Stomoxys Species Richness and Apparent Densities at Different Land-Use Setups in North-Eastern KwaZulu-Natal Province, South Africa
Simple Summary
Abstract
1. Introduction
2. Materials and Methods
2.1. Study Area
2.2. Fly Collection and Study Design
2.3. Morphological Identification of Stomoxys spp.
2.4. Molecular Identification of Stomoxys spp.
2.4.1. Genomic DNA Extraction
2.4.2. PCR Amplification and Sequencing
2.4.3. Gel Electrophoresis and DNA Sequencing
2.4.4. Phylogenetic Analyses
2.5. Statistical Analysis
3. Results
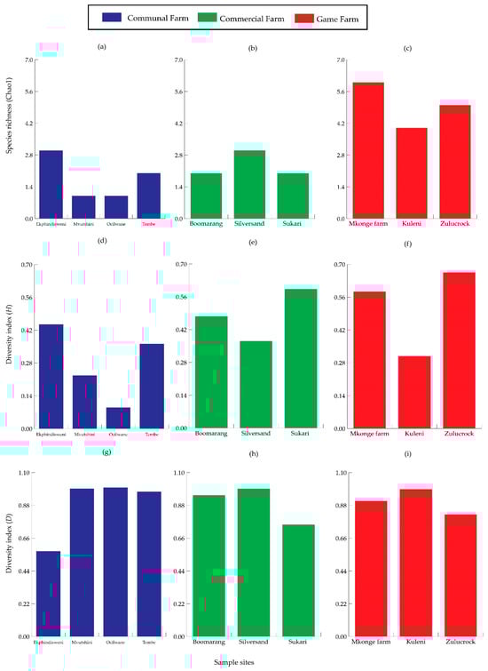
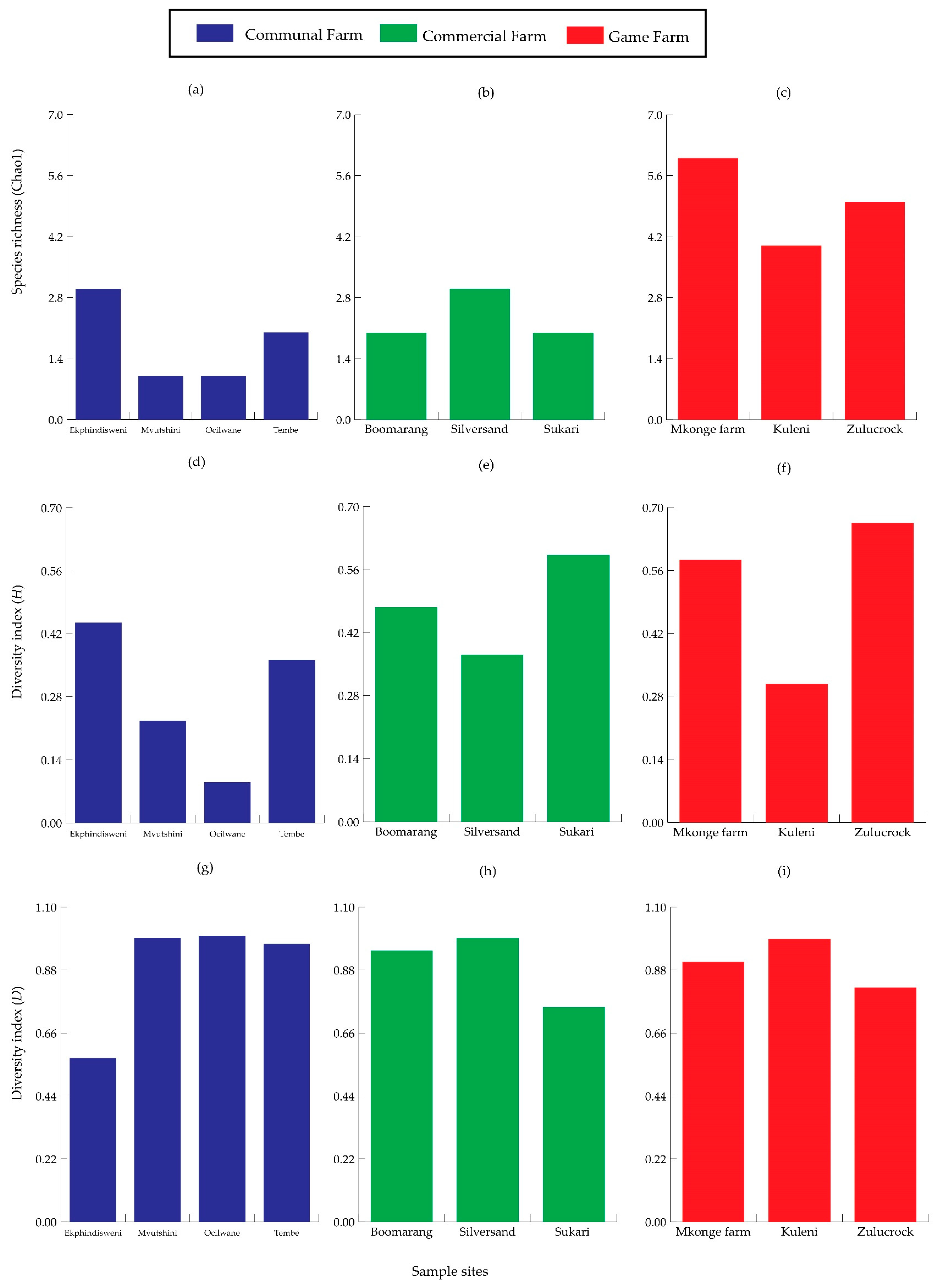
3.1. Morphological Identification and Diversity
3.2. Molecular Identification and Phylogenetic Analysis
3.3. Species Surrogates
3.4. Apparent Densities (ADs) of Stomoxys Flies in the Sampled Land-Use Settings
4. Discussion
5. Conclusions
Supplementary Materials
Author Contributions
Funding
Data Availability Statement
Acknowledgments
Conflicts of Interest
Abbreviations
| FDT | Fly per trap per day |
| KZN | KwaZulu-Natal |
| COI | Cytochrome oxidase I gene |
| CytB | Cytochrome b gene |
| AD | Apparent density |
| PCR | Polymerase chain reaction |
References
- Zumpt, F. The Stomoxyine Biting Flies of the World. Diptera: Muscidae. Taxonomy, Biology, Economic Importance and Control Measures; Gustav Fisher Verlag: Stuttgart, Germany, 1973. [Google Scholar]
- Duvallet, G.; Hogsette, J.A. Global diversity, distribution, and genetic studies of stable flies (Stomoxys sp.). Diversity 2023, 15, 600. [Google Scholar] [CrossRef]
- Gilles, J.; David, J.-F.; Duvallet, G.; De La Rocque, S.; Tillard, E. Efficiency of Traps for Stomoxys calcitrans and Stomoxys niger niger on Reunion Island. Med. Vet. Entomol. 2007, 21, 65–69. [Google Scholar] [CrossRef]
- Müller, G.C.; Hogsette, J.A.; Beier, J.C.; Traore, S.F.; Toure, M.B.; Traore, M.M.; Bah, S.; Doumbia, S.; Schlein, Y. Attraction of Stomoxys sp. to various fruits and flowers in Mali. Med. Vet. Entomol. 2012, 26, 178–187. [Google Scholar] [CrossRef]
- Baldacchino, F.; Muenworn, V.; Desquesnes, M.; Desoli, F.; Charoenviriyaphap, T.; Duvallet, G. Transmission of pathogens by Stomoxys flies (Diptera, Muscidae): A review. Parasite 2013, 20, 26. [Google Scholar] [CrossRef] [PubMed]
- Changbunjong, T.; Weluwanarak, T.; Ratanakorn, P.; Maneeon, P.; Ganpanakngan, M.; Apiwathnasorn, C.; Sungvornyothin, S.; Sriwichai, P.; Sumruayphol, S.; Ruangsittichai, J. Distribution and abundance of Stomoxyini flies (Diptera: Muscidae) in Thailand. Southeast Asian J. Trop. Med. Public Health 2012, 43, 1400–1410. [Google Scholar]
- Nosal, P.; Kowal, J.; Weglarz, A.; Wyrobisz-Papiewska, A. The occurrence and diversity of flies (Diptera) related to ruminant farming in southern Poland. Ann. Parasitol. 2019, 65, 357–363. [Google Scholar] [CrossRef] [PubMed]
- Lorn, S.; Ratisupakorn, S.; Duvallet, G.; Chareonviriyaphap, T.; Tainchum, K. Species composition and abundance of Stomoxys spp. (Diptera: Muscidae) in Peninsular Thailand. J. Med. Entomol. 2020, 57, 252–258. [Google Scholar] [CrossRef] [PubMed]
- Moon, R.D. Muscid Flies (Muscidae). In Medical and Veterinary Entomology; Elsevier: Amsterdam, The Netherlands, 2019; pp. 345–368. ISBN 978-0-12-814043-7. [Google Scholar]
- Mcpheron, L.J.; Broce, A.B. Environmental components of pupariation-site selection by the stable fly (Diptera: Muscidae). Environ. Entomol. 1996, 25, 665–671. [Google Scholar] [CrossRef]
- Dsouli-Aymes, N.; Michaux, J.; De Stordeur, E.; Couloux, A.; Veuille, M.; Duvallet, G. Global population structure of the stable fly (Stomoxys calcitrans) inferred by mitochondrial and nuclear sequence data. Infect. Genet. Evol. 2011, 11, 334–342. [Google Scholar] [CrossRef]
- Mavoungou, J.; Nguema, R.M.; Genevieve Lydie, A.-Y.; Koumba, C.R.; Mounioko, F.; Silas Lendzele, S.; Bakakas, I.; Gilles, J.; Duvallet, G. Breeding sites of Stomoxys spp. (Diptera: Muscidae), a preliminary study in the Makokou Region (North-East-Gabon). Vector Biol. J. 2017, 2, 115. [Google Scholar] [CrossRef]
- Mavoungou, J.F.; Kohagne, T.L.; Acapovi-Yao, G.L.; Gilles, J.; Ketoh, K.G.; Duvallet, G. Vertical distribution of Stomoxys spp. (Diptera: Muscidae) in a Rainforest Area of G Abon. Afr. J. Ecol. 2013, 51, 147–153. [Google Scholar] [CrossRef]
- Bitome Essono, P.Y.; Dechaume-Moncharmont, F.-X.; Mavoungou, J.; Obiang Mba, R.; Duvallet, G.; Bretagnolle, F. Distribution and abundance of hematophagous Flies (Glossinidae, Stomoxys, and Tabanidae) in two National Parks of Gabon. Parasite 2015, 22, 23. [Google Scholar] [CrossRef]
- Lendzele, S.S.; François, M.J.; Roland, Z.-K.C.; Armel, K.A.; Duvallet, G. Factors Influencing Seasonal and Daily Dynamics of the Genus Stomoxys Geoffroy, 1762 (Diptera: Muscidae), in the Adamawa Plateau, Cameroon. Int. J. Zool. 2019, 2019, 3636943. [Google Scholar] [CrossRef]
- Benoit, J.B.; Vinauger, C. Chapter 32: Chronobiology of Blood-Feeding Arthropods: Influences on Their Role as Disease Vectors. In Sensory Ecology of Disease Vectors; Brill Publishers: Leiden, The Netherlands, 2022. [Google Scholar] [CrossRef]
- Showler, A.T.; Osbrink, W.L.A. Stable Fly, Stomoxys calcitrans (L.), dispersal and governing factors. Int. J. Insect Sci. 2015, 7, IJIS.S21647. [Google Scholar] [CrossRef] [PubMed]
- Erasmus, A.S. The Impact of Stomoxys calcitrans populations on cattle in a feedlot near Heidelberg, Gauteng, South Africa. Master’s Thesis, North-West University, Potchefstroom Campus, Potchefstroom, South Africa, 2015. [Google Scholar]
- Evert, M. The Temporal Distribution and Relative Abundance of Stable Flies (Stomoxys calcitrans) (Diptera: Muscidae) in a Feedlot Near Heidelberg, Gauteng, South Africa; The North-West University: Potchefstroom, South Africa, 2014. [Google Scholar]
- Makhahlela, N.B.; Liebenberg, D.; Van Hamburg, H.; Taioe, M.O.; Onyiche, T.; Ramatla, T.; Thekisoe, O.M.M. Detection of Pathogens of Veterinary Importance Harboured by Stomoxys calcitrans in South African Feedlots. Sci. Afr. 2022, 15, e01112. [Google Scholar] [CrossRef]
- Holloway, M.T.P.; Phelps, R.J. The Responses of Stomoxys Spp. (Diptera: Muscidae) to Traps and Artificial Host Odours in the Field. Bull. Entomol. Res. 1991, 81, 51–56. [Google Scholar] [CrossRef]
- Cecchi, G.; Paone, M.; de Gier, J.; Zhao, W. The Continental Atlas of the Distribution of Tsetse Flies in Africa; FAO: Rome, Italy, 2024; ISBN 978-92-5-139040-5. [Google Scholar]
- de Beer, C.J.; Venter, G.J.; Kappmeier Green, K.; Esterhuizen, J.; De Klerk, D.G.; Ntshangase, J.; Vreysen, M.J.B.; Pienaar, R.; Motloang, M.; Ntantiso, L.; et al. An update of the tsetse fly (Diptera: Glossinidae) distribution and African animal trypanosomosis prevalence in north-eastern KwaZulu-Natal, South Africa. Onderstepoort J. Vet. Res. 2016, 83, 10. [Google Scholar] [CrossRef] [PubMed]
- Kappmeier, K.; Nevill, E.M.; Bagnall, R.J. Review of tsetse flies and trypanosomosis in South Africa. Onderstepoort J. Vet. Res. 1998, 65, 195–203. [Google Scholar]
- de Beer, C.J.; Dicko, A.H.; Ntshangase, J.; Moyaba, P.; Taioe, M.O.; Mulandane, F.C.; Neves, L.; Mdluli, S.; Guerrini, L.; Bouyer, J.; et al. A distribution model for Glossina brevipalpis and Glossina austeni in Southern Mozambique, Eswatini and South Africa for Enhanced Area-Wide Integrated Pest Management Approaches. PLoS Neglected Trop. Dis. 2021, 15, e0009989. [Google Scholar] [CrossRef]
- Mucina, L.; Rutherford, M.C. (Eds.) Strelitzia. In Vegetation of South Africa; South African National Biodiversity Institute: Pretoria, South Africa, 2006; ISBN 978-1-919976-21-1. [Google Scholar]
- Esterhuizen, J.; Kappmeier Green, K.; Marcotty, T.; Van Den Bossche, P. Abundance and distribution of the tsetse Flies, Glossina austeni and G. brevipalpis, in different habitats in South Africa. Med. Vet. Entomol. 2005, 19, 367–371. [Google Scholar] [CrossRef] [PubMed]
- Boulangé, A.; Lejon, V.; Berthier, D.; Thévenon, S.; Gimonneau, G.; Desquesnes, M.; Abah, S.; Agboho, P.; Chilongo, K.; Gebre, T.; et al. The COMBAT Project: Controlling and progressively minimizing the burden of vector-borne animal trypanosomosis in Africa. Open Res. Eur. 2022, 2, 67. [Google Scholar] [CrossRef]
- Kappmeier, K. A newly developed odour-baited “H Trap” for the live collection of Glossina brevipalpis and Glossina austeni (Diptera: Glossinidae) in South Africa. Onderstepoort J. Vet. Res. 2000, 67, 15–26. [Google Scholar] [PubMed]
- Saldanha, I.; Lea, R.; Manangwa, O.; Garrod, G.; Haines, L.R.; Acosta-Serrano, Á.; Auty, H.; Betson, M.; Lord, J.S.; Morrison, L.J.; et al. Caught in a trap: DNA contamination in tsetse xenomonitoring can lead to over-estimates of Trypanosoma brucei infection. PLoS Negl. Trop. Dis. 2024, 18, e0012095. [Google Scholar] [CrossRef]
- Folmer, O.; Black, M.; Hoeh, W.; Lutz, R.; Vrijenhoek, R. DNA primers for amplification of mitochondrial cytochrome c oxidase subunit I from diverse Metazoan invertebrates. Mol. Mar. Biol. Biotechnol. 1994, 3, 294–299. [Google Scholar]
- Kumar, S. MEGA12: Molecular Evolutionary Genetic Analysis Version 12 for Adaptive and Green Computing. Mol. Biol. Evol. 2024, 41, msae263. [Google Scholar] [CrossRef]
- Shannon, C.E. A Mathematical Theory of Communication. Bell Syst. Tech. J. 1948, 27, 379–423. [Google Scholar] [CrossRef]
- Thukral, A.K. Measurement of Diversity in Characterization of Biological Communities. In Information Theory and Optimisation Techniques in Scientific Research; VDM-Verlag: Saarbrücken, Germany, 2010. [Google Scholar]
- Nolan, K.; Callahan, J. Beachcomber Biology: The Shannon-Weiner Species Diversity Index. Proc. Workshop ABLE 2006, 27, 334–338. [Google Scholar]
- Leak, S.G.A.; Ejigu, D.; Vreysen, M.J.B. Collection of Entomological Baseline Data for Tsetse Area-Wide Integrated Pest Management Programmes. In FAO Animal Production and Health; FAO: Rome, Italy, 2008; ISBN 978-92-5-106158-9. [Google Scholar]
- Muita, J.W.; Bargul, J.L.; Makwatta, J.O.; Ngatia, E.M.; Tawich, S.K.; Masiga, D.K.; Getahun, M.N. Stomoxys flies (Diptera, Muscidae) are competent vectors of Trypanosoma evansi, Trypanosoma vivax, and other livestock hemopathogens. PLoS Pathog. 2025, 21, e1012570. [Google Scholar] [CrossRef]
- Lendzele, S.S.; Kong, A.B.; Koumba, A.A.; Mielke, S.R.; Nguema, R.M.; Bozdoğan, H.; Mouiche, M.M.M.; Abdoulmoumini, M.; Mavoungou, J.F. A survey of Stomoxys Geoffroy, 1762 (Diptera: Muscidae) in eight administrative regions of Cameroon. Rev. Bras. entomol. 2023, 67, e20230023. [Google Scholar] [CrossRef]
- Mavoungou, J.; Jay-Robert, P.; Gilles, J.; Atsame, E.; Duvallet, G. Ecology of Stomoxys flies (Diptera: Muscidae) in Gabon. I. First Survey in Different Ecological Areas. Parasite 2008, 15, 27–34. [Google Scholar] [CrossRef] [PubMed]
- Ahmed, A.; Okiwelu, S.; Samdi, S. Species Diversity, Abundance and Seasonal Occurrence of Some Biting Flies in Southern Kaduna, Nigeria. Afr. J. Biomed. Res. 2006, 8, 113–118. [Google Scholar] [CrossRef]
- Mihok, S.; Clausen, P.H. Feeding Habits of Stomoxys spp. stable flies in a Kenyan forest. Med. Vet. Entomol. 1996, 10, 392–394. [Google Scholar] [CrossRef]
- Gilles, J.; David, J.-F.; Duvallet, G. Temperature effects on development and survival of two stable flies, Stomoxys calcitrans and Stomoxys niger niger (Diptera: Muscidae), in La Re’union Island. J. Med. Entomol. 2005, 42, 260–265. [Google Scholar] [CrossRef]
- Adungo, F.; Mokaya, T.; Makwaga, O.; Mwau, M. Tsetse distribution, trypanosome infection rates, and small-holder livestock producers’ capacity enhancement for sustainable tsetse and trypanosomiasis control in Busia, Kenya. Trop. Med. Health 2020, 48, 62. [Google Scholar] [CrossRef]
- Rochon, K.; Hogsette, J.A.; Kaufman, P.E.; Olafson, P.U.; Swiger, S.L.; Taylor, D.B. Stable Fly (Diptera: Muscidae)—Biology, Management, and Research Needs. J. Integr. Pest Manag. 2021, 12, 38. [Google Scholar] [CrossRef]
- Mihok, S. The development of a multipurpose Trap (the Nzi) for tsetse and other biting flies. Bull. Entomol. Res. 2002, 92, 385–403. [Google Scholar] [CrossRef]
- Esterhuizen, J. Seasonal abundance of horse flies (Diptera: Tabanidae) from two conservation areas in northeastern KwaZulu-Natal Province, South Africa. Afr. Entomol. 2006, 14, 395–397. [Google Scholar]
- Keawrayup, S.; Duvallet, G.; Sukonthabhirom, S.; Chareonviriyaphap, T. Diversity of Stomoxys spp. (Diptera: Muscidae) and diurnal variations of activity of Stomoxys indicus and S. calcitrans in a Farm, in Wang Nam Khiao District, Nakhon Ratchasima Province, Thailand. Parasite 2012, 19, 259–265. [Google Scholar] [CrossRef]
- Mihok, S.; Maramba, O.; Munyoki, E.; Kagoiya, J. Mechanical transmission of Trypanosoma spp. by African Stomoxyinae (Diptera: Muscidae). Trop. Med. Parasitol. 1995, 46, 103–105. [Google Scholar] [PubMed]





| Species_ID | Site_ID | No of Traps | No of Trapping Days | Male | Female | Total | Male_AD | Female_AD | Total_AD |
|---|---|---|---|---|---|---|---|---|---|
| Communal area | |||||||||
| S_calcitrans | Ekphindisweni | 3 | 22 | 1 | 2 | 3 | 0.02 | 0.03 | 0.05 |
| S_taeniatus | Ekphindisweni | 3 | 22 | 1 | 0 | 1 | 0.02 | 0.00 | 0.02 |
| S_niger niger | Ekphindisweni | 3 | 22 | 30 | 27 | 57 | 0.45 | 0.41 | 0.86 |
| S_niger niger | Mvutshini | 6 | 20 | 7 | 1 | 8 | 0.06 | 0.01 | 0.07 |
| S_niger niger | Ocilwane | 5 | 19 | 2 | 0 | 2 | 0.02 | 0.00 | 0.02 |
| S_calcitrans | Tembe | 3 | 14 | 0 | 1 | 1 | 0.00 | 0.02 | 0.02 |
| S_niger niger | Tembe | 3 | 14 | 13 | 2 | 15 | 0.31 | 0.05 | 0.36 |
| Commercial Farm | |||||||||
| S_calcitrans | Boomarang | 5 | 23 | 7 | 7 | 14 | 0.06 | 0.06 | 0.12 |
| S_niger niger | Boomarang | 5 | 23 | 55 | 15 | 70 | 0.48 | 0.13 | 0.61 |
| S_calcitrans | Silversand | 1 | 7 | 6 | 0 | 6 | 0.86 | 0.00 | 0.86 |
| S_taeniatus | Silversand | 1 | 7 | 4 | 2 | 6 | 0.57 | 0.29 | 0.86 |
| S_niger niger | Silversand | 1 | 7 | 26 | 2 | 28 | 3.71 | 0.29 | 4.00 |
| S_calcitrans | Sukari | 2 | 7 | 10 | 24 | 34 | 0.71 | 1.71 | 2.43 |
| S_niger niger | Sukari | 2 | 7 | 112 | 39 | 151 | 8.00 | 2.79 | 10.79 |
| Game Farm | |||||||||
| S_calcitrans | Mkonge farm | 4 | 7 | 0 | 9 | 9 | 0.00 | 0.32 | 0.32 |
| S_niger niger | Mkonge farm | 4 | 7 | 126 | 147 | 273 | 4.50 | 5.25 | 9.75 |
| S_niger bilineatus | Mkonge farm | 4 | 7 | 6 | 3 | 9 | 0.21 | 0.11 | 0.32 |
| S_sitiens | Mkonge farm | 4 | 7 | 9 | 3 | 12 | 0.32 | 0.11 | 0.43 |
| S_taeniatus | Mkonge farm | 4 | 7 | 6 | 0 | 6 | 0.21 | 0.00 | 0.21 |
| S_boueti | Mkonge farm | 4 | 7 | 5 | 3 | 8 | 0.18 | 0.11 | 0.29 |
| S_calcitrans | Kuleni | 3 | 33 | 2 | 1 | 3 | 0.02 | 0.01 | 0.03 |
| S_boueti | Kuleni | 3 | 33 | 3 | 0 | 3 | 0.03 | 0.00 | 0.03 |
| S_taeniatus | Kuleni | 3 | 33 | 5 | 1 | 6 | 0.05 | 0.01 | 0.06 |
| S_niger niger | Kuleni | 3 | 33 | 80 | 16 | 96 | 0.81 | 0.16 | 0.97 |
| S_calcitrans | Zulucrock | 2 | 33 | 71 | 30 | 101 | 1.08 | 0.45 | 1.53 |
| S_niger bilineatus | Zulucrock | 2 | 33 | 0 | 2 | 2 | 0.00 | 0.03 | 0.03 |
| S_niger niger | Zulucrock | 2 | 33 | 233 | 142 | 375 | 3.53 | 2.15 | 5.68 |
| S_sitiens | Zulucrock | 2 | 33 | 1 | 2 | 3 | 0.02 | 0.03 | 0.05 |
| S_taeniatus | Zulucrock | 2 | 33 | 4 | 0 | 4 | 0.06 | 0.00 | 0.06 |
Disclaimer/Publisher’s Note: The statements, opinions and data contained in all publications are solely those of the individual author(s) and contributor(s) and not of MDPI and/or the editor(s). MDPI and/or the editor(s) disclaim responsibility for any injury to people or property resulting from any ideas, methods, instructions or products referred to in the content. |
© 2025 by the authors. Licensee MDPI, Basel, Switzerland. This article is an open access article distributed under the terms and conditions of the Creative Commons Attribution (CC BY) license (https://creativecommons.org/licenses/by/4.0/).
Share and Cite
Moyaba, P.; Modise, S.A.; Esterhuizen, J.; Suganuma, K.; Inoue, N.; Thekisoe, O.; Taioe, M.O. Stomoxys Species Richness and Apparent Densities at Different Land-Use Setups in North-Eastern KwaZulu-Natal Province, South Africa. Insects 2025, 16, 1049. https://doi.org/10.3390/insects16101049
Moyaba P, Modise SA, Esterhuizen J, Suganuma K, Inoue N, Thekisoe O, Taioe MO. Stomoxys Species Richness and Apparent Densities at Different Land-Use Setups in North-Eastern KwaZulu-Natal Province, South Africa. Insects. 2025; 16(10):1049. https://doi.org/10.3390/insects16101049
Chicago/Turabian StyleMoyaba, Percy, Serero Abiot Modise, Johan Esterhuizen, Keisuke Suganuma, Noboru Inoue, Oriel Thekisoe, and Moeti Oriel Taioe. 2025. "Stomoxys Species Richness and Apparent Densities at Different Land-Use Setups in North-Eastern KwaZulu-Natal Province, South Africa" Insects 16, no. 10: 1049. https://doi.org/10.3390/insects16101049
APA StyleMoyaba, P., Modise, S. A., Esterhuizen, J., Suganuma, K., Inoue, N., Thekisoe, O., & Taioe, M. O. (2025). Stomoxys Species Richness and Apparent Densities at Different Land-Use Setups in North-Eastern KwaZulu-Natal Province, South Africa. Insects, 16(10), 1049. https://doi.org/10.3390/insects16101049

