Horizontally Transferred Carotenoid Genes Associated with Light-Driven ATP Synthesis to Promote Cold Adaptation in Pea Aphid, Acyrthosiphon pisum
Abstract
Simple Summary
Abstract
1. Introduction
2. Materials and Methods
2.1. Aphid Rearing and Maintenance
2.2. ATP Content Determination
2.3. Demographic Effects of Temperature and Light Intensity
- Net reproductive rate (R0), calculated as R0 = Σlxmx.
- The intrinsic rate of increase (rₘ), determined by numerically solving the Euler–Lotka equation: Σe(−rₘx)lxmx = 1, using an iterative algorithm with a convergence threshold of 10−6.
- Generation time (T), computed as T = Σlxmxx/R0.
- Doubling time (DT), defined as DT = ln(2)/rₘ.
2.4. Data Analyses
3. Results
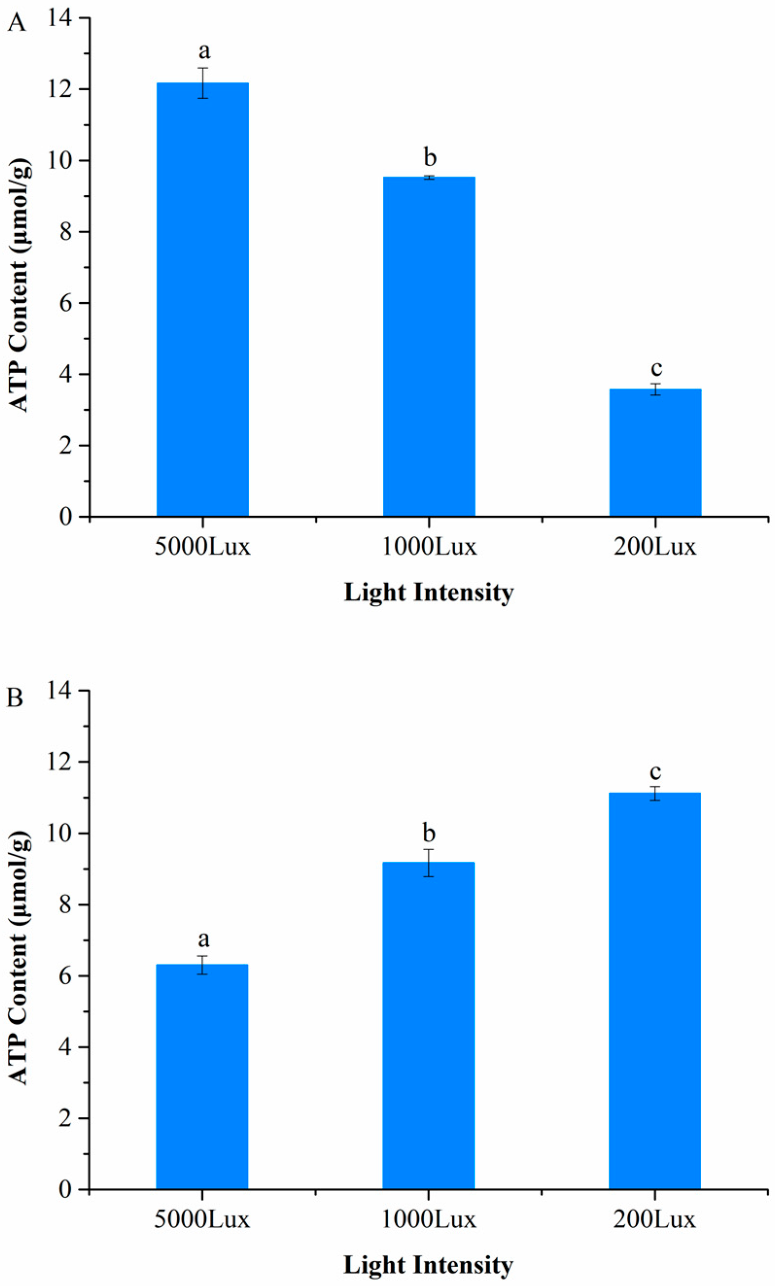
3.1. Light-Dependent ATP Synthesis Is Temperature-Sensitive
3.2. Light-Accelerated Life History Under Cold Stress
3.3. Light-Enhanced Fecundity Under Cold Stress
3.4. Light-Dependent Survival and Reproductive Strategies
3.5. Light-Optimized Population Growth Under Cold Stress
4. Discussion
4.1. Carotenoid-Associated ATP Synthesis and Light Dependency
4.2. Enhanced Reproductive Fitness Under Cold Stress
4.3. Ecological and Evolutionary Implications
5. Conclusions
Author Contributions
Funding
Data Availability Statement
Conflicts of Interest
References
- Oliveira Filho, J.G.; Bertolo, M.R.V.; Fernandes, S.S.; Lemes, A.C.; Silva, G.C.; Bogusz Junior, S.; Azeredo, H.M.C.; Mattoso, H.L.C.; Egea, M.B. Intelligent and active biodegradable biopolymeric films containing carotenoids. Food Chem. 2024, 434, 137454. [Google Scholar] [CrossRef] [PubMed]
- Ashokkumar, V.; Flora, G.; Sevanan, M.; Sripriya, R.; Chen, W.H.; Park, J.H.; Rajesh banu, J.; Kumar, G. Technological advances in the production of carotenoids and their applications—A critical review. Bioresour. Technol. 2023, 367, 128215. [Google Scholar] [CrossRef] [PubMed]
- Roy, S.; Dora, K.C.; Kumar, S.; Saklani, P.; Muthukumar, A.; Ozogul, F.; Harisankar, K.C.; Mutum, R.D.; Celine Hilda Mary, S.; Surasani, V.K.R.; et al. A critical review on technical advances and multifaceted role of carotenoids in human health with special emphasis on metabolic diseases. Phytochem. Rev. 2025. [Google Scholar] [CrossRef]
- Maoka, T.; Kawase, N.; Ueda, T.; Nishida, R. Carotenoids of dragonflies, from the perspective of comparative biochemical and chemical ecological studies. Biochem. Syst. Ecol. 2020, 89, 104001. [Google Scholar] [CrossRef]
- Moran, N.A.; Jarvik, T. Lateral transfer of genes from fungi underlies carotenoid production in aphids. Science 2010, 328, 624–627. [Google Scholar] [CrossRef] [PubMed]
- Misawa, N.; Maoka, T.; Ueda, T.; Takemura, M. Biosynthesis of Carotenoids in Insects: What We Currently Know? In Carotenoids; Campos Chisté, R., de Aguiar Andrade, E.H., de Oliveira, M.S., Eds.; Springer: New York, NY, USA, 2024. [Google Scholar]
- Valmalette, J.; Dombrovsky, A.; Brat, P.; Mertz, C.; Capovilla, M.; Robichon, A. Light-induced electron transfer and ATP synthesis in a carotene synthesizing insect. Sci. Rep. 2012, 2, 579. [Google Scholar] [CrossRef] [PubMed]
- Trissi, N.; Troczka, B.J.; Ozsanlav-Harris, L.; Singh, K.S.; Mallott, M.; Aishwarya, V.; O’Reilly, A.; Bass, C.; Wilding, C.S. Differential regulation of the tor gene homolog drives the red/green pigmentation phenotype in the aphid Myzus persicae. Insect Biochem. Mol Biol. 2023, 153, 103896. [Google Scholar] [CrossRef] [PubMed]
- Lougheed, K. Photosynthesis-like process found in insects. Nature 2012. [Google Scholar] [CrossRef]
- Bryon, A.; Kurlovs, A.H.; Dermauw, W.; Greenhalgh, R.; Riga, M.; Grbić, M.; Tirry, L.; Osakabe, M.; Vontas, J.; Clark, R.M.; et al. Disruption of a horizontally transferred phytoene desaturase abolishes carotenoid accumulation and diapause in Tetranychus urticae. Proc. Natl. Acad. Sci. USA 2017, 114, E5871–E5880. [Google Scholar] [CrossRef] [PubMed]
- Huo, S.M.; Zhang, Y.Y.; Song, Z.R.; Xiong, X.H.; Hong, X.Y. The potential pigmentation-related genes in spider mites revealed by comparative transcriptomes of the red form of Tetranychus urticae. Insect Mol. Biol. 2021, 30, 580–593. [Google Scholar] [CrossRef] [PubMed]
- Wybouw, N.; Pauchet, Y.; Heckel, D.G.; Van Leeuwen, T. Horizontal gene transfer contributes to the evolution of arthropod herbivory. Genome Biol. Evol. 2016, 8, 1785–1801. [Google Scholar] [CrossRef] [PubMed]
- Krebs, C.J. Ecological Methodology, 2nd ed.; Benjamin Cummings: Boston, MA, USA, 1999. [Google Scholar]
- Cobbs, C.; Heath, J.; Stireman, J.O.; Abbot, P. Carotenoids in unexpected places: Gall midges, lateral gene transfer, and carotenoid biosynthesis in animals. Mol. Phylogenet. Evol. 2013, 68, 221–228. [Google Scholar] [CrossRef] [PubMed]
- Altincicek, B.; Kovacs, J.L.; Gerardo, N.M. Horizontally transferred fungal carotenoid genes in the two-spotted spider mite Tetranychus urticae. Biol. Lett. 2012, 8, 253–257. [Google Scholar] [CrossRef] [PubMed]
- Wang, E.; Dong, C.; Zhang, P.; Roberts, T.H.; Park, R.F. Carotenoid biosynthesis and the evolution of carotenogenesis genes in rust fungi. Fungal Biol. 2021, 125, 400–411. [Google Scholar] [CrossRef] [PubMed]
- Yang, J.; Duan, Y.; Wang, Y.; Zhang, Y.; Liu, M.; Zhang, Z.; Zhou, X.; Ren, M. Molecular basis governing diapause and pigmentation in the hawthorn spider mite, Amphitetranychus viennensis. BMC Biol. 2025, 23, 152. [Google Scholar] [CrossRef] [PubMed]
- Maoka, T.; Kawase, N.; Hironaka, M.; Nishida, R. Carotenoids of hemipteran insects, from the perspective of chemo-systematic and chemical ecological studies. Biochem. Syst. Ecol. 2021, 95, 104241. [Google Scholar] [CrossRef]
- Ding, B.Y.; Niu, J.; Shang, F.; Yang, L.; Zhang, W.; Smagghe, G.; Wang, J.J. Parental silencing of a horizontally transferred carotenoid desaturase gene causes a reduction of red pigment and fitness in the pea aphid. Pest Manag. Sci. 2020, 76, 2423–2433. [Google Scholar] [CrossRef] [PubMed]
- Wang, X.; Chen, Z.; Feng, Z.; Zhu, J.; Zhang, Y.; Liu, T. Starvation stress causes body color change and pigment degradation in Acyrthosiphon pisum. Front. Physiol. 2019, 10, 197. [Google Scholar] [CrossRef] [PubMed]





| Temp. | Light Intensity | Net Reproductive Rate (R0) [95% CI] | Intrinsic Rate of Increase (rm, day−1) [95% CI] | Generation Time (T, Days) [95% CI] | Doubling Time (DT, Days) [95% CI] |
|---|---|---|---|---|---|
| 12 °C | 200 lux | 44.1 ± 3.2 [37.2, 51.0] a | 0.14 ± 0.01 [0.11, 0.17] a | 26.1 ± 1.2 [23.2, 29.0] a | 5.5 ± 0.3 [4.8, 6.2] a |
| 1000 lux | 63.7 ± 4.5 [53.8, 73.6] b | 0.18 ± 0.01 [0.15, 0.21] b | 21.3 ± 0.9 [19.2, 23.4] b | 4.1 ± 0.2 [3.6, 4.6] b | |
| 5000 lux | 82.3 ± 5.1 [70.2, 94.1] c | 0.21 ± 0.01 [0.18, 0.24] c | 18.2 ± 0.8 [16.3, 20.1] c | 3.3 ± 0.2 [2.9, 3.8] c | |
| Statistics | F2,6 = 19.23, p < 0.001 | F2,6 = 13.74, p = 0.002 | F2,6 = 7.16, p = 0.015 | F2,6 = 27.33, p < 0.001 | |
| 22 °C | 200 lux | 71.2 ± 5.1 [59.8, 82.6] | 0.19 ± 0.01 [0.16, 0.22] a | 16.1 ± 0.7 [14.5, 17.7] a | 3.7 ± 0.4 [2.8, 4.6] a |
| 1000 lux | 68.5 ± 4.2 [58.9, 78.1] a | 0.18 ± 0.01 [0.15, 0.21] a | 15.8 ± 0.6 [14.4, 17.2] a | 3.9 ± 0.3 [3.2, 4.6] a | |
| 5000 lux | 72.3 ± 6.0 [58.1, 86.5] a | 0.20 ± 0.01 [0.17, 0.23] a | 15.3 ± 0.5 [14.1, 16.5] a | 3.5 ± 0.2 [3.0, 4.0] a | |
| Statistics | F2,6 = 0.42, p = 0.67 | F2,6 = 0.87, p = 0.52 | F2,6 = 0.31, p = 0.74 | F2,6 = 0.25, p = 0.78 |
Disclaimer/Publisher’s Note: The statements, opinions and data contained in all publications are solely those of the individual author(s) and contributor(s) and not of MDPI and/or the editor(s). MDPI and/or the editor(s) disclaim responsibility for any injury to people or property resulting from any ideas, methods, instructions or products referred to in the content. |
© 2025 by the authors. Licensee MDPI, Basel, Switzerland. This article is an open access article distributed under the terms and conditions of the Creative Commons Attribution (CC BY) license (https://creativecommons.org/licenses/by/4.0/).
Share and Cite
Miao, J.; Li, H.; Duan, Y.; Gong, Z.; Tan, X.; Lu, R.; Bilal, M.; Wu, Y. Horizontally Transferred Carotenoid Genes Associated with Light-Driven ATP Synthesis to Promote Cold Adaptation in Pea Aphid, Acyrthosiphon pisum. Insects 2025, 16, 1013. https://doi.org/10.3390/insects16101013
Miao J, Li H, Duan Y, Gong Z, Tan X, Lu R, Bilal M, Wu Y. Horizontally Transferred Carotenoid Genes Associated with Light-Driven ATP Synthesis to Promote Cold Adaptation in Pea Aphid, Acyrthosiphon pisum. Insects. 2025; 16(10):1013. https://doi.org/10.3390/insects16101013
Chicago/Turabian StyleMiao, Jin, Huiling Li, Yun Duan, Zhongjun Gong, Xiaoling Tan, Ruijie Lu, Muhammad Bilal, and Yuqing Wu. 2025. "Horizontally Transferred Carotenoid Genes Associated with Light-Driven ATP Synthesis to Promote Cold Adaptation in Pea Aphid, Acyrthosiphon pisum" Insects 16, no. 10: 1013. https://doi.org/10.3390/insects16101013
APA StyleMiao, J., Li, H., Duan, Y., Gong, Z., Tan, X., Lu, R., Bilal, M., & Wu, Y. (2025). Horizontally Transferred Carotenoid Genes Associated with Light-Driven ATP Synthesis to Promote Cold Adaptation in Pea Aphid, Acyrthosiphon pisum. Insects, 16(10), 1013. https://doi.org/10.3390/insects16101013

