Occurrence and Abundance of Dermacentor reticulatus in the Habitats of the Ecological Corridor of the Wieprz River, Eastern Poland
Abstract
Simple Summary
Abstract
1. Introduction
2. Materials and Methods
2.1. Study Area
2.2. Tick Surveillance
2.3. Statistical Analysis
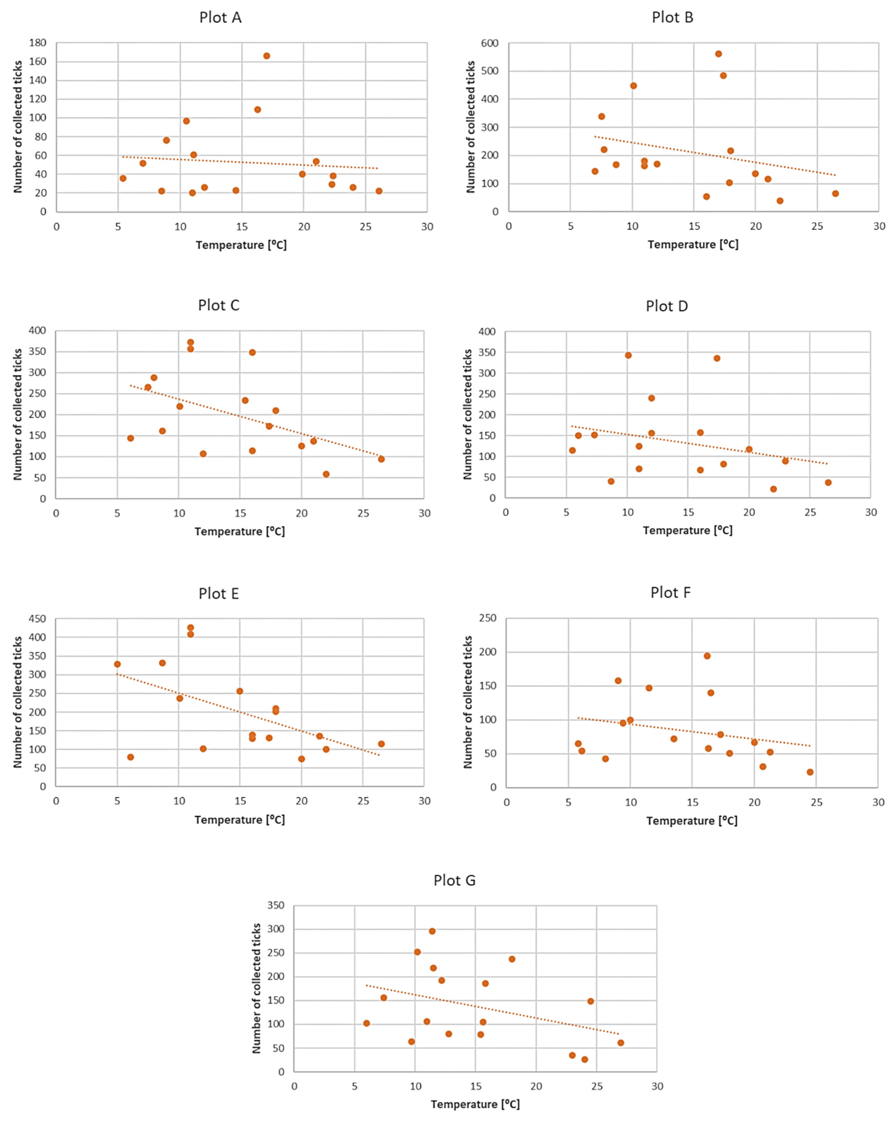
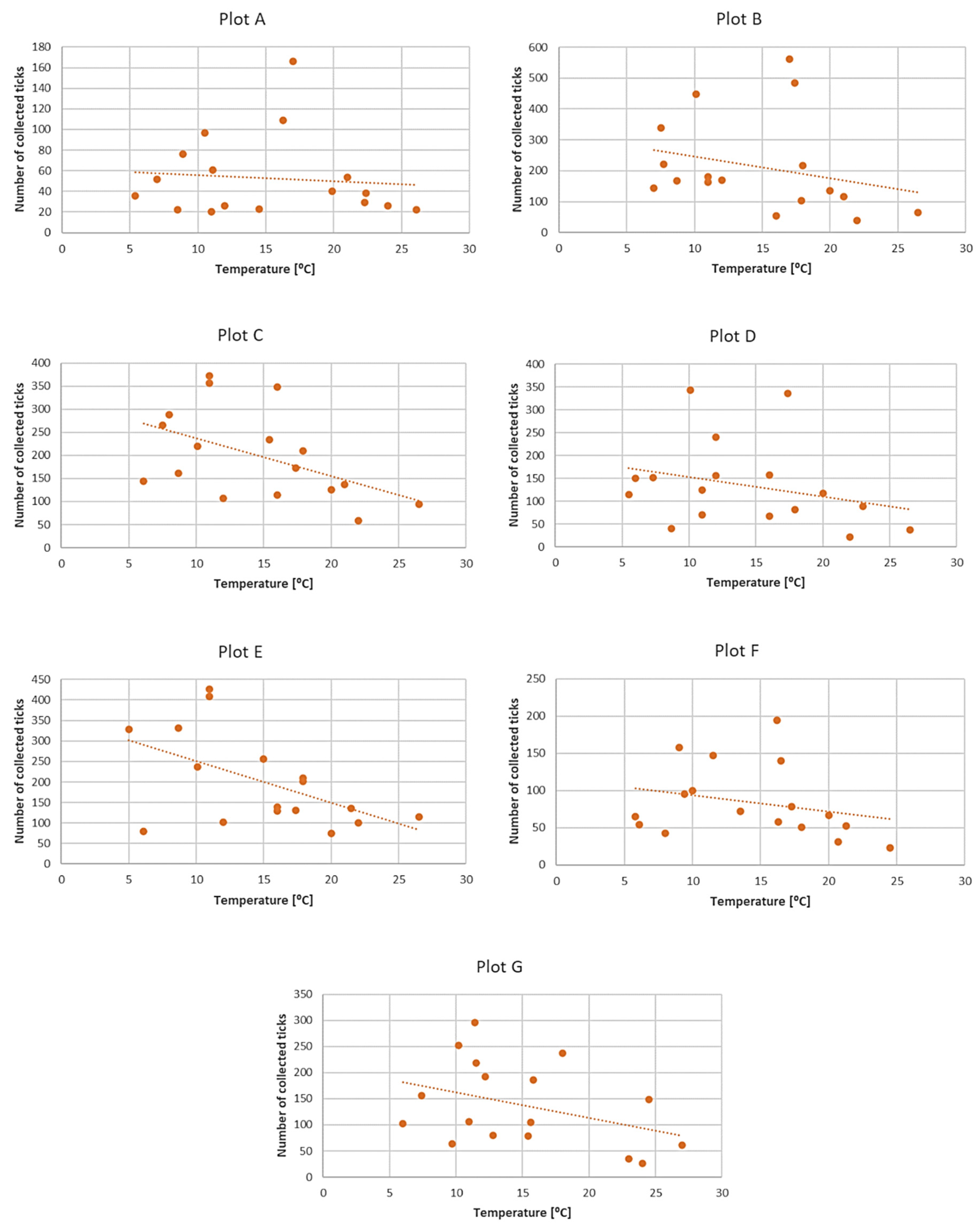
3. Results
3.1. Occurrence and Relative Abundance of Local Dermacentor reticulatus Populations
3.2. Impact of Weather Conditions on Tick Activity
4. Discussion
5. Conclusions
Author Contributions
Funding
Institutional Review Board Statement
Data Availability Statement
Conflicts of Interest
Appendix A

References
- Rodriguez-Iturbe, I.; Muneepeerakul, R.; Bertuzzo, E.; Levin, S.A.; Rinaldo, A. River networks as ecological corridors: A complex systems perspective for integrating hydrologic, geomorphologic, and ecologic dynamics. Water Resour. Res. 2009, 45. [Google Scholar] [CrossRef]
- Romanowski, J. Vistula river valley as the ecological corridor for mammals. Pol. J. Ecol. 2007, 55, 805. [Google Scholar]
- Peng, J.; Zhao, H.; Liu, Y. Urban ecological corridors construction: A review. Acta Ecol. Sin. 2017, 37, 23–30. [Google Scholar] [CrossRef]
- Available online: https://inspire.ec.europa.eu/codelist/SupplementaryRegulationValue/1_4_1_EcologicalCorridor (accessed on 1 November 2020).
- Bruinderink, G.G.; Van Der Sluis, T.; Lammertsma, D.; Opdam, P.; Pouwels, R. Designing a coherent ecological network for large mammals in northwestern Europe. Conserv. Biol. 2003, 17, 549–557. [Google Scholar] [CrossRef]
- Wojciechowski, K. Wdrażanie idei korytarzy ekologicznych. In Problemy Ekologii Krajobrazu; Ciszewska, A., Ed.; Wydawnictwo SGGW: Warszawa, Polska, 2004; Volume 14, pp. 221–228. ISBN 83-7244-586-9. [Google Scholar]
- Jędrzejewski, W.; Nowak, S.; Stachura, K.; Skierczyński, M.; Mysłajek, R.W.; Niedziałkowski, K.; Jędrzejewska, B.; Wójcik, J.M.; Zalewska, H.; Pilot, M.; et al. Projekt Korytarzy Ekologicznych Łączących Europejską Sieć Natura 2000 w Polsce; Zakład Badania Ssaków PAN: Białowieża, Poland, 2011; Available online: https://korytarze.pl/mapa/mapa-korytarzy-ekologicznych-w-polsce (accessed on 1 November 2020).
- Scott, J.D.; Foley, J.E.; Anderson, J.F.; Clark, K.L.; Durden, L.A. Detection of Lyme disease bacterium, Borrelia burgdorferi sensu lato, in blacklegged ticks collected in the Grand River Valley, Ontario, Canada. Int. J. Med. Sci. 2017, 14, 150. [Google Scholar] [CrossRef] [PubMed]
- Weisbrod, A.R.; Johnson, R.C. Lyme disease and migrating birds in the Saint Croix River Valley. Appl. Environ. Microbiol. 1989, 55, 1921–1924. [Google Scholar] [CrossRef] [PubMed]
- Pistone, D.; Pajoro, M.; Fabbi, M.; Vicari, N.; Marone, P.; Genchi, C.; Bandi, C. Lyme borreliosis, Po River Valley, Italy. Emerg. Infect. Dis. 2010, 16, 1289. [Google Scholar] [CrossRef]
- Wilkinson, P.R. The distribution of Dermacentor ticks in Canada in relation to bioclimatic zones. Can. J. Zool. 1967, 45, 517–537. [Google Scholar] [CrossRef]
- Zygner, W.; Górski, P.; Wedrychowicz, H. New localities of Dermacentor reticulatus tick (vector of Babesia canis canis) in central and eastern Poland. Pol. J. Vet. Sci. 2009, 12, 549. [Google Scholar]
- Kohn, M.; Krücken, J.; McKay-Demeler, J.; Pachnicke, S.; Krieger, K.; von Samson-Himmelstjerna, G. Dermacentor reticulatus in Berlin/Brandenburg (Germany): Activity patterns and associated pathogens. Ticks Tick Borne Dis. 2019, 10, 191–206. [Google Scholar] [CrossRef]
- Földvári, G.; Široký, P.; Szekeres, S.; Majoros, G.; Sprong, H. Dermacentor reticulatus: A vector on the rise. Parasit. Vectors 2016, 9, 314. [Google Scholar] [CrossRef] [PubMed]
- Oteo, J.A.; Portillo, A. Tick-borne rickettsioses in Europe. Ticks Tick Borne Dis. 2012, 3, 271–278. [Google Scholar] [CrossRef] [PubMed]
- Zając, V.; Wójcik-Fatla, A.; Sawczyn, A.; Cisak, E.; Sroka, J.; Kloc, A.; Zając, Z.; Buczek, A.; Dutkiewicz, J.; Bartosik, K. Prevalence of infections and co-infections with 6 pathogens in Dermacentor reticulatus ticks collected in eastern Poland. Ann. Agric. Environ. Med. 2017, 24, 26–32. [Google Scholar] [CrossRef] [PubMed]
- Ličková, M.; Havlíková, S.F.; Sláviková, M.; Slovák, M.; Drexler, J.F.; Klempa, B. Dermacentor reticulatus is a vector of tick-borne encephalitis virus. Ticks Tick Borne Dis. 2020, 11, 101414. [Google Scholar] [CrossRef] [PubMed]
- Mierzejewska, E.J.; Estrada-Peña, A.; Alsarraf, M.; Kowalec, M.; Bajer, A. Mapping of Dermacentor reticulatus expansion in Poland in 2012–2014. Ticks Tick Borne Dis. 2016, 7, 94–106. [Google Scholar] [CrossRef] [PubMed]
- Kiewra, D.; Szymanowski, M.; Czułowska, A.; Kolanek, A. The local-scale expansion of Dermacentor reticulatus ticks in Lower Silesia, SW Poland. Ticks Tick Borne Dis. 2020, 101599. [Google Scholar] [CrossRef]
- Kubiak, K.; Sielawa, H.; Dziekońska-Rynko, J.; Kubiak, D.; Rydzewska, M.; Dzika, E. Dermacentor reticulatus ticks (Acari: Ixodidae) distribution in north-eastern Poland: An endemic area of tick-borne diseases. Exp. App. Acarol. 2018, 75, 289–298. [Google Scholar] [CrossRef]
- Zając, Z.; Woźniak, A.; Kulisz, J. Density of Dermacentor reticulatus Ticks in Eastern Poland. Int. J. Environ. Res. 2020, 17, 2814. [Google Scholar] [CrossRef]
- Piekarska, K. Fizjografia dolin rzecznych Bugu, Wieprza, Tyśmienicy. In Ptaki Wybranych Dolin Rzecznych Lubelszczyzny; Piotrowska, M., Piekarska, K., Jobda, M., Rzepkowski, R., Jujka-Radziewicz, M., Stasiak, K., Krogulec, J., Ebertowska, B., Choroś, J., Eds.; OTOP Press: Marki, Polska, 2016; pp. 11–20. ISBN 978-83-89830-26-5. [Google Scholar]
- Gallé, L.; Margóczi, K.; Kovács, É.; Györffy, G.; Körmöczi, L.; Németh, L. River valleys: Are they ecological corridors. Tiscia 1995, 29, 53–58. [Google Scholar]
- Kondracki, J. Geografia Regionalna Polski; Wydawnictwo Naukowe PWN: Warszawa, Polska, 2000; ISBN 9788301160227. [Google Scholar]
- Matuszkiewicz, W. Przewodnik do Oznaczania Zbiorowisk Roślinnych Polski; Wydawnictwo Naukowe PWN: Warszawa, Poland, 2001; Volume 3. [Google Scholar]
- Geoportal. Available online: https://mapy.geoportal.gov.pl/imap/Imgp_2.html (accessed on 1 November 2020).
- Lu, D.; Weng, Q. A survey of image classification methods and techniques for improving classification performance. Int. J. Remote Sens. 2007, 28, 823–870. [Google Scholar] [CrossRef]
- Lechowski, Ł. Analiza zmian pokrycia terenu wokół autostrad za pomocą metod GIS. Acta Univ. Lodz. Folia Geogr. Socio-Oeconomica 2013, 14, 59–76. [Google Scholar]
- Buczek, A.; Zając, Z.; Woźniak, A.; Bartosik, K. Locomotor activity of adult Dermacentor reticulatus ticks (Ixodida: Ixodidae) in natural conditions. Ann. Agric. Environ. Med. 2017, 24, 271–275. [Google Scholar] [CrossRef] [PubMed]
- Bartosik, K.; Wiśniowski, Ł.; Buczek, A. Questing behavior of Dermacentor reticulatus adults (Acari: Amblyommidae) during diurnal activity periods in eastern Poland. J. Med. Entomol. 2012, 49, 859–864. [Google Scholar] [CrossRef] [PubMed]
- Nowak-Chmura, M. Fauna kleszczy (Ixodida) Europy Środkowej; Wydawnictwo Naukowe Uniwersytetu Pedagogicznego: Kraków, Polska, 2013; ISBN 978-83-7271-829-7. [Google Scholar]
- Kiewra, D.; Czułowska, A.; Lonc, E. Winter activity of Dermacentor reticulatus (Fabricius, 1794) in the newly emerging population of Lower Silesia, south-west Poland. Ticks Tick Borne Dis. 2016, 7, 1124–1127. [Google Scholar] [CrossRef] [PubMed]
- Zajac, Z.; Bartosik, K.; Buczek, A. Factors influencing the distribution and activity of Dermacentor reticulatus (F.) ticks in an anthropopressure-unaffected area in central-eastern Poland. Ann. Agric. Environ. Med. 2016, 23, 270–275. [Google Scholar] [CrossRef] [PubMed]
- Buczek, A.; Bartosik, K.; Wisniowski, L.; Tomasiewicz, K. Changes in population abundance of adult Dermacentor reticulatus (Acari: Amblyommidae) in long-term investigations in eastern Poland. Ann. Agric. Environ. Med. 2013, 20, 269–272. [Google Scholar] [PubMed]
- Vail, S.G.; Smith, G. Air temperature and relative humidity effects on behavioral activity of blacklegged tick (Acari: Ixodidae) nymphs in New Jersey. J. Med. Entomol. 1998, 35, 1025–1028. [Google Scholar] [CrossRef]
- Li, S.; Gilbert, L.; Vanwambeke, S.O.; Yu, J.; Purse, B.V.; Harrison, P.A. Lyme disease risks in Europe under multiple uncertain drivers of change. Environ. Health Perspect. 2019, 127, 067010. [Google Scholar] [CrossRef]
- Süss, J.; Klaus, C.; Gerstengarbe, F.W.; Werner, P.C. What makes ticks tick? Climate change, ticks, and tick-borne diseases. J. Travel. Med. 2008, 15, 39–45. [Google Scholar] [CrossRef]
- Belozerov, V.N. Diapause and biological rhythms in ticks. In Physiology of Ticks, 1st ed.; Obenchain, F.D., Galun, R., Eds.; Pergamon Press: Oxford, UK, 1982; pp. 469–500. ISBN 978-0-08-024937-7. [Google Scholar]
- Knülle, W.; Rudolph, D. Humidity relationships and water balance of ticks. In Physiology of Ticks, 1st ed.; Obenchain, F.D., Galun, R., Eds.; Pergamon Press: Oxford, UK, 1982; pp. 43–70. ISBN 978-0-08-024937-7. [Google Scholar]
- Hair, J.A.; Sauer, J.R.; Durham, K.A. Water balance and humidity preference in three species of ticks. J. Med. Entomol. 1975, 12, 37–47. [Google Scholar] [CrossRef]
- Rubel, F.; Brugger, K.; Pfeffer, M.; Chitimia-Dobler, L.; Didyk, Y.M.; Leverenz, S.; Kahl, O. Geographical distribution of Dermacentor marginatus and Dermacentor reticulatus in Europe. Ticks Tick Borne Dis. 2016, 7, 224–233. [Google Scholar] [CrossRef] [PubMed]
- Zając, Z.; Woźniak, A.; Kulisz, J. Infestation of dairy cows by ticks Dermacentor reticulatus (Fabricius, 1794) and Ixodes ricinus (Linnaeus, 1758) in eastern Poland. Ann. Parasitol. 2020, 66, 87–96. [Google Scholar] [CrossRef] [PubMed]
- Biaduń, W. New habitats of Dermacentor reticulatus (Fabricius, 1794) in the Lublin region. Ann. Parasitol. 2011, 5, 83. [Google Scholar]
- Razumova, I.V. The activity of Dermacentor reticulatus Fabr.(Ixodidae) ticks in nature. Med. Parzitol. (Mosk) 1998, 4, 8–14. [Google Scholar]
- Bajer, A.; Rodo, A.; Alsarraf, M.; Dwużnik, D.; Behnke, J.M.; Mierzejewska, E.J. Abundance of the tick Dermacentor reticulatus in an ecosystem of abandoned meadows: Experimental intervention and the critical importance of mowing. Vet. Parasitol. 2017, 246, 70–75. [Google Scholar] [CrossRef]
- Medlock, J.M.; Hansford, K.M.; Vaux, A.G.C.; Cull, B.; Abdullah, S.; Pietzsch, M.E.; Wall, R.; Johnson, N.; Phipps, L.P. Distribution of the tick Dermacentor reticulatus in the United Kingdom. Med. Vet. Entomol. 2017, 31, 281–288. [Google Scholar] [CrossRef]
- Pfäffle, M.; Littwin, N.; Petney, T. Host preferences of immature Dermacentor reticulatus (Acari: Ixodidae) in a forest habitat in Germany. Ticks Tick Borne Dis. 2015, 6, 508–515. [Google Scholar] [CrossRef]
- Olivieri, E.; Gazzonis, A.L.; Zanzani, S.A.; Veronesi, F.; Manfredi, M.T. Seasonal dynamics of adult Dermacentor reticulatus in a peri-urban park in southern Europe. Ticks Tick Borne Dis. 2017, 8, 772–779. [Google Scholar] [CrossRef]
- Široký, P.; Kubelová, M.; Bednář, M.; Modrý, D.; Hubálek, Z.; Tkadlec, E. The distribution and spreading pattern of Dermacentor reticulatus over its threshold area in the Czech Republic—how much is range of this vector expanding? Vet. Parasitol. 2011, 183, 130–135. [Google Scholar] [CrossRef]
- Drehmann, M.; Springer, A.; Lindau, A.; Fachet, K.; Mai, S.; Thoma, D.; Schneider, C.R.; Chitimia-Dobler, L.; Bröker, M.; Dobler, G.; et al. The Spatial Distribution of Dermacentor Ticks (Ixodidae) in Germany—Evidence of a Continuing Spread of Dermacentor reticulatus. Front. Vet. Sci. 2020, 7, 578220. [Google Scholar] [CrossRef]
- Bullová, E.; Lukáň, M.; Stanko, M.; Peťko, B. Spatial distribution of Dermacentor reticulatus tick in Slovakia in the beginning of the 21st century. Vet. Parasitol. 2009, 165, 357–360. [Google Scholar] [CrossRef] [PubMed]
- Bartosik, K. Mutual Interactions between Prostriata and Metastriata Ticks (Acari: Ixodida: Ixodidae) in Parasitic and Nonparasitic Phase of the Life Cycle. Ph.D. Thesis, Medical University of Lublin, Lublin, Poland, 2006. (In Polish). [Google Scholar]
- Martinod, S.; Gilot, B. Epidemiology of canine babesiosis in relation to the activity of Dermacentor reticulatus in southern Jura (France). Exp. Appl. Acarol. 1991, 11, 215–222. [Google Scholar] [CrossRef] [PubMed]
- The Size of the Game Animals Population in Poland. Available online: http://www.czempin.pzlow.pl/palio/html.run?_Instance=pzl_www&_PageID=21&_CAT=CZEMPIN.MATERIALY (accessed on 1 November 2020).
- Szacki, J. Ecological corridor as a factor determining the structure and organization of a bank vole population. Acta Theriol. 1987, 32, 31–44. [Google Scholar] [CrossRef]
- Obiegala, A.; Pfeffer, M.; Pfister, K.; Karnath, C.; Silaghi, C. Molecular examinations of Babesia microti in rodents and rodent-attached ticks from urban and sylvatic habitats in Germany. Ticks Tick Borne Dis. 2015, 6, 445–449. [Google Scholar] [CrossRef]
- Zając, Z.; Kulisz, J.; Woźniak, A. Flea Communities on Small Rodents in Eastern Poland. Insects 2020, 11, 894. [Google Scholar] [CrossRef]
- Dwużnik, D.; Mierzejewska, E.J.; Drabik, P.; Kloch, A.; Alsarraf, M.; Behnke, J.M.; Bajer, A. The role of juvenile Dermacentor reticulatus ticks as vectors of microorganisms and the problem of ‘meal contamination’. Exp. Appl. Acarol. 2019, 78, 181–202. [Google Scholar] [CrossRef]
- Cios, H. Risk Assessment for Ixodes Ricinus Tick Attacks in Various Climatic Regions of the Lublin Region. Ph.D. Thesis, Medical University of Lublin, Lublin, Poland, 2014. (In Polish). [Google Scholar]
- Pfeffer, S.E.; Spitzer, R.; Allen, A.M.; Hofmeester, T.R.; Ericsson, G.; Widemo, F.; Cromsigt, J.P. Pictures or pellets? Comparing camera trapping and dung counts as methods for estimating population densities of ungulates. Remote Sens. Ecol. Conserv. 2018, 4, 173–183. [Google Scholar] [CrossRef]
- Ciebiera, O.; Jerzak, L.; Nowak-Chmura, M.; Bocheński, M. Ticks (Acari: Ixodida) on birds (Aves) migrating through the Polish Baltic coast. Exp. App. Acarol. 2019, 77, 241–251. [Google Scholar] [CrossRef]
- Hasle, G.; Bjune, G.; Edvardsen, E.; Jakobsen, C.; Linnehol, B.; Røer, J.E.; Mehl, R.; Røed, K.H.; Pedersen, J.; Leinaas, H.P. Transport of ticks by migratory passerine birds to Norway. J. Parasitol. 2009, 95, 1342–1351. [Google Scholar] [CrossRef]
- Buczek, A.; Bartosik, K.; Zając, Z.; Stanko, M. Host-feeding behaviour of Dermacentor reticulatus and Dermacentor marginatus in mono-specific and inter-specific infestations. Parasit. Vectors 2015, 8, 1–5. [Google Scholar] [CrossRef][Green Version]
- Izdebska, J.N. The occurrence of Dermacentor reticulatus (Fabricius, 1794)(Acari, Ixodidae) on the bison (Bison bonasus) from the Białowieża Primaeval Forest. Przegl. Zool. 1998, 42, 219–221. [Google Scholar]











| Plot/Geographical Coordinates | Mesoregion/Research Plot | Characteristics of the Mesoregion/Research Plots |
|---|---|---|
| A 51.540° N, 21.837° E | Middle Vistula Valley![]() | Area adjacent to the Vistula River, 1–1.5 km wide. Chalk substrate. Shrub vegetation in the immediate vicinity of the river. The research plot was established in a clearing surrounded by shrub vegetation with solitary deciduous trees. |
| B 51.608° N, 22.384° E | Wieprz Glacier Valley![]() | Lower course of the Wieprz River with many meanders. Water sediment substrate. Wetland area. The research plot was established in an unused agricultural meadow adjacent to a mixed forest near the Wieprz River. |
| C 51.356° N, 22.761° E | Świdnik Plateau![]() | Area located at the confluence of the Wieprz and Bystrzyca Rivers. Flat denudation plain devoid of loess cover. Agricultural region with a low proportion of forests. The research plot was established near the Wieprz River, in an unused meadow surrounded by arable fields and fallow land at a distance of approx. 2 km from a mixed forest. |
| D 51.180° N, 22.979° E | Dorohusk Basin![]() | Upland region with Cretaceous rocks in the substrate. Numerous peat bogs and ground depressions are a characteristic feature. The research plot was established in meadow with clearly progressive ecological succession. |
| E 50.951° N, 23.170° E | Grabowiec Upland![]() | Loess-covered hump formed of Upper Cretaceous rocks. Numerous watercourses joining the Wieprz River. The mesoregion is located on the border of mixed forests and a forest-steppe zone. The maximum altitude is 313 m a.s.l. The research plot was established in an agriculturally unused meadow surrounded by a permanent 5-ha wetland land on one side and a hill escarpment on the other side (approx. 15 m relative height). |
| F 50.739° N, 23.015° E | Zamość Basin![]() | Extensive denudation with chalk marls in the substrate. This plain wetland area is situated approx. 80-m lower (relative height) than the surrounding highlands. The research plot was established in the Wieprz River valley, in an area covered by meadow vegetation. |
| G 50.584° N, 23.077° E | Middle Roztocze![]() | Irregular hills on calcareous substrate without loess cover. Heavily forested area. Annual precipitation sum above the average for the Province. The research plot was established along the bank of the Wieprz River in an area covered by meadow vegetation with shrub islets. |
| Plot | Structure of Plant Communities in Research Plots [%] | Season * | Mean Value ± SD | ||||
|---|---|---|---|---|---|---|---|
| T [°C] | H [%] | F | M | F + M | |||
| A | Cl. Molinio-Arrhenatheretea (79.8) Ass. Tilio cordatae-Carpinetum betuli (20.2) | Autumn 2018 | 14.9 | 72.0 | 41.4 ± 27.3 | 30.8 ± 22.4 | 72.2 ± 49.6 |
| Spring 2019 | 15.4 | 70.6 | 16.3 ± 7.6 | 12.5 ± 3.7 | 28.8 ± 11.1 | ||
| Autumn 2019 | 15.0 | 74.7 | 44.0 ± 17.4 | 32.2 ± 11.8 | 76.2 ± 29.2 | ||
| B | Cl. Molinio-Arrhenatheretea (86.2) Ass. Salicetum albo-Fragilis (13.8) | Autumn 2018 | 14.2 | 77.5 | 161.2 ± 81.1 | 129.2 ± 72.2 | 290.4 ± 153.3 |
| Spring 2019 | 15.0 | 71.6 | 67.1 ± 33.7 | 47.2 ± 20.2 | 114.3 ± 53.9 | ||
| Autumn 2019 | 14.8 | 66.4 | 171.0 ± 98.7 | 138.7 ± 80.2 | 309.7 ± 178.9 | ||
| C | Cl. Molinio-Arrhenatheretea (70.1) Arable land (29.9) | Autumn 2018 | 13.5 | 78.0 | 141.8 ± 42.7 | 113.0 ± 27.6 | 254.8 ± 70.3 |
| Spring 2019 | 14.9 | 72.9 | 99.0 ± 61.4 | 89.8 ± 49.8 | 188.8 ± 111.2 | ||
| Autumn 2019 | 14.8 | 66.4 | 85.2 ± 25.1 | 71.0 ± 18.9 | 156.2 ± 44.0 | ||
| D | Molinio-Arrhenatheretea (89.3) All. Salicion albae (10.7) | Autumn 2018 | 12.8 | 75.3 | 86.6 ± 26.3 | 71.0 ± 22.3 | 157.6 ± 48.6 |
| Spring 2019 | 14.8 | 72.1 | 35.8 ± 16.7 | 33.8 ± 14.9 | 69.6 ± 31.6 | ||
| Autumn 2019 | 14.9 | 66.4 | 128.0 ± 51.9 | 110.2 ± 50.7 | 238.2 ± 102.6 | ||
| E | Cl. Molinio-Arrhenatheretea (57.5) Arable land (22.4) Trees (3.0) Other meadow communities (17.1) | Autumn 2018 | 15.3 | 73.4 | 88.6 ± 38.6 | 75.2 ± 25.4 | 163.8 ± 64.0 |
| Spring 2019 | 14.7 | 72.4 | 128.8 ± 63.4 | 126.2 ± 63.7 | 255.0 ± 127.1 | ||
| Autumn 2019 | 14.8 | 66.5 | 72.7 ± 38.6 | 63.3 ± 23.3 | 136.0 ± 61.9 | ||
| F | Cl. Molinio-Arrhenatheretea (97.3) All. Salicion albae (2.7) | Autumn 2018 | 14.5 | 73.5 | 39.0 ± 4.9 | 29.0 ± 6.3 | 68.0 ± 11.0 |
| Spring 2019 | 14.1 | 72.0 | 36.0 ± 20.2 | 31.2 ± 18.3 | 67.2 ± 38.5 | ||
| Autumn 2019 | 14.5 | 66.2 | 70.5 ± 28.6 | 67.2 ± 24.2 | 137.7 ± 46.9 | ||
| G | Cl. Molinio-Arrhenatheretea (66.3) Arable lands (8.0) Other meadow communities (6.2) Cl. Querco-Fagetea (12.5) Other (7.0) | Autumn 2018 | 14.4 | 70.6 | 97.6 ± 25.5 | 82.2 ± 24.1 | 179.8 ± 49.6 |
| Spring 2019 | 15.3 | 63.8 | 83.8 ± 48.5 | 64.6 ± 38.6 | 148.4 ± 87.1 | ||
| Autumn 2019 | 15.2 | 77.7 | 34.0 ± 10.6 | 30.5 ± 9.5 | 64.5 ± 20.1 | ||
Publisher’s Note: MDPI stays neutral with regard to jurisdictional claims in published maps and institutional affiliations. |
© 2021 by the authors. Licensee MDPI, Basel, Switzerland. This article is an open access article distributed under the terms and conditions of the Creative Commons Attribution (CC BY) license (http://creativecommons.org/licenses/by/4.0/).
Share and Cite
Zając, Z.; Sędzikowska, A.; Maślanko, W.; Woźniak, A.; Kulisz, J. Occurrence and Abundance of Dermacentor reticulatus in the Habitats of the Ecological Corridor of the Wieprz River, Eastern Poland. Insects 2021, 12, 96. https://doi.org/10.3390/insects12020096
Zając Z, Sędzikowska A, Maślanko W, Woźniak A, Kulisz J. Occurrence and Abundance of Dermacentor reticulatus in the Habitats of the Ecological Corridor of the Wieprz River, Eastern Poland. Insects. 2021; 12(2):96. https://doi.org/10.3390/insects12020096
Chicago/Turabian StyleZając, Zbigniew, Aleksandra Sędzikowska, Weronika Maślanko, Aneta Woźniak, and Joanna Kulisz. 2021. "Occurrence and Abundance of Dermacentor reticulatus in the Habitats of the Ecological Corridor of the Wieprz River, Eastern Poland" Insects 12, no. 2: 96. https://doi.org/10.3390/insects12020096
APA StyleZając, Z., Sędzikowska, A., Maślanko, W., Woźniak, A., & Kulisz, J. (2021). Occurrence and Abundance of Dermacentor reticulatus in the Habitats of the Ecological Corridor of the Wieprz River, Eastern Poland. Insects, 12(2), 96. https://doi.org/10.3390/insects12020096








