Functional and Numerical Responses of Harmonia axyridis (Coleoptera: Coccinellidae) to Rhopalosiphum nymphaeae (Hemiptera: Aphididae) and Their Potential for Biological Control
Abstract
Simple Summary
Abstract
1. Introduction
2. Material and Methods
2.1. Collection and Rearing of Ladybird and Aphid
2.2. Predation Ability of H. axyridis on R. nymphaeae Nymphs
2.3. Functional Response Assays
2.4. Effects of H. axyridis Density on Predatory Response under Constant Ladybird-to-Aphid Ratio
2.5. Effects of H. axyridis Density on Predatory Response under Constant Aphid Density
2.6. Statistical Analysis
3. Results
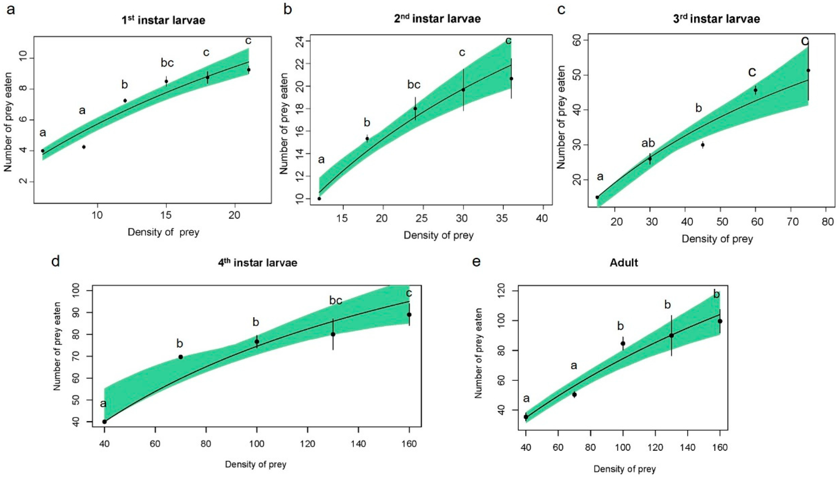
3.1. Functional Response
3.2. Predation Ability and Attack Rate of H. axyridis at Different Development Stages on R. nymphaeae Nymphs
3.3. Search Effects of H. axyridis on R. nymphaeae
3.4. Intraspecific Interference Influence on the Predation Ability of H. axyridis
3.5. Self-Interference Influences the Predation of H. axyridis
4. Discussion
Supplementary Materials
Author Contributions
Funding
Data Availability Statement
Conflicts of Interest
References
- Mishra, R.; Jha, B.; Jha, V.; Singh, S.; Mahato, A. Insect associations of Euryale ferox Salisb. in the ponds of Darbhanga, North Bihar. J. Freshw. Biol. 1992, 4, 199–208. [Google Scholar]
- Holman, J. Host Plant Catalog of Aphids Palaearctic Region; Springer: Berlin/Heidelberg, Germany, 2009. [Google Scholar]
- Mille, C.; Jourdan, H.; Cazères, S.; Maw, E.; Foottit, R. New data on the aphid (Hemiptera, Aphididae) fauna of New Caledonia: Some new biosecurity threats in a biodiversity hotspot. ZooKeys 2020, 943, 53–89. [Google Scholar] [CrossRef]
- Assour, H.R.; Ashman, T.L.; Turcotte, M.M. Neopolyploidy-induced changes in giant duckweed (Spirodela polyrhiza) alter herbivore preference and performance and plant population performance. Am. J. Bot. 2024, 111, e16301. [Google Scholar] [CrossRef] [PubMed]
- Kumar, D.M.; Kumar, P.; Ramya, N.; Chakraborty, A.; Dey, J. Plant Health Issues in Fox Nut/Makhana (Euryale ferox): An Agronomic Perspective. J. Plant Health Issues 2021, 2, 30–35. [Google Scholar]
- Wang, Y.; Xu, S. A high-quality genome assembly of the waterlily aphid Rhopalosiphum nymphaeae. Sci. Data 2024, 11, 194. [Google Scholar] [CrossRef] [PubMed]
- Seth, M.; Raychaudhuri, S. Further studies on a new mosaic disease of brinjal (Solanum melongena L.). Proc. Indian Natl. Sci. Acad. B 1973, 39, 122–128. [Google Scholar]
- Pettet, A.; Pettet, S.J. Biological Control of Pistia stratiotes L. in Western State, Nigeria. Nature 1970, 226, 282. [Google Scholar] [CrossRef]
- Center, T.D. Insects and Other Arthropods That Feed on Aquatic and Wetland Plants; U.S. Department of Agriculture: Washington, DC, USA, 2002.
- Shen, Y.; Zhang, Y.; Guo, H.; Zhu, S.; Xu, W. Insecticidal activity of three pesticides against Rhopalosiphum nymphaeae in lotus and their safety to crops. Plant Prot. 2016, 42, 8. [Google Scholar]
- Qu, C.; Mu, C.; Zhu, H.; Li, B.; Li, F.; Luo, C. Laboratory toxicity and control effect of seven insecticides to Rhopalosiphum nymphaeae. China Plant Prot. 2022, 42, 63–65. [Google Scholar]
- Sun, H.; Li, H.; Zhang, X.; Liu, Y.; Chen, H.; Zheng, L.; Zhai, Y.; Zheng, H. The honeybee gut resistome and its role in antibiotic resistance dissemination. Integr Zool. 2023, 18, 1014–1026. [Google Scholar] [CrossRef]
- Intisar, A.; Ramzan, A.; Sawaira, T.; Kareem, A.T.; Hussain, N.; Din, M.I.; Bilal, M.; Iqbal, H.M.N. Occurrence, toxic effects, and mitigation of pesticides as emerging environmental pollutants using robust nanomaterials—A review. Chemosphere 2022, 293, 133538. [Google Scholar] [CrossRef]
- Zhang, Y.; Xu, H.; Tu, C.; Han, R.; Luo, J.; Xu, L. Enhanced capacity of a leaf beetle to combat dual stress from entomopathogens and herbicides mediated by associated microbiota. Integr. Zool. 2024, 1–13. [Google Scholar] [CrossRef]
- Ma, M.; Luo, J.; Li, C.; Eleftherianos, I.; Zhang, W.; Xu, L. A life-and-death struggle: Interaction of insects with entomopathogenic fungi across various infection stages. Front. Immunol. 2023, 14, 1329843. [Google Scholar] [CrossRef]
- Gao, G.; Liu, S.; Feng, L.; Wang, Y.; Lu, Z. Effect of temperature on predation by Harmonia axyridis (Pall.) (Coleoptera: Coccinellidae) on the walnut aphids Chromaphis juglandicola Kalt. and Panaphis juglandis (Goeze). Egypt. J. Biol. Pest Control 2020, 30, 137. [Google Scholar] [CrossRef]
- Raak-van den Berg, C.L.; Hemerik, L.; van der Werf, W.; de Jong, P.W.; van Lenteren, J.C. Life history of the harlequin ladybird, Harmonia axyridis: A global meta-analysis. BioControl 2017, 62, 283–296. [Google Scholar] [CrossRef]
- Ingels, B. Intraguild interactions between the Harlequin Ladybird Harmonia axyridis and Non-Coccinellid Aphidophagous Predators. Ph.D. Thesis, Ghent University, Gent, Belgium, 2013. [Google Scholar]
- Islam, Y.; Shah, F.M.; Rubing, X.; Razaq, M.; Yabo, M.; Xihong, L.; Zhou, X. Functional response of Harmonia axyridis preying on Acyrthosiphon pisum nymphs: The effect of temperature. Sci. Rep. 2021, 11, 13565. [Google Scholar] [CrossRef]
- DeLong, J.P.; Uiterwaal, S.F. Predator functional responses and the biocontrol of aphids and mites. BioControl 2022, 67, 161–172. [Google Scholar] [CrossRef]
- Solomon, M.E. The natural control of animal populations. J. Anim. Ecol. 1949, 18, 1. [Google Scholar] [CrossRef]
- Holling, C.S. The components of predation as revealed by a study of small-mammal predation of the european pine sawfly. Can. Entomol. 1959, 91, 293–320. [Google Scholar] [CrossRef]
- Jeschke, J.M.; Kopp, M.; Tollrian, R. Consumer-food systems: Why type I functional responses are exclusive to filter feeders. Biol. Rev. Camb. Philos. Soc. 2004, 79, 337–349. [Google Scholar] [CrossRef]
- Holling, C.S. Some Characteristics of simple types of predation and parasitism. Can. Entomol. 1959, 91, 385–398. [Google Scholar] [CrossRef]
- Pervez, A.; Omkar. Functional responses of coccinellid predators: An illustration of a logistic approach. J. Insect Sci. 2005, 5, 5. [Google Scholar] [CrossRef]
- Park, T. Beetles, competition, and populations. Science 1962, 138, 1369–1375. [Google Scholar] [CrossRef]
- Skalski, G.T.; Gilliam, J.F. Functional responses with predator interference: Viable alternatives to the Holling type II model. Ecology 2001, 82, 3083–3092. [Google Scholar] [CrossRef]
- Kratina, P.; Vos, M.; Bateman, A.; Anholt, B.R. Functional responses modified by predator density. Oecologia 2009, 159, 425–433. [Google Scholar] [CrossRef] [PubMed]
- Pritchard, D.W.; Paterson, R.A.; Bovy, H.C.; Barrios-O’Neill, D. frair: An R package for fitting and comparing consumer functional responses. Methods Ecol. Evol. 2017, 8, 1528–1534. [Google Scholar] [CrossRef]
- Wu, K.; Shen, C.; Gong, P. Equation of predator functional response and estimation of the parameters in it. Kun Chong Zhi Shi 2004, 41, 267–269. [Google Scholar]
- Wang, S.; Xia, C. The new functional response model of type III Holling equation. Chin. J. Ecol. 1988, 7, 1–3+44. [Google Scholar]
- Okuyama, T. On selection of functional response models: Holling’s models and more. BioControl 2013, 58, 293–298. [Google Scholar] [CrossRef]
- Juliano, S. Nonlinear curve fitting: Predation and functional response curves. In Design and Analysis of Ecological Experiments; Chapman and Hall/CRC: London, UK, 2001; pp. 178–196. [Google Scholar]
- Ding, Y. Mathematical Ecology of Insects; Science Press: Beijing, China, 1994; pp. 303–304. [Google Scholar]
- Hassell, M.P. A Population model for the interaction between Cyzenis albicans (Fall.) (Tachinidae) and Operophtera brumata (L.) (Geometridae) at Wytham, Berkshire. J. Anim. Ecol. 1969, 38, 567–576. [Google Scholar] [CrossRef]
- Watt, K.E.F. A Mathematical model for the effect of densities of attacked and attacking species on the number attacked. Can. Entomol. 1959, 91, 129–144. [Google Scholar] [CrossRef]
- Real, L.A. The kinetics of functional response. Am. Nat. 1977, 111, 289–300. [Google Scholar] [CrossRef]
- Feng, Y.; Li, Y.D.; Liu, Z.G.; Yu, X.L.; Zhu, G.X.; Keller, M.; Liu, T.X. Behavioural patterns and functional responses of a generalist predator revealed using automated video tracking. Pest Manag. Sci. 2019, 75, 1517–1526. [Google Scholar] [CrossRef]
- Hassanpour, M.; Mohaghegh, J.; Iranipour, S.; Nouri-Ganbalani, G.; Enkegaard, A. Functional response of Chrysoperla carnea (Neuroptera: Chrysopidae) to Helicoverpa armigera (Lepidoptera: Noctuidae): Effect of prey and predator stages. Insect Sci. 2011, 18, 217–224. [Google Scholar] [CrossRef]
- Yu, X.-L.; Zhang, Y.-J.; Zuo, J.-F.; Luo, X.; Zhang, L.; Danzeng, Z.-M.; Wang, B.; Xia, P.-L.; Zhang, S.-Z.; Liu, T.-X.; et al. Rising temperatures affect the interspecific interference competition between Harmonia axyridis and Propylea japonica, and their predation rate on Myzus persicae. J. Pest Sci. 2023, 96, 695–709. [Google Scholar] [CrossRef]
- Abracos-Duarte, G.; Ramos, S.; Valente, F.; Borges da Silva, E.; Figueiredo, E. Functional response and predation rate of Dicyphus cerastii Wagner (Hemiptera: Miridae). Insects 2021, 12, 530. [Google Scholar] [CrossRef]
- Xue, Y.; Bahlai, C.A.; Frewin, A.; Sears, M.K.; Schaafsma, A.W.; Hallett, R.H. Predation by Coccinella septempunctata and Harmonia axyridis (Coleoptera: Coccinellidae) on Aphis glycines (Homoptera: Aphididae). Environ. Entomol. 2009, 38, 708–714. [Google Scholar] [CrossRef]
- Moura, R.; Garcia, P.c.; Cabral, S.; Soares, A.O. Does pirimicarb affect the voracity of the euriphagous predator, Coccinella undecimpunctata L. (Coleoptera: Coccinellidae)? Biol. Control 2006, 38, 363–368. [Google Scholar] [CrossRef]
- Islam, Y.; Shah, F.M.; Shah, M.A.; Musa Khan, M.; Rasheed, M.A.; Ur Rehman, S.; Ali, S.; Zhou, X. Temperature-dependent functional response of Harmonia axyridis (Coleoptera: Coccinellidae) on the Eggs of Spodoptera litura (Lepidoptera: Noctuidae) in Laboratory. Insects 2020, 11, 583. [Google Scholar] [CrossRef]
- Jia, J.; Fu, Y.; Zhang, F.; Liang, M.; Chen, J. Effects of temperature on predatory functional responses of Neoseiuius californicus to Eutetranychus orientalis. Chin. J. Biol. Control 2019, 35, 382–389. [Google Scholar] [CrossRef]
- Tripathi, J.P.; Jana, D.; Vyshnavi Devi, N.S.N.V.K.; Tiwari, V.; Abbas, S. Intraspecific competition of predator for prey with variable rates in protected areas. Nonlinear Dyn. 2020, 102, 511–535. [Google Scholar] [CrossRef]
- Islam, Y.; Shah, F.M.; Guncan, A.; DeLong, J.P.; Zhou, X. Functional response of Harmonia axyridis to the larvae of Spodoptera litura: The combined effect of temperatures and prey instars. Front. Plant Sci. 2022, 13, 849574. [Google Scholar] [CrossRef] [PubMed]
- Majumdar, P.; Debnath, S.; Sarkar, S.; Ghosh, U. The complex dynamical behavior of a prey-predator model with Holling type-III functional response and non-linear predator harvesting. Int. J. Model. Simul. 2021, 42, 287–304. [Google Scholar] [CrossRef]



| Ladybird Stage | Parameter | Mean ± SE (95% CI) | 1/Th | a/Th | χ2 |
|---|---|---|---|---|---|
| 1st instar larva | a | 0.7372 ± 0.0822 (0.553–0.866) | 24.69 | 18.20 | 0.3906 |
| Th | 0.0405 ± 0.0040 (0.016–0.055) | ||||
| 2nd instar larva | a | 1.0680 ± 0.2191 (0.595–1.998) | 53.34 | 57.11 | 0.2717 |
| Th | 0.0187 ± 0.0010 (0.0158–0.0225) | ||||
| 3rd instar larva | a | 1.1570 ± 0.1354 (0.782–1.810) | 103.58 | 119.28 | 1.4010 |
| Th | 0.0097 ± 0.0005 (0.0020–0.0157) | ||||
| 4th instar larva | a | 1.3878 ± 0.5010 (0.839–1.769) | 163.55 | 227.51 | 2.0017 |
| Th | 0.0061 ± 0.0006 (0.0024–0.0133) | ||||
| Adult | a | 0.9825 ± 0.0843 (0.6132–1.2182) | 298.11 | 288.97 | 2.2427 |
| Th | 0.0034 ± 0.0015 (0.0014–0.017) |
| Ladybird Stage | Type II | Type III |
|---|---|---|
| 1st instar larva | 73.00 | 73.67 |
| 2nd instar larva | 92.52 | 80.08 |
| 3rd instar larva | 668.78 | 857.56 |
| 4th instar larva | 674.30 | 946.79 |
| Adult | 2160.99 | 2213.39 |
| Ladybird Stage | Estimate | SE | Z-Value | p-Value |
|---|---|---|---|---|
| 1st instar larva | −0.78 | 2.39 × 10−4 | −0.33 | 0.74 |
| 2nd instar larva | −0.52 | 2.83 × 10−4 | 0.18 | 0.85 |
| 3rd instar larva | −1.12 | 2.09 × 10−4 | −0.54 | 0.59 |
| 4th instar larva | −0.99 | 2.89 × 10−4 | −0.34 | 0.73 |
| Adult | −0.11 | 0.39 × 10−3 | −0.28 | 0.78 |
| Ladybird Stage | Model Equation | q | m | R2 | χ2 |
|---|---|---|---|---|---|
| 1st larva | E = 0.2326P−0.504 | 0.2326 | 0.504 | 0.986 | 0.0012 |
| 2nd larva | E = 0.4565P−0.982 | 0.4565 | 0.982 | 0.963 | 0.0443 |
| 3rd larva | E = 0.3751P−0.643 | 0.3751 | 0.643 | 0.784 | 0.0310 |
| 4th larva | E = 0.7765P−0.959 | 0.7765 | 0.959 | 0.976 | 0.4429 |
| Adult | E = 0.5999P−0.838 | 0.5999 | 0.838 | 0.989 | 1.95 |
| Ladybird Stage | Number | I | Model Equation | R2 |
|---|---|---|---|---|
| 1st instar larva | 1 | 0.0000 | I = 0.7899logP+0.0287 | 0.974 |
| 2 | 0.3214 | |||
| 3 | 0.4127 | |||
| 4 | 0.4688 | |||
| 5 | 0.5829 | |||
| 2nd instar larva | 1 | 0.0000 | I = 1.1155logP+0.1249 | 0.850 |
| 2 | 0.6487 | |||
| 3 | 0.7271 | |||
| 4 | 0.7650 | |||
| 5 | 0.8030 | |||
| 3rd instar larva | 1 | 0.0000 | I = 0.9776logP−0.0897 | 0.877 |
| 2 | 0.0316 | |||
| 3 | 0.3958 | |||
| 4 | 0.5194 | |||
| 5 | 0.6375 | |||
| 4th instar larva | 1 | 0.0000 | I = 1.1082logP+0.1102 | 0.878 |
| 2 | 0.6062 | |||
| 3 | 0.7109 | |||
| 4 | 0.7406 | |||
| 5 | 0.7975 | |||
| Adult | 1 | 0.0133 | I = 1.7777logP−0.8417 | 0.9951 |
| 2 | −0.3167 | |||
| 3 | 0.0341 | |||
| 4 | 0.2067 | |||
| 5 | 0.4053 |
| Ladybird Stage | Functional Response Equation | Q | m | R2 | χ2 |
|---|---|---|---|---|---|
| 1st instar larva | A = 10.853P−0.494 | 10.853 | 0.494 | 0.963 | 0.1287 |
| 2nd instar larva | A = 58.547P−0.765 | 58.54 | 0.765 | 0.997 | 0.1143 |
| 3rd instar larva | A = 45.969P−0.631 | 45.969 | 0.631 | 0.968 | 0.7139 |
| 4th instar larva | A = 229.530P−0.920 | 229.530 | 0.920 | 0.983 | 5.3019 |
| Adult | A = 293.400P−0.897 | 293.400 | 0.897 | 0.992 | 1.7062 |
Disclaimer/Publisher’s Note: The statements, opinions and data contained in all publications are solely those of the individual author(s) and contributor(s) and not of MDPI and/or the editor(s). MDPI and/or the editor(s) disclaim responsibility for any injury to people or property resulting from any ideas, methods, instructions or products referred to in the content. |
© 2024 by the authors. Licensee MDPI, Basel, Switzerland. This article is an open access article distributed under the terms and conditions of the Creative Commons Attribution (CC BY) license (https://creativecommons.org/licenses/by/4.0/).
Share and Cite
Li, C.; Yu, J.; Mao, R.; Kang, K.; Xu, L.; Wu, M. Functional and Numerical Responses of Harmonia axyridis (Coleoptera: Coccinellidae) to Rhopalosiphum nymphaeae (Hemiptera: Aphididae) and Their Potential for Biological Control. Insects 2024, 15, 633. https://doi.org/10.3390/insects15090633
Li C, Yu J, Mao R, Kang K, Xu L, Wu M. Functional and Numerical Responses of Harmonia axyridis (Coleoptera: Coccinellidae) to Rhopalosiphum nymphaeae (Hemiptera: Aphididae) and Their Potential for Biological Control. Insects. 2024; 15(9):633. https://doi.org/10.3390/insects15090633
Chicago/Turabian StyleLi, Chong, Jingya Yu, Runping Mao, Kaili Kang, Letian Xu, and Mengting Wu. 2024. "Functional and Numerical Responses of Harmonia axyridis (Coleoptera: Coccinellidae) to Rhopalosiphum nymphaeae (Hemiptera: Aphididae) and Their Potential for Biological Control" Insects 15, no. 9: 633. https://doi.org/10.3390/insects15090633
APA StyleLi, C., Yu, J., Mao, R., Kang, K., Xu, L., & Wu, M. (2024). Functional and Numerical Responses of Harmonia axyridis (Coleoptera: Coccinellidae) to Rhopalosiphum nymphaeae (Hemiptera: Aphididae) and Their Potential for Biological Control. Insects, 15(9), 633. https://doi.org/10.3390/insects15090633

