Comparative Population Biology and Related Gene Expression in the Beta-Cypermethrin-Resistant Strains of Bactrocera dorsalis (Hendel)
Abstract
Simple Summary
Abstract
1. Introduction
2. Materials and Methods
2.1. Fly Strains
2.2. Bioassay and Selected Methods
2.3. Determination of Egg, Larval, and Pupal Developmental Duration, Hatching Rate, Pupal Rate, Emergence Rate, and Female-to-Male Ratio of Different Strains of the Oriental Fruit Fly
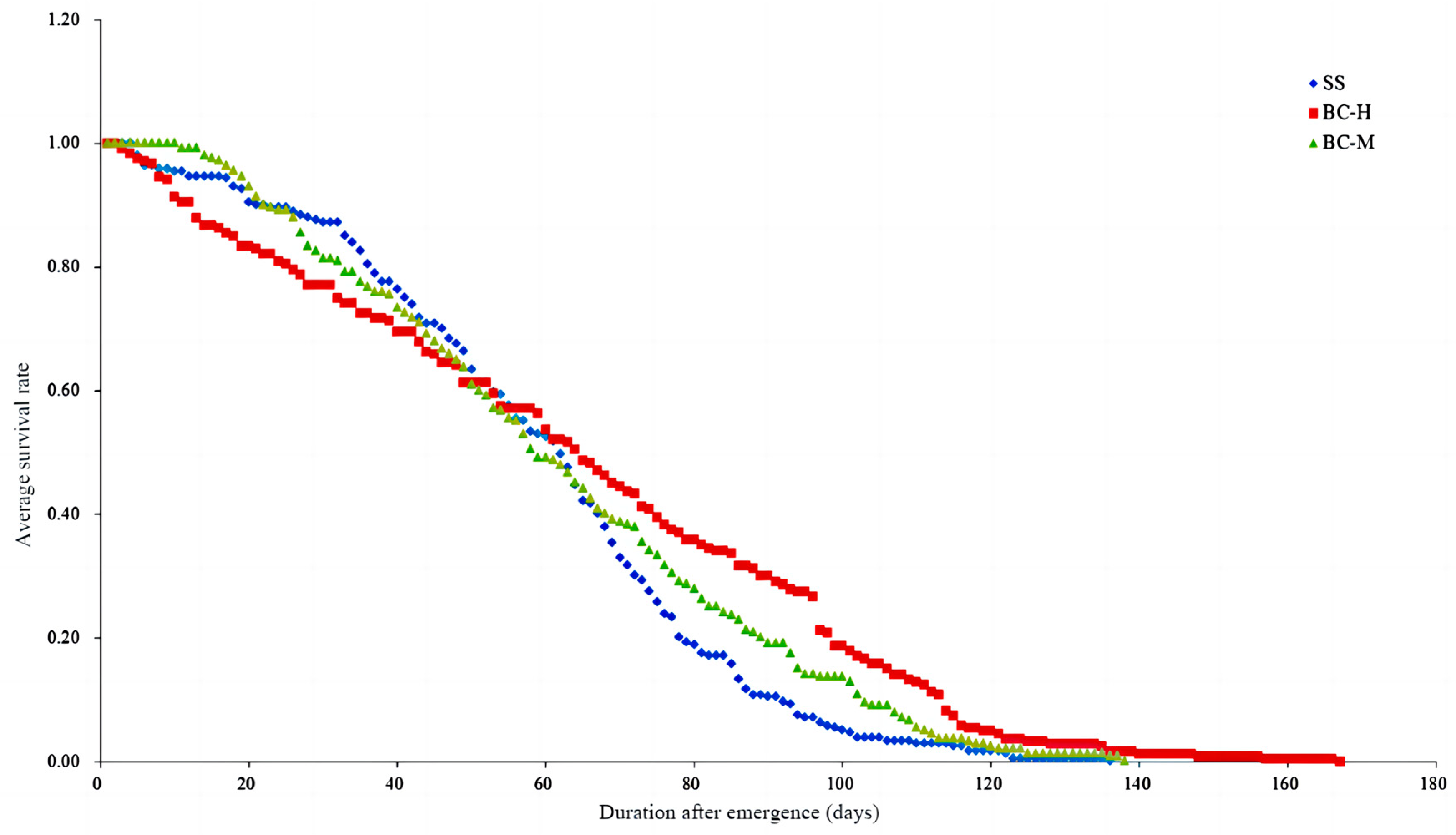
2.4. Determination of Survival Rate and Fecundity of Adults of Different Strains of the Oriental Fruit Fly
2.5. Annotation of Insecticide-Resistant SSH Library of the Oriental Fruit Fly
2.6. Extraction of RNA and Reverse Transcription of cDNA
2.7. Primer Design for Real-Time PCR
3. Data Analysis
4. Results
4.1. Comparison of the Developmental Duration and Survival of Eggs, Larvae, and Pupae between Beta-Cypermethrin-Resistant and Sensitive Strains of the Oriental Fruit Fly
4.2. Main Biological Parameters of Beta-Cypermethrin-Resistant and -Sensitive Strains of the Adult Oriental Fruit Fly
4.3. Life Tables of Experimental Populations to Beta-Cypermethrin-Resistant and -Sensitive Strains of the Oriental Fruit Fly and Their Fitness
4.4. Annotation Results of the SSH Library of the Beta-Cypermethrin-Resistant Strains of the Oriental Fruit Fly
4.4.1. Distribution of SSH Library Data
4.4.2. Distribution of Species in SSH Library Sequences
4.4.3. Proportion of SSH Libraries Involved in Biological Processes
4.4.4. Sequence Annotation Plot of the SSH Library for the Resistant Beta-Cypermethrin Strains
4.4.5. Candidate Gene
4.5. Relative Expression of Target Genes at Different Developmental Stages of Beta-Cypermethrin-Resistant Strains of the Oriental Fruit Fly and in Different Tissues of Adults
4.5.1. Quantitative Expression Results of the Target Gene across Each Insect Developmental States
4.5.2. Quantitative Expression Results of Target Genes in Different Tissues
5. Discussion
6. Conclusions
Author Contributions
Funding
Data Availability Statement
Acknowledgments
Conflicts of Interest
References
- Jiang, F.; Liang, L.; Wang, J.; Zhu, S. Chromosome-level genome assembly of Bactrocera dorsalis reveals its adaptation and invasion mechanisms. Commun. Biol. 2022, 5, 25. [Google Scholar]
- CABI. Centre Agriculture Bioscience International. Available online: https://www.cabi.org/ (accessed on 25 June 2015).
- Dias, N.P.; Zotti, M.J.; Montoya, P.; Carvalho, I.R.; Nava, D.E. Fruit fly management research: A systematic review of monitoring and control tactics in the world. Crop Prot. 2018, 112, 187–200. [Google Scholar] [CrossRef]
- Jaffar, S.; Rizvi, S.; Lu, Y. Understanding the invasion, ecological adaptations, and management strategies of Bactrocera dorsalis in China: A review. Horticulturae 2023, 9, 1004. [Google Scholar] [CrossRef]
- Xu, L.; Jiang, H.B.; Yu, J.L.; Lei, Q.; Pan, D.; Chen, Y.; Wang, J.J. An Odorant Receptor Expressed in Both Antennae and Ovipositors Regulates Benzothiazole-Induced Oviposition Behavior in Bactrocera dorsalis. J. Agric. Food Chem. 2024, 72, 6954–6963. [Google Scholar] [CrossRef]
- Agboka, K.M.; Tonnang, H.E.; Abdel-Rahman, E.M.; Kimathi, E.; Mutanga, O.; Odindi, J.; Ekesi, S. A systematic methodological approach to estimate the impacts of a classical Biol. Control agents dispersal at landscape: Application to fruit fly Bactrocera dorsalis and its endoparasitoid Fopius arisanus. Biol. Control 2022, 175, 105053. [Google Scholar] [CrossRef]
- Jiang, J.A.; Liu, Y.Y.; Liao, M.S.; Yang, E.C.; Chen, M.Y.; Chuang, Y.Y.; Wang, J.C. Complementary use of visual and olfactory cues to assess capture of Bactrocera dorsalis (Hendel): Implementation and field verification via an IoT-based automatic monitoring system. Proc. Jpn. Acad. Ser. B. 2024, 100, 68–85. [Google Scholar] [CrossRef]
- Lei, Q.; Xu, L.; Tang, K.Y.; Yu, J.L.; Chen, X.F.; Wu, S.X.; Jiang, H.B. An Antenna-Enriched Chemosensory Protein Plays Important Roles in the Perception of Host Plant Volatiles in Bactrocera dorsalis (Diptera: Tephritidae). J. Agric. Food Chem. 2024, 72, 2888–2897. [Google Scholar] [CrossRef]
- Zhang, Y.; Liu, S.; De Meyer, M.; Liao, Z.; Zhao, Y.; Virgilio, M.; Li, Z. Genomes of the cosmopolitan fruit pest Bactrocera dorsalis (Diptera: Tephritidae) reveal its global invasion history and thermal adaptation. J. Adv. Res. 2023, 53, 61–74. [Google Scholar] [CrossRef]
- Xia, Y.; Zhao, J.; Ding, J.; Xu, K.; Zhou, X.; Xiang, M.; Yang, Y. Geographical distribution of two major quarantine fruit flies (Bactrocera minax Enderlein and Bactrocera dorsalis Hendel) in Sichuan Basin based on four SDMs. PeerJ. 2024, 12, e16745. [Google Scholar] [CrossRef]
- Manu, Y.A.; Abduljalal, A.; Rabiu, M.B.; Lawal, R.D.; Saleh, J.; Safiyanu, M. Identification of putative promoter elements for epsilon glutathione s-transferases genes associated with resistance to DDT in the malaria vector mosquito anopheles arabiensis. Sci. Afr. 2024, 23, e02047. [Google Scholar] [CrossRef]
- Li, X.L.; Zhang, J.J.; Li, D.D.; Cai, X.Y.; Qi, Y.X.; Lu, Y.Y. Toxicity of Beauveria bassiana to Bactrocera dorsalis and effects on its natural predators. Front. Microbiol. 2024, 15, 1362089. [Google Scholar] [CrossRef]
- Sparks, T.C. Insecticide mixtures—Uses, benefits and considerations. Pest Manag. Sci. 2024. early view. [Google Scholar] [CrossRef] [PubMed]
- Wang, W.; Peng, G.; Sun, Y.; Chen, X. Increasing the tolerance of Trichoderma harzianum T-22 to DMI fungicides enables the combined utilization of biological and chemical control strategies against plant diseases. Biol. Control 2024, 192, 105479. [Google Scholar] [CrossRef]
- Mutamiswa, R.; Nyamukondiwa, C.; Chikowore, G.; Chidawanyika, F. Overview of oriental fruit fly, Bactrocera dorsalis (Hendel)(Diptera: Tephritidae) in Africa: From invasion, bio-ecology to sustainable management. Crop Prot. 2021, 141, 105492. [Google Scholar] [CrossRef]
- Lin, Y.Y.; Jin, T.; Zeng, L.; Lu, Y.Y. Insecticide Toxicity to Oriental Fruit Fly Bactrocera dorsalis (Diptera: Tephritidae) is Influenced by Environmental Factors. J. Econ. Entomol. 2013, 106, 353–359. [Google Scholar] [CrossRef]
- Li, Q.; Li, C.J.; Li, C.Y.; Men, X.Y.; Song, Y.Y.; Yu, Y.; Zhu, W.J.; Li, L.L. Laboratory screening of pesticides for Bactrocera dorsalis. Plant Quar. 2022, 36, 12–16. [Google Scholar] [CrossRef] [PubMed]
- He, F.M.; An, C.C.; Zhang, Y.K.; Li, Y.F.; Tan, H.H. Toxicity of insecticides to adults of Bactrocera dorsalis (Hendel) and insecticides resistance in field populations in Guangxi. Plant Prot. 2020, 46, 270–275. [Google Scholar]
- Gouesbet, G.; Renault, D.; Derocles, P.A.S.; Colinet, H. Strong resistance to β-cyfluthrin in a strain of the beetle Alphitobius diaperinus: A de novo transcriptome analysis. Insect Sci. 2024. early view. [Google Scholar] [CrossRef]
- Li, D.; Cai, X.; Qi, Y.; Lu., Y.; Li., X. Lethal, Sublethal, and Offspring Effects of Fluralaner and Dinotefuran on Three Species of Bactrocera Fruit Flies. Insects 2024, 15, 440. [Google Scholar] [CrossRef]
- Li, X.L.; Wu, J.; Cai, X.Y.; Li, D.D.; Cheng, D.F.; Lu, Y.Y. Lethal and sublethal effects of broflanilide on four tephritid pests (Diptera: Tephritidae). Pest Manag. Sci. 2023, 79, 2862–2868. [Google Scholar] [CrossRef]
- Jin, T.; Zeng, L.; Lin, Y.; Lu, Y.; Liang, G. Insecticide Resistance of Oriental Fruit Fly (Bactrocera dorsalis (Hendel)) (Diptera: Tephritidae) in Mainland China. Pest Manag. Sci. 2011, 67, 370–376. [Google Scholar] [CrossRef]
- LI, X.L.; Lu, Y.Y. Effects of biological and environmental factors on the emergence and development of pest resistance. Plant Prot. 2023, 1–12. [Google Scholar] [CrossRef]
- Li, X.L.; Qi, Y.X.; Lu, Y.Y. Advances for the metabolic detoxification genes in major Tephritidae species. J. Plant Prot. 2022, 49, 351–365. [Google Scholar]
- Lin, Y.; Jin, T.; Zeng, L.; Lu, Y. Cuticular penetration of β-cypermethrin in insecticide-susceptible and resistant strains of Bactrocera dorsalis. Pestic. Biochem. Physiol. 2012, 103, 189–193. [Google Scholar] [CrossRef]
- Cheng, D.; Guo, Z.; Riegler, M.; Xi, Z.; Liang, G.; Xu, Y. Gut symbiont enhances insecticide resistance in a significant pest, the oriental fruit fly Bactrocera dorsalis (Hendel). Microbiome 2017, 5, 13. [Google Scholar] [CrossRef]
- Jin, T.; Zeng, L.; Lu, Y.; Xu, Y.; Liang, G. Identification of resistance-responsive proteins in larvae of Bactrocera dorsalis (Hendel), for pyrethroid toxicity by a proteomic approach. Pestic. Biochem. Physiol. 2010, 96, 1–7. [Google Scholar] [CrossRef]
- Kasirajan, L.; Valiyaparambth, R.; Kamaraj, K.; Sebastiar, S.; Hoang, N.V.; Athiappan, S.; Subramanian, K. Deep sequencing of suppression subtractive library identifies differentially expressed transcripts of Saccharum spontaneum exposed to salinity stress. Physiol. Plant. 2022, 174, e13645. [Google Scholar] [CrossRef]
- Liu, Y.; Cao, G.; Xie, Y.; Chu, M. Screening of Puberty Related Differentially Expressed Genes from Ovary Tissues of Jining Grey Goat Based on Suppression Subtractive Hybridization. Pak. J. Zool. 2023, 55, 1637. [Google Scholar] [CrossRef]
- Chang, Z.T.; Ko, C.Y.; Yen, M.R.; Chen, Y.W.; Nai, Y.S. Screening of differentially expressed microsporidia genes from nosema ceranae infected honey bees by suppression subtractive hybridization. Insects 2020, 11, 199. [Google Scholar] [CrossRef]
- Yang, G.P.; Kuang, W.W.; Weigel, R.J.; Ross, D.T.; Brown, P.O. Combining ssh and cdna microarrays for rapid identification of differentially expressed genes. Nucleic Acids Res. 1999, 27, 1517. [Google Scholar] [CrossRef]
- Divya, D.; Singh, Y.T.; Nair, S.; Bentur, J.S. Analysis of SSH library of rice variety Aganni reveals candidate gall midge resistance genes. Funct. Integr. Genom. 2016, 16, 153–169. [Google Scholar] [CrossRef]
- Rawat, N.; Neeraja, C.N.; Nair, S.; Bentur, J.S. Differential gene expression in gall midge susceptible rice genotypes revealed by suppressive subtraction hybridization (ssh) cdna libraries and microarray analysis. Rice 2011, 5, 8. [Google Scholar] [CrossRef]
- Jiang, J.J. Construction and Application of Resistance-Related Gene Library in T. orange; Agricultural University of South China: Guangzhou, China, 2013. [Google Scholar]
- Marieke, V.; Jasper, A.; Jo, V.; Jan, V.P. CIRCprimerXL: Convenient and High-Throughput PCR Primer Design for Circular RNA Quantification. Front. Bioinform. 2022, 2, 834655. [Google Scholar]
- Chen, X.; Lei, Y.; Liang, C.; Lei, Q.; Wang, J.; Jiang, H. Odorant Binding Protein Expressed in Legs Enhances Malathion Tolerance in Bactrocera dorsalis (Hendel). J. Agric. Food Chem. 2024, 72, 4376–4383. [Google Scholar] [CrossRef]
- Pan, Z.P.; Zeng, L.; Lu, Y.Y. Monitoring of resistance of oriental fruit fly adults to insecticides in South China. J. South China Agric. Univ. 2005, 4, 23–26. [Google Scholar]
- Zhu, Y.F.; Qi, F.J.; Tan, X.M.; Zhang, T.; Teng, Z.W.; Fan, Y.J.; Wan, F.H.; Zhou, H.X. Use of age-stage, two-sex life table to compare the fitness of Bactrocera dorsalis (diptera: Tephritidae) on northern and southern host fruits in china. Insects 2020, 13, 258. [Google Scholar] [CrossRef]
- Samal, R.R.; Kumar, S. Cuticular thickening associated with insecticide resistance in dengue vector, Aedes aegypti L. Int. J. Trop. Insect Sci. 2021, 41, 809–820. [Google Scholar] [CrossRef]
- Meng, L.W.; Yuan, G.R.; Chen, M.L.; Zheng, L.S.; Dou, W.; Peng, Y.; Wang, J.J. Cuticular competing endogenous RNAs regulate insecticide penetration and resistance in a major agricultural pest. BMC Biol. 2023, 21, 187. [Google Scholar] [CrossRef]
- Hawkins, N.J.; Bass, C.; Dixon, A.; Neve, P. The evolutionary origins of pesticide resistance. Biol. Rev. 2019, 94, 135–155. [Google Scholar] [CrossRef]
- Willow, J.; Taning, C.N.T.; Cook, S.M.; Sulg, S.; Silva, A.I.; Smagghe, G.; Veromann, E. RNAi targets in agricultural pest insects: Advancements, knowledge gaps, and IPM. Front. Agron. 2021, 3, 794312. [Google Scholar] [CrossRef]
- Sattelle, D.B.; Matsuda, K. Editorial overview: Insect neuroreceptors and ion channels—Roles as targets in the control of insect vectors and pests. Curr. Opin. Insect Sci. 2018, 30, iii–v. [Google Scholar] [CrossRef]
- Du, J.; Fu, Y. Diamide insecticides targeting insect ryanodine receptors: Mechanism and application prospect. Biochem. Biophys. Res. Commun. 2023, 670, 19–26. [Google Scholar] [CrossRef]
- Hopkins, D.H.; Fraser, N.J.; Mabbitt, P.D.; Carr, P.D.; Oakeshott, J.G.; Jackson, C.J. Structure of an insecticide sequestering carboxylesterase from the disease vector Culex quinquefasciatus: What makes an enzyme a good insecticide sponge? Biochemistry 2017, 56, 5512–5525. [Google Scholar] [CrossRef]
- Qiao, X.F.; Zhang, X.H.; Peng, Q.; Chen, M.H. Progress on a new mechanism of CSP mediated pest resistance. J. Environ. Entomol. 2023, 45, 360–366. [Google Scholar]
- Zhao, M.; Lin, X.; Guo, X. The role of insect symbiotic bacteria in metabolizing phytochemicals and agrochemicals. Insects 2022, 13, 583. [Google Scholar] [CrossRef]
- Nansen, C.; Baissac, O.; Nansen, M.; Powis, K.; Baker, G. Behavioral avoidance-will physiological insecticide resistance level of insect strains affect their oviposition and movement responses? PLoS ONE 2016, 11, e0149994. [Google Scholar] [CrossRef]
- Wang, K.; Bai, J.; Zhao, J.; Su, S.; Liu, L.; Han, Z.; Chen, M. Super-kdr mutation M918L and multiple cytochrome P450s associated with the resistance of Rhopalosiphum padi to pyrethroid. Pest Manag. Sci. 2020, 76, 2809–2817. [Google Scholar] [CrossRef]
- Shen, G.M.; Dou, W.; Niu, J.Z.; Jiang, H.B.; Yang, W.J.; Jia, F.X.; Hu, F.; Cong, L.; Wang, J.J. Transcriptome analysis of the oriental fruit fly (Bactrocera dorsalis). PLoS ONE 2011, 6, e29127. [Google Scholar] [CrossRef]
- Jiang, S.D.; Wang, L.; Wang, L.; Sun, J.; Wang, J.J.; Wei, D.D. Mitochondrial coding genes mediate insecticide tolerance in the oriental fruit fly, Bactrocera dorsalis (Hendel). Pestic. Biochem. Physiol. 2024, 199, 105763. [Google Scholar] [CrossRef]
- Hu, F.; Dou, W.; Wang, J.J.; Jia, F.X.; Wang, J.J. Multiple glutathione-S-transferase genes: Identification and expression in oriental fruit fly, Bactrocera dorsalis. Pest Manag. Sci. 2014, 70, 295–303. [Google Scholar] [CrossRef]







| Gene | Primer Sequence (F/R) | Product Size (bp) | Amplification Efficiency (%) | Correlation Coefficient (R2) |
|---|---|---|---|---|
| α-tub | 5′-CGCATTCATGGTTGATAACG-3′ 5′-GGGCACCAAGTTAGTCTGGA-3′ | 184 | 103.6 | 0.998 |
| cyp6g1 | 5′-ATCGCCTTTTTCGTCCCCAA-3′ 5′-GCGTTGCTTTGCTCTCCTCT-3′ | 127 | 95.8 | 0.993 |
| cyp4p1 | 5′-CCTTTTTACCACATAATCACCGCT-3′ 5′-AGGCAGGAGTCAGCATTTTTC-3′ | 172 | 89.3 | 0.997 |
| cyp12A2 | 5′-GATTGGGCGAAAATACGGAC-3′ 5′-AGTCATCGGGCATCTCGTTT-3′ | 154 | 89.5 | 0.998 |
| cyp6a22 | 5′-CCGCTCACTGGCAATCTCTT-3′ 5′-TGTCGGGTGCGTTTTTAGTTT-3′ | 172 | 91.6 | 0.999 |
| GST-Epsilon 9 | 5′-AGCGAACAGCCACAAG-3′ 5′-ACGAGTGCTTCCAAACC-3′ | 270 | 120.6 | 0.971 |
| Bd-mGST | 5′-CGCCACCATTAGCAACATTT-3′ 5′-GCCCAGAAAAGAAAGCAACAGA-3′ | 115 | 103.8 | 0.999 |
| Cc-mGST | 5′-CCCGAGGATTTGATGGACAA-3′ 5′-CGTAGAGGAAGCCAATGATGA-3′ | 127 | 99.7 | 1.000 |
| MRP | 5′-CGGTATGGTGTCGTCGGTTAT-3′ 5′-AGGCGTTCGGTCAATCTCTC-3′ | 225 | 85.1 | 0.975 |
| PBP-Protein 6 | 5′-TTTGACCGCTTGGATTGCCT-3′ 5′-CACTTGGGTTCGCCACCTTT-3′ | 125 | 110.1 | 0.998 |
| STAT | 5′-ATCCACGACAACAAACGCTC-3′ 5′-GCACCACAACAACTATGGGT-3′ | 145 | 100.3 | 0.987 |
| Trypsin-4 | 5′-CTACAACCCACTCACCTCCG-3′ 5′-GGCACACCAGCACATAGCA-3′ | 276 | 91.5 | 1.000 |
| collagenase | 5′-GTCAGTGCCATTTTCGCCTT-3′ 5′-ATTGCGGGTTTCGGCTTCAC-3′ | 162 | 105.3 | 0.985 |
| Strains | Eggs | Larvae | Pupae | ||||||
|---|---|---|---|---|---|---|---|---|---|
| Developmental Duration (h) | Developmental Rate | Hatching Rate (%) | Developmental Duration (h) | Developmental Rate | Pupal Rate (%) | Developmental Duration (h) | Developmental Rate | Emergence Rate (%) | |
| SS | 45.83 ± 3.60 a | 0.0225 ± 0.0018 a | 88.33 ± 2.99 ab | 123.17 ± 1.01 a | 0.0081 ± 0.0001 a | 95.18 ± 1.47 b | 231.78 ± 3.99 a | 0.0043 ± 0.0001 a | 97.93 ± 1.01 b |
| BC-H | 53.17 ± 1.78 a | 0.0189 ± 0.0006 a | 93.67 ± 2.03 b | 124.50 ± 4.14 a | 0.0081 ± 0.0002 a | 96.66 ± 1.63 b | 241.67 ± 5.03 a | 0.0042 ± 0.0001 a | 95.76 ± 1.15 ab |
| BC-M | 45.00 ± 5.57 a | 0.0230 ± 0.0032 a | 82.67 ± 2.91 a | 122.67 ± 2.03 a | 0.0082 ± 0.0001 a | 84.79 ± 4.77 a | 234.50 ± 1.34 a | 0.0043 ± 0.0000 a | 89.27 ± 4.92 a |
| Strains | Pre-Oviposition Period (d) | Adult Longevity (d) | Fecundity (eggs/female−1) | Average Survival Time (d) | |
|---|---|---|---|---|---|
| Female | Male | ||||
| SS | 7.33 ± 0.33 b | 119.00 ± 2.00 a | 124.67 ± 6.12 a | 864.61 ± 21.86 a | 127.33 ± 4.33 a |
| BC-H | 7.00 ± 0.00 b | 150.33 ± 9.02 b | 144.00 ± 6.66 a | 848.11 ± 41.78 a | 150.33 ± 9.02 b |
| BC-M | 6.00 ± 0.00 a | 136.33 ± 1.67 ab | 123.67 ± 7.22 a | 791.14 ± 39.72 a | 136.33 ± 1.67 ab |
| Strains | Equation | Correlation Coefficient (r) |
|---|---|---|
| SS | 0.9985 | |
| BC-H | 0.9930 | |
| BC-M | 0.9990 |
| Developmental Stage | Impact Factor | Survival Rate | ||
|---|---|---|---|---|
| SS | BC-H | BC-M | ||
| Eg | Non-hatching | 0.8833 ± 0.0299 ab | 0.9367 ± 0.0203 b | 0.8267 ± 0.0291 a |
| La | Recessive death | 0.9518 ± 0.0147 b | 0.9666 ± 0.0163 b | 0.8479 ± 0.0477 a |
| Pu | Non-emergence | 0.9793 ± 0.0101 b | 0.9576 ± 0.0115 ab | 0.8927 ± 0.0492 a |
| Ad | Proportion of females | 0.4768 ± 0.0245 a | 0.4878 ± 0.0339 a | 0.5014 ± 0.0374 a |
| Probability of standard fecundity | 0.4323 ± 0.0109 a | 0.4241 ± 0.0209 a | 0.3956 ± 0.0199 a | |
| Standard fecundity | 2000 | 2000 | 2000 | |
| Population trend index (I) | 339.4117 | 358.7071 | 248.2108 | |
| Strains | Net Reproductive Rate (R0) | Intrinsic Rate of Increase (rm) | Finite Rate of Increase (λ) | Average Generation Duration (T) | Relative Fitness (Rf) |
|---|---|---|---|---|---|
| SS | 327.89 ± 3.07 a | 0.1966 ± 0.0051 a | 1.2173 ± 0.0062 a | 29.50 ± 0.75 b | 1.0000 |
| BC-H | 299.76 ± 13.50 a | 0.2010 ± 0.0082 a | 1.2228 ± 0.0101 a | 28.44 ± 1.00 ab | 0.9142 |
| BC-M | 322.61 ± 16.35 a | 0.2180 ± 0.0036 a | 1.2436 ± 0.0044 a | 26.50 ± 0.47 a | 0.9839 |
| Biological Process | Proportion of Annotated Sequences of Beta-Cypermethrin-Resistant Strains |
|---|---|
| Metabolic process | 33.5% |
| Cellular process | 12.7% |
| Single-organism process | 11.2% |
| Developmental process | 11.2% |
| Response to stimulus | 3.5% |
| Reproduction | 9.2% |
| Locomotion | 0.8% |
| Localization | 2.3% |
| Cellular component organization or biogenesis | 3.5% |
| Growth | 1.5% |
| Immune system process | 0.8% |
| Signaling | 2.7% |
| Multicellular organismal process | 3.1% |
| Biological regulation | 3.5% |
| Biological adhesion | 0.4% |
| Multi-organism process | 0.4% |
| Protein Family | Genetics | Conservative Area | Matched Species |
|---|---|---|---|
| Cytochrome P450 | cytochrome P450 6g1 | p450/cpyx | Ceratitis capitata |
| cytochrome P450 6a22 | p450/cpyx | Ceratitis capitata | |
| cytochrome P450 4p1 | p450/cpyx | Ceratitis capitata | |
| cytochrome P450 12A2 | p450/cpyx | Ceratitis capitata | |
| Glutathione S-transferase | epsilon class 9 | C-terminal, alpha helical domain of class delta and epsilon glutathione S-transferases | Bactrocera drosalis |
| microsomal glutathione S-transferase | MAPEG (membrane-associated proteins in eicosanoid and glutathione metabolism) family | Ceratitis capitata | |
| microsomal glutathione S-transferase | Bactrocera drosalis | ||
| Pheromone-binding protein related protein | protein 6 | PBP/GOBP family, insect pheromone/odorant binding protein domains | Ceratitis capitata |
| Trypsin-like serine protease | trypsin-4 | Trypsin-like serine protease | Ceratitis capitata |
| collagenase | Trypsin-like serine protease | Ceratitis capitata | |
| Multi-insecticide resistance protein | ATP-binding cassette domain | ATP-binding cassette domain | Ceratitis capitata |
| Signal transducer and transcription activator | signal transducer and transcription activator | STAT protein, DNA-binding domain/all-alpha domain | Ceratitis capitata |
Disclaimer/Publisher’s Note: The statements, opinions and data contained in all publications are solely those of the individual author(s) and contributor(s) and not of MDPI and/or the editor(s). MDPI and/or the editor(s) disclaim responsibility for any injury to people or property resulting from any ideas, methods, instructions or products referred to in the content. |
© 2024 by the authors. Licensee MDPI, Basel, Switzerland. This article is an open access article distributed under the terms and conditions of the Creative Commons Attribution (CC BY) license (https://creativecommons.org/licenses/by/4.0/).
Share and Cite
Li, D.; Chen, L.; Cai, X.; Qi, Y.; Lu, Y. Comparative Population Biology and Related Gene Expression in the Beta-Cypermethrin-Resistant Strains of Bactrocera dorsalis (Hendel). Insects 2024, 15, 569. https://doi.org/10.3390/insects15080569
Li D, Chen L, Cai X, Qi Y, Lu Y. Comparative Population Biology and Related Gene Expression in the Beta-Cypermethrin-Resistant Strains of Bactrocera dorsalis (Hendel). Insects. 2024; 15(8):569. https://doi.org/10.3390/insects15080569
Chicago/Turabian StyleLi, Doudou, Langjie Chen, Xinyan Cai, Yixiang Qi, and Yongyue Lu. 2024. "Comparative Population Biology and Related Gene Expression in the Beta-Cypermethrin-Resistant Strains of Bactrocera dorsalis (Hendel)" Insects 15, no. 8: 569. https://doi.org/10.3390/insects15080569
APA StyleLi, D., Chen, L., Cai, X., Qi, Y., & Lu, Y. (2024). Comparative Population Biology and Related Gene Expression in the Beta-Cypermethrin-Resistant Strains of Bactrocera dorsalis (Hendel). Insects, 15(8), 569. https://doi.org/10.3390/insects15080569

