Simple Summary
Long-term studies on insect diversity trends are rare, especially in steppe ecosystems. To gain insights into carabid beetle diversity trends in steppe grasslands, we analyzed data on carabids from a trapping study that ran for 12 years in the grasslands of northwestern China. We found that species abundance and richness declined over time. The results of this study suggest that precipitation may play a role in changing species dynamics. This study emphasizes the urgent need to protect carabid communities in steppe ecosystems.
Abstract
Ground-dwelling beetles are important functional components in nutrient-poor grasslands of middle temperate steppe ecosystems in China. Here, we assessed the changes in ground beetle (Coleoptera: Carabidae) communities in the grasslands of northwestern China over 12 years to improve the management and conservation of beetles all over the world. The Generalized Additive Model (GAM) was applied to estimate the changes in carabid beetle communities in two regions: a desert steppe (Yanchi region), and a typical steppe and meadow steppe (Guyuan region). During the 12-year investigation, a total of 34 species were captured. We found that species abundance and richness per survey declined by 0.2 and 11.2%, respectively. Precipitation was the main factor affecting the distribution of carabid beetles. A distinct decline in carabid beetle species in the Yanchi region indicated that they may be threatened by less precipitation and loss of habitat, which could be due to climate change. Overall, species richness was stable in the Guyuan region. It is necessary to estimate and monitor the changes in carabid beetle communities in a temperate steppe of northern China and to protect them. Extensive desertification seriously threatens the distribution of carabid beetles. Future research should develop methods to protect carabid beetle communities in temperate steppes in China.
1. Introduction
It is well known that the loss of insects has a serious impact on ecosystem function [1], as insects play a central role in ecosystems, in terms of pollination and nutrient cycling [2,3,4,5] and has a significant economic impact [6,7,8]. For example, 75% of the world’s major food crops show increased fruit or seed sets with animal pollination [9]. It has been estimated that ecosystem services provided by insects are worth 57 billion USD annually in the USA [10]. Therefore, preserving insect abundance and diversity should be a priority for insect conservation.
Dramatic declines in insect abundance and richness have caused widespread concerns among ecologists and insect scientists. Declines in the number of insects have been confirmed worldwide [11,12,13,14]. These declines can potentially threaten ecological ecosystems [15]. It is still unclear whether the declines are widespread. For example, a reliable analysis of changes in the distribution of insect species is still absent. Given the current rate of global environmental change, quantifying changes in species abundance is critical in assessing ecosystem impacts. However, long-term monitoring data related to insect population trends are scant, especially in grassland ecosystems, because many studies mainly focus on forest and agricultural ecosystems [16,17,18,19]. Therefore, preserving insect abundance and richness is critical in the development of conservation strategies in grassland ecosystems.
Many studies also have shown substantial declines in some insect groups, suggesting that insect biodiversity loss is more severe than other estimates [20,21,22]. For example, insect abundance decreased by 45% after evaluating two-thirds of the taxa [2], and annual grasshopper abundance declined by 2.1–2.7% per year in 16 time series from a Kansas prairie [23]. In addition, the decline in specific insects with different target taxa and habitats has been reported [20]. Insects play an important role in ecosystems, and their decline is likely to cause an imbalance in the natural ecosystem [24]. Grassland is one of the natural and semi-natural environment types with high species abundance. The effect of grasslands on insect community structure and population changes has become an important issue in the study of species diversity over the world [25,26]. However, how the insects are reduced in steppe ecosystems remains unresolved. Long-term species-level statistical data are scant, and information on species trends for many key insect groups critical to ecosystems is lacking [27]. Carabid beetles (Coleoptera: Carabidae), one of the largest families of insects, are well-fitted for such investigations [9]. They can be used as indicators of changes in habitats and environments and play an important role in assessing environmental impact and conservation [28,29,30]. They react more promptly than most long-living animals or plants due to their relatively short life cycles [7,31]. Carabid beetles live in a wide variety of biotopes and play a crucial role in functional ecology because many species prey on pest species and plant seeds [32]. For example, in an agricultural ecosystem, carabid beetles are important because they are natural enemies to many pests [33]. A decline in the abundance of carabid beetles causes concerns over food safety. Some believe that it is impossible to maintain high productivity with decreasing chemical inputs [34]. Consequently, it is essential to explore carabid beetles for long-term studies, which also can enhance the understanding of diversity loss.
In all studies, how species respond to environmental change is clarified, but complex biotic interactions are the most important in understanding diversity loss [35,36]. For example, climate and habitats can change species dynamics [12], and habitat loss is most likely to cause insect extinctions as community structure, the physical environment, and community stability change [37]. Furthermore, theoretical methods to model large-scale changes in biodiversity indicate that species response is almost equal in time and space [38]. Indeed, the spatiotemporal dynamics of species richness is important for knowing how environmental variations impact biodiversity [39,40]. All of these endeavors increase our understanding of the influence of potential driving factors over habitats and regions [41,42,43]. Therefore, models used to estimate trends in geographic changes in many species and their interaction with habitats and regions are needed to increase our understanding of biodiversity loss.
In China, steppes, which account for 80% of grassland vegetation, have high biodiversity and conservation value. However, steppes are being degraded into barren land and deserts probably due to climate change and human activities [44]. Such habitat degradation has a dramatic impact on steppe biodiversity. Since 2008, carabid beetles along with many climatic and physiological variables have been monitored within a range of grassland across northwest China [45,46,47]. Thus, previous data can be used to learn the mechanisms that control biodiversity. Although growing evidence of carabids in northwest China showed that their range of distributions have declined, most of which are believed to be caused by climate change [42], the shortage of simultaneously collected and quantitative data has impeded precise predictions of species trends. Here, we selected sites with representative steppes and repeated beetle surveys from 2008 to 2019. Those surveys involved all available natural habitats and regions in the survey area, including desert steppes, typical steppes, and meadow steppes. To reveal the effects of climate change and increased eutrophication due to land-use intensification, we analyzed soil and vegetation parameters in parallel with our beetle monitoring. We used those data to test hypotheses: (i) beetle species have gradually disappeared from the Yanchi region (desert steppe) because of increasing temperature and decreasing precipitation, and (ii) beetle communities of the Guyuan region (typical and meadow steppes) have remained relatively stable. These results may promote assessments of population changes and may help understand how the biodiversity of important functional groups changes over time in regions and habitats of northwestern China.
2. Materials and Methods
2.1. Study Area
From 2008 to 2019, 135 samples sites were surveyed over ~6000 km2 in two regions of Ningxia Province in northwestern China: Yanchi region (YC) and Guyuan region (GY). These regions are temperate steppes between 35° N and 37° N. The species richness of carabid beetles in these two regions are the highest compared with other insects (e.g., Scarabaeidae and Tenebrionidae) (Figure 1).
Figure 1.
The location of sampling sites and region boundaries within Ningxia Province, northwestern China (YC, Yanchi region; GY, Guyuan region).
(1) The Yanchi region is dominated by desert steppes, with a dominance of sierozem soils, semi-arid continental monsoonal climate, and low humidity (annual mean temperature 8.3 °C; 200 mm of precipitation annually) [48]. The vegetation in this study area is characterized by Agropyron mongolicum, Artemisia desertorum, Lespedez adavurica, and Artemisia blepharolepis.
(2) The Guyuan region is dominated by meadow steppes and typical steppes, with a dominance of black thorn and brown soils, semi-arid continental monsoonal climate, and moderate humidity (annual mean temperature 7 °C; 400 mm of precipitation annually) [48]. Some representative vegetation include Stipa bungeana, Artemisia frigida, Potentilla acaulis, and Stipa grandis.
2.2. Beetle Samples
There were 31 sample sites in the Yanchi region and 104 sample sites in the Guyuan region. The three steppe types at these sites were sampled in 2008, 2009, 2013, 2017, 2018, and 2019. From 2008 to 2009, 6 of the 135 samples sites were resampled between six and eight times, yielding 220 sample events. In 2013, 5 of the 135 samples were resampled once each, yielding 125 sample events. In 2017, 90 of the 135 samples were resampled (see Table A1), with a total of 1800 sample events. In 2018 and 2019, 34 of the 135 samples were resampled, with a total of 1360 sample events.
We used pitfall traps (400 mL capacity and 7.5 cm diameter) placed with the top of the trap flush with the soil surface to catch carabid beetles. All sites, the number of sampling rounds, and their dates were synchronized. The surveys were conducted continuously from May to September of every sampling year since, in this period, they are active. At each sample site, there were five pitfall traps at 5 m intervals, which were separated by 200–1400 m from each other to minimize spatial autocorrelation. Traps inducing liquid were placed with the top of the trap being flush with the soil surface and were collected three days later. During this time, beetles were stored in 75% ethanol and counted and identified in the laboratory [49]. Here, we pooled the traps per site in a 20 × 20 m sample and received 79 effective sample sites. We accounted for the number of beetles once a month and took the average of five measurements for analysis. Carabid beetles have significant single, annual activity peaks, and each site includes at least five pitfall traps that can be used to estimate the abundance of localized carabid beetles. The beetles were collected in a standard way through traps and were classified by the Chinese Academy of Science.
2.3. Soil and Environment Parameters
The soil and vegetation parameters were determined on each survey date. The soil temperature was recorded at a depth of 0–10 cm, and the humidity and temperature were measured using a moisture analyzer (YH-SWP-100, Jiangsu VICTOR Instrument Mete Company, Taizhou, China). The vegetation parameters were measured within a 1 m2 quadrat frame. The climatic data were extracted from WorldClim (https://www.worldclim.org, monthly weather data for 1960–2018).
2.4. Data Analysis
Changes in beetle distribution with time were quantified using two measures: species richness and abundance. The variations in species richness (i.e., number of species) and abundance are evaluated per trap among 2008 to 2019. The sampling size as a covariable was included in the models. The abundance was calculated per survey to include a co-variate as an explanatory variable in the models [50]. Species abundance and richness per trap and Shannon–Wiener diversity were calculated with iNEXT R package [51].
We used GAM to model beetle richness and abundance with the mgcv package in R (version 4.0.3) [52]. These models are extensions of the Generalized Linear Model (GLM) framework [53], and one “best model” is constructed [54]. It is important to avoid using collinear explanatory variables in GAM. GAM was used to assess nonlinear trends in the effect response curve. The goodness factor of the competing functions was measured using an F-ratio with a 5% significance level. For model assessment, the evidence ratio, AIC, and minimized generalized cross validation (GCV) score were applied [55]. Latitude, elevation, soil temperature, vegetation cover, plant species, annual mean temperature, and annual mean precipitation were included in the model. As beetle data are usually distributed skewedly, its corresponding probability density functions are in lognormal or gamma distributions, which exclude data points at zero. We used the Tweedie distribution, which is better suited for data with zero values.
Finally, we used Canonical Correspondence Analysis (CCA) to analyze the explanatory variables. The soil moisture, soil temperature, vegetation coverage, plant diversity, mean annual temperature, mean annual precipitation, altitude, and year were regarded as environmental variables that were selected by a stepwise model selection using the backstep function.
3. Results
3.1. Beetle Abundance and Species Richness
In total, 16,830 specimens belonging to 34 different species from all sampled sites since 2008 were recorded (see Table A1). Table 1 shows the descriptive statistics of the species richness and abundance of carabid beetles in the Yanchi and Guyuan regions. The species richness in the Yanchi and Guyuan regions ranged from 1 to 17 and 6 to 16 per sample, respectively. The abundance ranged from 2 to 523 and 30 to 268 per sample, respectively. The Guyuan region had the highest average species richness (9.32) and abundance (92.95), followed by the Yanchi region (5.26, 62.91) (Table 1 and Table A2).
Table 1.
The average species richness and abundance of carabid beetle in Yanchi and Guyuan region (mean number/sample plot, n presents sampling plot).
At all sites combined, the year had an obvious negative influence on species richness and abundance (Table 2). The species richness and abundance were substantially lower in later years than in earlier ones. The abundance decreased over time but revealed an overall decrease, with the strongest declines being from 2008 to 2013 (Figure 2). The species richness and abundance per survey decreased over time by approximately 0.2% (Figure 2a) and 11.2% (Figure 2b), respectively.
Table 2.
Summary of generalized additive regression for the dependent variables of abundance and species richness. *** p < 0.001; * p < 0.05.
Figure 2.
Boxplots of carabid beetle species richness (a) and abundance (b) per survey at five-year intervals. The upper and lower edges represent upper and lower quartiles, the bold black lines represent median values, and the black rhombuses indicate means.
3.2. Measure Diversity
Species richness, mean abundance, and Shannon diversity were significantly lower in the Yanchi region than in the Guyuan region (Figure 3). Overall, there were no significant temporal trends in Shannon diversity, but individual plots showed signs of decline in abundance.
Figure 3.
Violin plots showing probability densities of (a) abundance, (b) species richness, and (c) Shannon diversity. The boxplots inside violins represent the distribution of measured data and show the median, and the lower and upper limits. Adjusted p-values are indicated as * p < 0.05; **** p < 0.0001; ns, not significant (p > 0.05).
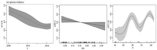
Our model showed the major explanatory descriptors of variation within the pooled data from the two regions (Figure 4). We recorded 29 species from Guyuan region, 27 species from Yanchi region, and 22 species from both the Guyuan and Yanchi regions (Table A2). The year had a significant influence on species richness and abundance. Species richness also significantly influenced by the soil moisture and precipitation (Table A3, Figure 4a). Abundance decreased yearly and increased with latitude and precipitation. It was also significantly influenced by plant diversity and soil temperature (Table A3, Figure 4b).

Figure 4.
Plots of significant explanatory variables for the dependent variables species richness (a) and abundance (b). P, precipitation; Lat, latitude; ST, soil temperature; PD, plant diversity; SM, soil temperature. The vertical axes are expressed in logits, the value (s) represents the smoothing fitting value of an explanatory variable of carabid beetles, and the ordinate in parentheses is the estimated degree of freedom. The shaded areas represent confidence intervals.
3.3. Pattern of Spatial Distribution
The pattern of species distribution differed between the YC and GY region: the abundance decreased in YC and increased in GY (Figure 5a); the pooled species richness remained relatively stable from 2008 to 2019 (Figure 5b).

Figure 5.
Map of carabid beetle study areas showing (a) abundance and (b) species richness per survey at five-year intervals.
The CCA indicated that all parameters of the variables had a significant effect (Figure 6). CCA axes 1–4 cumulatively explained 85.50% (31.9, 57.75, 71.64, and 85.5) of the total constrained variations (Table A4). The main gradient was defined by altitude, soil temperature, and precipitation. Year is another main independent parameter, with increasing temperature being the most closely related one.
Figure 6.
CCA ordination with main gradients marked in red (● = herbivores and ▲ = predators, species abbreviations as in Table A2).
4. Discussion
Consistent with recent long-term studies of insects, we observed a decline in species richness and abundance, which were in accordance with other studies on insect taxa, such as moths, butterflies, and bees [24]. These studies showed that insect diversity is declining. Concerns are exacerbated for carabid beetles because they play an important role within an ecosystem [32]. Although the decline was lower than with other insects, the species richness can modulate pest control as a predator [56]. In summary, the insect diversity being threatened is supported by these data.
For all surveys, year had a significant negative effect on abundance and species richness. Given that carabid abundance and richness have mostly downward trends, they can be attributed as being the dominant driver of change. Species losses and decreases in total abundances cannot be attributed to natural succession. Although grasslands have high species diversity, it has become a threatened habitat. Our analyses revealed that the abundance of carabid beetles is declining when compared with other groups of insects, supporting the evidence that this group of species is severely threatened [23,57,58,59]. Concerns about carabids were aggravated because they were frequently used to indicate environmental changes [25,32]. All of those supported the hypothesis that there was a significant reduction in the abundance of carabid species over time and that those changes also led to a loss of biodiversity. Therefore, at the regional scale, those rates are lethal for carabids.
Our results can contribute to understanding biodiversity loss and its management at the regional level [60]. The easiest way to consider the decline is to attribute it to a dominant driver of change. However, there were important differences in the responses between richness and abundance of carabids, suggesting a more complex interaction between species drivers and the environment. We found wide-scale changes in the carabids in the Yanchi region because of regional differences caused by climate change. For example, temperature increase was disproportionately greater in the desert steppe, with concomitant reductions in precipitation. The decrease in soil moisture and increase in soil temperature adversely affect the breeding of carabids, resulting in the abundance of the species declining most in the Yanchi region. Conversely, increasing temperature and abundant precipitation provided more suitable conditions for the breeding of carabids in the Guyuan region. Species from the Guyuan region seemed to be less influenced by the destruction of habitats. This means that the GY region provides more favorable microclimatic conditions for beetles, such as befitting temperature and humidity, in contrast with the YC region. One important reason is probably the increased precipitation and temperature in these grasslands in the second half of the last century [61]. Carabids are intolerant to freezing [62]; therefore, low temperature and precipitation impede their breeding.
With the desertification of land, the grasslands of northwestern China have seriously degenerated in the study area, causing a serious decline in biodiversity [25]. For all surveyed regions, the year had a significant negative effect on species richness and abundance. The trend of beetle decline was in line with other studies [6,63]. The sharp decline in beetles has been recorded in a similar situation in European countries [64]. Reductions in the abundance and richness of carabids were partly attributed to natural evolution [65], which cannot be clearly separated from time-related effects, e.g., structural disturbances [66]. The observed loss may also be due to decreased plant diversity at the terrestrial landscape level or due to habitat loss and vegetation. Alternatively, grassland desertification might be further worsened, caused by climate change, which, as mentioned earlier, had a negative impact on carabid resources.
Environmental data alone are generally deficient in explaining changes in insect communities [67]. We overcame this problem by linking environmental data to the carabid beetle survey data and to the data describing vegetation changes [68]. Making the relationship between environmental and vegetation variables, and their effect on carabid beetles explicit requires careful studies and long-term monitoring. The model revealed that precipitation had significant effects on species abundance and richness in our dataset. On the regional scale, abundance was significantly influenced by precipitation, soil temperature, plant diversity, and latitude, and the species richness was mainly affected by precipitation, soil moisture, and latitude. Moisture changes also affected vegetation, which could have knock-on influences on the micro-climate. The importance of precipitation changes could be explained by the free-ranging lifestyle of immature larval stages. It is known that an increase in precipitation can enhance the aboveground vegetation biomass [69]. Vegetation provides food for herbivorous beetle species and shelters for predatory species and may facilitate the richness of greater carabid species. We found that soil temperature also had a significant effect on abundance because some beetles lay eggs in burrows and others overwinter as larvae or adults in the soil, so a warmer temperature can stimulate the number of beetles, their range of activity, and therefore, beetle abundance [70,71].
In addition to soil temperature and precipitation, altitude also positively affects the variation in beetle abundance. Latitude is correlated with variations in temperature, humidity, and precipitation, so it is a measure of environmental heterogeneity [72]. Carabid beetles show a closer correlation with the latitudinal gradient than other insects. A linear reduction or hump-shaped distribution of arthropod species richness along an altitudinal gradient has been reported previously [73]. Studies have suggested that carabid beetles in Europe have moved tens of meters in elevation in the past 10 to 20 years [74]. In our study, we found that altitude was an important variable in explaining beetle richness. The increase in richness with increasing elevation agrees with previous results because more suitable environmental conditions with appropriate temperature and precipitation ranges for the beetles of northern China are found at higher altitudes. Beetle species richness tends to increase with altitude but not with abundance [75]. Therefore, beetles have a complicated relationship with altitude at the species level, which needs further research. The significance of altitude in this study may indicate an important covariation with temperature and precipitation and may provide a cue for key biological events as temperature and precipitation control the reproduction of carabid beetles [25].
Declines in the carabid species numbers in both the Yanchi and Guyuan regions may lead to the homogenization of beetle communities (Figure 5), which agrees with that of other studies of insects [76]. Our results showed that nutrient-poor grasslands, where many species have declined, should be protected (e.g., the Yanchi region) [77]. Environmental changes and environmental function traits are important explanations for carabid species decline [49,78]. In addition, measures to manage carabid beetles should include protection of grasslands and appropriate nature management. The strict management of habitats can maintain the population stability of carabid species.
Species declines in insects have been reported recently in many countries [7,78]. The decline in carabid beetles was previously strongly related to climate change [72]. Carabid beetles are closely associated with broad habitat types. Species abundance and richness decreased in two regions due to habitat loss and climate change, which was consistent with previous studies [79,80,81]. After 12 years, GY has a broad distribution of carabid species, which is more consistent with our conclusions from previous investigations. Our previous conclusion was that GY undergoes desertification towards becoming a desert steppe with low species richness and weak functional diversity. Therefore, conservation efforts should generally include establishing new habitats and restoring natural vegetation, which needs long-term evolution. An appropriate habitat is crucial for the successful recolonization of beetles [82].
5. Conclusions
In conclusion, our findings show that the carabid beetle assemblage of YC suffers serious threats and declines in species and abundance caused by precipitation and soil temperature. The risk of extinction increasingly forces plant and animal species to move to more suitable habitats, which can lead to a significantly different distribution pattern of insect species in the future. It is unclear whether the decline might apply to other groups and regions; there is a need for long-term datasets to be gathered at a global scale, especially in grassland systems. Furthermore, our study is a first attempt at understanding the main drivers of the spatial pattern of insect species richness in temperate grasslands of northwestern China. The methods used here can assess other taxa and can assist managers in planning where conservation efforts need to be focused.
Author Contributions
Conceptualization, all authors; methodology, X.L. and X.W.; software, X.L.; validation, M.B., X.W. and X.L.; formal analysis, X.L.; investigation, X.L. and X.W.; resources, X.W.; data curation, X.L.; writing—original draft preparation, X.L.; writing—review and editing, X.L.; visualization, M.B. and J.J.S.; supervision, X.W.; project administration, X.L.; funding acquisition, X.W. All authors have read and agreed to the published version of the manuscript.
Funding
This research was funded by the National Natural Science Foundation of China (grant numbers 31660630 and 31961143002) and by the First-class discipline of Prataculture Science of Ningxia University (grant number NXYLXK2017A01).
Institutional Review Board Statement
All insects used in this study are common species in China. All experiments were in line with Chinese law and ethics guidelines.
Data Availability Statement
The data presented in this study are available on request from the correspondence author.
Acknowledgments
We thank Hongbin Liang (Institute of Zoology, CAS) for identifying the specimens. We are grateful to Xu Hao (Ningxia Academy of Agriculture and Forestry) for conducting the geospatial modeling analysis for species richness and prediction.
Conflicts of Interest
The authors declare no conflict of interest.
Appendix A
Table A1.
Number of surveys per region and year.
Table A1.
Number of surveys per region and year.
| Site/ Quadrat | Latitude/ Longitude | 2008 | 2009 | 2013 | 2017 | 2018 | 2019 | Site | Latitude/ Longitude | 2008 | 2009 | 2013 | 2017 | 2018 | 2019 | Site/ Quadrat | Latitude/ Longitude | 2008 | 2009 | 2013 | 2017 | 2018 | 2019 |
|---|---|---|---|---|---|---|---|---|---|---|---|---|---|---|---|---|---|---|---|---|---|---|---|
| Yanchi Region | Guyuan Region | ||||||||||||||||||||||
| 1 | 38.0233 | 0 | 0 | 0 | 5 | 0 | 4 | 46 | 36.242222 | 0 | 0 | 0 | 5 | 4 | 4 | 91 | 36.430833 | 0 | 0 | 1 | 5 | 0 | 0 |
| 2 | 38.021667 | 0 | 0 | 0 | 5 | 0 | 4 | 47 | 36.210000 | 0 | 0 | 1 | 5 | 4 | 4 | 92 | 36.419444 | 0 | 0 | 0 | 5 | 0 | 0 |
| 3 | 38.019722 | 0 | 0 | 0 | 5 | 0 | 4 | 48 | 36.209167 | 0 | 0 | 0 | 5 | 4 | 4 | 93 | 36.419722 | 0 | 0 | 0 | 5 | 0 | 0 |
| 4 | 38.021111 | 0 | 0 | 0 | 5 | 0 | 4 | 49 | 36.208611 | 0 | 0 | 0 | 5 | 4 | 4 | 94 | 36.420278 | 0 | 0 | 0 | 5 | 0 | 0 |
| 5 | 38.022778 | 0 | 0 | 0 | 5 | 0 | 4 | 50 | 36.207222 | 0 | 0 | 1 | 5 | 4 | 4 | 95 | 36.420833 | 0 | 0 | 0 | 5 | 0 | 0 |
| 6 | 38.024444 | 0 | 0 | 0 | 5 | 0 | 4 | 51 | 36.205278 | 0 | 0 | 0 | 5 | 4 | 4 | 96 | 36.420833 | 0 | 0 | 1 | 5 | 0 | 0 |
| 7 | 38.022778 | 0 | 0 | 0 | 5 | 0 | 4 | 52 | 36.2075 | 0 | 0 | 0 | 5 | 4 | 4 | 97 | 36.419444 | 0 | 0 | 0 | 5 | 0 | 0 |
| 8 | 38.020833 | 0 | 0 | 0 | 5 | 0 | 4 | 53 | 36.206111 | 0 | 0 | 0 | 5 | 4 | 4 | 98 | 36.419444 | 0 | 0 | 0 | 5 | 0 | 0 |
| 9 | 38.022222 | 0 | 0 | 0 | 5 | 0 | 4 | 54 | 36.204722 | 0 | 0 | 0 | 5 | 4 | 4 | 99 | 36.418889 | 0 | 0 | 0 | 5 | 0 | 0 |
| 10 | 38.024167 | 0 | 0 | 0 | 5 | 0 | 4 | 55 | 36.204167 | 0 | 0 | 0 | 5 | 4 | 4 | 100 | 36.420833 | 0 | 0 | 0 | 5 | 0 | 0 |
| 11 | 38.025833 | 0 | 0 | 0 | 5 | 0 | 4 | 56 | 36.2025 | 0 | 0 | 0 | 5 | 4 | 4 | 101 | 36.420556 | 0 | 0 | 0 | 5 | 0 | 0 |
| 12 | 38.024167 | 0 | 0 | 0 | 5 | 0 | 4 | 57 | 36.203056 | 0 | 0 | 0 | 5 | 4 | 4 | 102 | 36.418056 | 0 | 0 | 1 | 5 | 0 | 0 |
| 13 | 38.022222 | 0 | 0 | 0 | 5 | 0 | 4 | 58 | 36.201389 | 0 | 0 | 0 | 5 | 4 | 4 | 103 | 36.418056 | 0 | 0 | 0 | 5 | 0 | 0 |
| 14 | 38.023889 | 0 | 0 | 0 | 5 | 0 | 4 | 59 | 36.201667 | 0 | 0 | 0 | 5 | 4 | 4 | 104 | 36.420000 | 0 | 0 | 0 | 5 | 0 | 0 |
| 15 | 38.025278 | 0 | 0 | 0 | 5 | 0 | 4 | 60 | 36.200556 | 0 | 0 | 0 | 5 | 4 | 4 | 105 | 36.419444 | 0 | 0 | 0 | 5 | 0 | 0 |
| 16 | 38.025918 | 0 | 0 | 0 | 0 | 4 | 4 | 61 | 36.200000 | 0 | 0 | 0 | 5 | 4 | 4 | 106 | 36.418611 | 0 | 0 | 0 | 5 | 0 | 0 |
| 17 | 38.024109 | 0 | 0 | 0 | 0 | 4 | 4 | 62 | 36.251944 | 0 | 0 | 0 | 5 | 4 | 4 | 107 | 36.271611 | 0 | 0 | 0 | 5 | 0 | 0 |
| 18 | 38.014326 | 0 | 0 | 0 | 0 | 4 | 4 | 63 | 36.251667 | 0 | 0 | 0 | 5 | 4 | 4 | 108 | 36.261023 | 0 | 0 | 1 | 0 | 4 | 4 |
| 19 | 38.008726 | 0 | 0 | 0 | 0 | 4 | 4 | 64 | 36.250556 | 0 | 0 | 1 | 5 | 4 | 4 | 109 | 36.251991 | 0 | 0 | 0 | 0 | 4 | 4 |
| 20 | 38.003333 | 0 | 0 | 0 | 0 | 4 | 4 | 65 | 36.251944 | 0 | 0 | 0 | 5 | 4 | 4 | 110 | 36.242936 | 0 | 0 | 1 | 0 | 4 | 4 |
| 21 | 38.008149 | 0 | 0 | 0 | 0 | 4 | 4 | 66 | 36.252778 | 0 | 0 | 0 | 5 | 4 | 4 | 111 | 36.231224 | 0 | 0 | 1 | 0 | 4 | 4 |
| 22 | 37.996558 | 0 | 0 | 0 | 0 | 4 | 4 | 67 | 36.253056 | 0 | 0 | 0 | 5 | 4 | 4 | 112 | 36.263662 | 0 | 0 | 0 | 0 | 4 | 4 |
| 23 | 37.979796 | 0 | 0 | 0 | 0 | 4 | 4 | 68 | 36.254444 | 0 | 0 | 0 | 5 | 0 | 0 | 113 | 36.25482 | 0 | 0 | 0 | 0 | 4 | 4 |
| 24 | 37.987471 | 0 | 0 | 0 | 0 | 4 | 4 | 69 | 36.255833 | 0 | 0 | 0 | 5 | 0 | 0 | 114 | 36.245969 | 0 | 0 | 0 | 0 | 4 | 4 |
| 25 | 37.978304 | 0 | 0 | 0 | 0 | 4 | 4 | 70 | 36.253889 | 0 | 0 | 0 | 5 | 0 | 0 | 115 | 36.233981 | 0 | 0 | 3 | 0 | 4 | 4 |
| 26 | 37.890833 | 8 | 6 | 0 | 0 | 0 | 0 | 71 | 36.255556 | 0 | 0 | 0 | 5 | 0 | 0 | 116 | 36.242716 | 0 | 0 | 0 | 0 | 4 | 4 |
| 27 | 37.819722 | 8 | 6 | 0 | 0 | 0 | 1 | 72 | 36.257222 | 0 | 0 | 0 | 5 | 0 | 0 | 117 | 36.224906 | 0 | 0 | 0 | 0 | 4 | 4 |
| 28 | 37.796111 | 8 | 6 | 0 | 0 | 0 | 0 | 73 | 36.259444 | 0 | 0 | 0 | 5 | 0 | 0 | 118 | 36.217012 | 0 | 0 | 0 | 0 | 4 | 4 |
| 29 | 37.992778 | 8 | 6 | 0 | 0 | 0 | 1 | 74 | 36.257222 | 0 | 0 | 0 | 5 | 0 | 0 | 119 | 36.201447 | 0 | 0 | 0 | 0 | 4 | 4 |
| 30 | 37.961111 | 8 | 6 | 0 | 0 | 0 | 1 | 75 | 36.258889 | 0 | 0 | 0 | 5 | 0 | 0 | 120 | 36.203179 | 0 | 0 | 0 | 0 | 4 | 4 |
| 31 | 37.844444 | 8 | 6 | 0 | 0 | 0 | 1 | 76 | 36.260278 | 0 | 0 | 0 | 5 | 0 | 0 | 121 | 36.429613 | 0 | 0 | 0 | 0 | 4 | 4 |
| Guyuan region | |||||||||||||||||||||||
| 32 | 36.251667 | 0 | 0 | 0 | 5 | 0 | 0 | 77 | 36.441111 | 0 | 0 | 0 | 5 | 0 | 0 | 122 | 36.438564 | 0 | 0 | 0 | 0 | 4 | 4 |
| 33 | 36.250556 | 0 | 0 | 0 | 5 | 0 | 0 | 78 | 36.44 | 0 | 0 | 0 | 5 | 0 | 0 | 123 | 36.444252 | 0 | 0 | 2 | 0 | 4 | 4 |
| 34 | 36.250278 | 0 | 0 | 0 | 5 | 0 | 0 | 79 | 36.436944 | 0 | 0 | 2 | 5 | 0 | 0 | 124 | 36.4505 | 0 | 0 | 0 | 0 | 4 | 4 |
| 35 | 36.248889 | 0 | 0 | 0 | 5 | 0 | 0 | 80 | 36.435833 | 0 | 0 | 0 | 5 | 0 | 0 | 125 | 36.444761 | 0 | 0 | 0 | 0 | 4 | 4 |
| 36 | 36.256111 | 0 | 0 | 0 | 5 | 0 | 0 | 81 | 36.435278 | 0 | 0 | 0 | 5 | 0 | 0 | 126 | 36.413512 | 0 | 0 | 0 | 0 | 4 | 4 |
| 37 | 36.255556 | 0 | 0 | 0 | 5 | 0 | 0 | 82 | 36.438889 | 0 | 0 | 0 | 5 | 0 | 0 | 127 | 36.417967 | 0 | 0 | 0 | 0 | 4 | 4 |
| 38 | 36.252222 | 0 | 0 | 0 | 5 | 0 | 0 | 83 | 36.436944 | 0 | 0 | 0 | 5 | 0 | 0 | 128 | 36.41978 | 0 | 0 | 0 | 0 | 4 | 4 |
| 39 | 36.250556 | 0 | 0 | 1 | 5 | 0 | 0 | 84 | 36.435000 | 0 | 0 | 0 | 5 | 0 | 0 | 129 | 36.415722 | 0 | 0 | 0 | 0 | 4 | 4 |
| 40 | 36.248889 | 0 | 0 | 0 | 5 | 0 | 0 | 85 | 36.433889 | 0 | 0 | 0 | 5 | 0 | 0 | 130 | 36.406674 | 0 | 0 | 0 | 0 | 4 | 4 |
| 41 | 36.240833 | 0 | 0 | 0 | 5 | 0 | 0 | 86 | 36.432778 | 0 | 0 | 2 | 5 | 0 | 0 | 131 | 36.260947 | 0 | 0 | 9 | 4 | 0 | 0 |
| 42 | 36.25 | 0 | 0 | 0 | 5 | 0 | 0 | 87 | 36.433056 | 0 | 0 | 0 | 5 | 0 | 0 | 132 | 36.267219 | 0 | 0 | 9 | 4 | 0 | 0 |
| 43 | 36.250278 | 0 | 0 | 0 | 5 | 0 | 0 | 88 | 36.431389 | 0 | 0 | 0 | 5 | 0 | 0 | 133 | 36.268022 | 0 | 0 | 9 | 4 | 0 | 0 |
| 44 | 36.249444 | 0 | 0 | 1 | 5 | 0 | 0 | 89 | 36.432222 | 0 | 0 | 0 | 5 | 0 | 0 | 134 | 36.201883 | 0 | 0 | 9 | 4 | 0 | 0 |
| 45 | 36.246944 | 0 | 0 | 0 | 5 | 0 | 0 | 90 | 36.431111 | 0 | 0 | 1 | 5 | 0 | 0 | 135 | 36.184792 | 0 | 0 | 9 | 4 | 0 | 0 |
Table A2.
List of captured and analyzed beetle species. The column “Individuals” is the sum of total catches per year.
Table A2.
List of captured and analyzed beetle species. The column “Individuals” is the sum of total catches per year.
| Species | Species Abbreviation | Trophic Level | 2008 | 2009 | 2013 | 2017 | 2018 | 2019 | Region |
|---|---|---|---|---|---|---|---|---|---|
| Individuals | |||||||||
| Amara dux | Amar.dux | herbivores | 112 | 9 | 3 | 67 | 17 | 15 | YC, GY |
| Amara harpaloides | Amar.har | herbivores | 0 | 0 | 0 | 11 | 5 | 12 | YC, GY |
| Amara helva | Amar.hel | herbivores | 0 | 0 | 0 | 9 | 40 | 4 | YC, GY |
| Amara sp | Amar.sp | herbivores | 0 | 0 | 0 | 15 | 16 | 0 | YC, GY |
| Broscus kozlovi | Bros.koz | predators | 0 | 0 | 10 | 8 | 3 | 4 | GY |
| Carabus anchocephalus | Cara.anc | predators | 0 | 0 | 0 | 85 | 21 | 0 | GY |
| Carabus brandti | Cara.bra | predators | 0 | 0 | 23 | 0 | 9 | 20 | YC |
| Carabus crassesculptus | Cara.cra | predators | 0 | 0 | 0 | 285 | 198 | 88 | GY |
| Carabus modestulus | Cara.mod | predators | 0 | 0 | 0 | 84 | 88 | 7 | GY |
| Carabus glyptoterus | Cara.gly | predators | 0 | 0 | 2055 | 868 | 177 | 130 | YC, GY |
| Carabus gigoloides | Cara.gig | predators | 0 | 0 | 0 | 168 | 329 | 192 | GY |
| Carabus sculptipennis | Cara.scu | predators | 0 | 0 | 0 | 377 | 73 | 62 | GY |
| Carabus vladimirskyi | Cara.vla | predators | 0 | 0 | 2318 | 1742 | 316 | 470 | GY |
| Callsoma anthrax | Call.ant | predators | 0 | 0 | 0 | 41 | 7 | 11 | GY |
| Calosoma chinense | Calo.chi | predators | 0 | 0 | 1 | 3 | 0 | 0 | GY |
| Calosoma lugens | Calo.lug | predators | 0 | 0 | 3 | 11 | 0 | 3 | YC, GY |
| Cymindis daimio | Cymi.dai | predators | 5 | 2 | 0 | 0 | 2 | 1 | YC, GY |
| Corsyra fusula | Cors.fus | herbivores | 20 | 51 | 0 | 3 | 4 | 3 | YC |
| Cymindis binotata | Cymi.bin | predators | 109 | 44 | 0 | 19 | 9 | 12 | YC, GY |
| Dolichus halensis | Doli.hal | predators | 62 | 62 | 235 | 3 | 0 | 0 | YC |
| Harpalus amplicollis | Harp.amp | predators | 6 | 5 | 0 | 0 | 0 | 0 | YC |
| Harpalus calceatus | Harp.cal | predators | 3 | 50 | 0 | 0 | 0 | 0 | YC |
| Harpalus crates | Harp.cra | predators | 26 | 12 | 0 | 0 | 0 | 0 | YC |
| Harpalus lumbaris | Harp.lum | herbivores | 0 | 0 | 0 | 11 | 3 | 1 | YC |
| Harpalus pallidipennis | Harp.pal | predators | 76 | 64 | 4 | 0 | 0 | 0 | YC |
| Harpalus salinus | Harp.sal | predators | 152 | 210 | 0 | 0 | 0 | 0 | YC |
| Poecilus gebleri | Poec.geb | predators | 383 | 436 | 0 | 947 | 158 | 26 | YC, GY |
| Pseudotaphoxenus brevipennis | Pseu.bre | predators | 160 | 106 | 24 | 0 | 0 | 0 | YC, GY |
| Pseudotaphoxenus rugipennis | Pseu.rug | predators | 0 | 0 | 0 | 301 | 62 | 39 | YC, GY |
| Pseudotaphoxenus mongolicus | Pseu.mon | predators | 539 | 260 | 86 | 77 | 14 | 32 | YC, GY |
| Poecilus fortipes | Poec.for | herbivores | 0 | 0 | 0 | 543 | 53 | 82 | GY |
| Reflexisphodrus reflexipennis | Refl.ref | predators | 0 | 0 | 0 | 368 | 78 | 20 | GY |
| Scarites terricola | Scar.ter | herbivores | 5 | 8 | 0 | 0 | 0 | 0 | YC |
| Zabrus potanini | Zabr.pot | herbivores | 0 | 0 | 0 | 116 | 8 | 9 | GY |
Table A3.
Result of the Generalized Additive Mode (*** p < 0.001).
Table A3.
Result of the Generalized Additive Mode (*** p < 0.001).
| Term | Environmental Factor | F | Sign | Adjusted Fit Factor (R2) | Generalized Cross Validation (GCV) | Deviance Explained (%) |
|---|---|---|---|---|---|---|
| Species richness | P + SM + Year | 88.16 | *** | 0.579 | 0.11 | 60.1% |
| Abundance | Year + P + Lat + PD + ST | 64.55 | *** | 0.506 | 0.31 | 71.9% |
Table A4.
The result of CCA.
Table A4.
The result of CCA.
| Item | CCA1 | CCA2 | CCA3 | CCA4 |
|---|---|---|---|---|
| Eigenvalue | 0.6088 | 0.4060 | 0.2652 | 0.1310 |
| Explained variation | 31.9 | 57.75 | 71.64 | 85.50 |
| Explained fitted variation | 39.41 | 65.70 | 82.87 | 91.35 |
References
- Hallmann, C.A.; Sorg, M.; Jongejans, E.; Jongejans, E.; Siepel, H.; Hofland, N.; Schwan, H.; Stenmans, W.; Müller, A.; Sumser, H.; et al. More than 75 percent decline over 27 years in total flying insect biomass in protected areas. PLoS ONE 2017, 12, e0185809. [Google Scholar] [CrossRef] [Green Version]
- Öckinger, E.; Smith, H.G. Semi-natural grasslands as population sources for pollinating insects in agricultural landscapes. J. Appl. Ecol. 2007, 44, 50–59. [Google Scholar] [CrossRef]
- Ollerton, J.; Winfree, R.; Tarrant, S. How many flowering plants are pollinated by animals? Oikos 2011, 120, 321–326. [Google Scholar] [CrossRef]
- Yang, L.H.; Gratton, C. Insects as drivers of ecosystem processes. Curr. Opin. Insect Sci. 2014, 2, 26–32. [Google Scholar] [CrossRef]
- Powney, G.D.; Carvell, C.; Edwards, M.; Morris, R.K.A.; Roy, H.E.; Woodcock, B.A.; Isaac, N.J.B. Widespread losses of pollinating insects in Britain. Nat. Commun. 2019, 10, 1018. [Google Scholar] [CrossRef]
- Gallai, N.; Salles, J.M.; Settele, J.; Vaissiere, B.E. Economic valuation of the vulnerability of world agriculture confronted with pollinator decline. Ecol. Econ. 2009, 68, 810–821. [Google Scholar] [CrossRef]
- Macgregor, C.J.; Williams, J.H.; Bell, J.R.; Thomas, C.D. Moth biomass increases and decreases over 50 years in Britain. Nat. Ecol. Evol. 2019, 3, 1645–1649. [Google Scholar] [CrossRef]
- Ollerton, J.; Erenler, H.; Edwards, M.; Crockett, R. Extinctions of aculeate pollinators in Britain and the role of large-scale agricultural changes. Science 2014, 346, 1360–1362. [Google Scholar] [CrossRef] [Green Version]
- Aizen, M.A.; Garibaldi, L.A.; Cunningham, S.A.; Klein, A.M. How much does agriculture depend on pollinators? Lessons from long-term trends in crop production. Ann. Bot. 2009, 9, 1579–1588. [Google Scholar] [CrossRef]
- Losey, J.E.; Vaughan, M. The economic value of ecological services provided by insects. Bioscience 2006, 56, 311–323. [Google Scholar] [CrossRef] [Green Version]
- Lister, B.C.; Garcia, A. Climate-driven declines in arthropod abundance restructure a rainforest food web. Proc. Natl. Acad. Sci. USA 2018, 115, E10397–E10406. [Google Scholar] [CrossRef] [Green Version]
- Leather, S.R. “Ecological Armageddon”—More evidence for the drastic decline in insect numbers. Ann. Appl. Biol. 2018, 172, 1–3. [Google Scholar] [CrossRef] [Green Version]
- Brooks, D.R.; Bater, J.E.; Clark, S.J.; Monteith, D.T.; Andrews, C.; Corbett, S.J.; Beaumont, D.A.; Chapman, J.W. Large carabid beetle declines in a United Kingdom monitoring network increases evidence for a widespread loss in insect biodiversity. J. Appl. Ecol. 2012, 49, 1009–1019. [Google Scholar] [CrossRef]
- Cardinale, B.; Emmett Duffy, J.; Gonzalez, A.; Hooper, D.; Perrings, C.; Venail, P.; Narwani, A.; Mace, G.; Tilman, D.; A Wardle, D. Biodiversity loss and its impact on humanity. Nature 2012, 486, 59–67. [Google Scholar] [CrossRef] [PubMed]
- Oliver, T.H.; Isaac, N.J.B.; August, T.A.; Woodcock, B.A.; Roy, D.B.; Bullock, J.M. Declining resilience of ecosystem functions under biodiversity loss. Nat. Commun. 2015, 6, 10122. [Google Scholar] [CrossRef] [Green Version]
- Maes, D.; Dyck, H.V. Butterfly diversity loss in Flanders (north Belgium): Europe’s worst case scenario? Biol. Conserv. 2001, 99, 263–276. [Google Scholar] [CrossRef]
- Ashton, L.A.; Griffiths, H.M.; Parr, C.L.; Evans, T.A.; Didham, R.K.; Hasan, F.; Teh, Y.A.; Tin, H.S.; Vairappan, C.S.; Eggleton, P. Termites mitigate the effects of drought in tropical rainforest. Science 2019, 363, 174–177. [Google Scholar] [CrossRef] [Green Version]
- Habel, J.C.; Samways, M.J.; Schmitt, T. Mitigating the precipitous decline of terrestrial European insects: Requirements for a new strategy. Biodivers. Conserv. 2019, 28, 1343–1360. [Google Scholar] [CrossRef]
- Wagner, D.L. Insect declines in the Anthropocene. Annu. Rev. Entomol. 2020, 65, 457–480. [Google Scholar] [CrossRef] [Green Version]
- Seibold, S.; Gossner, M.M.; Simons, N.K.; Blüthgen, N.; Müller, J.; Ambarl, D.; Ammer, C.; Bauhus, J.; Fischer, M.; Habel, J.C. Arthropod decline in grasslands and forests is associated with landscape-level drivers. Nature 2019, 574, 671–674. [Google Scholar] [CrossRef]
- Desquilbet, M.; Gaume, L.; Grippa, M.; Cereghino, R.; Goulson, D. Comment on “Meta-analysis reveals declines in terrestrial but increases in freshwater insect abundances”. Science 2020, 370, 417–420. [Google Scholar] [CrossRef]
- Nemesio, A. Are orchid bees at risk? First comparative survey suggests declining opulations of forest-dependent species. Braz. J. Biol. 2013, 73, 367–374. [Google Scholar] [CrossRef] [Green Version]
- Welti, E.A.; Roeder, K.A.; de Beurs, K.M.; Joern, A.; Kaspari, M. Nutrient dilution and climate cycles underlie declines in a dominant insect herbivore. Proc. Nat. Acad. Sci. USA 2020, 117, 7271–7275. [Google Scholar] [CrossRef]
- Walpole, M.; Almond, R.E.A.; Besancon, C.; Butchard, S.H.M.; Campbell-Lendrum, D.; Carr, G.M.; Collen, B.; Collette, L.; Davidson, N.C.; Dulloo, E.; et al. Tracking progress toward the 2010 biodiversity target and beyond. Science 2009, 325, 1503–1504. [Google Scholar] [CrossRef]
- Tsafack, N.; Rebaudo, F.; Wang, H.; Nagy, D.D.; Xie, Y.Z.; Wang, X.P.; Fattorini, S. Carabid community structure in northern China grassland ecosystems: Effects of local habitat on species richness, species composition and functional diversity. PeerJ 2019, 6, e2197. [Google Scholar] [CrossRef] [PubMed]
- Arya, M.K.; Dayakrishna; Verma, A. Patterns in distribution of butterfly assemblages at different habitats of Corbett Tiger Reserve, Northern India. Trop. Ecol. 2020, 61, 1–7. [Google Scholar] [CrossRef]
- Butchart, S.H.M. Global biodiversity: Indicators of recent declines. Science 2010, 328, 1164–1168. [Google Scholar] [CrossRef] [PubMed]
- Kotze, D.J.; Brandmayr, P.; Casale, A.; Dauffy-richard, E.; Dekoninck, W.; Koivula, M.J.; Lövei, G.L.; Mossakowski, D.; Noordijk, J.; Paarmann, W.; et al. Forty years of carabid beetle research in Europe—From taxonomy, biology, ecology and population studies to bioindication, habitat assessment and conservation. ZooKeys 2011, 100, 55–148. [Google Scholar] [CrossRef] [PubMed]
- Thiele, H.-U. Carabid Beetles in Their Environments; Springer: Berlin, Germany, 1977. [Google Scholar]
- Pozsgai, G.; Baird, J.; Littlewood, N.; Pakeman, R. Phenological changes of the most commonly sampled ground beetle (Coleoptera: Carabidae) species in the UK environmental change network. Int. J. Biometeorol. 2018, 62, 1063–1074. [Google Scholar] [CrossRef] [PubMed]
- Thomas, J.A. Why small cold-blooded insects pose different conservation problems to birds in modern landscapes. Ibis 1994, 137, 112–119. [Google Scholar] [CrossRef]
- Lovei, G.L.; Sunderland, K.D. The ecology and behavior of ground beetles. Annu. Rev. Entomol. 1996, 41, 231–256. [Google Scholar] [CrossRef] [PubMed]
- Mazancourt, C.D.; Isbell, F.; Larocque, A.; Berendse, F.; Luca, E.D.; Grace, J.B.; Haegeman, B.; Polley, H.W.; Roscher, C.; Schmid, B. Predicting ecosystem stability from community composition and biodiversity. Ecol. Lett. 2013, 16, 617–625. [Google Scholar] [CrossRef] [Green Version]
- Glendining, M.J.; Dailey, A.G.; Williams, A.G.; Evert, F.K.V.; Goulding, K.W.T.; Whitmore, A.P. Is it possible to increase the sustainability of arable and ruminant agriculture by reducing inputs? Agric. Syst. 2009, 99, 117–125. [Google Scholar] [CrossRef] [Green Version]
- Wilson, R.J.; Fox, R. Insect responses to global change offer signposts for biodiversity and conservation. Ecol. Entomol. 2020, 46, 699–717. [Google Scholar] [CrossRef]
- Paul, K.; Nicolas, F.; David, A.W. Long-term effects of species loss on community properties across contrasting ecosystems. Nature 2018, 557, 710–713. [Google Scholar]
- Kehoe, R.; Frago, E.; Sanders, D. Cascading extinctions as a hidden driver of insect decline. Ecol. Entomol. 2021, 46, 743–756. [Google Scholar] [CrossRef]
- Tilman, D.; Reich, P.B.; Knops, J. Biodiversity and ecosystem stability in a decade-long grassland experiment. Nature 2006, 441, 629–632. [Google Scholar] [CrossRef]
- Reich, P.B.; Tilman, D.; Isbell, F.; Mueller, K.; Hobbie, S.E.; Flynn, D.; Eisenhauer, N. Impacts of biodiversity loss escalate through time as redundancy fades. Science 2012, 336, 589–592. [Google Scholar] [CrossRef] [Green Version]
- Guerrero-Ramirez, N.R.; Craven, D.; Reich, P.B.; Ewel, J.J.; Isbell, F.; Koricheva, J.; Parrotta, J.A.; Auge, H.; Erickson, H.E.; Forrester, D.I.; et al. Diversity-dependent temporal divergence of ecosystem functioning in experimental ecosystems. Nat. Ecol. Evol. 2017, 1, 1639–1642. [Google Scholar] [CrossRef] [PubMed]
- Parmesan, C.; Yohe, G.A. Globally coherent fingerprint of climate change impacts across natural systems. Nature 2003, 421, 37–42. [Google Scholar] [CrossRef]
- Hooper, D.U.; Adair, E.C.; Cardinale, B.J.; Byrnes, J.; Hungate, B.A.; Matulich, K.L.; Gonzalez, A.; Duffy, J.E.; Gamfeldt, L.; Connor, M.O. A global synthesis reveals biodiversity loss as a major driver of ecosystem change. Nature 2012, 486, 105–108. [Google Scholar] [CrossRef] [PubMed]
- Strebel, G.; Jacot, A.; Horch, P.; Spaar, R.; Fletcher, R. Effects of grassland intensification on whinchats Saxicola rubetra and implications for conservation in upland habitats. Ibis 2015, 157, 250–259. [Google Scholar] [CrossRef]
- Lu, Y.H.; Fu, B.J.; Wei, W.; Yu, X.B.; Sun, R.H. Major ecosystems in China: Dynamics and challenges for sustainable management. Environ. Manag. 2011, 48, 13–27. [Google Scholar] [CrossRef] [PubMed]
- Wei, S.H.; Huang, W.G.; Zhu, M.M.; Gao, L.Y.; Zhao, Z.H. The asymmetric responses of carabid beetles to steppe fragmentation in Northwest China. Glob. Ecol. Conserv. 2020, 23, e01058. [Google Scholar] [CrossRef]
- Tsafack, N.; Xie, Y.Z.; Wang, X.P.; Fattorini, S. Influence of climate and local habitat characteristics on carabid beetle abundance and diversity in northern Chinese steppes. Insects 2020, 11, 19. [Google Scholar] [CrossRef] [PubMed] [Green Version]
- Tsafack, N.; Fattorini, S.; Benavides Frias, C.; Xie, Y.Z.; Wang, X.P.; Rebaudo, F. Competing vegetation structure indices for estimating spatial constrains in carabid abundance patterns in Chinese grasslands reveal complex scale and habitat patterns. Insects 2020, 11, 249. [Google Scholar] [CrossRef]
- Kang, L.; Han, X.; Zhang, Z.; Sun, O.J. Grassland ecosystems in China: Review of current knowledge and research advancement. Philos. Trans. R. Soc. Lond. 2007, 362, 997–1008. [Google Scholar] [CrossRef]
- Liu, X.Q.; Wang, H.; He, D.H.; Wang, X.P.; Bai, M. The modeling and forecasting of carabid beetle distribution in northwestern China. Insects 2021, 12, 168. [Google Scholar] [CrossRef] [PubMed]
- Roswell, M.; Dushoff, J.; Winfree, R. A conceptual guide to measuring species diversity. Oikos 2021, 130, 321–338. [Google Scholar] [CrossRef]
- Hsieh, T.C.; Ma, K.H.; Chao, A. iNEXT: An R package for rarefaction and extrapolation of species diversity (Hill numbers). Methods. Ecol. Evol. 2016, 7, 1451–1456. [Google Scholar]
- Lehmann, A.; Overton, J.M.; Leathwick, J.R. GRASP: Generalized regression analysis and spatial prediction. Ecol. Model. 2002, 160, 165–183. [Google Scholar] [CrossRef]
- Guisan, A.; Edwards, T.C.; Hastie, T. Generalized linear and generalized additive models in studies of species distributions: Setting the scene. Ecol. Model. 2002, 157, 89–100. [Google Scholar] [CrossRef] [Green Version]
- Hastie, T.; Tibshirani, R. Generalized Additive Models. Stat. Sci. 1986, 1, 297–310. [Google Scholar] [CrossRef]
- Colwell, R.K.; Gotelli, N.J.; Ashton, L.A.; Beck, J.; Brehm, G.; Fayle, T.M.; Fiedler, K.; Forister, M.L.; Kessler, M.; Kitching, R.L. Midpoint attractors and species richness: Modelling the interaction between environmental drivers and geometric constraints. Ecol. Lett. 2016, 19, 1009–1022. [Google Scholar] [CrossRef] [Green Version]
- Griffin, J.N.; Byrnes, J.E.K.; Cardinale, B.J. Effects of predator richness on prey suppression: A meta-analysis. Ecology 2013, 94, 2180–2187. [Google Scholar] [CrossRef]
- van Strien, A.J.; van Swaay, C.A.M.; van Strien-van Liempt, W.T.F.H.; Poot, M.J.M.; WallisDeVries, M.F. Over a century of data reveal more than 80% decline in butterflies in the netherlands. Biol. Conserv. 2019, 234, 116–122. [Google Scholar] [CrossRef]
- Homburg, K.; Drees, C.; Boutaud, E.; Nolte, D.; Schuett, W.; Zumstein, P.; Von Ruschkowski, E.; Assmann, T. Where have all the beetles gone? Long—Term study reveals carabid species decline in a nature reserve in northern Germany. Insect Conserv. Diver. 2019, 12, 268–277. [Google Scholar] [CrossRef] [Green Version]
- Conrad, K.F.; Warren, M.S.; Fox, R.; Parsons, M.S.; Woiwod, I.P. Rapid declines of common, widespread British moths provide evidence of an insect biodiversity crisis. Biol. Conserv. 2006, 132, 279–291. [Google Scholar] [CrossRef]
- Magurran, A.E.; Baillie, S.R.; Buckland, S.T.; Dick, J.M.; Elston, D.A.; Scott, E.M.; Smith, R.I.; Somerfield, P.J.; Watt, A.D. Long-term datasets in biodiversity research and monitoring: Assessing change in ecological communities through time. Trends Ecol. Evol. 2010, 25, 574–582. [Google Scholar] [CrossRef]
- IPCC. The Third Climate Change Assessment in China; Science Press: Beijing, China, 2015. [Google Scholar]
- Rossolimo, T. Temperature adaptations of Siberian Pterostichus species (Coleoptera: Carabidae). Eur. J. Entomol. 1997, 94, 235–242. [Google Scholar]
- Saska, P.; Martinkova, Z.; Honek, A. Temperature and rate of seed consumption by ground beetles (Carabidae). Biol. Control 2010, 52, 91–95. [Google Scholar] [CrossRef]
- Winkler, M.; Illmer, P.; Querner, P.; Fischer, B.M.; Hofmann, K.; Lamprecht, A.; Praeg, N.; Schied, J.; Steinbauer, K.; Pauli, H. Side by side? Vascular plant, invertebrate, and microorganism distribution patterns along an alpine to nival elevation gradient. Arct. Antarct. Alp. Res. 2018, 50, e1475951. [Google Scholar] [CrossRef] [Green Version]
- Thomas, C.D.; Bodsworth, E.J.; Wilson, R.J.; Simmons, A.D.; Conradt, L. Ecological and evolutionary processes at expanding range margins. Nature 2001, 411, 577–581. [Google Scholar] [CrossRef]
- Death, R.G.; Zimmermann, E.M. Interaction between disturbance and primary productivity in determining stream invertebrate diversity. Oikos 2005, 111, 392–402. [Google Scholar] [CrossRef]
- Thomas, J.A. Monitoring change in the abundance and distribution of insects using butterflies and other indicator groups. Philos. Trans. R. Soc. B 2005, 360, 339–357. [Google Scholar] [CrossRef] [PubMed]
- Morecroft, M.D.; Bealey, C.E.; Beaumont, D.A.; Benham, S.; Brooks, D.R.; Burt, T.P.; Critchley, C.N.R.; Dick, J.; Littlewood, N.A.; Monteith, D.T.; et al. The UK Environmental Change Network: Emerging trends in the composition of plant and animal communities and the physical environment. Biol. Conserv. 2009, 142, 2814–2832. [Google Scholar] [CrossRef]
- Yang, Y.; Dou, Y.; An, S. Environmental driving factors affecting plant biomass in natural grassland in the loess plateau, China. Ecol. Indic. 2017, 82, 250–259. [Google Scholar] [CrossRef]
- Desender, K.; Dekoninck, W.; Dufrêne, M.; Maes, D. Changes in the distribution of carabid beetles in Belgium revisited: Have we halted the diversity loss? Biol. Conserv. 2010, 143, 1549–1557. [Google Scholar] [CrossRef]
- Kotze, J.D.; O’Hara, R.B. Species decline—But why? Explanations of carabid beetle (Coleoptera, Carabidae) declines in Europe. Oecologia 2003, 135, 138–148. [Google Scholar]
- Fattorini, S.; Dapporto, L.; Strona, G.; Borges, P.A.V. Calling for a new strategy to measure environmental (habitat) diversity in island biogeography: A case study of Mediterranean tenebrionids (Coleoptera: Tenebrionidae). Fragm. Entomol. 2015, 47, 1–14. [Google Scholar] [CrossRef]
- Høye, T.T.; Thackeray, S.; Henrys, P.A.; Hemming, D.; Bell, J.R.; Botham, M.S.; Burthe, S.; Helaouet, P.; Johns, D.; Jones, I.D. Taxonomic and trophic-level differences in the climate sensitivity of seasonal events. In Proceedings of the Agu Fall Meeting, San Francisco, CA, USA, 14–18 December 2015. [Google Scholar]
- Koivula, M.J. Useful model organisms, indicators, or both? Ground beetles (Coleoptera, Carabidae) reflecting environmental conditions. Zookeys 2011, 100, 287–317. [Google Scholar] [CrossRef] [PubMed] [Green Version]
- Simone, F. Disentangling the effects of available area, mid-domain constraints, and species environmental tolerance on the altitudinal distribution of tenebrionid beetles in a mediterranean area. Biodivers. Conserv. 2014, 23, 2545–2560. [Google Scholar]
- Gossner, M.M.; Lewinsohn, T.M.; Kahl, T.; Grassein, F.; Boch, S.; Prati, D.; Birkhofer, K.; Renner, S.C.; Sikorski, J.; Wubet, T.; et al. Land-use intensification causes multitrophic homogenization of grassland communities. Nature 2016, 540, 266. [Google Scholar] [CrossRef]
- Wallisdevries, M.F.; Poschlod, P.; Willems, J.H. Challenges for the conservation of calcareous grasslands in northwestern Europe: Integrating the requirements of flora and fauna. Biol. Conserv. 2002, 104, 265–273. [Google Scholar] [CrossRef]
- Warren, M.S.; Maes, D.; Swaay, C.A.M.V.; Goffart, P.; Ellis, S. The decline of butterflies in Europe: Problems, significance, and possible solutions. Proc. Natl. Acad. Sci. USA 2021, 118, e2002551117. [Google Scholar] [CrossRef]
- Barber, N.A.; Lamagdeleine-Dent, K.A.; Willand, J.E.; Jones, H.P.; McCravy, K.W. Species and functional trait re-assembly of ground beetle communities in restored grasslands. Biodivers. Conserv. 2017, 26, 3481–3498. [Google Scholar] [CrossRef]
- Rainio, J.; Niemel, J. Ground beetles (Coleoptera: Carabidae) as bioindicators. Biodivers. Conserv. 2003, 12, 487–506. [Google Scholar] [CrossRef]
- Baselga, A. Determinants of species richness, endemism and turnover in European longhorn beetles. Ecography 2008, 31, 263–271. [Google Scholar] [CrossRef]
- Vamosi, S.M.; Naydani, C.J.; Vamosi, J.C. Body size and species richness along geographical gradients in Albertan diving beetle (Coleoptera: Dytiscidae) communities. Can. J. Zool. 2007, 85, 443–449. [Google Scholar] [CrossRef]
Publisher’s Note: MDPI stays neutral with regard to jurisdictional claims in published maps and institutional affiliations. |
© 2021 by the authors. Licensee MDPI, Basel, Switzerland. This article is an open access article distributed under the terms and conditions of the Creative Commons Attribution (CC BY) license (https://creativecommons.org/licenses/by/4.0/).







