Acoustic Detection of Forest Wood-Boring Insects Under Co-Infestations
Simple Summary
Abstract
1. Introduction
2. Materials and Methods
2.1. Experimental Logs
2.2. Acoustic Detection Instrument
2.3. Feeding Vibration Signals Recording
2.4. Signals Processing and Features Extraction
2.5. Datasets Construction Under Different Damage Scenarios
2.6. Model Establishment and Accuracy Evaluation
2.6.1. Machine Learning Models
2.6.2. Deep Learning Models
2.6.3. Model Accuracy Assessment
3. Results
3.1. Time and Frequency Domain Characteristics of Feeding Vibration Signal
3.2. Classification Accuracy of Machine Learning Models Based on Seven Feature Variables
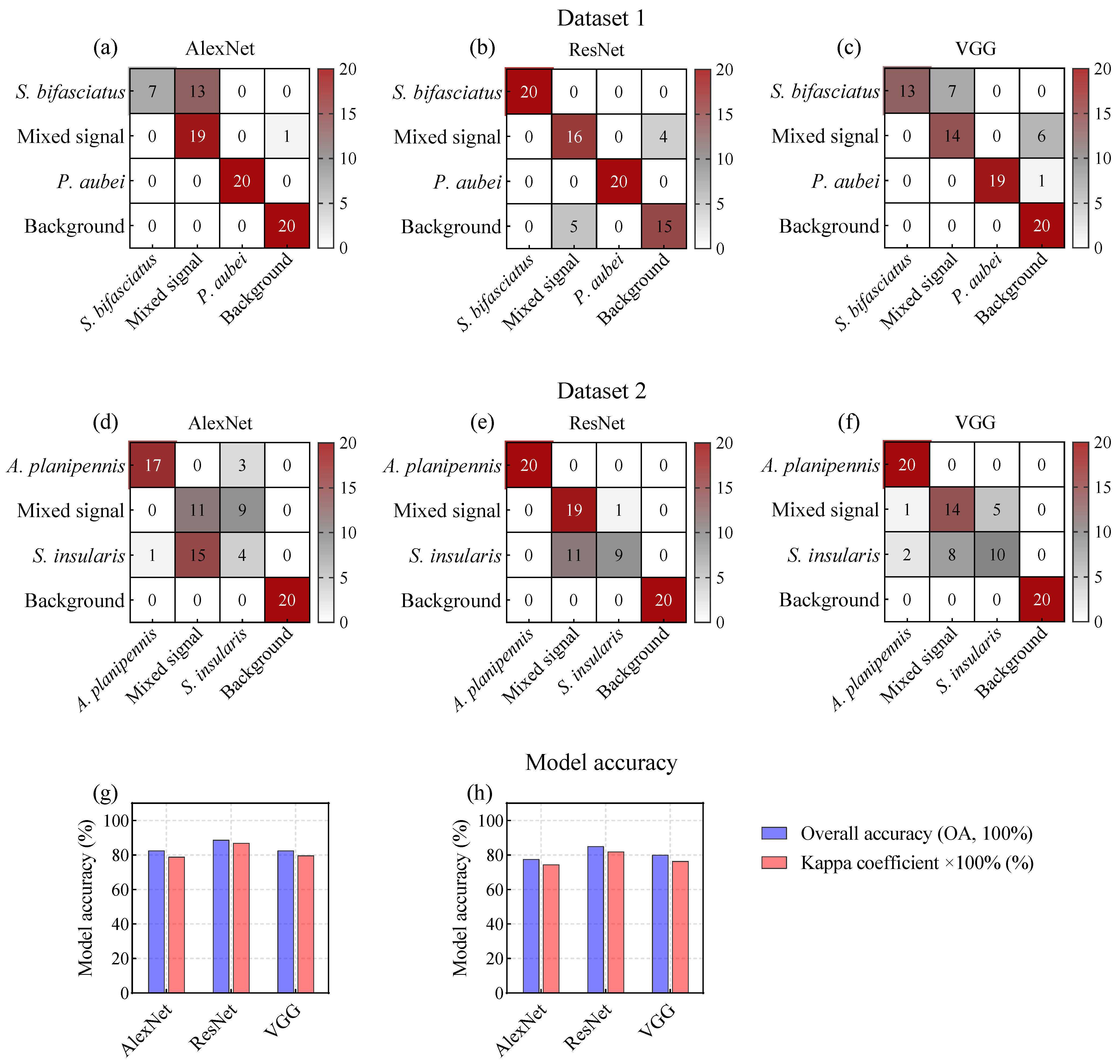
3.3. Classification Accuracy of Deep Learning Models Based on Spectrograms
4. Discussion
4.1. Factors Affecting Model Accuracy
4.2. General Recognition Model and Acoustic Database for Wood-Boring Pests
4.3. Practical Application of Acoustic Detection in Forest Environments
5. Conclusions
Author Contributions
Funding
Data Availability Statement
Conflicts of Interest
References
- Brockerhoff, E.G.; Jones, D.C.; Kimberley, M.O.; Suckling, D.M.; Donaldson, T. Nationwide survey for invasive wood-boring andbark beetles (Coleoptera) using traps with pheromones and kairomones. For. Ecol. Manag. 2006, 228, 234–240. [Google Scholar] [CrossRef]
- Luo, Y.Q.; Huang, H.G.; Roques, A. Early Monitoring of Forest Wood-Boring Pests with Remote Sensing. Annu. Rev. Entomol. 2023, 68, 277–298. [Google Scholar] [CrossRef] [PubMed]
- Lovett, G.M.; Canham, C.D.; Arthur, M.A.; Weathers, K.C.; Fitzhugh, R.D. Forest ecosystem responses to exotic pests and pathogens in eastern North America. BioScience 2006, 56, 395–405. [Google Scholar] [CrossRef]
- Herms, D.A.; McCullough, D.G. Emerald ash borer invasion of North America: History, biology, ecology, impacts, and management. Annu. Rev. Entomol. 2014, 59, 13–30. [Google Scholar] [CrossRef]
- Poland, T.M.; Rassati, D. Improved biosecurity surveillance of non-native forest insects: A review of current methods. J. Pest Sci. 2019, 92, 37–49. [Google Scholar] [CrossRef]
- Rigakis, I.; Potamitis, I.; Tatlas, N.-A.; Potirakis, S.M.; Ntalampiras, S. TreeVibes: Modern tools for global monitoring of trees for borers. Smart Cities 2021, 4, 271–285. [Google Scholar] [CrossRef]
- Haack, R.A. Exotic bark- and wood-boring Coleoptera in the United States: Recent establishments and interceptions. Can. J. For. Res. 2006, 36, 269–288. [Google Scholar] [CrossRef]
- Mankin, R.W.; Hagstrum, D.W.; Smith, M.T.; Roda, A.L.; Kairo, M.T.K. Perspective and promise: A century of insect acoustic detection and monitoring. Am. Entomol. 2011, 57, 20–44. [Google Scholar] [CrossRef]
- Bi, H.J.; Li, T.F.; Xin, X.Y.; Shi, H.; Li, L.Y.; Zong, S.X. Non-destructive estimation of wood-boring pest density in living trees using X-ray imaging and edge computing techniques. Comput. Electron. Agr. 2025, 233, 110183. [Google Scholar] [CrossRef]
- Jiang, Q.; Liu, Y.J.; Ren, L.L.; Sun, Y.; Luo, Y.Q. Acoustic detection of the wood borer, Semanotus bifasciatus, as an early monitoring technology. Pest Manag. Sci. 2022, 78, 4689–4699. [Google Scholar] [CrossRef]
- Mankin, R.W.; Mizrach, A.; Hetzroni, A.; Levsky, S.; Soroker, Y.N. Temporal and spectral features of sounds of wood-boring beetle larvae: Identifiable patterns of activity enable improved discrimination from background noise. Fla. Entomol. 2008, 91, 241–248. [Google Scholar] [CrossRef]
- Bilski, P.; Bobiński, P.; Krajewski, A.; Witomski, P. Detection of wood boring insects’ larvae based on the acoustic signal analysis and the artificial intelligence algorithm. Arch. Acoust. 2017, 42, 61–70. [Google Scholar] [CrossRef][Green Version]
- Liu, X.X.; Chen, Z.B.; Zhang, H.Y.; Li, J.H.; Jiang, Q.; Ren, L.L.; Luo, Y.Q. The interpretability of the activity signal detection model for wood-boring pests Semanotus bifasciatus in the larval stage. Pest Manag. Sci. 2021, 78, 3830–3842. [Google Scholar] [CrossRef] [PubMed]
- Li, J.H.; Zhao, X.J.; Li, X.; Ju, M.W.; Yang, F. A Method for Classifying Wood-Boring Insects for Pest Control Based on Deep Learning Using Boring Vibration Signals with Environment Noise. Forests 2024, 15, 1875. [Google Scholar] [CrossRef]
- Sutin, A.; Yakubovskiy, A.; Salloum, H.R.; Flynn, T.J.; Sedunov, N.; Nadel, H. Towards an automated acoustic detection algorithm for woodboring beetle larvae (coleoptera: Cerambycidae and Buprestidae). J. Econ. Entomol. 2019, 112, 1327–1336. [Google Scholar] [CrossRef]
- Sun, Y.; Tuo, X.Q.; Jiang, Q.; Zhang, H.Y.; Chen, Z.B.; Zong, S.X.; Luo, Y.Q. Drilling vibration identification technique of two pest based on lightweight neural networks. Sci. Silvae Sin. 2020, 56, 100–108. [Google Scholar]
- Yuan, F.; Luo, Y.Q.; Shi, J.; Heliövaara. Spatial ecological niche of main insect borers in larch of Aershan. Acta Ecol. Sin. 2011, 31, 4342–4349. [Google Scholar]
- Liu, Y.J.; Gao, B.Y.; Ren, L.L.; Zong, S.X.; Ze, S.Z.; Luo, Y.Q. Niche-based relationship between sympatric bark living insect pests and tree vigor decline of Pinus yunnanensis. J. Appl. Entomol. 2019, 143, 1161–1171. [Google Scholar] [CrossRef]
- Luo, Q.; Wang, H.B.; Zhang, Z.; Kong, X.B. Automatic stridulation identification of bark beetles based on MFCC and BP Network. J. Beijing For. Univ. 2011, 33, 81–85. [Google Scholar]
- Jiang, W.Z.; Chen, Z.B.; Zhang, H.Y. A Time-Frequency Domain mixed attention-based approach for classifying wood-boring insect feeding vibration signals using a deep learning model. Insects 2024, 15, 282. [Google Scholar] [CrossRef]
- Lewis, V.; Leighton, S.; Tabuchi, R.; Haverty, M. Seasonal and daily patterns in activity of the Western Drywood termite, Incisitermes minor (Hagen). Insects 2011, 2, 555–563. [Google Scholar] [CrossRef]
- Charif, R.A.; Waack, A.M.; Strickman, L.M. Raven Pro 1. 4 User’s Manual; Cornell Lab of Ornithology: Ithaca, NY, USA, 2010; pp. 141–183. [Google Scholar]
- Salamon, J.; Bello, J.P.; Farnsworth, A.; Robbins, M.; Kelling, S. Towards the automatic classification of avian flight calls for bioacoustic monitoring. PLoS ONE 2016, 11, e0166866. [Google Scholar] [CrossRef]
- Noda, J.J.; Travieso-González, C.M.; Sánchez-Rodríguez, D.; Alonso-Hernández, J.B. Acoustic classification of singing insects based on MFCC/LFCC fusion. Appl. Sci. 2019, 9, 4097. [Google Scholar] [CrossRef]
- Erbe, C.; Thomas, J.A. Exploring Animal Behavior Through Sound: Volume 1; Springer: Cham, Switzerland, 2022; pp. 209–306. [Google Scholar]
- Krizhevsky, A.; Sutskever, I.; Hinton, G. ImageNet Classification with Deep Convolutional Neural Networks. In Proceedings of the 26th International Conference on Neural Information Processing Systems, Lake Tahoe, NV, USA, 3–6 December 2012; pp. 1097–1105. [Google Scholar]
- Simonyan, K.; Zisserman, A. Very Deep Convolutional Networks for Large-Scale Image Recognition. In Proceedings of the International Conference on Learning Representations, Banff, AB, Canada, 14–16 April 2014. [Google Scholar]
- He, K.M.; Zhang, X.Y.; Ren, S.Q.; Sun, J. Deep residual learning for image recognition. In Proceedings of the IEEE Conference on Computer Vision and Pattern Recognition, Las Vegas, NV, USA, 27–30 June 2016; pp. 770–778. [Google Scholar]
- Cohen, J. Weighted Kappa: Nominal scale agreement with provision for scaled disagreement or partial credit. Psychol. Bull. 1968, 70, 213–220. [Google Scholar] [CrossRef] [PubMed]
- Terven, J.; Cordova-Esparza, D.M.; Romero-González, J.A.; Ramírez-Pedraza, A.; Chávez-Urbiolal, E.A. A comprehensive survey of loss functions and metrics in deep learning. Artif. Intell. Rev. 2025, 58, 195. [Google Scholar] [CrossRef]
- Bu, Y.F.; Qi, X.J.; Wen, J.B.; Xu, Z.C. Acoustic behaviors for two species of cerambycid larvae. J. Zhejiang AF Univ. 2017, 34, 50–55. [Google Scholar]
- Mankin, R.W.; Smith, M.T.; Tropp, J.M.; Atkinson, E.B.; Jong, D.Y. Detection of Anoplophora glabripennis (Coleoptera: Cerambycidae) larvae in different host trees and tissues by automated analyses of soundimpulse frequency and temporal patterns. J. Econ. Entomol. 2008, 101, 838–849. [Google Scholar] [CrossRef]
- Domingos, P. A few useful things to know about machine learning. Commun. Acm. 2012, 55, 78–87. [Google Scholar] [CrossRef]
- Bengio, Y.; Courville, A.; Vincent, P. Representation learning: A review and new perspectives. IEEE Trans. Pattern Anal. Mach. Intell. 2013, 35, 1798–1828. [Google Scholar] [CrossRef]
- LeCun, Y.; Bengio, G.; Hinton, G. Deep Learning. Nature 2015, 521, 436–444. [Google Scholar] [CrossRef]
- Kinsler, L.E.; Frey, A.R.; Coppens, A.B.; Sanders, J.V. Fundamentals of Acoustics; John Wiley & Sons: Hoboken, NJ, USA, 1989; pp. 210–238. [Google Scholar]
- Wahlberg, M.; Larsen, O.N. Propagation of Sound; Bentham Science Publishers: Sharjah, United Arab Emirates, 2017; pp. 62–119. [Google Scholar]
- Fernández-Delgado, M.; Cernadas, E.; Barro, S.; Amorim, D. Do we need hundreds of classifiers to solve real world classification problems? J. Mach. Learn Res. 2014, 15, 3133–3181. [Google Scholar]
- James, G.; Witten, D.; Hastie, T.; Tibshirani, R. An Introduction to Statistical Learning; Springer: New York, NY, USA, 2013; pp. 367–402. [Google Scholar]
- Goodfellow, Y.; Bengio, Y.; Courville, A. Deep Learning; MIT Press: Cambridge, MA, USA, 2016. [Google Scholar]
- Bottou, L.; Bousquet, O. The Tradeoffs of Large Scale Learning. Advances in Neural Information Processing Systems 20. In Proceedings of the Twenty-First Annual Conference on Neural Information Processing Systems, Vancouver, BC, Canada, 3–6 December 2007; pp. 161–168. [Google Scholar]
- Zhu, X.; Vondrick, C.; Fowlkes, C.C.; Ramanan, D. Do We Need More Training Data? Int. J. Comput. Vision 2016, 119, 76–92. [Google Scholar] [CrossRef]
- Hestness, J.; Narang, S.; Ardalani, N.; Diamos, G.; Jun, H.; Kianinejad, H.; Patwary, M.M.A.; Yang, Y.; Zhou, Y.Q. Deep learning scaling is predictable, empirically. arXiv 2017, arXiv:1712.00409. [Google Scholar] [CrossRef]
- Sun, C.; Shrivastava, A.; Singh, S.; Gupta, A. Revisiting unreasonable effectiveness of data in deep learning era. In Proceedings of the IEEE International Conference on Computer Vision, Venice, Italy, 22–29 October 2017; pp. 843–852. [Google Scholar]
- Ng, W.; Minasny, B.; Mendes, W.S.; Demattê, J.A.M. The influence of training sample size on the accuracy of deep learning models for the prediction of soil properties with near-infrared spectroscopy data. Soil 2020, 6, 565–578. [Google Scholar] [CrossRef]
- Ribeiro, J.W., Jr.; Harmon, K.; Leite, G.A.; Melo, T.N.; LeBien, J.; Campos-Cerqueira, M. Passive Acoustic Monitoring as a Tool to Investigate the Spatial Distribution of Invasive Alien Species. Remote Sens. 2022, 14, 4645. [Google Scholar]
- Cañas, J.S.; Toro-Gómez, M.P.; Sugai, L.S.M.; Restrepo, H.D.B.; Rudas, J.; Bautista, B.P.; Toledo, L.F.; Dena, S.; Domingos, A.H.R.; Souza, F.L.; et al. A dataset for benchmarking Neotropical anuran calls identification in passive acoustic monitoring. Sci. Data 2023, 10, 771. [Google Scholar] [CrossRef]
- Sharma, S.; Sato, K.; Gautam, B.P. A Methodological Literature Review of Acoustic Wildlife Monitoring Using Artificial Intelligence Tools and Techniques. Sustainability 2023, 15, 7128. [Google Scholar] [CrossRef]
- Ashry, I.; Mao, Y.; Al-Fehaid, Y.; Al-Shawaf, A.; Al-Bagshi, M.; Al-Brahim, S.; Ng, T.K.; Ooi, B.S. Early detection of red palm weevil using distributed optical sensor. Sci. Rep. 2020, 10, 3155. [Google Scholar] [CrossRef]
- Wang, B.W.; Mao, Y.; Ashry, I.; Al-Fehaid, Y.; Al-Shawaf, A.; Ng, T.K.; Yu, C.Y.; Ooi, B.S. Towards Detecting Red Palm Weevil Using Machine Learning and Fiber Optic Distributed Acoustic Sensing. Sensors 2021, 21, 1592. [Google Scholar] [CrossRef]
- Ashry, I.; Wang, B.W.; Mao, Y.; Sait, M.; Guo, Y.J.; Al-Fehaid, Y.; Al-Shawaf, A.; Ng, T.K.; Ooi, B.S. CNN–Aided Optical Fiber Distributed Acoustic Sensing for Early Detection of Red Palm Weevil: A Field Experiment. Sensors 2022, 22, 6491. [Google Scholar] [CrossRef]










| Variable Type | Variable | Description |
|---|---|---|
| Time-domain characteristics | Max amplitude (Max Amp) | The maximum amplitude within the selected sound segment |
| Min amplitude (Min Amp) | The minimum amplitude within the selected sound segment | |
| RMS amplitude (RMS Amp) | The root-mean-square amplitude of the selected part of the signal | |
| Frequency-domain characteristics | Average power density (Avg PD) (dB) | The value of the power spectrum (the power spectral density of a single column of spectrogram values) averaged over the frequency extent of the selection |
| Energy (Energy) (dB) | The total energy within the selection | |
| Peak power density (Peak PD) (dB) | The maximum power in the selection | |
| Peak frequency (Peak Freq) (kHz) | The frequency at which peak power occurs within the selection |
| Dataset | Host Tree Species | Category | Audio Segments |
|---|---|---|---|
| D1 | P. orientalis | S. bifasciatus feeding signals | 100 |
| P. aubei feeding signals | 100 | ||
| Mixed signals (M1) | 100 | ||
| Background noises (B1) | 100 | ||
| D2 | F. chinensis | A. planipennis feeding signals | 100 |
| S. insularis feeding signals | 100 | ||
| Mixed signals (M2) | 100 | ||
| Background noises (B2) | 100 |
| Infestation Scenarios | Categories Contained in the Subsets | Number of Categories | Audio Segments |
|---|---|---|---|
| Single infestation | Single-pest species feeding signals | 2 | 200 |
| Background noises (B1/B2) | |||
| Co-infestation (without mixed signals) | Two-pest species feeding signals | 3 | 300 |
| Background noises (B1/B2) | |||
| Co-infestation (with mixed signals) | Two-pest species feeding signals | 4 | 400 |
| Mixed signals (M1/M2) | |||
| Background noises (B1/B2) |
Disclaimer/Publisher’s Note: The statements, opinions and data contained in all publications are solely those of the individual author(s) and contributor(s) and not of MDPI and/or the editor(s). MDPI and/or the editor(s) disclaim responsibility for any injury to people or property resulting from any ideas, methods, instructions or products referred to in the content. |
© 2025 by the authors. Licensee MDPI, Basel, Switzerland. This article is an open access article distributed under the terms and conditions of the Creative Commons Attribution (CC BY) license (https://creativecommons.org/licenses/by/4.0/).
Share and Cite
Jiang, Q.; Liu, Y.; Sun, Y.; Ren, L.; Luo, Y. Acoustic Detection of Forest Wood-Boring Insects Under Co-Infestations. Insects 2025, 16, 1241. https://doi.org/10.3390/insects16121241
Jiang Q, Liu Y, Sun Y, Ren L, Luo Y. Acoustic Detection of Forest Wood-Boring Insects Under Co-Infestations. Insects. 2025; 16(12):1241. https://doi.org/10.3390/insects16121241
Chicago/Turabian StyleJiang, Qi, Yujie Liu, Yu Sun, Lili Ren, and Youqing Luo. 2025. "Acoustic Detection of Forest Wood-Boring Insects Under Co-Infestations" Insects 16, no. 12: 1241. https://doi.org/10.3390/insects16121241
APA StyleJiang, Q., Liu, Y., Sun, Y., Ren, L., & Luo, Y. (2025). Acoustic Detection of Forest Wood-Boring Insects Under Co-Infestations. Insects, 16(12), 1241. https://doi.org/10.3390/insects16121241

