How Is Fitness of Tribolium castaneum (Herbst) (Coleoptera: Tenebrionidae) Affected When Different Developmental Stages Are Exposed to Chlorfenapyr?
Simple Summary
Abstract
1. Introduction
2. Materials and Methods
2.1. Insects
2.2. Commodity and Insecticide
2.3. Exposure of Eggs
2.4. Exposure of Larvae
2.5. Exposure of Parental Adults
2.6. Statistical Analyses
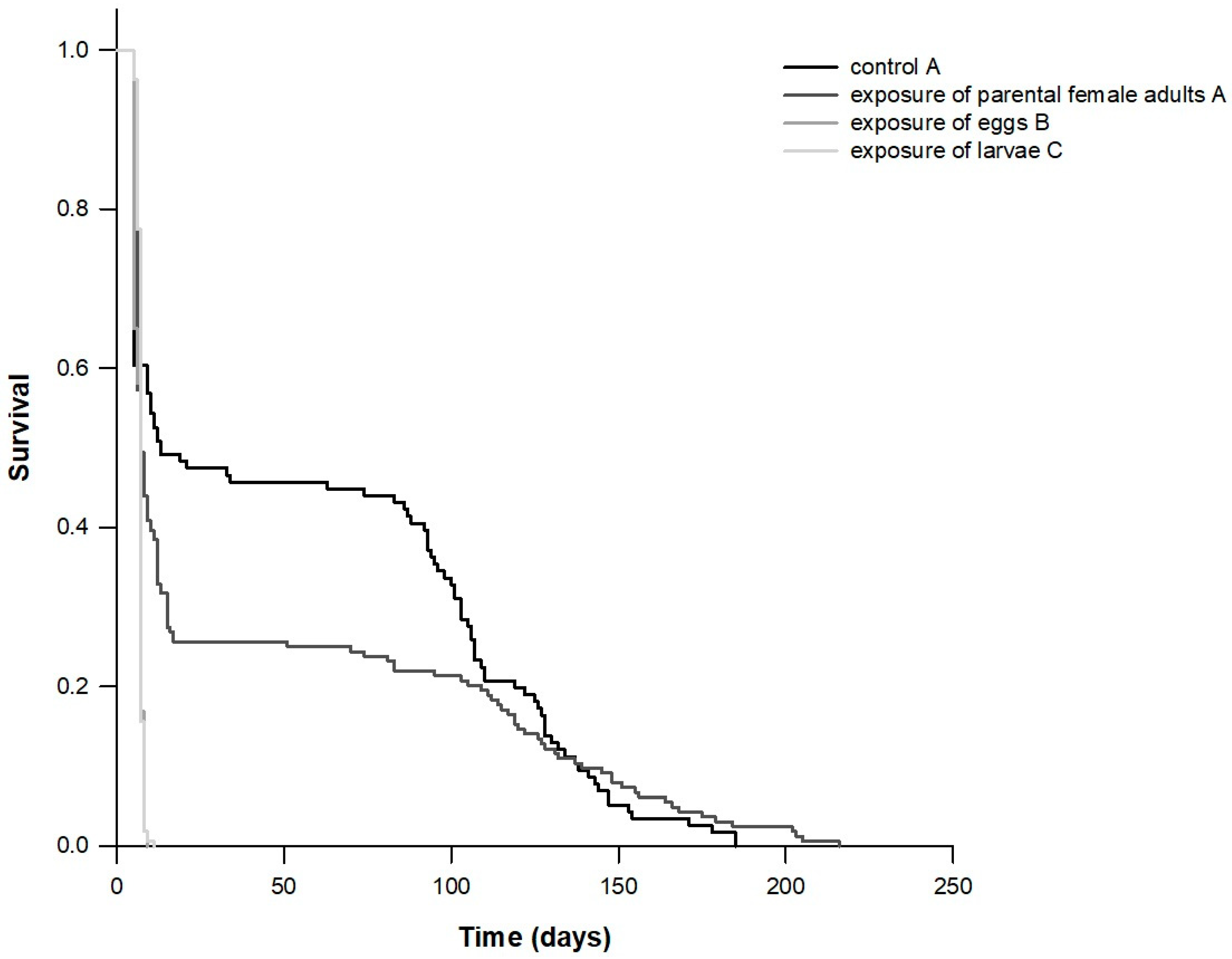
3. Results
4. Discussion
5. Conclusions
Author Contributions
Funding
Conflicts of Interest
References
- Jalali, M.A.; Tirry, L.; Clercq, P.D. Temperature-dependent development of the two-spotted ladybeetle, Adalia bipunctata on the green peach aphid, Myzus persicae, and a factitious food under constant temperatures. J. Insect Sci. 2010, 10, 124. [Google Scholar] [CrossRef] [PubMed]
- Papanikolaou, N.E.; Milonas, P.G.; Kontodimas, D.C.; Demiris, N.; Matsinos, Y.G. Temperature-dependent development, survival, longevity, and fecundity of Propylea quatuordecimpunctata (Coleoptera: Coccinellidae). Ann. Entomol. Soc. Am. 2013, 106, 228–234. [Google Scholar] [CrossRef]
- Papachristos, D.P.; Katsarou, I.; Michaelakis, A.; Papanikolaou, N.E. Influence of different species of aphid prey on the immature survival and development of four species of aphidophagous coccinellids (Coleoptera: Coccinellidae). Eur. J. Entomol. 2015, 112, 440–445. [Google Scholar] [CrossRef]
- Papanikolaou, N.E.; Kavallieratos, N.G.; Kondakis, N.; Boukouvala, M.C.; Nika, E.P.; Demiris, N. Elucidating fitness components of the invasive dermestid beetle Trogoderma granarium Everts (Coleoptera: Dermestidae) at constant temperatures, combining deterministic and stochastic demography. PLoS ONE 2019, 14, e0212182. [Google Scholar] [CrossRef]
- Kavallieratos, N.G.; Karagianni, E.S.; Papanikolaou, N.E. Life history of Trogoderma granarium Everts (Coleoptera: Dermestidae) on peeled barley, peeled oats and triticale. J. Stored Prod. Res. 2019, 84, 101515. [Google Scholar] [CrossRef]
- Skourti, A.; Kavallieratos, N.G.; Papanikolaou, N.E. Laboratory evaluation of development and survival of Tribolium castaneum (Herbst) (Coleoptera: Tenebrionidae) under constant temperatures. J. Stored Prod. Res. 2019, 83, 305–310. [Google Scholar] [CrossRef]
- Nika, E.P.; Kavallieratos, N.G.; Papanikolaou, N.E. Developmental and reproductive biology of Oryzaephilus surinamensis (L.) (Coleoptera: Silvanidae) on seven commodities. J. Stored Prod. Res. 2020, 87, 101612. [Google Scholar] [CrossRef]
- Carey, J.R. Applied Demography for Biologists with Special Emphasis on Insects; Oxford University Press: New York, NY, USA, 1993. [Google Scholar]
- Carey, J.R. Insect biodemography. Annu. Rev. Entomol. 2001, 46, 79–110. [Google Scholar] [CrossRef]
- Kontodimas, D.C.; Milonas, P.G.; Stathas, G.J.; Papanikolaou, N.E.; Skourti, A.; Matsinos, Y.G. Life table parameters of the aphid predators Coccinella septempunctata, Ceratomegilla undecimnotata and Propylea quatuordecimpunctata (Coleoptera: Coccinellidae). Eur. J. Entomol. 2008, 105, 427–430. [Google Scholar] [CrossRef]
- Papanikolaou, N.E.; Milonas, P.G.; Demiris, N.; Papachristos, D.P.; Matsinos, Y.G. Digestion limits the functional response of an aphidophagous coccinellid (Coleoptera: Coccinellidae). Ann. Entomol. Soc. Am. 2014, 107, 468–474. [Google Scholar] [CrossRef]
- Zeki, E.; Papanikolaou, N.E.; Demiris, N.; Kontodimas, D.C. Comparison of the demographic parameters and survival of two phenotypes of Harmonia axyridis (Coleoptera: Coccinellidae). Eur. J. Entomol. 2015, 112, 193–196. [Google Scholar] [CrossRef]
- Gutierrez, A.P. Applied Population Ecology: A Supply-Demand Approach; John Wiley & Sons: New York, NY, USA, 1996. [Google Scholar]
- Wang, K.Y.; Zhang, Y.; Wang, H.Y.; Xia, X.M.; Liu, T.X. Biology and life table studies of the oriental tobacco budworm, Helicoverpa assulta (Lepidoptera: Noctuidae), influenced by different larval diets. Insect Sci. 2008, 15, 569–576. [Google Scholar] [CrossRef]
- Jalali, M.A.; Tirry, L.; De Clercq, P. Effects of food and temperature on development, fecundity and life-table parameters of Adalia bipunctata (Coleoptera: Coccinellidae). J. Appl. Entomol. 2009, 133, 615–625. [Google Scholar] [CrossRef]
- Aitken, A.D. Insect Travelers, I: Coleoptera. Technical Bulletin 31; HMSO: London, UK, 1975.
- Johnson, J. Pest control in postharvest nuts. In Improving the Safety and Quality of Nuts; Harris, L.J., Ed.; Woodhead Publishing: Cambridge, UK, 2013; pp. 56–87. [Google Scholar]
- Abdullahi, G.; Muhamad, R.; Dzolkifli, O.; Sinniah, U.R. Damage potential of Tribolium castaneum (Herbst) (Coleoptera: Tenebrionidae) on cocoa beans: Effect of initial adult population density and post infestation storage time. J. Stored Prod. Res. 2018, 75, 1–9. [Google Scholar] [CrossRef]
- Hill, D.S. Pests of Storage Foodstuffs and Their Control; Kluwer Academic Publishers: New York, NY, USA, 2003. [Google Scholar]
- Rees, D. Insects of Stored Products; Manson Publishing: London, UK, 2004. [Google Scholar]
- Mahroof, R.M.; Hagstrum, D.W. Biology, behavior, and ecology of insects in processed commodities. In Stored Product Protection; Hagstrum, D.W., Phillips, T.W., Cuperus, G., Eds.; Kansas State University: Manhattan, KS, USA, 2012; pp. 33–44. [Google Scholar]
- Lu, H.; Zhou, J.; Xiong, S.; Zhao, S. Effects of low-intensity microwave radiation on Tribolium castaneum physiological and biochemical characteristics and survival. J. Insect Physiol. 2010, 56, 1356–1361. [Google Scholar] [CrossRef] [PubMed]
- Velki, M.; Plavšin, I.; Dragojević, J.; Hackenberger, B.K. Toxicity and repellency of dimethoate, pirimiphos-methyl and deltamethrin against Tribolium castaneum (Herbst) using different exposure methods. J. Stored Prod. Res. 2014, 59, 36–41. [Google Scholar] [CrossRef]
- Attia, M.A.; Wahba, T.F.; Shaarawy, N.; Moustafa, F.I.; Guedes, R.N.C.; Dewer, Y. Stored grain pest prevalence and insecticide resistance in Egyptian populations of the red flour beetle Tribolium castaneum (Herbst) and the rice weevil Sitophilus oryzae (L.). J. Stored Prod. Res. 2020, 87, 101611. [Google Scholar] [CrossRef]
- Halliday, W.R.; Arthur, E.H.; Zettler, J.L. Resistance status of red flour beetle (Coleoptera: Tenebrionidae) infesting stored peanuts in the southeastern United States. J. Econ. Entomol. 1988, 76, 717–722. [Google Scholar] [CrossRef]
- Arthur, F.H. Grain protectants: Current status and prospects for the future. J. Stored Prod. Res. 1996, 32, 239–302. [Google Scholar] [CrossRef]
- Stadler, T.; Subramanyam, B.; Ferrero, A.A. Monitoring for insecticide resistance in major stored product pests in Argentina: A review. Agriscientia 2003, 20, 99–110. [Google Scholar]
- Rossi, E.; Cosimi, S.; Loni, A. Insecticide resistance in Italian populations of Tribolium flour beetles. Bull. Insectol. 2010, 63, 251–258. [Google Scholar]
- Boukouvala, M.C.; Kavallieratos, N.G.; Athanassiou, C.G.; Hadjiarapoglou, L.P. Biological activity of two new pyrrole derivatives against stored-product species: Influence of temperature and relative humidity. Bull. Entomol. Res. 2016, 106, 446–456. [Google Scholar] [CrossRef]
- Boukouvala, M.C.; Kavallieratos, N.G.; Athanassiou, C.G.; Hadjiarapoglou, L.P. Insecticidal effect of two novel pyrrole derivatives against two major stored product insect species. Crop Prot. 2016, 84, 1–7. [Google Scholar] [CrossRef]
- Boukouvala, M.C.; Kavallieratos, N.G.; Athanassiou, C.G.; Losic, D.; Hadjiarapoglou, L.P.; Elemes, Y. Laboratory evaluation of five novel pyrrole derivatives as grain protectants against Tribolium confusum and Ephestia kuehniella larvae. J. Pest Sci. 2017, 90, 569–585. [Google Scholar] [CrossRef]
- Boukouvala, M.C.; Kavallieratos, N.G.; Athanassiou, C.G.; Benelli, G.; Hadjiarapoglou, L.P. Insecticidal efficacy of six new pyrrole derivatives against four stored-product pests. Environ. Sci. Pollut. Res. 2019, 26, 29845–29856. [Google Scholar] [CrossRef] [PubMed]
- Hunt, D.A. 2-Arylpyrroles: A new class of insecticide. Structure, activity, and mode of action. Pestic. Sci. 1996, 47, 201–202. [Google Scholar] [CrossRef]
- Tomlin, C.D.S. The Pesticide Manual; BCPC Publications: London, UK, 2000. [Google Scholar]
- McLeod, P.; Diaz, F.J.; Johnson, D.T. Toxicity, persistence, and efficacy of spinosad, chlorfenapyr, and thiamethoxam on eggplant when applied against the eggplant flea beetle (Coleoptera: Chrysomelidae). J. Econ. Entomol. 2002, 95, 331–335. [Google Scholar] [CrossRef]
- Zhao, Y.; Li, Y.; Ou, X.; Zhang, P.; Huang, Z.; Bi, F.; Huang, R.; Wang, Q. Synthesis, insecticidal, and acaricidal activities of novel 2-aryl-pyrrole derivatives containing ester groups. J. Agric. Food Chem. 2008, 56, 10176–10182. [Google Scholar] [CrossRef]
- Raghavendra, K.; Barik, T.K.; Sharma, P.; Bhatt, R.M.; Srivastava, H.C.; Sreehari, U.; Dash, A.P. Chlorfenapyr: A new insecticide with novel mode of action can control pyrethroid resistant malaria vectors. Malar. J. 2011, 10, 16. [Google Scholar] [CrossRef]
- Arthur, F.H. Dosage rate, temperature, and food source provisioning affect susceptibility of Tribolium castaneum and Tribolium confusum to chlorfenapyr. J. Pest Sci. 2013, 86, 507–513. [Google Scholar] [CrossRef]
- Athanassiou, C.G.; Arthur, F.H.; Kavallieratos, N.G.; Throne, J.E. Residual efficacy of chlorfenapyr for control of stored-product psocids (Psocoptera). J. Econ. Entomol. 2014, 107, 854–859. [Google Scholar] [CrossRef] [PubMed]
- Arthur, F.H. Efficacy of chlorfenapyr against Tribolium castaneum and Tribolium confusum (Coleoptera: Tenebrionidae) adults exposed on concrete, vinyl tile, and plywood surfaces. J. Stored Prod. Res. 2008, 44, 145–151. [Google Scholar] [CrossRef]
- Arthur, F.H. Efficacy of chlorfenapyr against adult Tribolium castaneum exposed on concrete: Effects of exposure interval, concentration, and the presence of a food source after exposure. Insect Sci. 2009, 16, 157–163. [Google Scholar] [CrossRef]
- Kavallieratos, N.G.; Athanassiou, C.G.; Barda, M.S.; Boukouvala, M.C. Efficacy of five insecticides for the control of Trogoderma granarium Everts (Coleoptera: Dermestidae) larvae on concrete. J. Stored Prod. Res. 2016, 66, 18–24. [Google Scholar] [CrossRef]
- Kavallieratos, N.G.; Boukouvala, M.C. Efficacy of four insecticides on different types of storage bags for the management of Trogoderma granarium Everts (Coleoptera: Dermestidae) adults and larvae. J. Stored Prod. Res. 2018, 78, 50–58. [Google Scholar] [CrossRef]
- Boukouvala, M.C.; Kavallieratos, N.G. Effect of six insecticides on egg hatching and larval mortality of Trogoderma granarium Everts (Coleoptera: Dermestidae). Insects 2020, 11, 263. [Google Scholar] [CrossRef]
- Kavallieratos, N.G.; Athanassiou, C.G.; Hatzikonstantinou, A.N.; Kavallieratou, H.N. Abiotic and biotic factors affect efficacy of chlorfenapyr for control of stored-product insect pests. J. Food Prot. 2011, 74, 1288–1299. [Google Scholar] [CrossRef]
- Arthur, F.H.; Fontenot, E.A. Food source provisioning and susceptibility of immature and adult Tribolium castaneum on concrete partially treated with chlorfenapyr (Phantom®). J. Pest Sci. 2012, 85, 277–282. [Google Scholar] [CrossRef]
- Stark, J.D.; Banks, J.E. Developing demographic toxicity data: Optimizing effort for predicting population outcomes. PeerJ 2016, 4, e2067. [Google Scholar] [CrossRef]
- Halstead, D.G. External sex differences in stored-products Coleoptera. Bull. Entomol. Res. 1962, 54, 119–134. [Google Scholar] [CrossRef]
- Kaplan, E.L.; Meier, P. Nonparametric estimation from incomplete observations. J. Am. Stat. Assoc. 1958, 53, 457–481. [Google Scholar] [CrossRef]
- Systat Software. SigmaPlot for Windows Version 14.0; Systat Software: Chicago, IL, USA, 2017. [Google Scholar]
- R Development Core Team. R: A Language and Environment for Statistical Computing. R Foundation for Statistical Computing. Available online: http://www.Rproject.org (accessed on 20 May 2020).
- Ghimire, M.N.; Myers, S.W.; Arthur, F.H.; Phillips, T.W. Susceptibility of Trogoderma granarium Everts and Trogoderma inclusum LeConte (Coleoptera: Dermestidae) to residual contact insecticides. J. Stored Prod. Res. 2017, 72, 75–82. [Google Scholar] [CrossRef]
- Arthur, F.H. Food source effect and residual efficacy of chlorfenapyr as a surface treatment on sealed and unsealed concrete. J. Stored Prod. Res. 2015, 64, 65–71. [Google Scholar] [CrossRef]
- Sağlam, O.; Athanassiou, C.G.; Vassilakos, T.N. Comparison of spinetoram, imidacloprid, thiamethoxam and chlorantraniliprole against life stages of Tribolium confusum Jacquelin du Val (Coleoptera: Tenebrionidae) on concrete. Crop Prot. 2013, 53, 85–95. [Google Scholar] [CrossRef]
- Kavallieratos, N.G.; Michail, E.J.; Boukouvala, M.C.; Nika, E.P.; Skourti, A. Efficacy of pirimiphos-methyl, deltamethrin, spinosad and silicoSec against adults and larvae of Tenebrio molitor L. on wheat, barley and maize. J. Stored Prod. Res. 2019, 83, 161–167. [Google Scholar] [CrossRef]
- Thorat, G.; Salokhe, S.G.; Deshpande, S.G. Effect of chlorfenapyr (sub-lethal concentration) on development, growth and reproductive performance of Tribolium castaneum (Herbst) (Coleoptera: Tenebrionidae). Int. J. Sci. Res. Publ. 2017, 7, 71–85. [Google Scholar]
- Perez Mendoza, J.; Campbell, J.F.; Throne, J.E. Effects of rearing density, age, sex, and food deprivation on flight initiation of the red flour beetle (Coleoptera: Tenebrionidae). J. Econ. Entomol. 2011, 104, 443–451. [Google Scholar] [CrossRef]
- Perez Mendoza, J.; Campbell, J.F.; Throne, J.E. Influence of age, mating status, sex, quantity of food, and long-term food deprivation on red flour beetle (Coleoptera: Tenebrionidae) flight initiation. J. Econ. Entomol. 2011, 104, 2078–2086. [Google Scholar] [CrossRef]
- Rustamani, M.A.; Khatri, I.; Sultana, R.; Laghari, M.H. Population fluctuation of red flour beetle, Tribolium castaneum (Herbst) (Coleoptera: Tenebrionidae) on different cereal foods in laboratory. Pak. J. Zool. 2014, 46, 1511–1514. [Google Scholar]
- Day, E. Flour and Grain Beetles. 3104-1577 (ENTO-192NP); Virginia Cooperative Extension, Virginia Tech, Virginia State University: Petersburg, VA, USA, 2016. [Google Scholar]
- Carey, J.R.; Vargas, R. Demographic analysis of insect mass rearing: Case study of three tephritids. J. Econ. Entomol. 1985, 78, 523–527. [Google Scholar] [CrossRef]


| Treatment | Survival Time (Days) | 95% C.I. | Fecundity (Females/Female) | 95% C.I. |
|---|---|---|---|---|
| Control | 57.8 A | 47.2–68.5 | 67.8 A | 38.2–97.4 |
| Exposure of eggs | 6.4 B | 6.2–6.6 | - | - |
| Exposure of larvae | 6.9 C | 6.8–7.0 | - | - |
| Exposure of parental female adults | 39.7 A | 30.8–48.6 | 82.2 A | 45.4–119.0 |
| Treatment | Egg | Larva | Pupa | Female | Male |
|---|---|---|---|---|---|
| Control | 4.66 ± 0.08 | 25.85 ± 0.30 | 5.00 ± 0.07 | 87.33 ± 5.45 | 76.87 ± 4.69 |
| 5.0 A | 25.0 A | 5.0 A | 90.0 A | 71.0 A | |
| Exposure of parental female adults | 4.76 ± 0.07 | 25.71 ± 0.51 | 5.26 ± 0.10 | 104.22 ± 7.68 | 91.88 ± 8.88 |
| 5.0 A | 25.0 A | 5.0 A | 98.0 A | 82.0 A | |
| H | 1.163 | 0.985 | 3.474 | 522.500 | 1.770 |
| DF | 1 | 1 | 1 | 1 | 1 |
| p | 0.281 | 0.321 | 0.062 | 0.084 | 0.183 |
| Treatment | Net Reproductive Rate (Females/Female) | Intrinsic Rate of Increase (Females/Female/Day) | Finite Rate of Increase | Mean Generation Time (Days) | Doubling Time (Days) | |||||
|---|---|---|---|---|---|---|---|---|---|---|
| Mean | 95% C.I. | Mean | 95% C.I. | Mean | 95% C.I. | Mean | 95% C.I. | Mean | 95% C.I. | |
| Control | 14.3 A | 9.7–18.7 | 0.038 A | 0.032–0.043 | 1.039 A | 1.032–1.044 | 70.0 A | 65.7–74.3 | 18.5 A | 16.1–22.0 |
| Exposure of parental female adults | 9.3 A | 4.6–14.4 | 0.028 A | 0.020–0.035 | 1.029 A | 1.020–1.036 | 76.9 A | 69.1–88.0 | 24.9 A | 19.8–34.7 |
© 2020 by the authors. Licensee MDPI, Basel, Switzerland. This article is an open access article distributed under the terms and conditions of the Creative Commons Attribution (CC BY) license (http://creativecommons.org/licenses/by/4.0/).
Share and Cite
Skourti, A.; Kavallieratos, N.G.; Papanikolaou, N.E. How Is Fitness of Tribolium castaneum (Herbst) (Coleoptera: Tenebrionidae) Affected When Different Developmental Stages Are Exposed to Chlorfenapyr? Insects 2020, 11, 542. https://doi.org/10.3390/insects11080542
Skourti A, Kavallieratos NG, Papanikolaou NE. How Is Fitness of Tribolium castaneum (Herbst) (Coleoptera: Tenebrionidae) Affected When Different Developmental Stages Are Exposed to Chlorfenapyr? Insects. 2020; 11(8):542. https://doi.org/10.3390/insects11080542
Chicago/Turabian StyleSkourti, Anna, Nickolas G. Kavallieratos, and Nikos E. Papanikolaou. 2020. "How Is Fitness of Tribolium castaneum (Herbst) (Coleoptera: Tenebrionidae) Affected When Different Developmental Stages Are Exposed to Chlorfenapyr?" Insects 11, no. 8: 542. https://doi.org/10.3390/insects11080542
APA StyleSkourti, A., Kavallieratos, N. G., & Papanikolaou, N. E. (2020). How Is Fitness of Tribolium castaneum (Herbst) (Coleoptera: Tenebrionidae) Affected When Different Developmental Stages Are Exposed to Chlorfenapyr? Insects, 11(8), 542. https://doi.org/10.3390/insects11080542

