Experimental Testing of Host Range of the Parasitoid Wasp Trichogramma dendrolimi Under Laboratory Conditions
Simple Summary
Abstract
1. Introduction
2. Materials and Methods
2.1. Parasitoid Source and Rearing
2.2. Host Source and Rearing
2.3. Egg Parasitism Bioassay
2.4. Morphometric Measurements
2.5. Data Analysis
3. Results
3.1. Parasitism of the Tested Host Species
3.2. Dependence of the Number of Parasitoids on the Size of the Host Egg
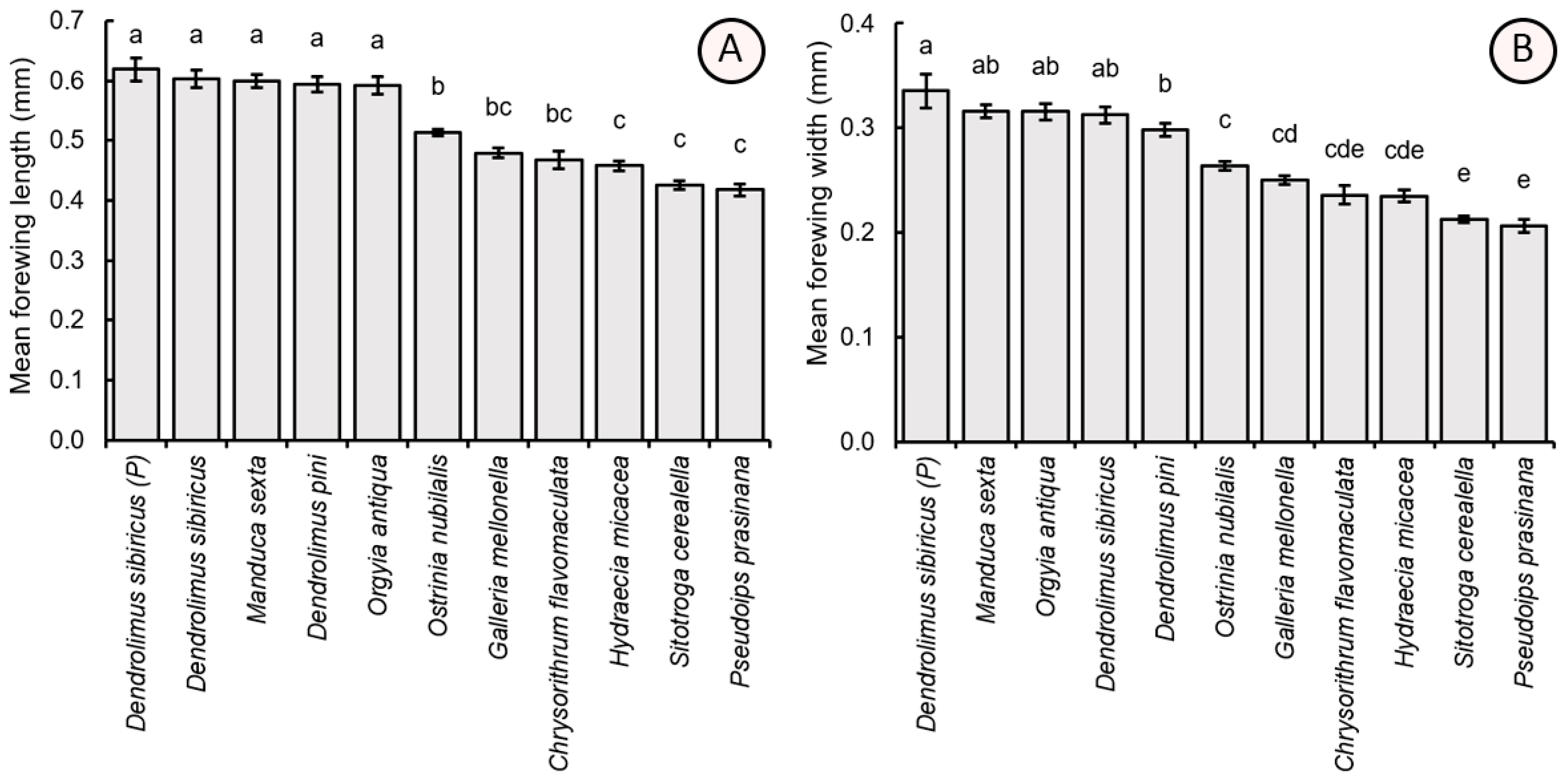
3.3. Morphometric Parameters of the Parasitoid
4. Discussion
5. Conclusions
Author Contributions
Funding
Data Availability Statement
Acknowledgments
Conflicts of Interest
References
- Cherif, A.; Mansour, R.; Grissa-Lebdi, K. The egg parasitoids Trichogramma: From laboratory mass rearing to biological control of lepidopteran pests. Biocontrol Sci. Technol. 2021, 31, 661–693. [Google Scholar] [CrossRef]
- Omkar (Ed.) Parasitoids in Pest Management, 1st ed.; CRC Press: Boca Raton, FL, USA, 2023. [Google Scholar]
- Parra, J.R.P.; Zucchi, R.A. Trichogramma in Brazil: Feasibility of use after twenty years of research. Neotrop. Entomol. 2004, 33, 271–281. [Google Scholar] [CrossRef]
- Smith, S. Biological control with Trichogramma: Advances, successes, and potential of their use. Annu. Rev. Entomol. 1996, 41, 375–406. [Google Scholar] [CrossRef]
- Abbes, K.; Zouba, A.; Harbi, A.; Brahim, C. Effect of cold storage on the performance of Trichogramma bourarachae (Pintureau and Babault) (Hymenoptera: Trichogrammatidae). Egypt. J. Biol. Pest Control 2020, 30, 27. [Google Scholar] [CrossRef]
- Araujo, E.S.; Poltronieri, A.S.; Poitevin, C.G.; Miras-Avalos, J.M.; Zawadneak, M.A.; Pimentel, I.C. Compatibility between entomopathogenic fungi and egg parasitoids (Trichogrammatidae): A laboratory study for their combined use to control Duponchelia fovealis. Insects 2020, 11, 630. [Google Scholar] [CrossRef]
- Fatouros, N.; Dicke, M.; Mumm, R.; Meiners, T.; Hilker, M. Foraging behavior of egg parasitoids exploiting chemical information. Behav. Ecol. 2008, 19, 677–689. [Google Scholar] [CrossRef]
- Filho, M.; Favero, S.; Lima, J. Production of the mediterranean flour moth, Anagasta kuehniella (Zeller) (Lepidoptera: Pyralidae), on an artificial diet containing corn meal. Neotrop. Entomol. 2001, 30, 37–42. [Google Scholar] [CrossRef]
- El-Wakeil, N.E. Evaluation of efficiency of Trichogramma evanescens reared on different factitious hosts to control Helicoverpa armigera. J. Pest Sci. 2007, 80, 29–34. [Google Scholar] [CrossRef]
- Sharma, S.; Shera, P.S.; Kaur, R.; Sangha, K.S. Standardization of egg dosages for mass production of Corcyra cephalonica (Stainton). Phytoparasitica 2016, 44, 459–464. [Google Scholar] [CrossRef]
- Cerutti, F.; Bigler, F. Quality assessment of Trichogramma brassicae in the laboratory. Entomol. Exp. Appl. 1995, 75, 19–26. [Google Scholar] [CrossRef]
- Losey, J.E.; Calvin, D.D. Quality assessment of four commercially available species of Trichogramma (Hymenoptera: Trichogrammatidae). J. Econ. Entomol. 1995, 88, 1243–1250. [Google Scholar] [CrossRef]
- Sadat, F.; Nazari, A.; Jafari, S.; Karahroudi, Z.R. How long-term mass rearing affects the quality of the Trichogramma embryophagum (Hartig) (Hymenoptera: Trichogrammatidae) reared on Sitotroga cerealella (Olivier) eggs. Egypt. J. Biol. Pest Control 2021, 31, 119. [Google Scholar] [CrossRef]
- Bai, B.; Luck, R.F.; Forster, L.; Stephens, B.; Janssen, J.A.M. The effect of host size on quality attributes of the egg parasitoid, Trichogramma pretiosum. Entomol. Exp. Appl. 1992, 64, 37–48. [Google Scholar] [CrossRef]
- Bertin, A.; Pavinato, V.A.C.; Parra, J.R.P. Effects of intraspecific hybridization on the fitness of the egg parasitoid Trichogramma galloi. BioControl 2018, 63, 555–563. [Google Scholar] [CrossRef]
- Polaszek, A. Species diversity and host associations of Trichogramma in Eurasia. In Egg Parasitoids in Agroecosystems with Emphasis on Trichogramma; Consoli, F.L., Parra, J.R.P., Zucchi, R.A., Eds.; Springer: Dordrecht, The Netherlands, 2010; pp. 237–266. [Google Scholar] [CrossRef]
- Cerda, R.C.; Gerding, P.M. Control biologico de Rhyacionia buoliana Den et Schiff (Lepidoptera: Tortricidae) con Trichogramma spp. Agro Ciencia 1999, 15, 279–283. [Google Scholar]
- Zhang, J.; Ruan, C.; Zang, L.; Shao, X.; Shi, S. Technological improvements for mass production of Trichogramma and current status of their applications for biological control on agricultural pests in China. Chin. J. Biol. Control 2015, 31, 638. [Google Scholar] [CrossRef]
- Zhou, J.-C.; Zhao, Q.; Liu, S.-M.; Shang, D.; Zhao, X.; Huo, L.-X.; Dong, H.; Zhang, L.-S. Effects of thelytokous parthenogenesis-inducing Wolbachia on the fitness of Trichogramma dendrolimi Matsumura (Hymenoptera: Trichogrammatidae) in superparasitised and single-parasitised hosts. Front. Ecol. Evol. 2021, 9, 730664. [Google Scholar] [CrossRef]
- van Lenteren, J.C.; Bigler, F. Quality control of mass reared egg parasitoids. In Egg Parasitoids in Agroecosystems with Emphasis on Trichogramma; Consoli, F.L., Parra, J.R.P., Zucchi, R.A., Eds.; Springer: Dordrecht, The Netherlands, 2010; pp. 315–340. [Google Scholar] [CrossRef]
- Hoffmann, M.P.; Walker, D.L.; Shelton, A.M. Biology of Trichogramma ostriniae (Hym.: Trichogrammatidae) Reared on Ostrinia nubilalis (Lep.: Pyralidae) and Survey for Additional Hosts. Entomophaga 1995, 40, 387–402. [Google Scholar] [CrossRef]
- Liu, S.-S.; Zhang, G.-M.; Zhang, F. Factors influencing parasitism of Trichogramma dendrolimi on eggs of the Asian corn borer, Ostrinia furnacalis. BioControl 1998, 43, 273–287. [Google Scholar] [CrossRef]
- Dong, H.; Liu, Q.; Xie, L.; Cong, B.; Wang, H. Functional response of Wolbachia-infected and uninfected Trichogramma dendrolimi Matsumura (Hymenoptera: Trichogrammatidae) to Asian corn borer, Ostrinia furnacalis Guenée (Lepidoptera: Pyralidae) eggs. J. Asia-Pac. Entomol. 2017, 20, 787–793. [Google Scholar] [CrossRef]
- Li, Q.; Wang, L.; Zhao, X.; Liu, Y.; Han, Y.; Yang, Y.; Gao, C. Screening of dominant species of Trichogramma sp. and evaluation of field control effect. Plant Dis. Pests 2020, 11, 24–27. [Google Scholar] [CrossRef]
- Bertin, A.; Pavinato, V.A.C.; Parra, J.R.P. Fitness-related changes in laboratory populations of the egg parasitoid Trichogramma galloi and the implications of rearing on factitious hosts. BioControl 2017, 62, 435–444. [Google Scholar] [CrossRef]
- van Bergeijk, K.E.; Bigler, F.; Kaashoek, N.K.; Pak, G.A. Changes in host acceptance and host suitability as an effect of rearing Trichogramma maidis on a factitious host. Entomol. Exp. Appl. 1989, 52, 229–238. [Google Scholar] [CrossRef]
- Hassan, S.A.; Guo, M.F. Selection of effective strains of egg parasites of the genus Trichogramma (Hym., Trichogrammatidae) to control the European corn borer Ostrinia nubilalis Hb. (Lep., Pyralidae). J. Appl. Entomol. 1991, 111, 335–341. [Google Scholar] [CrossRef]
- Pavlik, J. The size of the female and quality assessment of mass-reared Trichogramma spp. Entomol. Exp. Appl. 1993, 66, 171–177. [Google Scholar] [CrossRef]
- Golub, G.; Marus, O. Determining the influence of the size of grain moth eggs on Trichogramma evanescens indicators. J. Plant Prot. Res. 2021, 61, 1–10. [Google Scholar] [CrossRef]
- Iqbal, A.; Chen, Y.M.; Hou, Y.Y.; Zhang, L.; Desneux, N.; Zang, L.S. Factitious host species impact on the outcome of multiparasitism between egg parasitoids. J. Pest Sci. 2019, 92, 1261–1269. [Google Scholar] [CrossRef]
- Zang, L.-S.; Wang, S.; Zhang, F.; Desneux, N. Biological control with Trichogramma in China: History, present status and perspectives. Annu. Rev. Entomol. 2020, 66, 463–484. [Google Scholar] [CrossRef]
- Khan, S.; Yousuf, M.; Ikram, M. Morphometric based differentiation among Trichogramma spp. PLoS ONE 2020, 15, e0236422. [Google Scholar] [CrossRef]
- Ruschioni, S.; Romani, R.; Riolo, P.; Nunzio, I. Morphology and distribution of antennal multiporous gustatory sensilla related to host recognition in some Trichogramma spp. Bull. Insectol. 2012, 65, 171–176. [Google Scholar]
- Nagaraja, H. Mass production of trichogrammatid parasitoids. In Biological Control of Insect Pests Using Egg Parasitoids; Sithanantham, S., Ballal, C.R., Jalali, S.K., Bakthavatsalam, N., Eds.; Springer: New Delhi, India, 2013; pp. 175–189. [Google Scholar] [CrossRef]
- Kirichenko, N.I.; Ageev, A.A.; Astapenko, S.A.; Golovina, A.N.; Kasparyan, D.R.; Kosheleva, O.V.; Timokhov, A.V.; Tselikh, E.V.; Zakharov, E.V.; Musolin, D.L.; et al. The diversity of parasitoids and their role in the control of the Siberian moth, Dendrolimus sibiricus (Lepidoptera: Lasiocampidae), a major coniferous pest in Northern Asia. Life 2024, 14, 268. [Google Scholar] [CrossRef]
- Otto, M.; Mackauer, M. The developmental strategy of an idiobiont ectoparasitoid, Dendrocerus carpenteri: Influence of variations in host quality on offspring growth and fitness. Oecologia 1998, 117, 353–364. [Google Scholar] [CrossRef]
- Salt, G. Experimental studies in insect parasitism: IV The effect of superparasitism on populations of Trichogramma evanescens. J. Exp. Biol. 1936, 13, 363–375. [Google Scholar] [CrossRef]
- Van Alphen, J.M.; Visser, M.E. Superparasitism as an adaptive strategy for insect parasitoids. Annu. Rev. Entomol. 1990, 35, 59–79. [Google Scholar] [CrossRef] [PubMed]
- Platner, G.R.; Velten, R.; Planoutene, M.; Pinto, J.D. Slide mounting techniques for Trichogramma (Trichogrammatidae) and other minute parasitic Hymenoptera. Entomol. News 1999, 110, 56–64. [Google Scholar]
- Available online: https://magusmicro.com/ (accessed on 28 August 2025).
- R Core Team. R: A Language and Environment for Statistical Computing; R Foundation for Statistical Computing: Vienna, Austria, 2023. [Google Scholar]
- Agresti, A. An Introduction to Categorical Data Analysis, 2nd ed.; John Wiley & Sons Inc.: Hoboken, NJ, USA, 2007; pp. 21–64. [Google Scholar]
- Soukhovolsky, V.; Kovalev, A.; Goroshko, A.A.; Ivanova, Y.; Tarasova, O. Monitoring and prediction of Siberian silk moth Dendrolimus sibiricus Tschetv. (Lepidoptera: Lasiocampidae) outbreaks using remote sensing techniques. Insects 2023, 14, 955. [Google Scholar] [CrossRef] [PubMed]
- Sultson, S.M.; Goroshko, A.A.; Verkhovets, S.V.; Mikhaylov, P.V.; Ivanov, V.A.; Demidko, D.A.; Kulakov, S.S. Orographic factors as a predictor of the spread of the Siberian silk moth outbreak in the mountainous Southern taiga forests of Siberia. Land 2021, 10, 115. [Google Scholar] [CrossRef]
- Boldaruev, V.O. Population Dynamics of the Siberian Silkworm and its Parasites; Buryat Book Publishing House: Ulan-Ude, Russia, 1969. [Google Scholar]
- Ivliev, L.A. Parasites of the Siberian silkworm (Dendrolimus sibiricus Tschetv.) in the Far East and neighboring countries. Message Far East. Branch Sib. Branch USSR Acad. Sci. 1960, 12, 119–123. [Google Scholar]
- Kolomiets, N.G. Parasites and Predators of the Siberian Silkworm; Siberian Branch of the Russian Academy of Sciences: Novosibirsk, Russia, 1962. [Google Scholar]
- Yurchenko, G.I.; Turova, G.I. Parasites of Siberian and white-banded silk moths on the Russian Far East. In Entomologichskiye Issledovaniya v Sibiri [Entomological Research in Siberia]; KF SO REO: Krasnoyarsk, Russia, 2002; pp. 75–86. (In Russian) [Google Scholar]
- French, N.; Ludlam, F.A.B.; Wardlow, L.R. Biology, Damage and Control of Rosy Rustic Moth, Hydraecia micacea (Esp.), on Hops. Plant Pathol. 1973, 22, 58–64. [Google Scholar] [CrossRef]
- Deedat, Y.D.; Ellis, C.R.; West, R.J. Life history of the potato stem borer (Lepidoptera: Noctuidae) in Ontario. J. Econ. Entomol. 1983, 76, 1033–1037. [Google Scholar] [CrossRef]
- Weihrauch, F. Rosy rustic moth as a hop pest in the Hallertau: History and current situation. Mitt. Dtsch. Ges. Allg. Angew. Entomol. 2020, 22, 125–128. [Google Scholar]
- Cao, Y.; Wang, M.; Liu, K. Wildfire susceptibility assessment in Southern China: A comparison of multiple methods. Int. J. Disaster Risk Sci. 2017, 8, 164–181. [Google Scholar] [CrossRef]
- Gao, Y.; Zhao, Y.-J.; Xu, M.-L.; Shi, S.-S. Soybean hawkmoth (Clanis bilineata tsingtauica) as food ingredients: A review. CyTA J. Food 2021, 19, 341–348. [Google Scholar] [CrossRef]
- Bell, R.A.; Joachim, F.G. Techniques for rearing laboratory colonies of tobacco hornworms and pink bollworms. Ann. Entomol. Soc. Am. 1976, 69, 365–373. [Google Scholar] [CrossRef]
- Spencer, E.K.; Miller, C.R.; Bull, J. Standardized methods for rearing a moth larva, Manduca sexta, in a laboratory setting. PLoS ONE 2025, 20, e0316776. [Google Scholar] [CrossRef] [PubMed]
- Yamamoto, R.T. Mass rearing of the tobacco hornworm. II. Larval rearing and pupation. J. Econ. Entomol. 1969, 62, 1427–1431. [Google Scholar] [CrossRef]
- Takada, Y.; Kawamura, S.; Tanaka, T. Host preference of Trichogramma dendrolimi (Hymenoptera: Trichogrammatidae) on its native host, Mamestra brassicae (Lepidoptera: Noctuidae) after 12 continuous generations on a factitious host. Appl. Entomol. Zool. 2001, 36, 213–218. [Google Scholar] [CrossRef][Green Version]







| Host Species | Sampling Site/Culture Origin | Geographic Coordinates |
|---|---|---|
| Dendrolimus sibiricus | Irkutsk Province, Kachugskiy district | 54°0′34.18″ N, 106°8′44.91″ E |
| Macrothylacia rubi | Krasnoyarsk Area, Yemelyanovskiy District | 56°1′43.20″ N, 92°38′38.94″ E |
| Dendrolimus pini | Altai Area, Klyuchevsky District | 52°15′11.31″ N, 78°57′49.36″ E |
| Deilephila porcellus | Krasnoyarsk Area, Yemelyanovsky District | 55°58′45.58″ N, 92°38′55.40″ E |
| Mimas tiliae | Krasnoyarsk Area, Yemelyanovsky District | 55°58′45.58″ N, 92°38′55.40″ E |
| Odontopera bidentata | Irkutsk Province, Kachugskiy District | 53°58′17.53″ N, 105°54′24.50″ E |
| Angerona prunaria | Krasnoyarsk Area, Yemelyanovsky District | 55°58′45.58″ N, 92°38′55.40″ E |
| Pseudoips prasinana | Krasnoyarsk Area, Yemelyanovsky District | 56°1′43.20″ N, 92°38′38.94″ E |
| Orgyia antiqua | Irkutsk Province, Kachugskiy District | 54°0′34.18″ N, 106°8′44.91″ E |
| Chrysorithrum flavomaculata | Irkutsk Province, Kachugskiy District | 54°0′34.18″ N, 106°8′44.91″ E |
| Hyphantria cunea | Krasnodar Area, Slavyanskiy District | 45°40′13.18″ N, 37°47′42.27″ E |
| Hydraecia micacea | St. Petersburg, Pushkinskiy District | 59°44′22.82″ N, 30°25′34.83″ E |
| Galleria mellonella | All-Russian Institute of Plant Protection, St. Petersburg | |
| Mamestra brassicae | All-Russian Institute of Plant Protection, St. Petersburg | - |
| Manduca sexta | T-Rex Foods, Moscow | - |
| Ostrinia nubilalis | All-Russian Institute of Plant Protection, St. Petersburg | |
| Sitotroga cerealella | Institute of Applied Entomolgy, St. Petersburg |
| Host Species | Number of Eggs Tested | Number of Eggs per Parasitoid Female | Number of Sheets with Eggs | Egg Size Ranking * | |
|---|---|---|---|---|---|
| Lasiocampidae | Dendrolimus sibiricus | 357 | 1–2 | 35 | Large |
| Macrothylacia rubi | 378 | 1–2 | 35 | Large | |
| Dendrolimus pini | 502 | 1–2 | 40 | Large | |
| Sphingidae | Deilephila porcellus | 20 | 2–3 | 4 | Medium |
| Manduca sexta | 425 | 2–3 | 35 | Medium | |
| Mimas tiliae | 56 | 2–3 | 6 | Medium | |
| Geometridae | Odontopera bidentata | 340 | 15–20 | 20 | Small |
| Angerona prunaria | 320 | 15–20 | 20 | Small | |
| Nolidae | Pseudoips prasinana | 318 | 15–20 | 18 | Small |
| Erebidae | Orgyia antiqua | 420 | 8–10 | 20 | Small |
| Chrysorithrum flavomaculata | 485 | 8–10 | 20 | Small | |
| Hyphantria cunea | 203 | 15–20 | 10 | Small | |
| Noctuidae | Mamestra brassicae | 449 | 15–20 | 20 | Small |
| Hydraecia micacea | 350 | 15–20 | 10 | Small | |
| Pyralidae | Galleria mellonella | 426 | 15–20 | 20 | Small |
| Crambidae | Ostrinia nubilalis | 370 | 15–20 | 20 | Small |
| Gelechiidae | Sitotroga cerealella | 495 | 15–20 | 20 | Small |
| Host | Outcome | Odds Ratios | 95% Confidence Intervals | Significance |
|---|---|---|---|---|
| Host species compared to the original host | ||||
| Macrothylacia rubi | SP | 1.00 | 0.74–1.36 | p > 0.05 |
| NP | 0.33 | 0.19–0.55 | p < 0.001 | |
| UP | 1.53 | 1.13–2.08 | p > 0.05 | |
| Dendrolimus pini | SP | 1.06 | 0.80–1.41 | p > 0.05 |
| NP | 0.84 | 0.57–1.24 | p > 0.05 | |
| UP | 1.04 | 0.78–1.34 | p > 0.05 | |
| Manduca sexta | SP | 0.97 | 0.72–1.31 | p > 0.05 |
| NP | 0.67 | 0.44–1.03 | p > 0.05 | |
| UP | 1.25 | 0.93–1.68 | p > 0.05 | |
| Odontopera bidentata | SP | 9.57 | 6.48–14.38 | p < 0.001 |
| NP | - | |||
| UP | 0.21 | 0.14–0.31 | p < 0.001 | |
| Angerona prunaria | SP | 0.21 | 0.13–0.31 | p < 0.001 |
| NP | - | |||
| UP | 9.74 | 6.51–14.83 | p < 0.001 | |
| Pseudoips prasinana | SP | 5.44 | 3.82–7.82 | p < 0.001 |
| NP | 0.31 | 0.17–0.54 | p < 0.001 | |
| UP | 0.24 | 0.16–0.36 | p < 0.001 | |
| Orgyia antiqua | SP | 1.53 | 1.14–2.05 | p > 0.05 |
| NP | 4.11 | 2.92–5.87 | p < 0.001 | |
| UP | 0.03 | 0.02–0.06 | p < 0.001 | |
| Chrysorithrum flavomaculata | SP | 8.88 | 6.31–12.63 | p < 0.001 |
| NP | 0.31 | 0.19–0.50 | p < 0.001 | |
| UP | 0.12 | 0.08–0.18 | p < 0.001 | |
| Mamestra brassicae | SP | 0.24 | 0.17–0.34 | p < 0.001 |
| NP | 24.04 | 16.43–35.69 | p < 0.001 | |
| UP | 0.03 | 0.01–0.06 | p < 0.001 | |
| Hydraecia micacea | SP | 1.51 | 1.11–2.06 | p > 0.05 |
| NP | 1.68 | 1.15–2.47 | p > 0.05 | |
| UP | 0.41 | 0.29–0.58 | p < 0.001 | |
| Galleria mellonella | SP | 1.86 | 1.39–2.50 | p < 0.001 |
| NP | - | |||
| UP | 1.07 | 0.80–1.44 | p > 0.05 | |
| Ostrinia nubilalis | SP | 0.28 | 0.19–0.40 | p < 0.001 |
| NP | - | |||
| UP | 7.19 | 5.03–10.39 | p < 0.001 | |
| Sitotroga cerealella | SP | 1.42 | 1.07–1.89 | p > 0.05 |
| NP | - | |||
| UP | 1.40 | 1.06–1.86 | p > 0.05 | |
| Allopatric hosts compared to sympatric hosts | SP | 0.46 | 0.41–0.51 | p < 0.001 |
| NP | 1.81 | 1.55–2.12 | p < 0.001 | |
| UP | 0.58 | 0.52–0.66 | p < 0.001 |
Disclaimer/Publisher’s Note: The statements, opinions and data contained in all publications are solely those of the individual author(s) and contributor(s) and not of MDPI and/or the editor(s). MDPI and/or the editor(s) disclaim responsibility for any injury to people or property resulting from any ideas, methods, instructions or products referred to in the content. |
© 2025 by the authors. Licensee MDPI, Basel, Switzerland. This article is an open access article distributed under the terms and conditions of the Creative Commons Attribution (CC BY) license (https://creativecommons.org/licenses/by/4.0/).
Share and Cite
Ageev, A.A.; Golovina, A.N.; Utkuzova, A.M.; Shestopalova, A.V.; Tokarev, Y.S. Experimental Testing of Host Range of the Parasitoid Wasp Trichogramma dendrolimi Under Laboratory Conditions. Insects 2025, 16, 1114. https://doi.org/10.3390/insects16111114
Ageev AA, Golovina AN, Utkuzova AM, Shestopalova AV, Tokarev YS. Experimental Testing of Host Range of the Parasitoid Wasp Trichogramma dendrolimi Under Laboratory Conditions. Insects. 2025; 16(11):1114. https://doi.org/10.3390/insects16111114
Chicago/Turabian StyleAgeev, Aleksander A., Anna N. Golovina, Alsu M. Utkuzova, Anastasia V. Shestopalova, and Yuri S. Tokarev. 2025. "Experimental Testing of Host Range of the Parasitoid Wasp Trichogramma dendrolimi Under Laboratory Conditions" Insects 16, no. 11: 1114. https://doi.org/10.3390/insects16111114
APA StyleAgeev, A. A., Golovina, A. N., Utkuzova, A. M., Shestopalova, A. V., & Tokarev, Y. S. (2025). Experimental Testing of Host Range of the Parasitoid Wasp Trichogramma dendrolimi Under Laboratory Conditions. Insects, 16(11), 1114. https://doi.org/10.3390/insects16111114

