Location and Creation of Nest Sites for Ground-Nesting Bees in Apple Orchards
Abstract
Simple Summary
Abstract
1. Introduction
2. Materials and Methods
2.1. Study Design
2.2. Nesting Habitat Treatment
2.3. Nest Density Assessments
2.4. Bee Identification
2.5. Soil and Vegetation
2.6. Statistics
3. Results
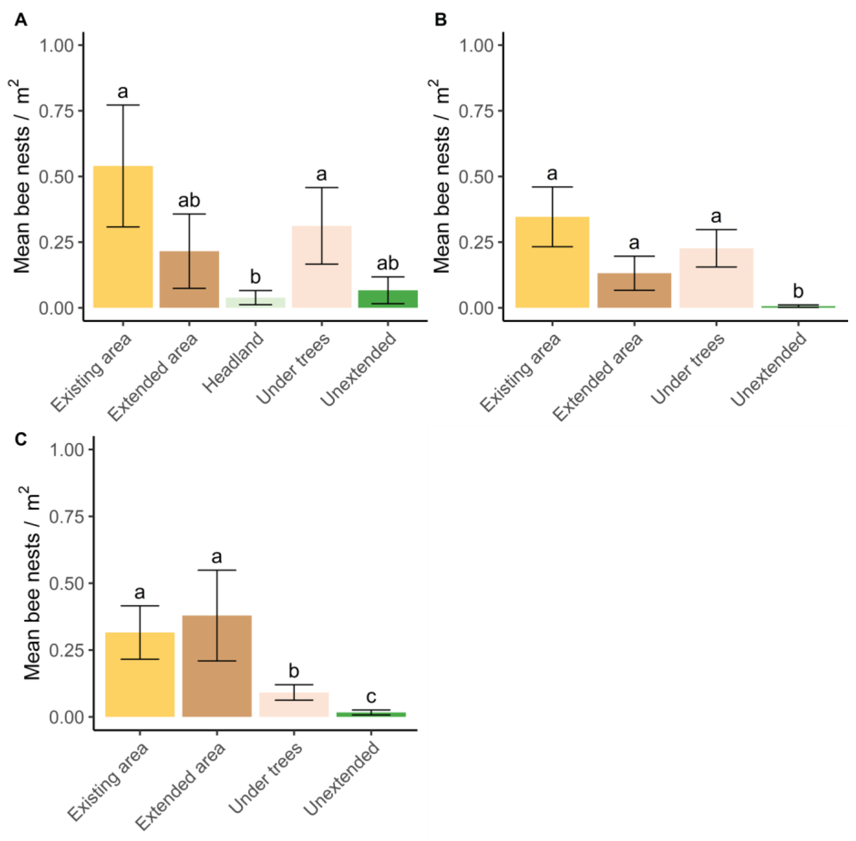
3.1. Where and When Do Ground-Nesting Bees Nest?
3.2. What Influences the Choice of Nest Site?
3.3. Which Bee Species Are Nesting in Apple Orchards?
3.4. How We Might Improve Habitat Management for Ground-Nesting Bees
4. Discussion
4.1. Where Do Ground-Nesting Bees Choose to Nest and What Influences the Species’ Choice of Nest Site?
4.2. How Might We Improve Habitat Management for Ground Nesting Bees?
5. Conclusions
Author Contributions
Funding
Data Availability Statement
Acknowledgments
Conflicts of Interest
References
- FAO Food and Agriculture Organisation of the United Nations [Global Apple Production]. Available online: https://www.fao.org/faostat/en/#data/ (accessed on 20 April 2019).
- Defra Agriculture in the United Kingdom [Crop Dataset]. Available online: https://www.gov.uk/government/statistical-data-sets/agriculture-in-the-united-kingdom (accessed on 20 April 2019).
- Dulta, P.C.; Verma, L.R. Role of Insect Pollinators on Yield and Quality of Apple Fruit. Indian J. Hortic. 1987, 44, 274–279. [Google Scholar]
- Ramírez, F.; Davenport, T.L. Apple Pollination: A Review. Sci. Hortic. 2013, 162, 188–203. [Google Scholar] [CrossRef]
- Garratt, M.P.D.; Breeze, T.D.; Jenner, N.; Polce, C.; Biesmeijer, J.C.; Potts, S.G. Avoiding a Bad Apple: Insect Pollination Enhances Fruit Quality and Economic Value. Agric. Ecosyst. Environ. 2014, 184, 34–40. [Google Scholar] [CrossRef]
- Hünicken, P.L.; Morales, C.L.; García, N.; Garibaldi, L.A. Insect Pollination, More than Plant Nutrition, Determines Yield Quantity and Quality in Apple and Pear. Neotrop. Entomol. 2020, 49, 525–532. [Google Scholar] [CrossRef]
- Garratt, M.P.D.; Breeze, T.D.; Boreux, V.; Fountain, M.T.; McKerchar, M.; Webber, S.M.; Coston, D.J.; Jenner, N.; Dean, R.; Westbury, D.B.; et al. Apple Pollination: Demand Depends on Variety and Supply Depends on Pollinator Identity. PLoS ONE 2016, 11, e0153889. [Google Scholar] [CrossRef]
- Garratt, M.P.D.; de Groot, G.A.; Albrecht, M.; Bosch, J.; Breeze, T.D.; Fountain, M.T.; Klein, A.M.; McKerchar, M.; Park, M.; Paxton, R.J.; et al. Opportunities to Reduce Pollination Deficits and Address Production Shortfalls in an Important Insect-Pollinated Crop. Ecol. Applic. 2021, 31, e02445. [Google Scholar] [CrossRef]
- Pardo, A.; Borges, P.A.V. Worldwide Importance of Insect Pollination in Apple Orchards: A Review. Agric. Ecosyst. Environ. 2020, 293, 106839. [Google Scholar] [CrossRef]
- Burns, K.L.W.; Stanley, D.A. The Importance and Value of Insect Pollination to Apples: A Regional Case Study of Key Cultivars. Agric. Ecosyst. Environ. 2022, 331, 107911. [Google Scholar] [CrossRef]
- Boyle, R.M.D.; Philogène, B.J.R. The Native Pollinators of an Apple Orchard: Variations and Significance. J. Hortic. Sci. 1983, 58, 355–363. [Google Scholar] [CrossRef]
- Bernauer, O.M.; Tierney, S.M.; Cook, J.M. Efficiency and Effectiveness of Native Bees and Honey Bees as Pollinators of Apples in New South Wales Orchards. Agric. Ecosyst. Environ. 2022, 337, 108063. [Google Scholar] [CrossRef]
- Antoine, C.M.; Forrest, J.R.K. Nesting Habitat of Ground-Nesting Bees: A Review. Ecol. Entomol. 2020, 46, 143–159. [Google Scholar] [CrossRef]
- Gathmann, A.; Tscharntke, T. Foraging Ranges of Solitary Bees. J. Anim. Ecol. 2002, 71, 757–764. [Google Scholar] [CrossRef]
- Wright, I.R.; Roberts, S.P.M.; Collins, B.E. Evidence of Forage Distance Limitations for Small Bees (Hymenoptera: Apidae). Eur. J. Entomol. 2015, 112, 303–310. [Google Scholar] [CrossRef]
- Greenleaf, S.S.; Williams, N.M.; Winfree, R.; Kremen, C. Bee Foraging Ranges and Their Relationship to Body Size. Oecologia 2007, 153, 589–596. [Google Scholar] [CrossRef]
- Carvell, C.; Mitschunas, N.; McDonald, R.; Hulmes, S.; Hulmes, L.; O’Connor, R.S.; Garratt, M.P.D.; Potts, S.G.; Fountain, M.T.; Sadykova, D.; et al. Establishment and Management of Wildflower Areas for Insect Pollinators in Commercial Orchards. Basic Appl. Ecol. 2022, 58, 2–14. [Google Scholar] [CrossRef]
- Garratt, M.P.D.; Truslove, C.L.; Coston, D.J.; Evans, R.L.; Moss, E.D.; Dodson, C.; Jenner, N.; Biesmeijer, J.C.; Potts, S.G. Pollination Deficits in UK Apple Orchards. J. Pollinat. Ecol. 2013, 12, 9–14. [Google Scholar] [CrossRef]
- Maher, S.; Manco, F.; Ings, T.C. Using Citizen Science to Examine the Nesting Ecology of Ground-Nesting Bees. Ecosphere 2019, 10, e02911. [Google Scholar] [CrossRef]
- Blaauw, B.R.; Isaacs, R. Flower Plantings Increase Wild Bee Abundance and the Pollination Services Provided to a Pollination-Dependent Crop. J. Appl. Ecol. 2014, 51, 890–898. [Google Scholar] [CrossRef]
- Mateos-Fierro, Z.; Garratt, M.P.D.; Fountain, M.T.; Ashbrook, K.; Westbury, D.B. Wildflower Strip Establishment for the Delivery of Ecosystem Services in Sweet Cherry Orchards. Asp. Appl. Biol. 2018, 139, 179–186. [Google Scholar]
- Fountain, M.T. Impacts of Wildflower Interventions on Beneficial Insects in Fruit Crops: A Review. Insects 2022, 13, 304. [Google Scholar] [CrossRef]
- Garratt, M.P.D.; O’Connor, R.; Carvell, C.; Fountain, M.T.; Breeze, T.D.; Pywell, R.; Redhead, J.; Kinneen, L.; Mitschunas, N.; Truslove, L.; et al. Addressing Pollination Deficits in Orchard Crops through Habitat Management for Wild Pollinators. Ecolog. Applic. 2022, 33, e2743. [Google Scholar] [CrossRef]
- Zurbuchen, A.; Landert, L.; Klaiber, J.; Müller, A.; Hein, S.; Dorn, S. Maximum Foraging Ranges in Solitary Bees: Only Few Individuals Have the Capability to Cover Long Foraging Distances. Biol. Conserv. 2010, 143, 669–676. [Google Scholar] [CrossRef]
- Kamm, D.R. Effects of Temperature, Day Length, and Number of Adults on the Sizes of Cells and Offspring in a Primitively Social Bee (Hymenoptera: Halictidae). J. Kans. Entomol. Soc. 1974, 47, 8–18. [Google Scholar]
- Else, G.R.; Edwards, M. Handbook of the Bees of British Isles; Brock, P., Ed.; The Ray Society: London, UK, 2018; Volume 180, ISBN 9780903874519. [Google Scholar]
- Russo, L.; Park, M.; Gibbs, J.; Danforth, B. The Challenge of Accurately Documenting Bee Species Richness in Agroecosystems: Bee Diversity in Eastern Apple Orchards. Ecol. Evol. 2015, 5, 3531–3540. [Google Scholar] [CrossRef]
- Blott, S.J.; Croft, D.J.; Pye, K.; Samantha, S.E.; Wilson, H.E. Particle Size Analysis by Laser Diffraction. Geolog. Soc. Lond. Spec. Public 2004, 232, 63–73. [Google Scholar] [CrossRef]
- Rozen, J.G., Jr. Biology of the Bee Ancylandrena larreae (Andrenidae: Andreninae) and Its Cleptoparasite Hexepeolus rhodogyne (Anthophoridae: Nomadinae) with a Review of Egg Deposition in the Nomadinae (Hymenoptera: Apoidea). Am. Mus. Novit. 1992, 3038, 1–15. [Google Scholar]
- Brooks, M.E.; Kristensen, K.; van Benthem, K.J.; Magnusson, A.; Berg, C.W.; Nielsen, A.; Skaug, H.J.; Mächler, M.; Bolker, B.M. GlmmTMB Balances Speed and Flexibility among Packages for Zero-Inflated Generalized Linear Mixed Modeling. R J. 2017, 9, 378–400. [Google Scholar] [CrossRef]
- Bates, D.; Mächler, M.; Bolker, B.M.; Walker, S.C. Fitting Linear Mixed-Effects Models Using Lme4. J. Stat. Softw. 2015, 67, 48. [Google Scholar] [CrossRef]
- Kassambara, A. Rstatix: Pipe-Friendly Framework for Basic Statistical Tests, Version 0.7.0; R Package: Madison, WI, USA, 2021. [Google Scholar]
- Length, R.V. Emmeans: Estimated Marginal Means, Aka Least-Squares Means, Version 1.7.5; R Package: Madison, WI, USA, 2022. [Google Scholar]
- Wuellner, C.T. Nest Site Preference and Success in a Gregarious, Ground-Nesting Bee Dieunomia triangulifera. Ecol. Entomol. 1999, 24, 471–479. [Google Scholar] [CrossRef]
- Potts, S.; Willmer, P. Abiotic and Biotic Factors Influencing Nest-Site Selection by Halictus rubicundus, a Ground-Nesting Halictine Bee. Ecol. Entomol. 1997, 22, 319–328. [Google Scholar] [CrossRef]
- Weissel, N.; Mitesser, O.; Liebig, J.; Poethke, H.J.; Strohm, E. The Influence of Soil Temperature on the Nesting Cycle of the Halictid Bee Lasioglossum malachurum. Insectes Soc. 2006, 53, 390–398. [Google Scholar] [CrossRef]
- Roberts, S. Yellow-Legged Mining-Bee (Andrena flavipes). Joint Initiative: Hymettus—BWARS. Information Sheet 22. 2011. Available online: https://www.bwars.com/sites/www.bwars.com/files/info_sheets/andrena_flavipes_infosheet.pdf (accessed on 20 April 2019).
- O’Connor, R.S.; Hails, R.S.; Thomas, J.A. Accounting for Habitat When Considering Climate: Has the Niche of the Adonis Blue Butterfly Changed in the UK? Oecologia 2014, 174, 1463–1472. [Google Scholar] [CrossRef]
- Cane, J.H. Soils of Ground-Nesting Bees (Hymenoptera: Apoidea): Texture, Moisture, Cell Depth and Climate. J. Kans. Entomol. Soc. 1991, 64, 406–413. [Google Scholar]
- Tsiolis, K.; Potts, S.; Garratt, M.; Tilston, E.; Burman, J.; Rintoul-Hynes, N.; Fountain, M. The Importance of Soil and Vegetation Characteristics for Establishing Ground-Nesting Bee Aggregations. J. Pollinat. Ecol. 2022, 31, 186–200. [Google Scholar] [CrossRef]
- Gardner, K.E.; Ascher, J.S. Notes on the Native Bee Pollinators in New York Apple Orchards. J. N. Y. Entomol. Soc. 2006, 114, 86–91. [Google Scholar] [CrossRef]
- Fountain, M.T. Identification of Key Insect Pollinators of Modern Apple Varieties. Report Submitted to the Worshipful Company of Fruiterers. 2011. Available online: https://www.fruiterers.org.uk/ (accessed on 20 April 2019).
- Cross, J.V.; Fountain, M.T.; Marko, V.; Nagy, C. Arthropod Ecosystem Services in Apple Orchards and Their Economic Benefits. Ecol. Entomol. 2015, 40, 82–96. [Google Scholar] [CrossRef]
- Zobel, M.U.; Paxton, R.J. Is Big the Best? Queen Size, Usurpation and Nest Closure in a Primitively Eusocial Sweat Bee (Lasioglossum malachurum). Behav. Ecol. Sociobiol. 2007, 61, 435–447. [Google Scholar] [CrossRef]
- Nichols, R.N.; Holland, J.; Goulson, D. Methods for Farmland in Hampshire, UK, and Their Effectiveness at Recruiting Ground-Nesting Solitary Bees. Conserv. Evid. 2020, 17, 15–18. [Google Scholar]
- Gregory, S.; Wright, I. Creation of Patches of Bare Ground to Enhance the Habitat of Ground-Nesting Bees and Wasps at Shotover Hill, Oxfordshire, England. Conserv. Evid. 2005, 2, 139–141. [Google Scholar]
- Sgolastra, F.; Hinarejos, S.; Pitts-Singer, T.L.; Boyle, N.K.; Joseph, T.; Luckmann, J.; Raine, N.E.; Singh, R.; Williams, N.M.; Bosch, J. Pesticide Exposure Assessment Paradigm for Solitary Bees. Environ. Entomol. 2019, 48, 22–35. [Google Scholar] [CrossRef]
- Balbuena, M.S.; Tison, L.; Hahn, M.L.; Greggers, U.; Menzel, R.; Farina, W.M. Effects of Sublethal Doses of Glyphosate on Honeybee Navigation. J. Exper. Biol. 2015, 218, 2799–2805. [Google Scholar] [CrossRef] [PubMed]
- Herbert, L.T.; Vázquez, D.E.; Arenas, A.; Farina, W.M. Effects of Field-Realistic Doses of Glyphosate on Honeybee Appetitive Behaviour. J. Exper. Biol. 2014, 217, 3457–3464. [Google Scholar] [CrossRef] [PubMed]
- Iwasaki, J.M.; Hogendoorn, K. Non-Insecticide Pesticide Impacts on Bees: A Review of Methods and Reported Outcomes. Agric. Ecosyst. Environ. 2021, 314, 107423. [Google Scholar] [CrossRef]
- Graffigna, S.; Marrero, H.J.; Torretta, J.P. Glyphosate Commercial Formulation Negatively Affects the Reproductive Success of Solitary Wild Bees in a Pampean Agroecosystem. Apidologie 2021, 52, 272–281. [Google Scholar] [CrossRef]
- Christmann, S. Regard and Protect Ground-Nesting Pollinators as Part of Soil Biodiversity. Ecolog. Applic. 2022, 32, e2564. [Google Scholar] [CrossRef]
- Roulston, T.H.; Goodell, K. The Role of Resources and Risks in Regulating Wild Bee Populations. Annu. Rev. Entomol. 2010, 56, 293–312. [Google Scholar] [CrossRef]
- Ullmann, K.S.; Meisner, M.H.; Williams, N.M. Impact of Tillage on the Crop Pollinating, Ground-Nesting Bee, Peponapis pruinosa in California. Agric. Ecosyst. Environ. 2016, 232, 240–246. [Google Scholar] [CrossRef]
- Cane, J.H.; Neff, J.L. Predicted Fates of Ground-Nesting Bees in Soil Heated by Wildfire: Thermal Tolerances of Life Stages and a Survey of Nesting Depths. Biol. Conserv. 2011, 144, 2631–2636. [Google Scholar] [CrossRef]
- Cane, J.H. Ground-Nesting Bees: The Neglected Pollinator Resource for Agriculture. Acta Hortic. 1997, 437, 309–324. [Google Scholar] [CrossRef]
- Campbell, A.J.; Wilby, A.; Sutton, P.; Wäckers, F.L. Do Sown Flower Strips Boost Wild Pollinator Abundance and Pollination Services in a Spring-Flowering Crop? A Case Study from UK Cider Apple Orchards. Agric. Ecosyst. Environ. 2017, 239, 20–29. [Google Scholar] [CrossRef]
- McKerchar, M.; Potts, S.G.; Fountain, M.T.; Garratt, M.P.D.; Westbury, D.B. The Potential for Wildflower Interventions to Enhance Natural Enemies and Pollinators in Commercial Apple Orchards Is Limited by Other Management Practices. Agric. Ecosyst. Environ. 2020, 301, 107034. [Google Scholar] [CrossRef]
- Heller, S.; Joshi, N.K.; Leslie, T.; Rajotte, E.G.; Biddinger, D.J. Diversified Floral Resource Plantings Support Bee Communities after Apple Bloom in Commercial Orchards. Sci. Rep. 2019, 9, 17232. [Google Scholar] [CrossRef] [PubMed]
- Graham, J.R.; Willcox, E.; Ellis, J.D. The Potential Management of a Ground-Nesting, Solitary Bee: Anthophora abrupta (Hymenoptera: Apidae). Fla. Entomol. 2015, 98, 528–535. [Google Scholar] [CrossRef]
- Willis Chan, D.S.; Prosser, R.S.; Rodríguez-Gil, J.L.; Raine, N.E. Assessment of Risk to Hoary Squash Bees (Peponapis pruinosa) and Other Ground-Nesting Bees from Systemic Insecticides in Agricultural Soil. Sci. Rep. 2019, 9, 11870. [Google Scholar] [CrossRef] [PubMed]
- Willis Chan, D.S.; Raine, N.E. Population Decline in a Ground-Nesting Solitary Squash Bee (Eucera pruinosa) Following Exposure to a Neonicotinoid Insecticide Treated Crop (Cucurbita pepo). Sci. Rep. 2021, 11, 4241. [Google Scholar] [CrossRef]






| Tree Stage | 2017 | 2018 | 2019 |
|---|---|---|---|
| Pre-blossom | 4–7 April | 17–20 April | 29 March–5 April |
| 10–11 April | 23–25 April | 8–11 April, 15–18 April | |
| Blossom | 19–20 April | 1–4 May | 23–26 April |
| 25–26 April | 8–11 May | 26 April–2 May | |
| Post-blossom | 16–24 May, 25–31 May | 15–18 May | 13–15 May |
Disclaimer/Publisher’s Note: The statements, opinions and data contained in all publications are solely those of the individual author(s) and contributor(s) and not of MDPI and/or the editor(s). MDPI and/or the editor(s) disclaim responsibility for any injury to people or property resulting from any ideas, methods, instructions or products referred to in the content. |
© 2023 by the authors. Licensee MDPI, Basel, Switzerland. This article is an open access article distributed under the terms and conditions of the Creative Commons Attribution (CC BY) license (https://creativecommons.org/licenses/by/4.0/).
Share and Cite
Fountain, M.T.; Tsiolis, K.; Silva, C.X.; Deakin, G.; Garratt, M.P.D.; O’Connor, R.; Carvell, C.; Pywell, R.F.; Edwards, M.; Potts, S.G. Location and Creation of Nest Sites for Ground-Nesting Bees in Apple Orchards. Insects 2023, 14, 490. https://doi.org/10.3390/insects14060490
Fountain MT, Tsiolis K, Silva CX, Deakin G, Garratt MPD, O’Connor R, Carvell C, Pywell RF, Edwards M, Potts SG. Location and Creation of Nest Sites for Ground-Nesting Bees in Apple Orchards. Insects. 2023; 14(6):490. https://doi.org/10.3390/insects14060490
Chicago/Turabian StyleFountain, Michelle T., Konstantinos Tsiolis, Celine X. Silva, Greg Deakin, Michael P. D. Garratt, Rory O’Connor, Claire Carvell, Richard F. Pywell, Michael Edwards, and Simon G. Potts. 2023. "Location and Creation of Nest Sites for Ground-Nesting Bees in Apple Orchards" Insects 14, no. 6: 490. https://doi.org/10.3390/insects14060490
APA StyleFountain, M. T., Tsiolis, K., Silva, C. X., Deakin, G., Garratt, M. P. D., O’Connor, R., Carvell, C., Pywell, R. F., Edwards, M., & Potts, S. G. (2023). Location and Creation of Nest Sites for Ground-Nesting Bees in Apple Orchards. Insects, 14(6), 490. https://doi.org/10.3390/insects14060490

