niño, C.H.; Cubides, J.R.; Camargo-Ayala, P.A.; Rodríguez-Celis, C.A.; Quiñones, T.; Cortés-Castillo, M.T.; Sánchez-Suárez, L.; Sánchez, R.; Patarroyo, M.E.; Patarroyo, M.A. Plasmodium Malariae in the Colombian Amazon Region: You Don’t Diagnose What You Don’t Suspect. Malar. J. 2016, 15, 576. [Google Scholar] [CrossRef]
- Camargo, M.; Soto-De León, S.C.; Del Río-Ospina, L.; Páez, A.C.; González, Z.; González, E.; Cubides, J.R.; Camargo-Ayala, P.A.; Patarroyo, M.E.; Patarroyo, M.A. Micro-Epidemiology of Mixed-Species Malaria Infections in a Rural Population Living in the Colombian Amazon Region. Sci. Rep. 2018, 8, 5543. [Google Scholar] [CrossRef] [PubMed]
- Romoli, O.; Gendrin, M. The Tripartite Interactions between the Mosquito, Its Microbiota and Plasmodium. Parasit. Vectors 2018, 11, 200. [Google Scholar] [CrossRef]
- Lindh, J.M.; Borg-Karlson, A.-K.; Faye, I. Transstadial and Horizontal Transfer of Bacteria within a Colony of Anopheles Gambiae (Diptera: Culicidae) and Oviposition Response to Bacteria-Containing Water. Acta Trop. 2008, 107, 242–250. [Google Scholar] [CrossRef]
- Nilsson, L.K.J.; de Oliveira, M.R.; Marinotti, O.; Rocha, E.M.; Håkansson, S.; Tadei, W.P.; de Souza, A.Q.L.; Terenius, O. Characterization of Bacterial Communities in Breeding Waters of Anopheles Darlingi in Manaus in the Amazon Basin Malaria-Endemic Area. Microb. Ecol. 2019, 78, 781–791. [Google Scholar] [CrossRef]
- Onchuru, T.O.; Ajamma, Y.U.; Burugu, M.; Kaltenpoth, M.; Masiga, D.; Villinger, J. Chemical Parameters and Bacterial Communities Associated with Larval Habitats of Anopheles, Culex and Aedes Mosquitoes (Diptera: Culicidae) in Western Kenya. Int. J. Trop. Insect Sci. 2016, 36, 146–160. [Google Scholar] [CrossRef]
- Mutinda, J.; Mwamburi, S.M.; Oduor, K.O.; Vincent Omolo, M.; Ntabo, R.M.; Gathiru, J.M.; Mwangangi, J.; Nonoh, J.O.M. Profiles of Bacterial Communities and Environmental Factors Associated with Proliferation of Malaria Vector Mosquitoes within the Kenyan Coast. Access Microbiol. 2023, 5, 000606-v4. [Google Scholar] [CrossRef]
- Sandeu, M.M.; Maffo, C.G.T.; Dada, N.; Njiokou, F.; Hughes, G.L.; Wondji, C.S. Seasonal Variation of Microbiota Composition in Anopheles Gambiae and Anopheles Coluzzii in Two Different Eco-geographical Localities in Cameroon. Med. Vet. Entomol. 2022, 36, 269–282. [Google Scholar] [CrossRef]
- Birnberg, L.; Climent-Sanz, E.; Codoñer, F.M.; Busquets, N. Microbiota Variation Across Life Stages of European Field-Caught Anopheles Atroparvus and During Laboratory Colonization: New Insights for Malaria Research. Front. Microbiol. 2021, 12, 775078. [Google Scholar] [CrossRef] [PubMed]
- Fofana, A.; Gendrin, M.; Romoli, O.; Yarbanga, G.A.B.; Ouédraogo, G.A.; Yerbanga, R.S.; Ouédraogo, J.-B. Analyzing Gut Microbiota Composition in Individual Anopheles Mosquitoes after Experimental Treatment. iScience 2021, 24, 103416. [Google Scholar] [CrossRef]
- Mosquera, K.D.; Nilsson, L.K.J.; de Oliveira, M.R.; Rocha, E.M.; Marinotti, O.; Håkansson, S.; Tadei, W.P.; de Souza, A.Q.L.; Terenius, O. Comparative Assessment of the Bacterial Communities Associated with Anopheles Darlingi Immature Stages and Their Breeding Sites in the Brazilian Amazon. Parasit. Vectors 2023, 16, 156. [Google Scholar] [CrossRef] [PubMed]
- Rocha, E.M.; Marinotti, O.; Serrão, D.M.; Correa, L.V.; Katak, R.d.M.; de Oliveira, J.C.; Muniz, V.A.; de Oliveira, M.R.; do Nascimento Neto, J.F.; Pessoa, M.C.F.; et al. Culturable Bacteria Associated with Anopheles Darlingi and Their Paratransgenesis Potential. Malar. J. 2021, 20, 40. [Google Scholar] [CrossRef] [PubMed]
- Bascuñán, P.; Niño-Garcia, J.P.; Galeano-Castañeda, Y.; Serre, D.; Correa, M.M. Factors Shaping the Gut Bacterial Community Assembly in Two Main Colombian Malaria Vectors. Microbiome 2018, 6, 148. [Google Scholar] [CrossRef]
- Galeano-Castañeda, Y.; Bascuñán, P.; Serre, D.; Correa, M.M. Trans-Stadial Fate of the Gut Bacterial Microbiota in Anopheles Albimanus. Acta Trop. 2020, 201, 105204. [Google Scholar] [CrossRef]
- Savi, M.K. An Overview of Malaria Transmission Mechanisms, Control, and Modeling. Med. Sci. 2022, 11, 3. [Google Scholar] [CrossRef]
- Martello, E.; Yogeswaran, G.; Reithinger, R.; Leonardi-Bee, J. Mosquito Aquatic Habitat Modification and Manipulation Interventions to Control Malaria. Cochrane Database Syst. Rev. 2022, 17. [Google Scholar] [CrossRef]
- Trzebny, A.; Slodkowicz-Kowalska, A.; Björkroth, J.; Dabert, M. Microsporidian Infection in Mosquitoes (Culicidae) Is Associated with Gut Microbiome Composition and Predicted Gut Microbiome Functional Content. Microb. Ecol. 2023, 85, 247–263. [Google Scholar] [CrossRef]
- Baldini, F.; Rougé, J.; Kreppel, K.; Mkandawile, G.; Mapua, S.A.; Sikulu-Lord, M.; Ferguson, H.M.; Govella, N.; Okumu, F.O. First Report of Natural Wolbachia Infection in the Malaria Mosquito Anopheles Arabiensis in Tanzania. Parasit. Vectors 2018, 11, 635. [Google Scholar] [CrossRef]
- Niang, E.H.A.; Bassene, H.; Makoundou, P.; Fenollar, F.; Weill, M.; Mediannikov, O. First Report of Natural Wolbachia Infection in Wild Anopheles Funestus Population in Senegal. Malar. J. 2018, 17, 408. [Google Scholar] [CrossRef] [PubMed]
- Jeffries, C.L.; Lawrence, G.G.; Golovko, G.; Kristan, M.; Orsborne, J.; Spence, K.; Hurn, E.; Bandibabone, J.; Tantely, L.M.; Raharimalala, F.N.; et al. Novel Wolbachia Strains in Anopheles Malaria Vectors from Sub-Saharan Africa. Wellcome Open Res. 2018, 3, 113. [Google Scholar] [CrossRef] [PubMed]
- Wong, M.L.; Liew, J.W.K.; Wong, W.K.; Pramasivan, S.; Mohamed Hassan, N.; Wan Sulaiman, W.Y.; Jeyaprakasam, N.K.; Leong, C.S.; Low, V.L.; Vythilingam, I. Natural Wolbachia Infection in Field-Collected Anopheles and Other Mosquito Species from Malaysia. Parasit. Vectors 2020, 13, 414. [Google Scholar] [CrossRef] [PubMed]
- Waymire, E.; Duddu, S.; Yared, S.; Getachew, D.; Dengela, D.; Bordenstein, S.R.; Balkew, M.; Zohdy, S.; Irish, S.R.; Carter, T.E. Wolbachia 16S RRNA Haplotypes Detected in Wild Anopheles Stephensi in Eastern Ethiopia. Parasit. Vectors 2022, 15, 178. [Google Scholar] [CrossRef]
- Vandana, V.; Dong, S.; Sheth, T.; Sun, Q.; Wen, H.; Maldonado, A.; Xi, Z.; Dimopoulos, G. Wolbachia Infection-Responsive Immune Genes Suppress Plasmodium Falciparum Infection in Anopheles Stephensi. PLoS Pathog. 2024, 20, e1012145. [Google Scholar] [CrossRef]
- Herren, J.K.; Mbaisi, L.; Mararo, E.; Makhulu, E.E.; Mobegi, V.A.; Butungi, H.; Mancini, M.V.; Oundo, J.W.; Teal, E.T.; Pinaud, S.; et al. A Microsporidian Impairs Plasmodium Falciparum Transmission in Anopheles Arabiensis Mosquitoes. Nat. Commun. 2020, 11, 2187. [Google Scholar] [CrossRef]
- Akorli, J.; Akorli, E.A.; Tetteh, S.N.A.; Amlalo, G.K.; Opoku, M.; Pwalia, R.; Adimazoya, M.; Atibilla, D.; Pi-Bansa, S.; Chabi, J.; et al. Microsporidia MB Is Found Predominantly Associated with Anopheles Gambiae s.s and Anopheles Coluzzii in Ghana. Sci. Rep. 2021, 11, 18658. [Google Scholar] [CrossRef]
- Ahouandjinou, M.J.; Sovi, A.; Sidick, A.; Sewadé, W.; Koukpo, C.Z.; Chitou, S.; Towakinou, L.; Adjottin, B.; Hougbe, S.; Tokponnon, F.; et al. First Report of Natural Infection of Anopheles Gambiae s.s. and Anopheles Coluzzii by Wolbachia and Microsporidia in Benin: A Cross-Sectional Study. Malar. J. 2024, 23, 72. [Google Scholar] [CrossRef]
- Moustapha, L.M.; Sadou, I.M.; Arzika, I.I.; Maman, L.I.; Gomgnimbou, M.K.; Konkobo, M.; Diabate, A.; Bilgo, E. First Identification of Microsporidia MB in Anopheles Coluzzii from Zinder City, Niger. Parasit. Vectors 2024, 17, 39. [Google Scholar] [CrossRef]
- Lindh, J.M.; Terenius, O.; Faye, I. 16S RRNA Gene-Based Identification of Midgut Bacteria from Field-Caught Anopheles Gambiae Sensu Lato and A. Funestus Mosquitoes Reveals New Species Related to Known Insect Symbionts. Appl. Environ. Microbiol. 2005, 71, 7217–7223. [Google Scholar] [CrossRef]
- Segata, N.; Baldini, F.; Pompon, J.; Garrett, W.S.; Truong, D.T.; Dabiré, R.K.; Diabaté, A.; Levashina, E.A.; Catteruccia, F. The Reproductive Tracts of Two Malaria Vectors Are Populated by a Core Microbiome and by Gender- and Swarm-Enriched Microbial Biomarkers. Sci. Rep. 2016, 6, 24207. [Google Scholar] [CrossRef] [PubMed]
- Chepkemoi, S.T.; Mararo, E.; Butungi, H.; Paredes, J.; Masiga, D.K.; Sinkins, S.P.; Herren, J.K. Identification of Spiroplasma Insolitum Symbionts in Anopheles Gambiae. Wellcome Open Res. 2017, 2, 90. [Google Scholar] [CrossRef] [PubMed]
- Diebel, J.; Norda, J.; Kretchmer, O.; Kretchmer, J. Datos Históricos Meteorológicos Del 16 de Noviembre de 2023 En El Alfredo Vásquez Cobo International Airport, Colombia-Weather Spark. Available online: https://es.weatherspark.com/h/d/147330/2023/11/18/Tiempo-hist%C3%B3rico-el-s%C3%A1bado-18-de-noviembre-de-2023-en-Alfredo-V%C3%A1squez-Cobo-International-Airport-Colombia (accessed on 10 September 2024).
- Espinoza, J.-C.; Jimenez, J.C.; Marengo, J.A.; Schongart, J.; Ronchail, J.; Lavado-Casimiro, W.; Ribeiro, J.V.M. The New Record of Drought and Warmth in the Amazon in 2023 Related to Regional and Global Climatic Features. Sci. Rep. 2024, 14, 8107. [Google Scholar] [CrossRef] [PubMed]
- Williams, K.E.; Huyvaert, K.P.; Piaggio, A.J. No Filters, No Fridges: A Method for Preservation of Water Samples for EDNA Analysis. BMC Res. Notes 2016, 9, 298. [Google Scholar] [CrossRef]
- Faran, M.E. Mosquito Studies (Diptera: Culicidae) XXXIV. A Revision of the Albimanus Section of the Subgenus Nyssorhynchus of Anopheles. Contrib. Am. Entomol. Inst. 1980, 15, 1–214. [Google Scholar]
- Faran, M.E.; Linthicum, K.J. A Handbook of the Amazonian Species of Anopheles (Nyssorhynchus) (Diptera: Culicidae). Mosq. Syst. 1981, 13, 1–81. [Google Scholar]
- Sallum, M.A.M.; Obando, R.G.; Carrejo, N.; Wilkerson, R.C. Identification Keys to the Anopheles Mosquitoes of South America (Diptera: Culicidae). II. Fourth-Instar Larvae. Parasit. Vectors 2020, 13, 582. [Google Scholar] [CrossRef]
- Sallum, M.A.M.; Obando, R.G.; Carrejo, N.; Wilkerson, R.C. Identification Keys to the Anopheles Mosquitoes of South America (Diptera: Culicidae). IV. Adult Females. Parasit. Vectors 2020, 13, 584. [Google Scholar] [CrossRef]
- Folmer, O.; Black, M.; Hoeh, W.; Lutz, R.; Vrijenhoek, R. DNA Primers for Amplification of Mitochondrial Cytochrome c Oxidase Subunit I from Diverse Metazoan Invertebrates. Mol. Mar. Biol. Biotechnol. 1994, 3, 294–299. [Google Scholar]
- Kumar, S.; Stecher, G.; Li, M.; Knyaz, C.; Tamura, K. MEGA X: Molecular Evolutionary Genetics Analysis across Computing Platforms. Mol. Biol. Evol. 2018, 35, 1547–1549. [Google Scholar] [CrossRef]
- Duron, O.; Bouchon, D.; Boutin, S.; Bellamy, L.; Zhou, L.; Engelstädter, J.; Hurst, G.D. The Diversity of Reproductive Parasites among Arthropods: Wolbachiado Not Walk Alone. BMC Biol. 2008, 6, 27. [Google Scholar] [CrossRef] [PubMed]
- Ghosh, S.; Bouvaine, S.; Maruthi, M. Prevalence and Genetic Diversity of Endosymbiotic Bacteria Infecting Cassava Whiteflies in Africa. BMC Microbiol. 2015, 15, 93. [Google Scholar] [CrossRef] [PubMed]
- Vivero-Gomez, R.J.; Castañeda-Monsalve, V.A.; Atencia, M.C.; Hoyos-Lopez, R.; Hurst, G.D.; Cadavid-Restrepo, G.; Moreno-Herrera, C.X. Molecular Phylogeny of Heritable Symbionts and Microbiota Diversity Analysis in Phlebotominae Sand Flies and Culex Nigripalpus from Colombia. PLoS Negl. Trop. Dis. 2021, 15, e0009942. [Google Scholar] [CrossRef]
- Espejo, R.T.; Feijóo, C.G.; Romero, J.; Vásquez, M. PAGE Analysis of the Heteroduplexes Formed between PCR-Amplified 16S RRNA Genes: Estimation of Sequence Similarity and RDNA Complexity. Microbiology 1998, 144, 1611–1617. [Google Scholar] [CrossRef] [PubMed][Green Version]
- Yu, Y.; Lee, C.; Kim, J.; Hwang, S. Group-specific Primer and Probe Sets to Detect Methanogenic Communities Using Quantitative Real-time Polymerase Chain Reaction. Biotechnol. Bioeng. 2005, 89, 670–679. [Google Scholar] [CrossRef]
- Rosero, D.A.; Naranjo-Diaz, N.; Alvarez, N.; Cienfuegos, A.V.; Torres, C.; Luckhart, S.; Correa, M.M. Colombian Anopheles Triannulatus (Diptera: Culicidae) Naturally Infected with Plasmodium Spp. ISRN Parasitol. 2013, 2013, 927453. [Google Scholar] [CrossRef]
- Naranjo-Díaz, N.; Conn, J.E.; Correa, M.M. Behavior and Population Structure of Anopheles Darlingi in Colombia. Infect. Genet. Evol. 2016, 39, 64–73. [Google Scholar] [CrossRef]
- Instituto Nacional de Salud. Orientaciones Para La Vigilancia de Vectores de La Malaria En Colombia; 2021. Available online: https://www.ins.gov.co/BibliotecaDigital/orientaciones-para-la-vigilancia-de-vectores-de-la-malaria-en-colombia-2021.pdf (accessed on 2 October 2024).
- Ahumada, M.L.; Orjuela, L.I.; Pareja, P.X.; Conde, M.; Cabarcas, D.M.; Cubillos, E.F.G.; Lopez, J.A.; Beier, J.C.; Herrera, S.; Quiñones, M.L. Spatial Distributions of Anopheles Species in Relation to Malaria Incidence at 70 Localities in the Highly Endemic Northwest and South Pacific Coast Regions of Colombia. Malar. J. 2016, 15, 407. [Google Scholar] [CrossRef]
- Montoya, C.; Bascuñán, P.; Rodríguez-Zabala, J.; Correa, M.M. Abundance, Composition and Natural Infection of Anopheles Mosquitoes from Two Malaria-Endemic Regions of Colombia. Biomédica 2017, 37, 98. [Google Scholar] [CrossRef][Green Version]
- INS Informe Vigilancia Entomologica De Direccion Redes En Salud Pública. 2019, 1–14. Available online: https://www.ins.gov.co/buscador-eventos/Informacin%20de%20laboratorio/Informe-vigilancia-entomologica-de-Malaria-Colombia-2019.pdf (accessed on 2 October 2024).
- Ruiz, F.; Linton, Y.-M.; Ponsonby, D.J.; Conn, J.E.; Herrera, M.; Quiñones, M.L.; Vélez, I.D.; Wilkerson, R.C. Molecular Comparison of Topotypic Specimens Confirms Anopheles (Nyssorhynchus) Dunhami Causey (Diptera: Culicidae) in the Colombian Amazon. Mem. Inst. Oswaldo Cruz 2010, 105, 899–903. [Google Scholar] [CrossRef]
- Gonzalez Obando, R.; Carrejo Gironza, N. Introducción Al Estudio Taxónomico de Anopheles de Colombia: Claves y Notas de Distribución; Programa Editorial Universidad del Valle: Santiago de Cali, Colombia, 2018. [Google Scholar]
- Sinka, M.E. Global Distribution of the Dominant Vector Species of Malaria. In Anopheles Mosquitoes-New Insights into Malaria Vectors; InTech: Rijeka, Croatia, 2013. [Google Scholar]
- Rios-Velásquez, C.M.; Martins-Campos, K.M.; Simões, R.C.; Izzo, T.; dos Santos, E.V.; Pessoa, F.A.; Lima, J.B.; Monteiro, W.M.; Secundino, N.F.; Lacerda, M.V.; et al. Experimental Plasmodium Vivax Infection of Key Anopheles Species from the Brazilian Amazon. Malar. J. 2013, 12, 460. [Google Scholar] [CrossRef] [PubMed]
- Sellers, S.; Bilsborrow, R.; Salinas, V.; Mena, C. Population and Development in the Amazon: A Longitudinal Study of Migrant Settlers in the Northern Ecuadorian Amazon. Acta Amaz. 2017, 47, 321–330. [Google Scholar] [CrossRef] [PubMed]
- Gori Maia, A.; Schons, S.Z. The Effect of Environmental Change on Out-Migration in the Brazilian Amazon Rainforest. Popul. Environ. 2020, 42, 183–218. [Google Scholar] [CrossRef]
- Ellwanger, J.H.; Kulmann-Leal, B.; Kaminski, V.L.; Valverde-Villegas, J.M.; Veiga, A.B.G.; Spilki, F.R.; Fearnside, P.M.; Caesar, L.; Giatti, L.L.; Wallau, G.L.; et al. Beyond Diversity Loss and Climate Change: Impacts of Amazon Deforestation on Infectious Diseases and Public Health. An. Acad. Bras. Cienc. 2020, 92, e20191375. [Google Scholar] [CrossRef]
- Bourke, B.P.; Conn, J.E.; de Oliveira, T.M.P.; Chaves, L.S.M.; Bergo, E.S.; Laporta, G.Z.; Sallum, M.A.M. Exploring Malaria Vector Diversity on the Amazon Frontier. Malar. J. 2018, 17, 342. [Google Scholar] [CrossRef]
- MacDonald, A.J.; Mordecai, E.A. Amazon Deforestation Drives Malaria Transmission, and Malaria Burden Reduces Forest Clearing. Proc. Natl. Acad. Sci. USA 2019, 116, 22212–22218. [Google Scholar] [CrossRef]
- Prado, C.C.; Alvarado-Cabrera, L.A.; Camargo-Ayala, P.A.; Garzón-Ospina, D.; Camargo, M.; Soto-De León, S.C.; Cubides, J.R.; Celis-Giraldo, C.T.; Patarroyo, M.E.; Patarroyo, M.A. Behavior and Abundance of Anopheles Darlingi in Communities Living in the Colombian Amazon Riverside. PLoS ONE 2019, 14, e0213335. [Google Scholar] [CrossRef]
- Barbosa, L.M.C.; Scarpassa, V.M. Blood-Feeding Behavior of Anopheles Species (Diptera: Culicidae) in the District of Ilha de Santana, State of Amapá, Eastern Brazilian Amazon. Rev. Bras. Entomol. 2021, 65, e20200048. [Google Scholar] [CrossRef]
- Pereira-Silva, J.W.; Martins-Campos, K.M.; Ferreira-Neto, J.V.; Lacerda, M.V.G.; Pessoa, F.A.C.; Ríos-Velásquez, C.M. Amazonian Anopheles with Low Numbers of Oocysts Transmit Plasmodium Vivax Sporozoites during a Blood Meal. Sci. Rep. 2022, 12, 19442. [Google Scholar] [CrossRef]
- Barbosa, L.M.C.; Souto, R.N.P.; dos Anjos Ferreira, R.M.; Scarpassa, V.M. Behavioral Patterns, Parity Rate and Natural Infection Analysis in Anopheline Species Involved in the Transmission of Malaria in the Northeastern Brazilian Amazon Region. Acta Trop. 2016, 164, 216–225. [Google Scholar] [CrossRef]
- Antunes, P.C.A. A New Anopheles and a New Goeldia from Colombia (Dipt. Culic.). Bull. Entomol. Res. 1937, 28, 69–73. [Google Scholar] [CrossRef]
- Lardeux, F.; Chávez, T.; Rodríguez, R.; Torrez, L. Anopheles of Bolivia: New Records with an Updated and Annotated Checklist. Comptes Rendus. Biol. 2008, 332, 489–499. [Google Scholar] [CrossRef] [PubMed]
- La Corte dos Santos, R.; Padilha, A.; Pereira Costa, M.D.; Maia Costa, E.; de Carvalho Dantas-Filho, H.; Marins Povoa, M. Malaria Vectors in Two Indigenous Reserves of the Brazilian Amazon. Rev Saúde Pública 2009, 43, 859–868. [Google Scholar]
- Sallum, M.A.M.; Obando, R.G.; Carrejo, N.; Wilkerson, R.C. Identification Keys to the Anopheles Mosquitoes of South America (Diptera: Culicidae). I. Introduction. Parasit. Vectors 2020, 13, 583. [Google Scholar] [CrossRef]
- Berti, J.; Amarista, J. Nuevo Registro Sobre La Distribución de Anopheles Squamifemur Antunes En Venezuela. Boletín Entomol. Venez. 1993, 7, 157–158. [Google Scholar]
- Barreaux, A.M.G.; Stone, C.M.; Barreaux, P.; Koella, J.C. The Relationship between Size and Longevity of the Malaria Vector Anopheles Gambiae (s.s.) Depends on the Larval Environment. Parasit. Vectors 2018, 11, 485. [Google Scholar] [CrossRef]
- Emidi, B.; Kisinza, W.N.; Mmbando, B.P.; Malima, R.; Mosha, F.W. Effect of Physicochemical Parameters on Anopheles and Culex Mosquito Larvae Abundance in Different Breeding Sites in a Rural Setting of Muheza, Tanzania. Parasit. Vectors 2017, 10, 304. [Google Scholar] [CrossRef]
- Kinga, H.; Kengne-Ouafo, J.A.; King, S.A.; Egyirifa, R.K.; Aboagye-Antwi, F.; Akorli, J. Water Physicochemical Parameters and Microbial Composition Distinguish Anopheles and Culex Mosquito Breeding Sites: Potential as Ecological Markers for Larval Source Surveillance. J. Med. Entomol. 2022, 59, 1817–1826. [Google Scholar] [CrossRef]
- Elanga-Ndille, E.; Nouage, L.; Ndo, C.; Binyang, A.; Assatse, T.; Nguiffo-Nguete, D.; Djonabaye, D.; Irving, H.; Tene-Fossog, B.; Wondji, C.S. The G119S Acetylcholinesterase (Ace-1) Target Site Mutation Confers Carbamate Resistance in the Major Malaria Vector Anopheles Gambiae from Cameroon: A Challenge for the Coming IRS Implementation. Genes 2019, 10, 790. [Google Scholar] [CrossRef]
- da Cruz, D.L.; Paiva, M.H.S.; Guedes, D.R.D.; de Souza Gomes, E.C.; Pires, S.G.; Gomez, L.F.; Ayres, C.F.J. First Report of the L1014F Kdr Mutation in Wild Populations of Anopheles Arabiensis in Cabo Verde, West Africa. Parasit. Vectors 2021, 14, 582. [Google Scholar] [CrossRef]
- Djègbè, I.; Hessou-Djossou, D.; Gounou Boukari, M.K.Y.; Nonfodji, O.; Tchigossou, G.; Djouaka, R.; Cornelie, S.; Akogbeto, M.; Djogbenou, L.; Chandre, F. Physico-Chemical Characterization of Anopheles Gambiae s.l. Breeding Sites and Kdr Mutations in Urban Areas of Cotonou and Natitingou, Benin. BMC Infect. Dis. 2024, 24, 545. [Google Scholar] [CrossRef] [PubMed]
- Ononamadu, C.J.; Datit, J.T.; Imam, A.A. Insecticide Resistance Profile of Anopheles Gambiae Mosquitoes: A Study of a Residential and Industrial Breeding Sites in Kano Metropolis, Nigeria. Environ. Health Insights 2020, 14, 117863021989727. [Google Scholar] [CrossRef] [PubMed]
- Hessou-Djossou, D.; Djègbè, I.; Ahadji-Dabla, K.M.; Nonfodji, O.M.; Tchigossou, G.; Djouaka, R.; Cornelie, S.; Djogbenou, L.; Akogbeto, M.; Chandre, F. Diversity of Larval Habitats of Anopheles Mosquitoes in Urban Areas of Benin and Influence of Their Physicochemical and Bacteriological Characteristics on Larval Density. Parasit. Vectors 2022, 15, 207. [Google Scholar] [CrossRef] [PubMed]
- Ferreira, S.J.F.; Pinel, S.; Ríos-Villamizar, E.A.; Miranda, S.Á.F.; Pascoaloto, D.; Vital, A.R.T.; Monteiro, M.T.F.; da Silva, M.d.S.R.; da Cunha, T.R.B.; dos Santos, A.S.; et al. Impact of Rapid Urbanization on Stream Water Quality in the Brazilian Amazon. Environ. Earth Sci. 2021, 80, 316. [Google Scholar] [CrossRef]
- Akorli, J.; Gendrin, M.; Pels, N.A.P.; Yeboah-Manu, D.; Christophides, G.K.; Wilson, M.D. Seasonality and Locality Affect the Diversity of Anopheles Gambiae and Anopheles Coluzzii Midgut Microbiota from Ghana. PLoS ONE 2016, 11, e0157529. [Google Scholar] [CrossRef]
- Mancini, M.V.; Spaccapelo, R.; Damiani, C.; Accoti, A.; Tallarita, M.; Petraglia, E.; Rossi, P.; Cappelli, A.; Capone, A.; Peruzzi, G.; et al. Paratransgenesis to Control Malaria Vectors: A Semi-Field Pilot Study. Parasit. Vectors 2016, 9, 140. [Google Scholar] [CrossRef]
- Santos, N.A.C.D.; Carvalho, V.R.D.; Souza-Neto, J.A.; Alonso, D.P.; Ribolla, P.E.M.; Medeiros, J.F.; Araujo, M.d.S. Bacterial Microbiota from Lab-Reared and Field-Captured Anopheles Darlingi Midgut and Salivary Gland. Microorganisms 2023, 11, 1145. [Google Scholar] [CrossRef]
- Bassene, H.; Niang, E.H.A.; Fenollar, F.; Doucoure, S.; Faye, O.; Raoult, D.; Sokhna, C.; Mediannikov, O. Role of Plants in the Transmission of Asaia Sp., Which Potentially Inhibit the Plasmodium Sporogenic Cycle in Anopheles Mosquitoes. Sci. Rep. 2020, 10, 7144. [Google Scholar] [CrossRef]
- Egyirifa, R.K.; Akorli, J. Two Promising Candidates for Paratransgenesis, Elizabethkingia and Asaia, Increase in Both Sexes of Anopheles Gambiae Mosquitoes after Feeding. Malar. J. 2024, 23, 45. [Google Scholar] [CrossRef]
- Grogan, C.; Bennett, M.; Moore, S.; Lampe, D. Novel Asaia Bogorensis Signal Sequences for Plasmodium Inhibition in Anopheles Stephensi. Front. Microbiol. 2021, 12, 633667. [Google Scholar] [CrossRef]
- Briones, A.M.; Shililu, J.; Githure, J.; Novak, R.; Raskin, L. Thorsellia Anophelis Is the Dominant Bacterium in a Kenyan Population of Adult Anopheles Gambiae Mosquitoes. ISME J. 2008, 2, 74–82. [Google Scholar] [CrossRef]
- Huang, W.; Rodrigues, J.; Bilgo, E.; Tormo, J.R.; Challenger, J.D.; De Cozar-Gallardo, C.; Pérez-Victoria, I.; Reyes, F.; Castañeda-Casado, P.; Gnambani, E.J.; et al. Delftia Tsuruhatensis TC1 Symbiont Suppresses Malaria Transmission by Anopheline Mosquitoes. Science 2023, 381, 533–540. [Google Scholar] [CrossRef] [PubMed]
- Onchuru, T.; Makhulu, E.; Ronnie, P.; Mandere, S.; Otieno, F.; Gichuhi, J.; Herren, J. The Plasmodium transmission-blocking symbiont, Microsporidia MB, is vertically transmitted through Anopheles arabiensis germline stem cells. PLoS Pathog. 2024, 11, e1012340. [Google Scholar] [CrossRef] [PubMed]
- Chen, S.; Johnson, B.K.; Yu, T.; Nelson, B.N.; Walker, E.D. Elizabethkingia Anophelis: Physiologic and Transcriptomic Responses to Iron Stress. Front. Microbiol. 2020, 11, 804. [Google Scholar] [CrossRef] [PubMed]
- Coon, K.L.; Brown, M.R.; Strand, M.R. Mosquitoes host communities of bacteria that are essential for development but vary greatly between local habitats. Mol. Ecol. 2016, 25, 5806–5826. [Google Scholar] [CrossRef]
- Muturi, E.J.; Lagos-Kutz, D.; Dunlap, C.; Ramirez, J.L.; Rooney, A.P.; Hartman, G.L.; Fields, C.J.; Rendon, G.; Kim, C.-H. Mosquito microbiota cluster by host sampling location. Parasit Vectors. 2018, 11, 468. [Google Scholar] [CrossRef]
- Zhang, L.; Wang, D.; Shi, P.; Li, J.; Niu, J.; Chen, J.; Wang, G.; Wu, L.; Chen, L.; Yang, Z.; et al. A Naturally Isolated Symbiotic Bacterium Suppresses Flavivirus Transmission by Aedes Mosquitoes. Science 2024, 384, eadn9524. [Google Scholar] [CrossRef]
- Boissière, A.; Tchioffo, M.T.; Bachar, D.; Abate, L.; Marie, A.; Nsango, S.E.; Shahbazkia, H.R.; Awono-Ambene, P.H.; Levashina, E.A.; Christen, R.; et al. Midgut Microbiota of the Malaria Mosquito Vector Anopheles Gambiae and Interactions with Plasmodium Falciparum Infection. PLoS Pathog. 2012, 8, e1002742. [Google Scholar] [CrossRef]
- Kalappa, D.M.; Subramani, P.A.; Basavanna, S.K.; Ghosh, S.K.; Sundaramurthy, V.; Uragayala, S.; Tiwari, S.; Anvikar, A.R.; Valecha, N. Influence of Midgut Microbiota in Anopheles Stephensi on Plasmodium Berghei Infections. Malar. J. 2018, 17, 385. [Google Scholar] [CrossRef]







| Identity by Classical Taxonomy and DNA Barcoding | Life Stage | Number of Individuals | Identity Value (BIN) | Epidemiological Interest | Geographical Distribution in Colombia | References |
|---|---|---|---|---|---|---|
| An. darlingi | Larva | 1 | 100% (BOLD: AAA2442) | Main vector. Transmits P. falciparum, P. vivax, and P. malariae | Caribbean region, Llanos Orientales (eastern plains and grasslands), Pacific coast region (rainforests), Amazon region (rainforest, lowlands, flooded river plains) | [58,59,60] |
| Adult | 6 | 100% (BOLD: AAA2442) | ||||
| An. triannulatus s.l. | Larvae | 5 | 100% (BOLD: AAA9749) | Local vector. Found infected with P. falciparum in the Colombian Amazon and P. vivax in the Caribbean region. | Caribbean region, Llanos Orientales (eastern plains and grasslands), Amazon region (rainforest) | [58,61,62,63] |
| Pupae | 5 | 100% (BOLD: AAA9749) | ||||
| Adult | 11 | 99.39–100% (BOLD: AAA9749) | ||||
| An. dunhami | Adult | 1 | 99.82% (BOLD: AAA2792) | No | Amazon region (rainforest) | [64] |
| An. squamifemur | Adult | 1 | 99.51% (BOLD: AAJ2766) | No | Pacific coast region, Llanos Orientales (eastern plains and grasslands), Amazon region (rainforest) | [61,65]; Boldsystems database |
| Adult | 1 | 99.52% (BOLD: AAJ2766) | No |
Disclaimer/Publisher’s Note: The statements, opinions and data contained in all publications are solely those of the individual author(s) and contributor(s) and not of MDPI and/or the editor(s). MDPI and/or the editor(s) disclaim responsibility for any injury to people or property resulting from any ideas, methods, instructions or products referred to in the content. |
© 2025 by the authors. Licensee MDPI, Basel, Switzerland. This article is an open access article distributed under the terms and conditions of the Creative Commons Attribution (CC BY) license (https://creativecommons.org/licenses/by/4.0/).
Share and Cite
Duque-Granda, D.; Vivero-Gómez, R.J.; González Ceballos, L.A.; Junca, H.; Duque, S.R.; Aroca Aguilera, M.C.; Castañeda-Espinosa, A.; Cadavid-Restrepo, G.; Gómez, G.F.; Moreno-Herrera, C.X. Exploring the Diversity of Microbial Communities Associated with Two Anopheles Species During Dry Season in an Indigenous Community from the Colombian Amazon. Insects 2025, 16, 269. https://doi.org/10.3390/insects16030269
Duque-Granda D, Vivero-Gómez RJ, González Ceballos LA, Junca H, Duque SR, Aroca Aguilera MC, Castañeda-Espinosa A, Cadavid-Restrepo G, Gómez GF, Moreno-Herrera CX. Exploring the Diversity of Microbial Communities Associated with Two Anopheles Species During Dry Season in an Indigenous Community from the Colombian Amazon. Insects. 2025; 16(3):269. https://doi.org/10.3390/insects16030269
Chicago/Turabian StyleDuque-Granda, Daniela, Rafael José Vivero-Gómez, Laura Alejandra González Ceballos, Howard Junca, Santiago R. Duque, María Camila Aroca Aguilera, Alejandro Castañeda-Espinosa, Gloria Cadavid-Restrepo, Giovan F. Gómez, and Claudia Ximena Moreno-Herrera. 2025. "Exploring the Diversity of Microbial Communities Associated with Two Anopheles Species During Dry Season in an Indigenous Community from the Colombian Amazon" Insects 16, no. 3: 269. https://doi.org/10.3390/insects16030269
APA StyleDuque-Granda, D., Vivero-Gómez, R. J., González Ceballos, L. A., Junca, H., Duque, S. R., Aroca Aguilera, M. C., Castañeda-Espinosa, A., Cadavid-Restrepo, G., Gómez, G. F., & Moreno-Herrera, C. X. (2025). Exploring the Diversity of Microbial Communities Associated with Two Anopheles Species During Dry Season in an Indigenous Community from the Colombian Amazon. Insects, 16(3), 269. https://doi.org/10.3390/insects16030269

