Stability Evaluation of Reference Genes in Gynaephora qinghaiensis (Lepidoptera: Lymantriidae) for qRT-PCR Normalization
Simple Summary
Abstract
1. Introduction
2. Materials and Methods
2.1. Insect Collection and Rearing
2.2. Sample Preparation
2.3. RNA Extraction and cDNA First Strand Synthesis
2.4. RNA Sequencing and Selection of Candidate Reference Genes
2.5. Primer Design and qRT—PCR Analysis
2.6. Statistical Analyses
2.7. Validation of Reference Genes with the Target Gene HSP60
3. Results
3.1. Specificity of Primers of Candidate Reference Genes
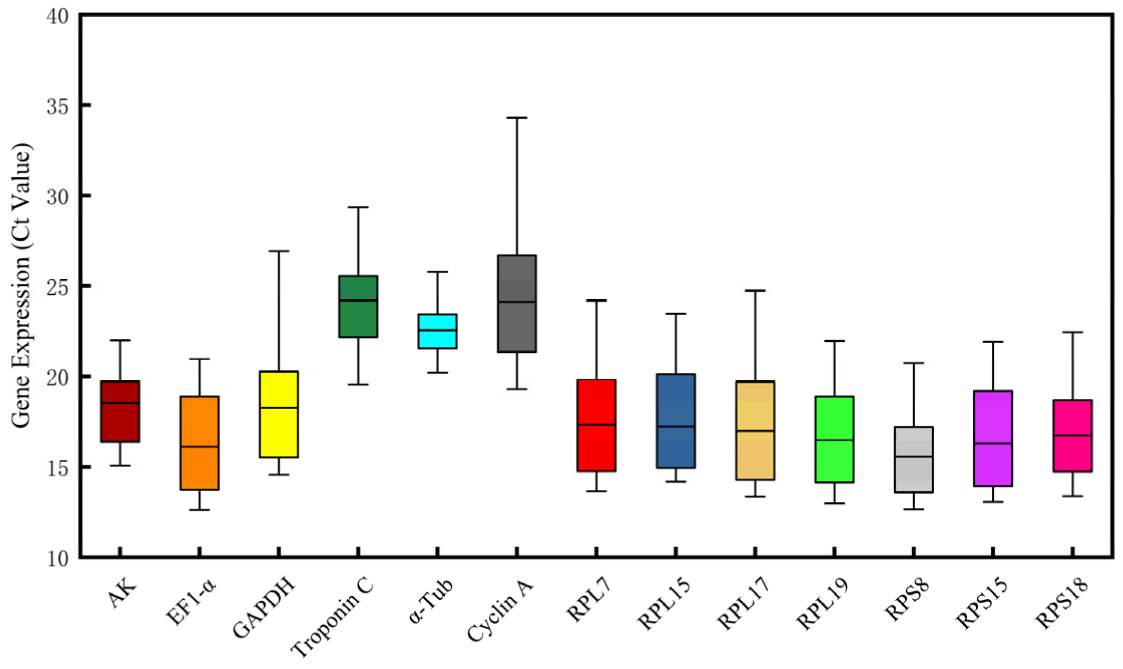
3.2. Expression Profiles of Candidate Reference Genes
3.3. Expression Stability of Candidate Reference Genes Under Six Different Experimental Conditions
3.3.1. Tissues
3.3.2. Developmental Stages
3.3.3. Sexes
3.3.4. Temperatures
3.3.5. Starvation Treatments
3.3.6. Insecticides
3.4. Optimal Combinations of Reference Genes Under Six Experiment Conditions
3.5. Validation of Candidate Reference Genes in Different Tissues and at Different Temperatures
4. Discussion
5. Conclusions
Supplementary Materials
Author Contributions
Funding
Data Availability Statement
Acknowledgments
Conflicts of Interest
References
- Yuan, C.; Liu, Y.; Shao, H.; Fu, J.; Liu, S. Identification, distribution and ultramorphology of the larvae of Gynaephora menyuanensis (Lepidoptera: Lymantriinae) endemic to Qinghai-Tibet Plateau. Sci. Rep. 2025, 15, 8889. [Google Scholar] [CrossRef]
- Wang, J.-C.; Zhou, M.; Deng, F.; Fan, Z.-J.; Li, P.; Zhan, Z.-G.; Kuang, W.-D.; Guan, L.-M.; Wang, J. Genome sequencing and analysis of a new strain of Gynaephora ruoergensis nucleopolyhedrovirus (EupsNPV-Gr). Chin. J. Virol. 2022, 38, 156–167. [Google Scholar] [CrossRef]
- Zhang, Q.-L.; Zhang, L.; Zhao, T.-X.; Wang, J.; Zhu, Q.-H.; Chen, J.-Y.; Yuan, M.-L. Gene sequence variations and expression patterns of mitochondrial genes are associated with the adaptive evolution of two Gynaephora Species (Lepidoptera: Lymantriinae) living in different high-elevation environments. Gene 2017, 610, 148–155. [Google Scholar] [CrossRef] [PubMed]
- Zhao, J.-R.; Hu, S.-Y.; Zhang, L.-J.; Zhang, L.; Yang, X.-Z.; Yuan, M.-L. Differential gene expression patterns between the head and thorax of Gynaephora aureata are associated with high-altitude adaptation. Front. Genet. 2023, 14, 1137618. [Google Scholar] [CrossRef]
- Zhang, Q.-L.; Zhang, L.; Yang, X.-Z.; Wang, X.-T.; Li, X.-P.; Wang, J.; Chen, J.-Y.; Yuan, M.-L. Comparative transcriptomic analysis of Tibetan Gynaephora to explore the genetic basis of insect adaptation to divergent altitude environments. Sci. Rep. 2017, 7, 16972. [Google Scholar] [CrossRef]
- Yuan, M.-L.; Zhang, Q.-L.; Zhang, L.; Jia, C.-L.; Li, X.-P.; Yang, X.-Z.; Feng, R.-Q. Mitochondrial phylogeny, divergence history and high-altitude adaptation of grassland caterpillars (Lepidoptera: Lymantriinae: Gynaephora) inhabiting the Tibetan Plateau. Mol. Phylogenet. Evol. 2018, 122, 116–124. [Google Scholar] [CrossRef] [PubMed]
- Yuan, M.; Bao, M.; Zhang, Q.; Guo, Z.; Li, M.; Wang, J. Mitochondrial phylogeography of grassland caterpillars (Lepidoptera: Lymantriinae: Gynaephora) endemic to the Qinghai–Tibetan Plateau. Ecol. Evol. 2024, 14, e70270. [Google Scholar] [CrossRef] [PubMed]
- Wang, H.-Z.; Zhang, R.; Li, Y.; Liu, X. Sexual dimorphism-related gene expression analysis based on the transcriptome in Gynaephora qinghaiensis, a pest of grassland on the Qinghai-Tibet Plateau. J. Asia-Pac. Entomol. 2023, 26, 102083. [Google Scholar] [CrossRef]
- Shao, H.; Yuan, C.; Liu, Y.; Xin, X. Instar determination, development, and sexual dimorphism for Gynaephora menyuanensis (Lepidoptera: Lymantriinae) and ultrastructure of adult antennae. J. Insect Sci. 2025, 25, 1. [Google Scholar] [CrossRef]
- Taylor, S.C.; Nadeau, K.; Abbasi, M.; Lachance, C.; Nguyen, M.; Fenrich, J. The Ultimate qPCR experiment: Producing publication quality, reproducible data the first time. Trends Biotechnol. 2019, 37, 761–774. [Google Scholar] [CrossRef]
- Bustin, S.A.; Benes, V.; Nolan, T.; Pfaffl, M.W. Quantitative real-time RT-PCR—A perspective. J. Mol. Endocrinol. 2005, 34, 597–601. [Google Scholar] [CrossRef] [PubMed]
- Ferguson, B.S.; Nam, H.; Hopkins, R.G.; Morrison, R.F. Impact of reference gene selection for target gene normalization on experimental outcome using real-time qRT-PCR in Adipocytes. PLoS ONE 2010, 5, e15208. [Google Scholar] [CrossRef]
- Lü, J.; Yang, C.; Zhang, Y.; Pan, H. Selection of reference genes for the normalization of RT-qPCR data in gene expression studies in insects: A systematic review. Front. Physiol. 2018, 9, 1560. [Google Scholar] [CrossRef] [PubMed]
- Chapman, J.R.; Waldenström, J. With reference to reference genes: A systematic review of endogenous controls in gene expression studies. PLoS ONE 2015, 10, e0141853. [Google Scholar] [CrossRef]
- Zhang, S.; An, S.; Li, Z.; Wu, F.; Yang, Q.; Liu, Y.; Cao, J.; Zhang, H.; Zhang, Q.; Liu, X. Identification and validation of reference genes for normalization of gene expression analysis using qRT-PCR in Helicoverpa armigera (Lepidoptera: Noctuidae). Gene 2015, 555, 393–402. [Google Scholar] [CrossRef]
- Yin, J.; Sun, L.; Zhang, Q.; Cao, C. Screening and evaluation of the stability of expression of reference genes in Lymantria dispar (Lepidoptera: Erebidae) using qRT-PCR. Gene 2020, 749, 144712. [Google Scholar] [CrossRef]
- Kong, D.; Shi, D.; Wang, C.; Zhai, R.; Lyu, L.; He, Y.; Wang, D. Identification and validation of reference genes for expression analysis using qRT-PCR in Cimex hemipterus (Hemiptera: Cimicidae). Insects 2022, 13, 784. [Google Scholar] [CrossRef]
- Shen, C.-H.; Peng, L.-J.; Zhang, Y.-X.; Zeng, H.-R.; Yu, H.-F.; Jin, L.; Li, G.-Q. Reference genes for expression analyses by qRT-PCR in Phthorimaea operculella (Lepidoptera: Gelechiidae). Insects 2022, 13, 140. [Google Scholar] [CrossRef]
- Lu, Y.; Yuan, M.; Gao, X.; Kang, T.; Zhan, S.; Wan, H.; Li, J. Identification and validation of reference genes for gene expression analysis using quantitative PCR in Spodoptera litura (Lepidoptera: Noctuidae). PLoS ONE 2013, 8, e68059. [Google Scholar] [CrossRef]
- Shu, B.; Zhang, J.; Cui, G.; Sun, R.; Sethuraman, V.; Yi, X.; Zhong, G. Evaluation of reference genes for real-time quantitative PCR analysis in larvae of Spodoptera litura exposed to azadirachtin stress conditions. Front. Physiol. 2018, 9, 372. [Google Scholar] [CrossRef] [PubMed]
- Wu, S.; Luo, Y.; Zeng, Z.; Yu, Y.; Zhang, S.; Hu, Y.; Chen, L. Determination of internal controls for quantitative gene expression of Spodoptera litura under microbial pesticide stress. Sci. Rep. 2024, 14, 6143. [Google Scholar] [CrossRef] [PubMed]
- Ling, D.; Salvaterra, P.M. Robust RT-qPCR data normalization: Validation and selection of internal reference genes during post-experimental Data analysis. PLoS ONE 2011, 6, e17762. [Google Scholar] [CrossRef] [PubMed]
- Zhang, L.; Zhang, Q.; Wang, X.; Yang, X.; Li, X.; Yuan, M. Selection of reference genes for qRT-PCR and expression analysis of high-altitude-related genes in grassland caterpillars (Lepidoptera: Erebidae: Gynaephora) along an altitude gradient. Ecol. Evol. 2017, 7, 9054–9065. [Google Scholar] [CrossRef]
- Yan, L.; Wang, G.; Liu, C.Z. Number of instars and stadium duration of Gynaephora menyuanensis (Lepidoptera: Lymantriidae) from Qinghai-Tibetan Plateau in China. Ann. Entomol. Soc. Am. 2006, 99, 1012–1018. [Google Scholar] [CrossRef]
- LaMao, C.-R.; Wang, C.-H.; Shi, X.-W. Report on the efficacy of abamectin and 4.5% cypermethrin in the control of grassland caterpillars. Anim. Breed. Feed. 2008, 5, 45–47. [Google Scholar] [CrossRef]
- Zhong, B.-Z.; Lv, C.-J.; Li, C.-X.; Cheng, T. Study on the control effect of rotenone on Tirathaba rufivena Walker. China Plant Prot. 2023, 43, 5–9. [Google Scholar] [CrossRef]
- Chomczynski, P.; Sacchi, N. The single-step method of RNA isolation by acid guanidinium thiocyanate–phenol–chloroform extraction: Twenty-something years on. Nat. Protoc. 2006, 1, 581–585. [Google Scholar] [CrossRef]
- Rio, D.C.; Ares, M.; Hannon, G.J.; Nilsen, T.W. Purification of RNA using TRIzol (TRI Reagent). Cold Spring Harb. Protoc. 2010, 2010, pdb.prot5439. [Google Scholar] [CrossRef]
- Green, M.R.; Sambrook, J. Agarose gel electrophoresis. Cold Spring Harb. Protoc. 2019, 2019, pdb.prot100404. [Google Scholar] [CrossRef]
- Wittmeier, P.; Hummel, S. Agarose gel electrophoresis to assess PCR product yield: Comparison with spectrophotometry, fluorometry and qPCR. BioTechniques 2022, 72, 155–158. [Google Scholar] [CrossRef]
- Pfaffl, M.W.; Tichopad, A.; Prgomet, C.; Neuvians, T.P. Determination of stable housekeeping genes, differentially regulated target genes and sample integrity: BestKeeper—Excel-based tool using pair-wise correlations. Biotechnol. Lett. 2004, 26, 509–515. [Google Scholar] [CrossRef]
- Shakeel, M.; Rodriguez, A.; Tahir, U.B.; Jin, F. Gene expression studies of reference genes for quantitative real-time PCR: An overview in insects. Biotechnol. Lett. 2018, 40, 227–236. [Google Scholar] [CrossRef]
- Xie, F.; Wang, J.; Zhang, B. RefFinder: A web-based tool for comprehensively analyzing and identifying reference genes. Funct. Integr. Genom. 2023, 23, 125. [Google Scholar] [CrossRef]
- Livak, K.J.; Schmittgen, T.D. Analysis of relative gene expression data using real-time quantitative PCR and the 2−ΔΔCT method. Methods 2001, 25, 402–408. [Google Scholar] [CrossRef]
- Kozera, B.; Rapacz, M. Reference genes in real-time PCR. J. Appl. Genet. 2013, 54, 391–406. [Google Scholar] [CrossRef]
- Fu, W.; Xie, W.; Zhang, Z.; Wang, S.; Wu, Q.; Liu, Y.; Zhou, X.; Zhou, X.; Zhang, Y. Exploring valid reference genes for quantitative real-time PCR analysis in Plutella xylostella (Lepidoptera: Plutellidae). Int. J. Biol. Sci. 2013, 9, 792–802. [Google Scholar] [CrossRef]
- Arun, A.; Baumlé, V.; Amelot, G.; Nieberding, C.M. Selection and validation of reference genes for qRT-PCR expression analysis of candidate genes involved in olfactory communication in the Butterfly Bicyclus anynana. PLoS ONE 2015, 10, e0120401. [Google Scholar] [CrossRef]
- Zheng, L.; Zhang, Z.; Zhang, J.; Li, X.; Huang, J.; Lin, W.; Li, W.; Li, C.; Lu, Y. Selection of reference genes for RT-qPCR analysis of Phenacoccus solenopsis (Hemiptera: Pseudococcidae) sex-dimorphic development. J. Integr. Agric. 2019, 18, 854–864. [Google Scholar] [CrossRef]
- Wang, Z.; Zhang, H.; Zhang, Z.; Zhao, J.; Ma, F.; Zheng, M.; Yang, M.; Sang, X.; Ma, K.; Li, L. Selection of reference genes for normalization of qRT-PCR analysis in the Soybean Aphid Aphis glycines Matsumura (Hemiptera: Aphididae). J. Econ. Entomol. 2022, 115, 2083–2091. [Google Scholar] [CrossRef] [PubMed]
- Bansal, R.; Haviland, D.R.; Hunter, W.B. Selection and validation of reference genes for quantifying gene expression in the Gill’s mealybug. J. Econ. Entomol. 2023, 116, 2166–2172. [Google Scholar] [CrossRef] [PubMed]
- Shen, X.-X.; Zhang, G.-Q.; Zhao, Y.-X.; Zhu, X.-X.; Yu, X.-F.; Yang, M.-F.; Zhang, F. Selection and validation of optimal reference genes for RT-qPCR analyses in Aphidoletes aphidimyza Rondani (Diptera: Cecidomyiidae). Front. Physiol. 2023, 14, 1277942. [Google Scholar] [CrossRef]
- Xue, D.; Chen, T.; Wu, Y. Stability evaluation of candidate reference genes for real-time qPCR normalization in Rhyzopertha dominica (Coleoptera: Bostrycidae). J. Econ. Entomol. 2024, 117, 629–637. [Google Scholar] [CrossRef] [PubMed]
- Shi, C.; Yang, F.; Zhu, X.; Du, E.; Yang, Y.; Wang, S.; Wu, Q.; Zhang, Y. Evaluation of housekeeping genes for quantitative real-time PCR analysis of Bradysia odoriphaga (Diptera: Sciaridae). Int. J. Mol. Sci. 2016, 17, 1034. [Google Scholar] [CrossRef] [PubMed]
- Tian, P.; Qiu, L.; Zhou, A.; Chen, G.; He, H.; Ding, W.; Li, Y. Evaluation of appropriate reference genes for investigating gene expression in Chlorops oryzae (Diptera: Chloropidae). J. Econ. Entomol. 2019, 112, 2207–2214. [Google Scholar] [CrossRef] [PubMed]
- Tu, C.; Xu, P.; Han, R.; Luo, J.; Xu, L. Defining suitable reference genes for qRT-PCR in Plagiodera versicolora (Coleoptera: Chrysomelidae) under different biotic or abiotic conditions. Agronomy 2022, 12, 1192. [Google Scholar] [CrossRef]
- Ponton, F.; Chapuis, M.-P.; Pernice, M.; Sword, G.A.; Simpson, S.J. Evaluation of potential reference genes for reverse transcription-qPCR studies of physiological responses in Drosophila melanogaster. J. Insect Physiol. 2011, 57, 840–850. [Google Scholar] [CrossRef]
- Piron Prunier, F.; Chouteau, M.; Whibley, A.; Joron, M.; Llaurens, V. Selection of valid reference genes for reverse transcription quantitative PCR analysis in Heliconius numata (Lepidoptera: Nymphalidae). J. Insect Sci. 2016, 16, 50. [Google Scholar] [CrossRef]
- Wang, Z.; Meng, Q.; Zhu, X.; Sun, S.; Liu, A.; Gao, S.; Gou, Y. Identification and evaluation of reference genes for normalization of gene expression in developmental stages, sexes, and tissues of Diaphania caesalis (Lepidoptera, Pyralidae). J. Insect Sci. 2020, 20, 6. [Google Scholar] [CrossRef]
- Zhao, X.; Guo, J.; Lu, Y.; Sun, T.; Tian, J.; Huang, J.; Xu, H.; Wang, Z.; Lu, Z. Reference genes for expression analysis using RT-qPCR in Cnaphalocrocis medinalis (Lepidoptera: Pyralidae). Insects 2022, 13, 1046. [Google Scholar] [CrossRef]
- Zou, K.; Wang, T.; Guan, M.; Liu, Y.; Li, J.; Liu, Y.; Du, J.; Wu, D. Identification and evaluation of qRT-PCR reference genes in Melanaphis sacchari. Insects 2024, 15, 522. [Google Scholar] [CrossRef]
- Shu, B.; Yu, H.; Dai, J.; Xie, Z.; Qian, W.; Lin, J. Stability evaluation of reference genes for real-time quantitative PCR normalization in Spodoptera frugiperda (Lepidoptera: Noctuidae). J. Integr. Agric. 2021, 20, 2471–2482. [Google Scholar] [CrossRef]
- Pan, H.; Yang, X.; Bidne, K.; Hellmich, R.L.; Siegfried, B.D.; Zhou, X. Selection of reference genes for RT-qPCR analysis in the monarch butterfly, Danaus plexippus (L.), a migrating bio-indicator. PLoS ONE 2015, 10, e0129482. [Google Scholar] [CrossRef] [PubMed]
- Xu, J.; Lu, M.-X.; Cui, Y.-D.; Du, Y.-Z. Selection and evaluation of reference genes for expression analysis using qRT-PCR in Chilo suppressalis (Lepidoptera: Pyralidae). J. Econ. Entomol. 2017, 110, 683–691. [Google Scholar] [CrossRef] [PubMed]
- Liu, G.; Qiu, X.; Cao, L.; Zhang, Y.; Zhan, Z.; Han, R. Evaluation of reference genes for reverse transcription quantitative PCR studies of physiological responses in the ghost moth, Thitarodes armoricanus (Lepidoptera, Hepialidae). PLoS ONE 2016, 11, e0159060. [Google Scholar] [CrossRef]
- Fu, H.; Huang, T.; Yin, C.; Xu, Z.; Li, C.; Liu, C.; Wu, T.; Song, F.; Feng, F.; Yang, F. Selection and validation of reference genes for RT-qPCR normalization in Bradysia odoriphaga (Diptera: Sciaridae) under insecticides stress. Front. Physiol. 2022, 12, 818210. [Google Scholar] [CrossRef]
- Zhang, Y.; Zhang, Z.; Ren, M.; Liu, X.; Zhou, X.; Yang, J. Selection of reference genes for RT-qPCR analysis in the hawthorn spider mite, Amphitetranychus viennensis (Acarina: Tetranychidae), under acaricide treatments. J. Econ. Entomol. 2022, 115, 662–670. [Google Scholar] [CrossRef]
- Wei, H.; Zhang, J.; Yang, M.; Li, Y.; Guo, K.; Qiao, H.; Xu, R.; Liu, S.; Xu, C. Selection and validation of reference genes for gene expression in Bactericera gobica Loginova under different insecticide stresses. Int. J. Mol. Sci. 2024, 25, 2434. [Google Scholar] [CrossRef]
- Ma, L.; Jiang, T.; Liu, X.; Xiao, H.; Peng, Y.; Zhang, W. Evaluation of candidate reference genes for gene expression analysis in the brassica leaf beetle, Phaedon brassicae (Coleoptera: Chrysomelidae). PLoS ONE 2021, 16, e0251920. [Google Scholar] [CrossRef]
- Sharma, S.; Reddy, P.V.J.; Rohilla, M.S.; Tiwari, P.K. Expression of HSP60 homologue in sheep blowfly Lucilia Cuprina during development and heat stress. J. Therm. Biol. 2006, 31, 546–555. [Google Scholar] [CrossRef]
- Sun, M.; Lu, M.-X.; Tang, X.-T.; Du, Y.-Z. Exploring valid reference genes for quantitative real-time PCR analysis in Sesamia inferens (Lepidoptera: Noctuidae). PLoS ONE 2015, 10, e0115979. [Google Scholar] [CrossRef]





| GenBank | Abbr | ORF (aa) | Blast Annotation | Acc. Number | E-Value | Identity (%) |
|---|---|---|---|---|---|---|
| PX137571 | AK | 226 | arginine kinase [Spodoptera litura] | ADW94627.1 | 3 × 10−154 | 97.79% |
| PX137572 | EF1-α | 309 | elongation factor 1-alpha [Plodia interpunctella] | XP_053609932.1 | 0 | 98.63% |
| PX137573 | GAPDH | 332 | glyceraldehyde-3-phosphate dehydrogenase [Lymantria dispar] | QPZ44475.1 | 0 | 98.19% |
| PX137578 | Troponin C | 159 | troponin C [Helicoverpa armigera] | XP_021199017.1 | 3 × 10−91 | 84.42% |
| PX137579 | α-Tub | 450 | alpha-tubulin [Bombyx mori] | NP_001036885.1 | 0 | 99.78% |
| PX137580 | Cyclin A | 491 | cyclin A [Spodoptera frugiperda] | AMY96431.1 | 0 | 81.61% |
| PX137574 | RPL7 | 262 | ribosomal protein L7 [Spodoptera frugiperda] | AAL62469.1 | 4 × 10−163 | 97.93% |
| PX137581 | RPL15 | 204 | ribosomal protein L15 [Heliconius melpomene cythera] | AEL28893.1 | 1 × 10−118 | 97.55% |
| PX137582 | RPL17 | 187 | ribosomal protein L17 [Heliconius melpomene cythera] | AEL28825.1 | 1 × 10−109 | 98.05% |
| PX137575 | RPL19 | 200 | ribosomal protein L19 [Bombyx mori] | NP_001037221.1 | 8 × 10−106 | 99.00% |
| PX137583 | RPS8 | 198 | ribosomal protein S8 [Bombyx mori] | NP_001037263.1 | 3 × 10−112 | 91.91% |
| PX137576 | RPS15 | 147 | ribosomal protein S15 [Hyphantria cunea] | WBO26470.1 | 2 × 10−81 | 99.32% |
| PX137577 | RPS18 | 82 | ribosomal protein S18 [Bombyx mori] | NP_001037269.1 | 2 × 10−36 | 100.00% |
| PX137584 | HSP60 | 572 | heat shock protein 60A [Achroia grisella] | XP_059057858.1 | 0 | 96.05% |
| Gene Name | Primer Name | Primer Sequence (5′→3′) | Amplification SIZE (bp) | E (%) | R2 | Linear Regression Equation |
|---|---|---|---|---|---|---|
| AK | Forward Primer | CTTGGTACTACAGTCCGTGCG | 150 | 91.0 | 0.98 | Y = −3.5586X + 26 |
| Reverse Primer | GTCATAGACACCGCCTTCAGC | |||||
| EF1-α | Forward Primer | TGGAGCCCTCTACCAAAATG | 127 | 90.2 | 0.98 | Y = −3.5817X + 22.77 |
| Reverse Primer | TTGTCTGTGGGACGAGCAG | |||||
| GAPDH | Forward Primer | AACATAATCCCCGCCTCCAC | 131 | 90.7 | 0.99 | Y = −3.5663X + 24.97 |
| Reverse Primer | CGGACTGTGAGATCGACGAC | |||||
| Troponin C | Forward Primer | CATTCCCACATCAAGCCTCC | 123 | 105.2 | 0.99 | Y = −3.2036X + 30.25 |
| Reverse Primer | TCATCGAAATCCACGGTTCC | |||||
| α-Tub | Forward Primer | CAGGCTTATTGGACAGATCGTG | 121 | 99.6 | 0.98 | Y = −3.3326X + 29.72 |
| Reverse Primer | GGGGAAATGTATGCGAGGAT | |||||
| Cyclin A | Forward Primer | GGCACAGCCGCTACTTACA | 141 | 94.6 | 0.97 | Y = −3.4576X + 29.34 |
| Reverse Primer | GGACAGCACCTTCAGAATCAA | |||||
| RPL7 | Forward Primer | CCTCCAGATCACCCTCAAGAG | 191 | 91.2 | 0.99 | Y = −3.5533X + 23.85 |
| Reverse Primer | GGATACGGATGACAAATGCG | |||||
| RPL15 | Forward Primer | GTGTTGGTCGTCGTTGTGG | 157 | 92.0 | 0.98 | Y = −3.5311X + 23.05 |
| Reverse Primer | TTGTGAACTGCGTTGACTATCC | |||||
| RPL17 | Forward Primer | AGACAGCAATGGCAATCAGG | 192 | 90.6 | 0.98 | Y = −3.5693X + 22.82 |
| Reverse Primer | GCAACTGGAGCAAGAACTCAG | |||||
| RPL19 | Forward Primer | AGGAAGAAGGCTGAGAAGGC | 107 | 91.2 | 0.99 | Y = −3.5534X + 22.62 |
| Reverse Primer | CGCGAATGTCTGCAACAG | |||||
| RPS8 | Forward Primer | TGGCATAAACGAAGGGCTAC | 187 | 94.0 | 0.98 | Y = −3.4751X + 22.96 |
| Reverse Primer | CAGATCCCCACGAGAAATTG | |||||
| RPS15 | Forward Primer | GCTTTAGTGAAGAAACTCCGTCG | 123 | 91.5 | 0.98 | Y = −3.5454X + 22.71 |
| Reverse Primer | ACCAACAATAGAGCCAACCATC | |||||
| RPS18 | Forward Primer | GTACAGCCAGCTAACCTCATCC | 127 | 93.8 | 0.99 | Y = −3.4804X + 23.41 |
| Reverse Primer | AGTATGTTGACCACGAACTCGG |
| AK | EF1-α | GAPDH | Troponin C | α-Tub | Cyclin A | RPL7 | RPL15 | RPL17 | RPL19 | RPS8 | RPS15 | RPS18 | ||
|---|---|---|---|---|---|---|---|---|---|---|---|---|---|---|
| Tissure | SD | 3.79 | 0.86 | 2.43 | 2.13 | 1.71 | 2.53 | 1.54 | 1.42 | 1.7 | 0.91 | 1.17 | 0.89 | 1.52 |
| CV | 16.99 | 4.38 | 11.11 | 8.32 | 7.04 | 8.9 | 7.24 | 6.84 | 8.15 | 4.53 | 6.25 | 4.44 | 7.77 | |
| Development | SD | 0.97 | 1.56 | 1.51 | 1.37 | 0.86 | 2.85 | 1.38 | 1.82 | 1.61 | 1.37 | 1.11 | 1.54 | 1.43 |
| CV | 5.51 | 9.82 | 8.34 | 5.52 | 3.97 | 12.29 | 8.24 | 10.84 | 9.62 | 8.75 | 7.43 | 9.59 | 8.58 | |
| Sex | SD | 0.66 | 0.72 | 0.32 | 1.52 | 0.42 | 2.39 | 0.84 | 1.43 | 0.84 | 0.43 | 0.32 | 0.75 | 0.53 |
| CV | 3.22 | 3.98 | 1.57 | 5.65 | 1.81 | 9.16 | 4.41 | 7.59 | 4.43 | 2.38 | 1.93 | 4.14 | 2.81 | |
| Temperature | SD | 0.51 | 0.25 | 0.39 | 0.79 | 0.31 | 0.51 | 0.38 | 0.34 | 0.57 | 0.45 | 0.37 | 0.4 | 0.43 |
| CV | 3.1 | 1.88 | 2.52 | 3.31 | 1.41 | 2.34 | 2.5 | 2.28 | 3.86 | 3.01 | 2.66 | 2.84 | 2.8 | |
| Starvation | SD | 0.3 | 0.43 | 0.62 | 0.63 | 0.06 | 0.28 | 0.48 | 0.17 | 0.19 | 0.27 | 0.22 | 0.36 | 0.14 |
| CV | 1.86 | 3.04 | 3.81 | 2.9 | 0.27 | 1.35 | 3.24 | 1.16 | 1.37 | 1.98 | 1.58 | 2.66 | 1.02 | |
| Insecticide | SD | 0.57 | 0.38 | 0.41 | 0.8 | 0.45 | 0.5 | 0.3 | 0.47 | 0.24 | 0.27 | 0.3 | 0.44 | 0.3 |
| CV | 3.53 | 2.75 | 2.6 | 3.76 | 2.1 | 2.37 | 2.03 | 3.18 | 1.71 | 2 | 2.22 | 3.24 | 2.11 |
| Conditions | Gene | ΔCt | Rank | geNorm | Rank | Normfinder | Rank | BestKeeper | Rank | RefFinder |
|---|---|---|---|---|---|---|---|---|---|---|
| SD | M | M | SD | Rank | ||||||
| Tissue | AK | 4.235 | 13 | 1.587 | 13 | 1.869 | 13 | 3.79 | 13 | 13 |
| EF1-α | 0.984 | 1 | 0.460 | 3 | 0.784 | 9 | 0.86 | 1 | 5 | |
| GAPDH | 2.806 | 11 | 1.096 | 10 | 0.682 | 5 | 2.43 | 11 | 9 | |
| Troponin C | 2.641 | 10 | 0.963 | 9 | 0.746 | 6 | 2.13 | 10 | 10 | |
| α-Tub | 2.305 | 9 | 1.362 | 12 | 1.168 | 12 | 1.71 | 9 | 11 | |
| Cyclin A | 2.997 | 12 | 1.236 | 11 | 0.963 | 11 | 2.53 | 12 | 12 | |
| RPL7 | 2.032 | 7 | 0.860 | 8 | 0.788 | 10 | 1.54 | 7 | 8 | |
| RPL15 | 1.830 | 6 | 0.723 | 6 | 0.334 | 2 | 1.42 | 5 | 4 | |
| RPL17 | 2.187 | 8 | 0.808 | 7 | 0.414 | 3 | 1.7 | 8 | 7 | |
| RPL19 | 1.124 | 2 | 0.366 | 1 | 0.771 | 7 | 0.91 | 3 | 3 | |
| RPS8 | 1.333 | 4 | 0.510 | 4 | 0.471 | 4 | 1.17 | 4 | 6 | |
| RPS15 | 1.147 | 3 | 0.366 | 1 | 0.781 | 8 | 0.89 | 2 | 2 | |
| RPS18 | 1.822 | 5 | 0.671 | 5 | 0.204 | 1 | 1.52 | 6 | 1 | |
| Development | AK | 1.230 | 2 | 0.853 | 10 | 0.638 | 10 | 0.97 | 2 | 10 |
| EF1-α | 1.960 | 10 | 0.570 | 4 | 0.387 | 6 | 1.56 | 10 | 5 | |
| GAPDH | 1.902 | 9 | 0.621 | 5 | 0.378 | 5 | 1.51 | 8 | 4 | |
| Troponin C | 1.764 | 5 | 1.070 | 12 | 1.337 | 12 | 1.37 | 4 | 11 | |
| α-Tub | 1.096 | 1 | 0.912 | 11 | 0.730 | 11 | 0.86 | 1 | 6 | |
| Cyclin A | 3.654 | 13 | 1.299 | 13 | 1.721 | 13 | 2.85 | 13 | 13 | |
| RPL7 | 1.766 | 6 | 0.643 | 6 | 0.417 | 7 | 1.38 | 6 | 8 | |
| RPL15 | 2.249 | 12 | 0.781 | 9 | 0.492 | 9 | 1.82 | 12 | 12 | |
| RPL17 | 1.997 | 11 | 0.353 | 1 | 0.237 | 3 | 1.61 | 11 | 3 | |
| RPL19 | 1.726 | 4 | 0.492 | 3 | 0.124 | 1 | 1.37 | 4 | 1 | |
| RPS8 | 1.343 | 3 | 0.689 | 7 | 0.441 | 8 | 1.11 | 3 | 7 | |
| RPS15 | 1.858 | 8 | 0.353 | 1 | 0.202 | 2 | 1.54 | 9 | 2 | |
| RPS18 | 1.781 | 7 | 0.735 | 8 | 0.366 | 4 | 1.43 | 7 | 9 | |
| Sex | AK | 0.867 | 7 | 0.848 | 10 | 0.830 | 10 | 0.66 | 6 | 10 |
| EF1-α | 0.807 | 6 | 0.547 | 5 | 0.258 | 3 | 0.72 | 7 | 7 | |
| GAPDH | 0.402 | 1 | 0.757 | 9 | 0.488 | 9 | 0.32 | 1 | 8 | |
| Troponin C | 1.666 | 11 | 1.155 | 12 | 1.599 | 12 | 1.52 | 12 | 12 | |
| α-Tub | 0.524 | 3 | 0.670 | 7 | 0.332 | 5 | 0.42 | 3 | 6 | |
| Cyclin A | 2.678 | 13 | 1.362 | 13 | 1.684 | 13 | 2.39 | 13 | 13 | |
| RPL7 | 1.102 | 9 | 0.374 | 3 | 0.389 | 8 | 0.84 | 9 | 9 | |
| RPL15 | 1.705 | 12 | 0.947 | 11 | 0.898 | 11 | 1.43 | 11 | 11 | |
| RPL17 | 1.138 | 10 | 0.310 | 1 | 0.365 | 6 | 0.84 | 9 | 4 | |
| RPL19 | 0.653 | 4 | 0.614 | 6 | 0.210 | 2 | 0.43 | 4 | 3 | |
| RPS8 | 0.430 | 2 | 0.705 | 8 | 0.388 | 7 | 0.32 | 1 | 5 | |
| RPS15 | 1.055 | 8 | 0.310 | 1 | 0.309 | 4 | 0.75 | 8 | 2 | |
| RPS18 | 0.670 | 5 | 0.486 | 4 | 0.176 | 1 | 0.53 | 5 | 1 | |
| Temperature | AK | 0.672 | 11 | 0.502 | 8 | 0.341 | 9 | 0.51 | 10 | 10 |
| EF1-α | 0.297 | 1 | 0.466 | 6 | 0.189 | 2 | 0.25 | 1 | 2 | |
| GAPDH | 0.483 | 6 | 0.525 | 9 | 0.344 | 10 | 0.39 | 6 | 9 | |
| Troponin C | 0.984 | 13 | 0.668 | 13 | 0.670 | 13 | 0.79 | 13 | 13 | |
| α-Tub | 0.402 | 2 | 0.553 | 11 | 0.318 | 8 | 0.31 | 2 | 7 | |
| Cyclin A | 0.659 | 10 | 0.597 | 12 | 0.497 | 12 | 0.51 | 10 | 12 | |
| RPL7 | 0.462 | 4 | 0.479 | 7 | 0.241 | 5 | 0.38 | 5 | 6 | |
| RPL15 | 0.417 | 3 | 0.402 | 3 | 0.230 | 3 | 0.34 | 3 | 4 | |
| RPL17 | 0.674 | 12 | 0.425 | 4 | 0.278 | 7 | 0.57 | 12 | 8 | |
| RPL19 | 0.553 | 8 | 0.347 | 1 | 0.256 | 6 | 0.45 | 9 | 5 | |
| RPS8 | 0.475 | 5 | 0.448 | 5 | 0.175 | 1 | 0.37 | 4 | 1 | |
| RPS15 | 0.504 | 7 | 0.539 | 10 | 0.377 | 11 | 0.4 | 7 | 11 | |
| RPS18 | 0.577 | 9 | 0.347 | 1 | 0.231 | 4 | 0.43 | 8 | 3 | |
| Starvation | AK | 0.443 | 8 | 0.216 | 7 | 0.034 | 1 | 0.3 | 8 | 3 |
| EF1-α | 0.572 | 10 | 0.251 | 9 | 0.140 | 6 | 0.43 | 10 | 9 | |
| GAPDH | 0.901 | 13 | 0.355 | 12 | 0.400 | 12 | 0.62 | 12 | 13 | |
| Troponin C | 0.837 | 12 | 0.318 | 11 | 0.347 | 11 | 0.63 | 13 | 12 | |
| α-Tub | 0.088 | 1 | 0.162 | 5 | 0.201 | 9 | 0.06 | 1 | 5 | |
| Cyclin A | 0.383 | 7 | 0.424 | 13 | 0.550 | 13 | 0.28 | 7 | 11 | |
| RPL7 | 0.663 | 11 | 0.275 | 10 | 0.210 | 10 | 0.48 | 11 | 10 | |
| RPL15 | 0.225 | 3 | 0.095 | 1 | 0.080 | 4 | 0.17 | 3 | 2 | |
| RPL17 | 0.285 | 5 | 0.121 | 3 | 0.048 | 2 | 0.19 | 4 | 1 | |
| RPL19 | 0.349 | 6 | 0.197 | 6 | 0.162 | 7 | 0.27 | 6 | 8 | |
| RPS8 | 0.282 | 4 | 0.095 | 1 | 0.080 | 5 | 0.22 | 5 | 4 | |
| RPS15 | 0.487 | 9 | 0.230 | 8 | 0.052 | 3 | 0.36 | 9 | 7 | |
| RPS18 | 0.206 | 2 | 0.148 | 4 | 0.184 | 8 | 0.14 | 2 | 6 | |
| Insecticide | AK | 0.643 | 12 | 0.471 | 9 | 0.300 | 9 | 0.57 | 12 | 10 |
| EF1-α | 0.552 | 8 | 0.447 | 8 | 0.384 | 10 | 0.38 | 6 | 8 | |
| GAPDH | 0.507 | 6 | 0.429 | 7 | 0.260 | 6 | 0.41 | 7 | 7 | |
| Troponin C | 0.970 | 13 | 0.584 | 12 | 0.563 | 12 | 0.8 | 13 | 12 | |
| α-Tub | 0.598 | 10 | 0.530 | 11 | 0.401 | 11 | 0.45 | 9 | 11 | |
| Cyclin A | 0.611 | 11 | 0.639 | 13 | 0.590 | 13 | 0.5 | 11 | 13 | |
| RPL7 | 0.415 | 5 | 0.270 | 1 | 0.280 | 7 | 0.3 | 3 | 5 | |
| RPL15 | 0.556 | 9 | 0.494 | 10 | 0.284 | 8 | 0.47 | 10 | 9 | |
| RPL17 | 0.305 | 1 | 0.317 | 3 | 0.201 | 3 | 0.24 | 1 | 2 | |
| RPL19 | 0.371 | 2 | 0.371 | 4 | 0.066 | 1 | 0.27 | 2 | 1 | |
| RPS8 | 0.401 | 3 | 0.270 | 1 | 0.234 | 5 | 0.3 | 3 | 3 | |
| RPS15 | 0.508 | 7 | 0.409 | 6 | 0.216 | 4 | 0.44 | 8 | 6 | |
| RPS18 | 0.414 | 4 | 0.387 | 5 | 0.119 | 2 | 0.3 | 3 | 4 |
| Conditions | Reference Gene | Conditions | Reference Gene |
|---|---|---|---|
| Tissure | RPS18, RPS15, RPL19 | Temperature | RPS8, EF1-α |
| Development | RPL19, RPS15, RPL17 | Starvation | RPL17, RPL15 |
| Sex | RPS18, RPS15 | Insecticide | RPL19, RPL17 |
Disclaimer/Publisher’s Note: The statements, opinions and data contained in all publications are solely those of the individual author(s) and contributor(s) and not of MDPI and/or the editor(s). MDPI and/or the editor(s) disclaim responsibility for any injury to people or property resulting from any ideas, methods, instructions or products referred to in the content. |
© 2025 by the authors. Licensee MDPI, Basel, Switzerland. This article is an open access article distributed under the terms and conditions of the Creative Commons Attribution (CC BY) license (https://creativecommons.org/licenses/by/4.0/).
Share and Cite
Li, H.; Chang, F.; Cui, X.; Xi, B.; Li, G.; Liu, D.; Niu, K. Stability Evaluation of Reference Genes in Gynaephora qinghaiensis (Lepidoptera: Lymantriidae) for qRT-PCR Normalization. Insects 2025, 16, 1019. https://doi.org/10.3390/insects16101019
Li H, Chang F, Cui X, Xi B, Li G, Liu D, Niu K. Stability Evaluation of Reference Genes in Gynaephora qinghaiensis (Lepidoptera: Lymantriidae) for qRT-PCR Normalization. Insects. 2025; 16(10):1019. https://doi.org/10.3390/insects16101019
Chicago/Turabian StyleLi, Honggang, Fengmei Chang, Xiaoning Cui, Boxin Xi, Guangwei Li, Deguang Liu, and Kuiju Niu. 2025. "Stability Evaluation of Reference Genes in Gynaephora qinghaiensis (Lepidoptera: Lymantriidae) for qRT-PCR Normalization" Insects 16, no. 10: 1019. https://doi.org/10.3390/insects16101019
APA StyleLi, H., Chang, F., Cui, X., Xi, B., Li, G., Liu, D., & Niu, K. (2025). Stability Evaluation of Reference Genes in Gynaephora qinghaiensis (Lepidoptera: Lymantriidae) for qRT-PCR Normalization. Insects, 16(10), 1019. https://doi.org/10.3390/insects16101019

