Temperature Dependency of Insect’s Wingbeat Frequencies: An Empirical Approach to Temperature Correction
Abstract
Simple Summary
Abstract
1. Introduction
2. Materials and Methods
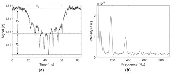
2.1. Entomological Bistatic Optical Sensor System (eBoss)
2.2. Data Analysis
3. Results
4. Discussion and Conclusions
Author Contributions
Funding
Data Availability Statement
Conflicts of Interest
References
- Wagner, D.L.; Grames, E.M.; Forister, M.L.; Berenbaum, M.R.; Stopak, D. Insect Decline in the Anthropocene: Death by a Thousand Cuts. Proc. Natl. Acad. Sci. USA 2021, 118, e2023989118. [Google Scholar] [CrossRef]
- Buchwald, A.G.; Hayden, M.H.; Dadzie, S.K.; Paull, S.H.; Carlton, E.J. Aedes-Borne Disease Outbreaks in West Africa: A Call for Enhanced Surveillance. Acta Trop. 2020, 209, 105468. [Google Scholar] [CrossRef]
- Genoud, A.P.; Saha, T.; Williams, G.M.; Thomas, B.P. Insect Biomass Density: Measurement of Seasonal and Daily Variations Using an Entomological Optical Sensor. Appl. Phys. B Lasers Opt. 2023, 129, 26. [Google Scholar] [CrossRef] [PubMed]
- Saha, T.; Genoud, A.P.; Williams, G.M.; Thomas, B.P. Monitoring the Abundance of Flying Insects and Atmospheric Conditions during a 9-Month Campaign Using an Entomological Optical Sensor. Sci. Rep. 2023, 13, 15606. [Google Scholar] [CrossRef]
- van Klink, R.; August, T.; Bas, Y.; Bodesheim, P.; Bonn, A.; Fossøy, F.; Høye, T.T.; Jongejans, E.; Menz, M.H.M.; Miraldo, A.; et al. Emerging Technologies Revolutionise Insect Ecology and Monitoring. Trends Ecol. Evol. 2022, 37, 872–885. [Google Scholar] [CrossRef]
- Genoud, A.P.; Williams, G.M.; Thomas, B.P. Continuous Monitoring of Aerial Density and Circadian Rhythms of Flying Insects in a Semi-Urban Environment. PLoS ONE 2021, 16, e0260167. [Google Scholar] [CrossRef] [PubMed]
- Genoud, A.P.; Torsiello, J.; Belson, M.; Thomas, B.P. Entomological Photonic Sensors: Estimating Insect Population Density, Its Uncertainty and Temporal Resolution from Transit Data. Ecol. Inform. 2021, 61, 101186. [Google Scholar] [CrossRef]
- Genoud, A.P.; Gao, Y.; Williams, G.M.; Thomas, B.P. A Comparison of Supervised Machine Learning Algorithms for Mosquito Identification from Backscattered Optical Signals. Ecol. Inform. 2020, 58, 101090. [Google Scholar] [CrossRef]
- Genoud, A.P.; Gao, Y.; Williams, G.M.; Thomas, B.P. Identification of Gravid Mosquitoes from Changes in Spectral and Polarimetric Backscatter Cross Sections. J. Biophotonics 2019, 12, e201900123. [Google Scholar] [CrossRef]
- Chatzaki, V.; Montoro, M.; El-Rashid, R.; Jensen, A.B.; Lecocq, A. A New Approach for Detecting Sublethal Effects of Neonicotinoids on Bumblebees Using Optical Sensor Technology. Insects 2023, 14, 713. [Google Scholar] [CrossRef]
- Batista, G.E.A.P.A.; Hao, Y.; Keogh, E.; Mafra-Neto, A. Towards Automatic Classification on Flying Insects Using Inexpensive Sensors. In Proceedings of the 2011 10th International Conference on Machine Learning and Applications and Workshops (ICMLA 2011), Honolulu, HI, USA, 18–21 December 2011; Volume 1, pp. 364–369. [Google Scholar]
- Naharki, K.; Huebner, C.D.; Park, Y.-L. The Detection of Tree of Heaven (Ailanthus altissima) Using Drones and Optical Sensors: Implications for the Management of Invasive Plants and Insects. Drones 2023, 8, 1. [Google Scholar] [CrossRef]
- Moore, A.; Miller, R.H. Automated Identification of Optically Sensed Aphid (Homoptera: Aphidae) Wingbeat Waveforms. Ann. Entomol. Soc. Am. 2002, 95, 6–8. [Google Scholar] [CrossRef]
- Brydegaard, M.; Svanberg, S. Photonic Monitoring of Atmospheric and Aquatic Fauna. Laser Photonics Rev. 2018, 12, 1800135. [Google Scholar] [CrossRef]
- Kirkeby, C.; Rydhmer, K.; Cook, S.M.; Strand, A.; Torrance, M.T.; Swain, J.L.; Prangsma, J.; Johnen, A.; Jensen, M.; Brydegaard, M.; et al. Advances in Automatic Identification of Flying Insects Using Optical Sensors and Machine Learning. Sci. Rep. 2021, 11, 555. [Google Scholar] [CrossRef]
- Vannoy, T.C.; Sweeney, N.B.; Shaw, J.A.; Whitaker, B.M. Comparison of Supervised Learning and Changepoint Detection for Insect Detection in Lidar Data. Remote Sens. 2023, 15, 5634. [Google Scholar] [CrossRef]
- Kirkeby, C.; Wellenreuther, M.; Brydegaard, M. Observations of Movement Dynamics of Flying Insects Using High Resolution Lidar. Sci. Rep. 2016, 6, 29083. [Google Scholar] [CrossRef] [PubMed]
- Fristrup, K.M.; Shaw, J.A.; Tauc, M.J. Development of a Wing-Beat-Modulation Scanning Lidar System for Insect Studies. In Lidar Remote Sensing for Environmental Monitoring 2017; SPIE: Bellingham, WA, USA, 2017; Volume 10406. [Google Scholar]
- Li, Y.; Wang, K.; Quintero-Torres, R.; Brick, R.; Sokolov, A.V.; Scully, M.O. Insect Flight Velocity Measurement with a CW Near-IR Scheimpflug Lidar System. Opt. Express 2020, 28, 21891. [Google Scholar] [CrossRef] [PubMed]
- Rigakis, I.; Potamitis, I.; Tatlas, N.A.; Livadaras, I.; Ntalampiras, S. A Multispectral Backscattered Light Recorder of Insects’ Wingbeats. Electronics 2019, 8, 277. [Google Scholar] [CrossRef]
- Zhu, S.; Malmqvist, E.; Li, W.; Jansson, S.; Li, Y.; Duan, Z.; Svanberg, K.; Feng, H.; Song, Z.; Zhao, G.; et al. Insect Abundance over Chinese Rice Fields in Relation to Environmental Parameters, Studied with a Polarization-Sensitive CW near-IR Lidar System. Appl. Phys. B Lasers Opt. 2017, 123, 211. [Google Scholar] [CrossRef]
- Hao, Z.; Drake, V.A.; Taylor, J.R.; Warrant, E. Insect Target Classes Discerned from Entomological Radar Data. Remote Sens. 2020, 12, 673. [Google Scholar] [CrossRef]
- Brydegaard, M.; Jansson, S. Advances in Entomological Laser Radar. J. Eng. 2019, 2019, 7542–7545. [Google Scholar] [CrossRef]
- Wang, R.; Hu, C.; Fu, X.; Long, T.; Zeng, T. Micro-Doppler Measurement of Insect Wing-Beat Frequencies with W-Band Coherent Radar. Sci. Rep. 2017, 7, 1396. [Google Scholar] [CrossRef] [PubMed]
- Zhang, T.; Liu, X.; Hu, C.; Wang, R.; Liu, C.; Li, W. Insect Wing-beat Frequency Automatic Extraction and Experimental Verification with a Ku-band Insect Radar System. J. Eng. 2019, 2019, 7973–7976. [Google Scholar] [CrossRef]
- Chapman, J.W.; Drake, V.A.; Reynolds, D.R. Recent Insights from Radar Studies of Insect Flight. Annu. Rev. Entomol. 2011, 56, 337–356. [Google Scholar] [CrossRef] [PubMed]
- Noskov, A.; Bendix, J.; Friess, N. A Review of Insect Monitoring Approaches with Special Reference to Radar Techniques. Sensors 2021, 21, 474. [Google Scholar] [CrossRef] [PubMed]
- Bauer, S.; Chapman, J.W.; Reynolds, D.R.; Alves, J.A.; Dokter, A.M.; Menz, M.M.H.; Sapir, N.; Ciach, M.; Pettersson, L.B.; Kelly, J.F.; et al. From Agricultural Benefits to Aviation Safety: Realizing the Potential of Continent-Wide Radar Networks. Bioscience 2017, 67, 912–918. [Google Scholar] [CrossRef] [PubMed]
- Osborne, J.L.; Clark, S.J.; Morris, R.J.; Williams, I.H.; Riley, J.R.; Smith, A.D.; Reynolds, D.R.; Edwards, A.S. A Landscape-Scale Study of Bumble Bee Foraging Range and Constancy, Using Harmonic Radar. J. Appl. Ecol. 1999, 36, 519–533. [Google Scholar] [CrossRef]
- Maggiora, R.; Saccani, M.; Milanesio, D.; Porporato, M. An Innovative Harmonic Radar to Track Flying Insects: The Case of Vespa Velutina. Sci. Rep. 2019, 9, 11964. [Google Scholar] [CrossRef] [PubMed]
- Lavrenko, A.; Barry, Z.; Norman, R.; Frazer, C.; Ma, Y.; Woodward, G.; Pawson, S. Autonomous Swarm of UAVs for Tracking of Flying Insects with Harmonic Radar. In Proceedings of the 2021 IEEE 93rd Vehicular Technology Conference (VTC2021-Spring), Helsinki, Finland, 25–28 April 2021; pp. 1–5. [Google Scholar]
- González-Pérez, M.I.; Faulhaber, B.; Williams, M.; Brosa, J.; Aranda, C.; Pujol, N.; Verdún, M.; Villalonga, P.; Encarnação, J.; Busquets, N.; et al. A Novel Optical Sensor System for the Automatic Classification of Mosquitoes by Genus and Sex with High Levels of Accuracy. Parasit. Vectors 2022, 15, 190. [Google Scholar] [CrossRef]
- Chen, Y.; Why, A.; Batista, G.; Mafra-Neto, A.; Keogh, E. Flying Insect Classification with Inexpensive Sensors. J. Insect Behav. 2014, 27, 657–677. [Google Scholar] [CrossRef]
- Li, Y.; Kiskin, I.; Sinka, M.; Zilli, D.; Chan, H.; Herreros-Moya, E.; Chareonviriyaphap, T.; Tisgratog, R.; Willis, K.; Roberts, S. Fast Mosquito Acoustic Detection with Field Cup Recordings: An Initial Investigation. In Proceedings of the Detection and Classification of Acoustic Scenes and Events 2018, Surrey, UK, 19–20 November 2018; pp. 153–157. [Google Scholar]
- Manoukis, N.C.; Collier, T.C. Computer Vision to Enhance Behavioral Research on Insects. Ann. Entomol. Soc. Am. 2019, 112, 227–235. [Google Scholar] [CrossRef]
- Lima, M.C.F.; de Almeida Leandro, M.E.D.; Valero, C.; Coronel, L.C.P.; Bazzo, C.O.G. Automatic Detection and Monitoring of Insect Pests—A Review. Agriculture 2020, 10, 161. [Google Scholar] [CrossRef]
- Preti, M.; Verheggen, F.; Angeli, S. Insect Pest Monitoring with Camera-Equipped Traps: Strengths and Limitations. J. Pest Sci. 2021, 94, 203–217. [Google Scholar] [CrossRef]
- Johnson, B.J.; Manby, R.; Devine, G.J. The Use of Automated Traps to Assess the Efficacy of Insecticide Barrier Treatments Against Abundant Mosquitoes in Remote Environments. J. Med. Entomol. 2022, 59, 384–389. [Google Scholar] [CrossRef] [PubMed]
- Santoso, G.; Hani, S.; Kabalmay, H.K.; Mubarok, I.A.; Susetyo, J. Insects Pest Trap Monitoring System Using Internet of Things Based Sensors. Eng. Technol. J. 2023, 8, 2342–2349. [Google Scholar] [CrossRef]
- Voloshin, V.; Kröner, C.; Seniya, C.; Murray, G.P.D.; Guy, A.; Towers, C.E.; McCall, P.J.; Towers, D.P. Diffuse Retro-Reflective Imaging for Improved Video Tracking of Mosquitoes at Human Baited Bednets. R. Soc. Open Sci. 2020, 7, 191951. [Google Scholar] [CrossRef]
- Rhodes, M.W.; Bennie, J.J.; Spalding, A.; Ffrench-Constant, R.H.; Maclean, I.M.D. Recent Advances in the Remote Sensing of Insects. Biol. Rev. 2022, 97, 343–360. [Google Scholar] [CrossRef]
- Wang, Y.; Zhao, C.; Dong, D.; Wang, K. Real-Time Monitoring of Insects Based on Laser Remote Sensing. Ecol. Indic. 2023, 151, 110302. [Google Scholar] [CrossRef]
- Mullen, E.R.; Rutschman, P.; Pegram, N.; Patt, J.M.; Adamczyk, J.J. Johanson Laser System for Identification, Tracking, and Control of Flying Insects. Opt. Express 2016, 24, 11828. [Google Scholar] [CrossRef]
- Keller, M.D.; Norton, B.J.; Farrar, D.J.; Rutschman, P.; Marvit, M.; Makagon, A. Optical Tracking and Laser-Induced Mortality of Insects during Flight. Sci. Rep. 2020, 10, 14795. [Google Scholar] [CrossRef]
- Gaetani, R.; Lacotte, V.; Dufour, V.; Clavel, A.; Duport, G.; Gaget, K.; Calevro, F.; Da Silva, P.; Heddi, A.; Vincent, D.; et al. Sustainable Laser-Based Technology for Insect Pest Control. Sci. Rep. 2021, 11, 11068. [Google Scholar] [CrossRef]
- Lacotte, V.; NGuyen, T.; Sempere, J.D.; Novales, V.; Dufour, V.; Moreau, R.; Pham, M.T.; Rabenorosoa, K.; Peignier, S.; Feugier, F.G.; et al. Pesticide-Free Robotic Control of Aphids as Crop Pests. AgriEngineering 2022, 4, 903–921. [Google Scholar] [CrossRef]
- Hu, P.-S.; Chou, C.-C.; Huang, C.-G.; Tu, W.-C.; Wang, H.-Y.; Chan, M.-C. Knocking down Free-Flight Adult Mosquitoes via Dynamic Tracking. OSA Contin. 2019, 2, 2028. [Google Scholar] [CrossRef]
- Rakhmatulin, I. Raspberry PI for Kill Mosquitoes by Laser. Preprints 2021, 2021010412. [Google Scholar] [CrossRef]
- Rakhmatulin, I.; Lihoreau, M.; Pueyo, J. Selective Neutralisation and Deterring of Cockroaches with Laser Automated by Machine Vision. Orient. Insects 2023, 57, 728–745. [Google Scholar] [CrossRef]
- Zaidem, A.; Silva, L.; Ferreira, A.; Carvalho, M.; Ragni, M.; Abegão, L.; Pinheiro, P. New Biocompatible Technique Based on the Use of a Laser to Control the Whitefly Bemisia Tabaci. Photonics 2023, 10, 636. [Google Scholar] [CrossRef]
- Patt, J.M.; Makagon, A.; Norton, B.; Marvit, M.; Rutschman, P.; Neligeorge, M.; Salesin, J. An Optical System to Detect, Surveil, and Kill Flying Insect Vectors of Human and Crop Pathogens. Sci. Rep. 2024, 14, 8174. [Google Scholar] [CrossRef] [PubMed]
- Genoud, A.P.; Basistyy, R.; Williams, G.M.; Thomas, B.P. Analysis of Predictor Variables for Mosquito Species Identification from Dual-Wavelength Polarization-Sensitive Lidar Measurements. In Lidar Remote Sensing for Environmental Monitoring XVI; SPIE: Bellingham, WA, USA, 2018; p. 24. [Google Scholar]
- Kittichai, V.; Pengsakul, T.; Chumchuen, K.; Samung, Y.; Sriwichai, P.; Phatthamolrat, N.; Tongloy, T.; Jaksukam, K.; Chuwongin, S.; Boonsang, S. Deep Learning Approaches for Challenging Species and Gender Identification of Mosquito Vectors. Sci. Rep. 2021, 11, 4838. [Google Scholar] [CrossRef] [PubMed]
- Rydhmer, K.; Bick, E.; Still, L.; Strand, A.; Luciano, R.; Helmreich, S.; Beck, B.D.; Grønne, C.; Malmros, L.; Poulsen, K.; et al. Automating Insect Monitoring Using Unsupervised Near-Infrared Sensors. Sci. Rep. 2022, 12, 2603. [Google Scholar] [CrossRef]
- Siddiqui, A.A.; Kayte, D.C. Convolution Neural Network-Based Mosquito Classification System. In Proceedings of the 3rd International Conference on ICT for Digital, Smart, and Sustainable Development, ICIDSSD 2022, New Delhi, India, 24–25 March 2022; Volume 449, p. 60. [Google Scholar]
- Taylor, L.R. Analysis of the Effect of Temperature on Insects in Flight. J. Anim. Ecol. 1963, 32, 99–117. [Google Scholar] [CrossRef]
- Spangler, H.G.; Buchmann, S.L. Effects of Temperature on Wingbeat Frequency in the Solitary Bee Centris Caesalpiniae (Anthophoridae: Hymenoptera). J. Kansas Entomol. Soc. 2014, 64, 107–109. [Google Scholar]
- Church, N.S. Heat Loss and the Body Temperatures of Flying Insects. J. Exp. Biol. 1960, 37, 186–212. [Google Scholar] [CrossRef]
- Yu, W.; Zhang, H.; Xu, R.; Sun, Y.; Wu, K. Characterization of Wingbeat Frequency of Different Taxa of Migratory Insects in Northeast Asia. Insects 2022, 13, 520. [Google Scholar] [CrossRef]
- Foster, J.A.; Robertson, M. Temperature Dependency of Wing-Beat Frequency in Intact and Deafferented Locustus. J. Exp. Biol. 2016, 162, 295–312. [Google Scholar] [CrossRef]
- Pinto, J.; Magni, P.A.; O’Brien, R.C.; Dadour, I.R. Chasing Flies: The Use of Wingbeat Frequency as a Communication Cue in Calyptrate Flies (Diptera: Calyptratae). Insects 2022, 13, 822. [Google Scholar] [CrossRef] [PubMed]
- Sotavalta, O. Flight-Tone and Wing-Stroke Frequency of Insects and the Dynamics of Insect Flight. Nature 1952, 170, 1057–1058. [Google Scholar] [CrossRef] [PubMed]
- Gilmour, K.M.; Ellington, C.P. Power Output of Glycerinated Bumblebee Flight Muscle. J. Exp. Biol. 1993, 183, 77–100. [Google Scholar] [CrossRef]
- Rowley, W.A.; Graham, C.L. The Effect of Temperature and Relative Humidity on the Flight Performance of Female Aedes Aegypti. J. Insect Physiol. 1968, 14, 1251–1257. [Google Scholar] [CrossRef]
- Mahmood, F.; Crans, W.J. Effect of Temperature on the Development of Culiseta Melanura (Diptera: Culicidae) and Its Impact on the Amplification of Eastern Equine Encephalomyelitis Virus in Birds. J. Med. Entomol. 1998, 35, 1007–1012. [Google Scholar] [CrossRef]
- Farnworth, E.G. Effects of Ambient Temperature, Humidity, and Age on Wing-Beat Frequency of Periplaneta Species. J. Insect Physiol. 1972, 18, 827–839. [Google Scholar] [CrossRef]
- Unwin, D.M.; Corbet, S.A. Wingbeat Frequency, Temperature and Body Size in Bees and Flies. Physiol. Entomol. 1984, 9, 115–121. [Google Scholar] [CrossRef]
- Oertli, J.J. Relationship of Wing Beat Frequency and Temperature During Take-Off Flight in Temperate-Zone Beetles. J. Exp. Biol. 1989, 145, 321–338. [Google Scholar] [CrossRef]
- Huang, J.; Zhang, G.; Wang, Y. Effects of Age, Ambient Temperature and Reproductive Status on Wing Beat Frequency of the Rice Leafroller Cnaphalocrocis Medinalis (Guenée) (Lepidoptera: Crambidae). Appl. Entomol. Zool. 2013, 48, 499–505. [Google Scholar] [CrossRef]
- Satopää, V.; Albrecht, J.; Irwin, D.; Raghavan, B. Finding a “Kneedle” in a Haystack: Detecting Knee Points in System Behavior. In Proceedings of the 2011 31st International Conference on Distributed Computing Systems Workshops, Minneapolis, MN, USA, 20–24 June 2011; pp. 166–171. [Google Scholar]
- Reinhold, J.M.; Lazzari, C.R.; Lahondère, C. Effects of the Environmental Temperature on Aedes Aegypti and Aedes Albopictus Mosquitoes: A Review. Insects 2018, 9, 158. [Google Scholar] [CrossRef] [PubMed]
- Villarreal, S.M.; Winokur, O.; Harrington, L. The Impact of Temperature and Body Size on Fundamental Flight Tone Variation in the Mosquito Vector Aedes Aegypti (Diptera: Culicidae): Implications for Acoustic Lures. J. Med. Entomol. 2017, 54, 1116–1121. [Google Scholar] [CrossRef]
- Sotavalta, O. The Flight Sounds of Insects; Elsevier: New York, NY, USA, 1963. [Google Scholar]
- Parmezan, A.R.S.; Souza, V.M.A.; Žliobaitė, I.; Batista, G.E.A.P.A. Changes in the Wing-Beat Frequency of Bees and Wasps Depending on Environmental Conditions: A Study with Optical Sensors. Apidologie 2021, 52, 731–748. [Google Scholar] [CrossRef]







| Cluster Number | Average Wingbeat Frequency (Hz) | Slope (Hz/°C) |
|---|---|---|
| 1 | 50.51 | 2.02 ± 0.09 |
| 2 | 100.42 | 3.66 ± 0.15 |
| 3 | 171.33 | 5.10 ± 0.21 |
| 4 | 290.71 | 7.69 ± 0.32 |
| 5 | 525.58 | 9.63 ± 0.40 |
| Wingbeat Freq. (Hz) | Slope from Model (Hz/°C) | Slope from Ref. (Hz/°C) | Species Studied in Ref. | Reference |
|---|---|---|---|---|
| 25 | 0.81 | 0.6 | Trigona jaty | Farnworth [66] |
| 96 | 2.9 | 0.17 | Popillia japonica | Ortelli [68] |
| 120 | 3.57 | 2.26 | Coleomegilla fuscilabris | Ortelli [68] |
| 200 | 5.47 | 5.4 | Drosophila | Unwin et al. [67] |
| 240 | 6.27 | 6.98 | Periplaneta americana | Farnworth [66] |
| 400 | 8.51 | 8.4 | Ae. aegypti | Reinhold et al. [71] |
| 400 | 8.51 | 8.5 | Ae. aegypti | Villareal et al. [72] |
Disclaimer/Publisher’s Note: The statements, opinions and data contained in all publications are solely those of the individual author(s) and contributor(s) and not of MDPI and/or the editor(s). MDPI and/or the editor(s) disclaim responsibility for any injury to people or property resulting from any ideas, methods, instructions or products referred to in the content. |
© 2024 by the authors. Licensee MDPI, Basel, Switzerland. This article is an open access article distributed under the terms and conditions of the Creative Commons Attribution (CC BY) license (https://creativecommons.org/licenses/by/4.0/).
Share and Cite
Saha, T.; Genoud, A.P.; Park, J.H.; Thomas, B.P. Temperature Dependency of Insect’s Wingbeat Frequencies: An Empirical Approach to Temperature Correction. Insects 2024, 15, 342. https://doi.org/10.3390/insects15050342
Saha T, Genoud AP, Park JH, Thomas BP. Temperature Dependency of Insect’s Wingbeat Frequencies: An Empirical Approach to Temperature Correction. Insects. 2024; 15(5):342. https://doi.org/10.3390/insects15050342
Chicago/Turabian StyleSaha, Topu, Adrien P. Genoud, Jung H. Park, and Benjamin P. Thomas. 2024. "Temperature Dependency of Insect’s Wingbeat Frequencies: An Empirical Approach to Temperature Correction" Insects 15, no. 5: 342. https://doi.org/10.3390/insects15050342
APA StyleSaha, T., Genoud, A. P., Park, J. H., & Thomas, B. P. (2024). Temperature Dependency of Insect’s Wingbeat Frequencies: An Empirical Approach to Temperature Correction. Insects, 15(5), 342. https://doi.org/10.3390/insects15050342

