Can Mating Disruption Be a Possible Route to Control Plum Fruit Moth in Mediterranean Environments?
Simple Summary
Abstract
1. Introduction
2. Materials and Methods
2.1. Study Areas and Dispenser Placement
2.2. Trap Captures
2.3. Fruit Infestation
2.4. Estimation of Pheromone Release from Dispensers
2.5. Statistical Analysis
3. Results
3.1. Trap Captures
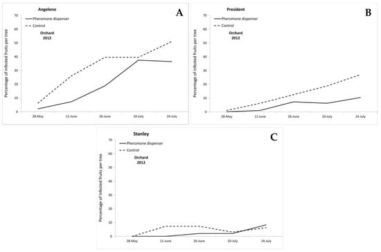
3.2. Fruits Infestation
3.3. Estimation of Pheromone Release from Dispensers
4. Discussion
5. Conclusions
Author Contributions
Funding
Acknowledgments
Conflicts of Interest
References
- Wallace, T.C. Dried plums, prunes and bone health: A comprehensive review. Nutrients 2017, 9, 401. [Google Scholar] [CrossRef] [PubMed]
- Stacewicz-Sapuntzakis, M. Dried plums and their products: Composition and health effects an updated review. Crit. Rev. Food Sci. Nutr. 2013, 53, 1277–1302. [Google Scholar] [CrossRef] [PubMed]
- Kim, D.O.; Jeong, S.W.; Lee, C.Y. Antioxidant capacity of phenolic phytochemicals from various cultivars of plums. Food Chem. 2003, 81, 321–326. [Google Scholar] [CrossRef]
- Prajapati, P.M.; Solanki, A.S.; Sen, D.J. Nutrition value of plum tree for health. Int. Res. J. Pharm. 2012, 3, 53–56. [Google Scholar]
- FAO (Food and Agricultural Organization of United Nation). Available online: http://www.fao.org/faostat/en/#data/QC (accessed on 30 May 2020).
- Riolo, P.; Bruni, R.; Cappella, L.; Rama, F.; Isidoro, N. Control of the plum fruit moth, Grapholita funebrana (Treitsch.) (Lepidoptera, Tortricidae), by false-trail following. IOBC/WPRS Bull. 2010, 54, 401–404. [Google Scholar]
- Negahban, M.; Sedaratian-Jahromi, A.; Ghanee-Jahromi, M.; Haghani, M. Monitoring of an Iranian population of Grapholita funebrana Treitschke, 1835 (Lepidoptera: Tortricidae) using sex pheromone traps: An applicable procedure for sustainable management. Entomofauna Z. Für Entomol. 2016, 37, 241–252. [Google Scholar]
- Rizzo, R.; Farina, V.; Saiano, F.; Lombardo, A.; Ragusa, E.; Lo Verde, G. Do Grapholita funebrana Infestation Rely on Specific Plum Fruit Features? Insects 2019, 10, 444. [Google Scholar] [CrossRef]
- Sciarretta, A. Auto-confusion trials for mating disruption of Grapholita funebrana in plum orchards. In Proceedings of the Giornate Fitopatologiche 2010, Cervia (RA), Italy, 9–12 March 2010; Atti. Volume primo, pp. 179–184. [Google Scholar]
- Molinari, F. Notes on biology and monitoring of Cydia funebrana (Treitschke). IOBC/WPRS Bull. 1995, 18, 39–42. [Google Scholar]
- Rizzo, R.; Lo Verde, G.; Lombardo, A. Effectiveness of spinosad and mineral oil for control of Grapholita funebrana Treitschke in organic plum orchards. New Medit 2012, 11, 70–72. [Google Scholar]
- Jackson, D.M. Searching behavior and survival of 1st-instar codling moth. Ann. Entomol. Soc. Am. 1982, 75, 284–289. [Google Scholar] [CrossRef]
- Alford, D.V. Farbatlas der Obstschädlinge; Ferdinand Enke: Stuttgart, Germany, 1987; pp. 168–169. [Google Scholar]
- Aktar, W.; Sengupta, D.; Chowdhury, A. Impact of pesticides use in agriculture: Their benefits and hazards. Interdiscip. Toxicol. 2009, 2, 1–12. [Google Scholar] [CrossRef] [PubMed]
- Kanga, L.H.; Pree, D.J.; Van Lier, J.L.; Walker, G.M. Management of insecticide resistance in oriental fruit moth (Grapholita molesta; Lepidoptera: Tortricidae) populations from Ontario. Pest Manag. Sci. 2003, 59, 921–927. [Google Scholar] [CrossRef] [PubMed]
- Guo, Y.; Chai, Y.; Zhang, L.; Zhao, Z.; Gao, L.L.; Ma, R. Transcriptome analysis and identification of major detoxification gene families and insecticide targets in Grapholita molesta (Busck) (Lepidoptera: Tortricidae). J. Insect Sci. 2017, 17, 43. [Google Scholar] [CrossRef]
- Ioriatti, C.; Tasin, M.; Charmillot, P.J.; Reyes, M.; Sauphanor, B. Early detection of resistance to tebufenozide in field populations of Cydia pomonella L.: Methods and mechanisms. J. Appl. Entomol. 2007, 131, 453–459. [Google Scholar] [CrossRef]
- Reyes, M.; Barros-Parada, W.; Ramírez, C.C.; Fuentes-Contreras, E. Organophosphate resistance and its main mechanism in populations of codling moth (Lepidoptera: Tortricidae) from Central Chile. J. Econ. Entomol. 2015, 108, 277–285. [Google Scholar] [CrossRef] [PubMed]
- Joshi, N.K.; Hull, L.A.; Krawczyk, G. Insecticide Baseline Sensitivity in Codling Moth (Lepidoptera: Tortricidae) Populations From Orchards Under Different Management Practices. J. Entomol. Sci. 2020, 55, 105–116. [Google Scholar] [CrossRef]
- Tacoli, F.; Cargnus, E.; Moosavi, F.K.; Zandigiacomo, P.; Pavan, F. Efficacy and mode of action of kaolin and its interaction with bunch-zone leaf removal against Lobesia botrana on grapevines. J. Pest Sci. 2019, 92, 465–475. [Google Scholar] [CrossRef]
- Hillocks, R.J. Farming with fewer pesticides: EU pesticide review and resulting challenges for UK agriculture. Crop Protect. 2012, 31, 85–93. [Google Scholar] [CrossRef]
- Todd, J.H.; Barratt, B.I.; Tooman, L.; Beggs, J.R.; Malone, L.A. Selecting non-target species for risk assessment of entomophagous biological control agents: Evaluation of the PRONTI decision-support tool. Biol. Control 2015, 80, 77–88. [Google Scholar] [CrossRef]
- González-Chang, M.; Wratten, S.D.; Lefort, M.C.; Boyer, S. Food webs and biological control: A review of molecular tools used to reveal trophic interactions in agricultural systems. Food Webs 2016, 9, 4–11. [Google Scholar] [CrossRef]
- Holland, J.M.; Bianchi, F.J.; Entling, M.H.; Moonen, A.C.; Smith, B.M.; Jeanneret, P. Structure, function and management of semi-natural habitats for conservation biological control: A review of European studies. Pest Manag. Sci. 2016, 72, 1638–1651. [Google Scholar] [CrossRef] [PubMed]
- Benelli, G.; Pavela, R.; Maggi, F.; Petrelli, R.; Nicoletti, M. Commentary: Making green pesticides greener? The potential of plant products for nanosynthesis and pest control. J. Clust. Sci. 2017, 28, 3–10. [Google Scholar] [CrossRef]
- Benelli, G. Plant-borne compounds and nanoparticles: Challenges for medicine, parasitology and entomology—Green-Nanopest DRUGS. Environ. Sci. Poll. Res. 2018, 25, 10149–10150. [Google Scholar] [CrossRef] [PubMed]
- Athanassiou, C.G.; Kavallieratos, N.G.; Benelli, G.; Losic, D.; Usha Rani, P.; Desneux, N. Nanoparticles for pest control: Current status and future perspectives. J. Pest Sci. 2018, 91, 1–15. [Google Scholar] [CrossRef]
- Witzgall, P.; Kirsch, P.; Cork, A. Sex pheromones and their impact on pest management. J. Chem. Ecol. 2010, 36, 80–100. [Google Scholar] [CrossRef] [PubMed]
- Kaplan, I. Attracting carnivorous arthropods with plant volatiles: The future of biocontrol or playing with fire? Biol. Control 2012, 60, 77–89. [Google Scholar] [CrossRef]
- Pérez-Staples, D.; Shelly, T.E.; Yuval, B. Female mating failure and the failure of ‘mating’ in sterile insect programs. Entomol. Exp. Appl. 2013, 146, 66–78. [Google Scholar] [CrossRef]
- Lucchi, A.; Ladurner, E.; Iodice, A.; Savino, F.; Ricciardi, R.; Cosci, F.; Conte, G.; Benelli, G. Eco-friendly pheromone dispensers—A green route to manage the European grapevine moth? Environ. Sci. Pollut. R. 2018, 25, 9426–9442. [Google Scholar] [CrossRef]
- Cardé, R.T. Principles of mating disruption. Behavior-Modifying Chemicals for Pest Management: Applications of Pheromones and Other Attractants; Marcel Dekker: New York, NY, USA, 1990; pp. 47–71. [Google Scholar]
- Cardé, R.T.; Minks, A.K. Control of moth pests by mating disruption: Successes and constraints. Annu. Rev. Entomol. 1995, 40, 559–585. [Google Scholar] [CrossRef]
- Suckling, D.M. Issues affecting the use of pheromones and other semiochemicals in orchards. Crop Prot. 2000, 19, 677–683. [Google Scholar] [CrossRef]
- Miller, J.R.; Gut, L.J.; De Lame, F.M.; Stelinski, L.L. Differentiation of competitive vs. non-competitive mechanisms mediating disruption of moth sexual communication by point sources of sex pheromone (part 2): Case studies. J. Chem. Ecol. 2006, 32, 2115–2143. [Google Scholar] [CrossRef] [PubMed]
- Arn, H.; Delley, B.; Baggiolini, M.; Charmillot, P.J. Communication disruption with sex attractant for control of the plum fruit moth, Grapholitha funebrana: A two-year field study. Entomol. Exp. Appl. 1976, 19, 139–147. [Google Scholar] [CrossRef]
- Guerin, P.M.; Arn, H.; Buser, H.R.; Charmillot, P.; Tóth, M.; Sziráki, G. Sex pheromone of Grapholita funebrana. Occurrence of Z-8- and Z-10-tetradecenyl acetate as secondary components. J. Chem. Ecol. 1986, 12, 1361–1368. [Google Scholar] [CrossRef] [PubMed]
- Charmillot, P.J.; Blaser, C.; Maggiolini, M.; Arn, H.; Delley, B. Confusion sexuelle contre le Carpocapse de prunes (Grapholita funebrana Tr.): I. Essais de lutte in verges. Bull. Soc. Ent. Suisse 1982, 55, 55–63. [Google Scholar]
- Stefanova, D.; Vasilev, P.; Kutinkova, H.; Andreev, R.; Palagacheva, N.; Tityanov, M. Possibility for control of plum fruit moth Grapholita funebrana Tr. by pheromone dispensers. J. Biopestic. 2019, 12, 153–156. [Google Scholar]
- Angeli, G.; Anfora, G.; Baldessari, M.; Germinara, G.S.; Rama, F.; De Cristofaro, A.; Ioriatti, C. Mating disruption of codling moth Cydia pomonella with high densities of Ecodian sex pheromone dispensers. J. Appl. Entomol. 2007, 131, 311–318. [Google Scholar] [CrossRef]
- Pawliszyn, J. Solid Phase Microextraction: Theory and Practice; John Wiley & Sons: New York, NY, USA, 1997; p. 264. [Google Scholar]
- Mori, B.A.; Evenden, M.L. When mating disruption does not disrupt mating: Fitness consequences of delayed mating in moths. Entomol. Exp. Appl. 2013, 146, 50–65. [Google Scholar] [CrossRef]
- Cardé, R.T.; Haynes, K.F. Structure of the pheromone communication channel in moths. In Advances in Insect Chemical Ecology; Cardé, R.T., Millar, J.G., Eds.; Cambridge University Press: Cambridge, UK, 2004; pp. 283–332. [Google Scholar]
- Cardé, R.T.; Willis, M.A. Navigational strategies used by insects to find distant, wind-borne sources of odor. J. Chem. Ecol. 2008, 34, 854–866. [Google Scholar] [CrossRef]
- Cooper, M.; Varela, L.G.; Smith, R.J.; Whitmer, D.R.; Simmons, G.A.; Lucchi, A.; Broadway, R.; Steinhauer, R. Growers, scientists and regulators collaborate on European grapevine moth program. Calif. Agric. 2014, 4, 125–133. [Google Scholar] [CrossRef]
- Ioriatti, C.; Lucchi, A. Semiochemical strategies for tortricid moth control in apple orchards and vineyards in Italy. J. Chem. Ecol. 2016, 42, 571–583. [Google Scholar] [CrossRef]
- Hummel, H.E. A brief review on Lobesia botrana mating disruption by mechanically distributing and releasing sex pheromones from biodegradable mesofiber dispensers. Biochem. Mol. Biol. J. 2017, 3, 1. [Google Scholar] [CrossRef]
- Kovanci, O.B.; Walgenbach, J.F.; Kennedy, G.G.; Schal, C. Effects of application rate and interval on the efficacy of sprayable pheromone for mating disruption of the oriental fruit moth Grapholita molesta. Phytoparasitica 2005, 33, 334–342. [Google Scholar] [CrossRef]
- Kutinkova, H.Y.; Arnaudov, V.A.; Dzhuvinov, V.T. Sustainable Control of Oriental Fruit Moth, Cydia molesta Busck, Using Isomate OFM Rosso Dispensers in Peach Orchards in Bulgaria. Chem. Eng. Trans. 2015, 44. [Google Scholar]
- Knight, A.L.; Stelinski, L.L.; Hebert, V.; Gut, L.; Light, D.; Brunner, J. Evaluation of novel semiochemical dispensers simultaneously releasing pear ester and sex pheromone for mating disruption of codling moth (Lepidoptera: Tortricidae). J. Appl. Entomol. 2012, 136, 79–86. [Google Scholar] [CrossRef]
- Kovanci, O.B. Co-application of microencapsulated pear ester and codlemone for mating disruption of Cydia pomonella. J. Pest Sci. 2015, 88, 311–319. [Google Scholar] [CrossRef]
- Pyatnova, Y.B.; Kislitsyna, T.I.; Vojnova, V.N. Testing the pheromone of Grapholitha molesta and Grapholitha funebrana for the control of the population numbers by mating disruption. Zashchita I Karantin Rasteniĭ 2013, 8, 33–35. [Google Scholar]
- Toups, I.; Zimmer, J.; Pfeiffer, B.; Schmückle-Tränkle, G. Regulation of plum moth (Cydia funebrana) with mating disruption and entomopathogenic nematodes in organic orchards. In Fördergemeinschaft Ökologischer Obstbau eV (FÖKO), Proceedings of the Ecofruit. 14th International Conference on Organic Fruit-Growing; Hohenheim, Germany, 22–24 February 2010, Fördergemeinschaft Ökologischer Obstbau e.V.: Weinsberg, Germany, 2010; pp. 169–175. [Google Scholar]
- Kutinkova, H.; Dzhuvinov, V.; Samietz, J.; Veronelli, V.; Iodice, A.; Bassanetti, C. Control of plum fruit moth, Grapholita funebrana, by Isomate OFM rosso dispensers, in plum orchards of Bulgaria. IOBC/WPRS Bull. 2011, 72, 53–57. [Google Scholar]
- Ardizzoni, M.; Iodice, A.; Caruso, S. Four years of mating disruption for the control of plum fruit moth Cydia funebrana (Treitschke), in plum orchard in Emilia-Romagna region (North Italy). IOBC/WPRS Bull. 2013, 91, 205–208. [Google Scholar]
- Butturini, A.; Tiso, R.; Molinari, F. Phenological forecasting model for Cydia funebrana. EPPO Bull. 2000, 30, 131–136. [Google Scholar] [CrossRef]
- Sciarretta, A.; Trematerra, P.; Baumgärtner, J. Geostatistical analysis of Cydia funebrana (Lepidoptera: Tortricidae) pheromone trap catches at two spatial scales. Am. Entomol. 2001, 47, 174–185. [Google Scholar] [CrossRef]





| Factors | Orchard 2012 | Orchard A 2014 | Orchard B 2014 | |||
|---|---|---|---|---|---|---|
| df | F-Values | df | F-Values | df | F-Values | |
| Treatment | 1 | 101.41 * | 1 | 620.15 * | 1 | 110.91 * |
| Date | 8 | 12.16 * | 12 | 18.73 * | 11 | 13.55 * |
| Treatment * Date | 8 | 4.64 * | 12 | 9.65 * | 11 | 2.70 * |
| Error | 36 | 52 | 48 | |||
| Total | 53 | 77 | 71 | |||
| Factors | Orchard 2012 | Orchard A 2014 | Orchard B 2014 | |||
|---|---|---|---|---|---|---|
| df | Chi-Squared | df | Chi-Squared | df | Chi-Squared | |
| Regression | 9 | 470.642 * | 11 | 635.21 * | 11 | 597.45 * |
| Treatment | 1 | 20.42 * | 1 | 9.54 * | 1 | 17.39 * |
| Cultivar | 2 | 107.49 * | 3 | 77.21 * | 3 | 89.35 * |
| Date | 4 | 190.87 * | 4 | 436.95 * | 4 | 391.02 * |
| Treatment * Cultivar | 2 | 1.83 | 3 | 2.96 | 3 | 3.60 |
| Error | 350 | 348 | 348 | |||
| Total | 359 | 359 | 359 | |||
| Orchard 2012 | Orchard A 2014 | Orchard B 2014 | |||||||
|---|---|---|---|---|---|---|---|---|---|
| Cultivar | Pheromone Dispenser | Control | Difference | Pheromone Dispenser | Control | Difference | Pheromone Dispenser | Control | Difference |
| Angeleno | 36.46 | 51.04 | −14.58 | 58.89 | 62.22 | −3.33 | 41.11 | 60 | −18.89 |
| Friar | - | - | - | 31.11 | 32.22 | −1.11 | 36.67 | 43.33 | −6.66 |
| President | 10.42 | 27.08 | −16.66 | 28.89 | 24.44 | +4.45 | 31.11 | 42.22 | −11.11 |
| Stanley | 8.33 | 6.25 | +2.08 | 20.00 | 15.56 | +4.44 | 8.89 | 13.33 | −4.44 |
© 2020 by the authors. Licensee MDPI, Basel, Switzerland. This article is an open access article distributed under the terms and conditions of the Creative Commons Attribution (CC BY) license (http://creativecommons.org/licenses/by/4.0/).
Share and Cite
Lo Verde, G.; Guarino, S.; Barone, S.; Rizzo, R. Can Mating Disruption Be a Possible Route to Control Plum Fruit Moth in Mediterranean Environments? Insects 2020, 11, 589. https://doi.org/10.3390/insects11090589
Lo Verde G, Guarino S, Barone S, Rizzo R. Can Mating Disruption Be a Possible Route to Control Plum Fruit Moth in Mediterranean Environments? Insects. 2020; 11(9):589. https://doi.org/10.3390/insects11090589
Chicago/Turabian StyleLo Verde, Gabriella, Salvatore Guarino, Stefano Barone, and Roberto Rizzo. 2020. "Can Mating Disruption Be a Possible Route to Control Plum Fruit Moth in Mediterranean Environments?" Insects 11, no. 9: 589. https://doi.org/10.3390/insects11090589
APA StyleLo Verde, G., Guarino, S., Barone, S., & Rizzo, R. (2020). Can Mating Disruption Be a Possible Route to Control Plum Fruit Moth in Mediterranean Environments? Insects, 11(9), 589. https://doi.org/10.3390/insects11090589

