Photosynthesis Inhibiting Effects of Pesticides on Sweet Pepper Leaves
Abstract
1. Introduction
2. Materials and Methods
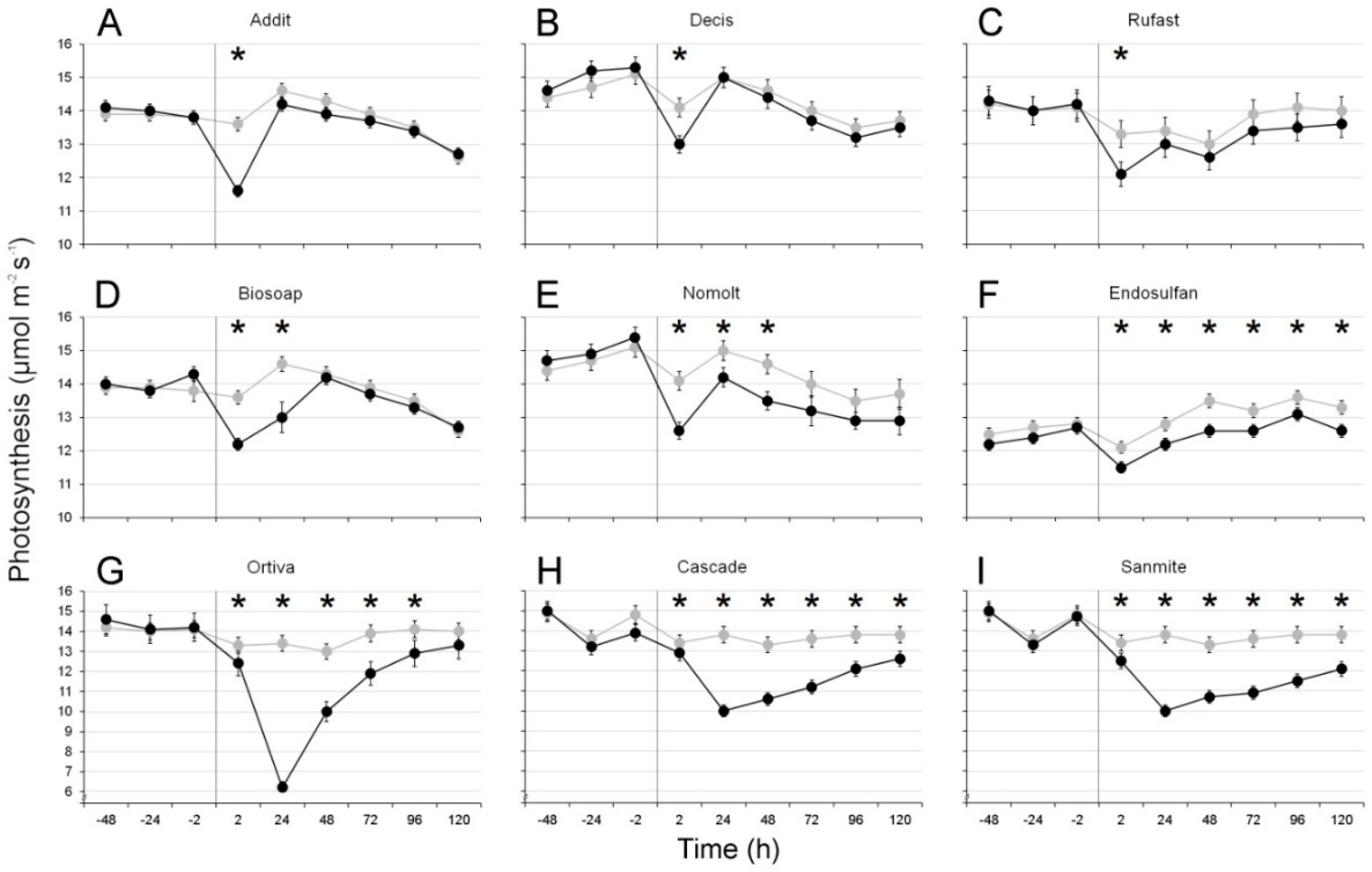
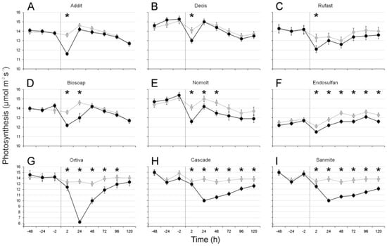
3. Results
4. Discussion
Author Contributions
Funding
Acknowledgments
Conflicts of Interest
References
- Roditakis, E.; Vasakis, E.; García-Vidal, L.; del Rosario Martínez-Aguirre, M.; Rison, J.L.; Haxaire-Lutun, M.O.; Nauen, R.; Tsagkarakou, A.; Bielza, P. A four-year survey on insecticide resistance and likelihood of chemical control failure for tomato leaf miner Tuta absoluta in the European/Asian region. J. Pest Sci. 2018, 91, 421–435. [Google Scholar] [CrossRef]
- Chintalapati, P.; Katti, G.; Puskur, R.R.; Nagella Venkata, K. Neonicotinoid-induced resurgence of rice leaffolder, Cnaphalocrocis medinalis (Guénee). Pest Manag. Sci. 2016, 72, 155–161. [Google Scholar] [CrossRef]
- Desneux, N.; Decourtye, A.; Delpuech, J.M. The sublethal effects of pesticides on beneficial arthropods. Annu. Rev. Entomol. 2007, 52, 81–106. [Google Scholar] [CrossRef] [PubMed]
- Mac Loughlin, T.M.; Peluso, L.; Marino, D.J. Pesticide impact study in the peri-urban horticultural area of Gran La Plata, Argentina. Sci. Total Environ. 2017, 598, 572–580. [Google Scholar] [CrossRef] [PubMed]
- Hansen, B.; Alrøe, H.F.; Kristensen, E.S. Approaches to assess the environmental impact of organic farming with particular regard to Denmark. Agric. Ecosyst. Environ. 2001, 83, 11–26. [Google Scholar] [CrossRef]
- Alavanja, M.C. Introduction: Pesticides use and exposure, extensive worldwide. Rev. Environ. Health 2009, 24, 303–310. [Google Scholar] [CrossRef] [PubMed]
- Gomiero, T.; Pimentel, D.; Paoletti, M.G. Environmental impact of different agricultural management practices: Conventional vs. organic agriculture. Crit. Rev. Plant Sci. 2011, 30, 95–124. [Google Scholar] [CrossRef]
- Environmental Protection Agency (EPA) Website. Pesticides Industry Sales and Usage. Available online: https://www.epa.gov/sites/production/files/2017-01/documents/pesticides-industry-sales-usage-2016_0.pdf (accessed on 10 October 2019).
- European and Mediterranean Plant Protection Organization (EPPO). Efficacy evaluation of plant protection products, PP 1/135 (4) Phytotoxicity assessment. Bull. OEPP/EPPO Bull. 2014, 44, 265–273. [Google Scholar] [CrossRef]
- Petit, A.N.; Fontaine, F.; Vatsa, P.; Clément, C.; Vaillant-Gaveau, N. Fungicide impacts on photosynthesis in crop plants. Photosynth. Res. 2012, 111, 315–326. [Google Scholar] [CrossRef]
- Ferree, D.C. Influence of pesticides on photosynthesis of crop plants. In Photosynthesis and Plant Development; Marcelle, R., Clijsters, H., van Poucke, M., Eds.; Junk: The Hague, The Netherlands, 1979; pp. 331–341. [Google Scholar]
- Murthy, C.S.H.N. Effect of pesticides on photosynthesis. Residue Rev. 1983, 86, 107–129. [Google Scholar]
- Krugh, B.W.; Miles, D. Monitoring the effects of five “nonherbicidal pesticide chemicals on terrestrial plants using chlorophyll fluorescence”. Environ. Toxicol. Chem. 1996, 15, 495–500. [Google Scholar] [CrossRef]
- Toscano, N.C.; Sances, M.W.; Jonson, M.W.; LaPré, L.F. Effect of various pesticides on lettuce physiology and yield. J. Econ. Entomol. 1982, 75, 738–741. [Google Scholar] [CrossRef]
- Johnson, M.W.; Welter, S.C.; Toscano, N.C.; Iwata, Y.; Ting, P. Lettuce yield reductions correlated with methyl parathion use. J. Econ. Entomol. 1983, 76, 1390–1394. [Google Scholar] [CrossRef]
- Haile, F.J.; Kerns, D.L.; Richardson, J.M.; Higley, L.G. Impact of insecticides and surfactant on lettuce physiology and yield. J. Econ. Entomol. 2000, 93, 788–794. [Google Scholar] [CrossRef]
- Youngman, R.R.; Leigh, T.F.; Kerby, T.A.; Toscano, N.C.; Jackson, C.E. Pesticides and cotton: Effect on photosynthesis, growth, and fruiting. J. Econ. Entomol. 1990, 83, 1549–1557. [Google Scholar] [CrossRef]
- Haile, F.J.; Peterson, R.K.D.; Higley, L.G. Gas-exchange responses of alfalfa and soybean treated with insecticides. J. Econ. Entomol. 1999, 92, 954–959. [Google Scholar] [CrossRef]
- Jones, V.P.; Youngman, R.R.; Parrella, M.P. Effect of selected acaricides on photosynthetic rates of lemon and orange leaves in California. J. Econ. Entomol. 1983, 76, 1179–1180. [Google Scholar] [CrossRef]
- Laprè, L.F.; Sances, F.V.; Toscano, N.C.; Oatman, E.R.; Voth, V.; Johnson, M.W. The effects of acaricides on the physiology, growth, and yield of strawberries. J. Econ. Entomol. 1982, 75, 616–619. [Google Scholar] [CrossRef]
- Godfrey, L.D.; Holtzer, T.O. Effects of soil-incorporated insecticides and foliar applied chemicals on corn gas-exchange parameters. Crop Prot. 1992, 11, 427–432. [Google Scholar] [CrossRef]
- Andersen, P.C.; Mizell, R.F.; French, W.J.; Aldrich, J.H. Effect of multiple applications of pesticides on leaf gas exchange of peach. Hort. Sci. 1986, 21, 508–510. [Google Scholar]
- Abdel-Reheem, S.; Belal, M.H.; Gupta, G. Photosynthesis inhibition of soybean leaves by insecticides. Environ. Pollut. 1991, 74, 245–250. [Google Scholar] [CrossRef]
- Kingleman, W.E.; Buntin, G.D.; van Iersel, M.W.; Braman, S.K. Whole plant gas exchange, not individual leaf-measurements, accurately assesses azalea response to insecticides. Crop Prot. 2000, 19, 407–415. [Google Scholar]
- Wood, B.W.; Payne, J.A. Net photosynthesis of orchard grown pecan leaves reduces by insecticide sprays. Hort. Sci. 1986, 21, 112–113. [Google Scholar]
- Lloyd, R.W.; Krieg, D.R. Cotton development and yield as affected by insecticides. J. Econ. Entomol. 1987, 80, 854–858. [Google Scholar] [CrossRef]
- Cajamar Website. Análisis de la Campaña Hortofrutícola de Almería, Campaña 2017/2018. Available online: https://www.publicacionescajamar.es/series-tematicas/informes-coyuntura-analisis-de-campana/analisis-de-la-campana-hortofruticola-de-almeria-campana-20172018 (accessed on 9 October 2019).
- Junta de Andalucía Website. Avance de Superficies y Producciones. Available online: https://www.juntadeandalucia.es/organismos/agriculturaganaderiapescaydesarrollosostenible/servicios/estadisticas/detalle/69831.html (accessed on 21 September 2019).
- Van der Blom, J. Microbiological insecticides against lepidopteran pests in greenhouse horticulture in Almeria, Spain. Bull. OEPP/EPPO Bull. 2009, 45, 59–62. [Google Scholar]
- Bielza, P. Insecticide resistance management strategies against the western flower thrips, Frankliniella occidentalis. Pest Manag. Sci. 2008, 64, 1131–1138. [Google Scholar] [CrossRef]
- Van der Blom, J. Applied entomology in Spanish greenhouse horticulture. Proc. Neth Entomol. Soc. Meet. 2010, 21, 9–17. [Google Scholar]
- Pesticide Properties Database Website. Endosulfan. Available online: https://sitem.herts.ac.uk/aeru/ppdb/en/Reports/264.htm (accessed on 20 September 2019).
- Pesticide Properties Database Website: Flufenoxuron. Available online: https://sitem.herts.ac.uk/aeru/ppdb/en/Reports/332.htm (accessed on 20 September 2019).
- Menezes, R.G.; Qadir, T.F.; Moin, A.; Fatima, H.; Hussain, S.A.; Madadin, M.; Senthilkumaran, S. Endosulfan poisoning: An overview. J. Forensic Leg. Med. 2017, 51, 27–33. [Google Scholar] [CrossRef]
- Isogai, N.; Hogarh, J.N.; Seike, N.; Kobara, Y.; Oyediran, F.; Wirmvem, M.J.; Ayonghe, S.N.; Masunaga, S. Atmospheric monitoring of organochlorine pesticides across some West African countries. Environ. Sci. Pollut. Res. 2016, 32, 31828–31835. [Google Scholar] [CrossRef]
- Ibrahim, E.G.; Yakubu, N.; Nnamonu, L.; Yakubu, J.M. Determination of organochlorine pesticide residues in pumpkin, spinach and sorrel leaves grown in Akwanga, Nasarawa State, Nigeria. J. Environ. Prot. 2018, 9, 508–515. [Google Scholar] [CrossRef]
- Kumar, M.; Philip, L. Remediation of endosulfan contaminated system by microbes. In Microbe-Induced Degradation of Pesticides; Singh, S.N., Ed.; Springer: Cham, Switzerland, 2017; pp. 59–81. [Google Scholar]
- Radhakrishnan, S. A note on wildlife poisoning cases from Kerala, South India. Eur. J. Wildlife Res. 2018, 64, 58. [Google Scholar] [CrossRef] [PubMed]
- Shaurub, E.S.H.; Zohdy, N.Z.; Abdel-Aal, A.E.; Emara, S.A. Effect of chlorfluazuron and flufenoxuron on development and reproductive performance of the black cutworm, Agrotis ipsilon (Hufnagel)(Lepidoptera: Noctuidae). Invertebr. Reprod. Dev. 2018, 62, 27–34. [Google Scholar] [CrossRef]
- Chang, J.; Li, W.; Guo, B.; Xu, P.; Wang, Y.; Li, J.; Wang, H. Unraveling the different toxic effect of flufenoxuron on the thyroid endocrine system of the Mongolia racerunner (Eremias Argus) at different stages. Chemosphere 2017, 172, 210–216. [Google Scholar] [CrossRef] [PubMed]
- Suzuki, Y.; Shiotsuki, T.; Jouraku, A.; Miura, K.; Minakuchi, C. Benzoylurea resistance in western flower thrips Frankliniella occidentalis (Thysanoptera: Thripidae): The presence of a point mutation in chitin synthase 1. J. Pestic. Sci. 2017, 42, 93–96. [Google Scholar] [CrossRef]
- Van Lenteren, J.C. Biological control for insect pests in greenhouses: An unexpected success. In Biological Control: A Global Perspective: Case Studies from Around the World; Charles Vincent, C., Goettel, M.S., Lazarovits, G., Eds.; CAB Int.: Wallingford, UK, 2007; pp. 105–117. [Google Scholar]

| Commercial Name | Active Ingredient | Cc | Maximum Reduction (%) | Moment (h) | Duration (h) |
|---|---|---|---|---|---|
| Addit® | Plant oil | 250 cc/hL | 15% | 2 | 2 |
| Align® (3.2% p/v EC) | Azadirachtin | 150 cc/hL | NS | - | - |
| Apache® (1.8% EC) | Abamectin | 60 cc/hL | NS | - | - |
| Applaud® (25% WP) | Buprofezin | 80 gr/hL | NS | - | - |
| Biosoap® | Fatty acids | 1000 cc/hL | 11% | 2 | 24 |
| Cascade® (10% p/v DC) | Flufenoxuron | 100 cc/hL | 28% | 24 | 120 |
| Confidor® (20% p/v SL) | Imidacloprid | 75 cc/hL | NS | - | - |
| Decis® (2.5% p/v EC) | Deltamethrin | 50 cc/hL | 8% | 2 | 2 |
| Dicarzol® (50% SP) | Formetanate | 200 gr/hL | NS | - | - |
| Endosulfan (35% p/v EC) | Endosulfan | 300 cc/hL | 7% | 48 | 120 |
| Galben®(8% + 65% WP) | Benalaxyl + Mancozeb | 250 gr/hL | NS | - | - |
| Karate King® (2.5% WG) | Lambda-cyhalothrin | 80 gr/hL | NS | - | - |
| Malafin 90® (90% p/v EC) | Malathion | 200 cc/hL | NS | - | - |
| Match® (5% p/v EC) | Lufenuron | 200 cc/hL | NS | - | - |
| Mimic® (24% p/v SC) | Tebufenozide | 75 cc/hL | NS | - | - |
| Nomolt® (15% p/v SC) | Teflubenzuron | 60 cc/hL | 11% | 2 | 48 |
| Ortiva®(25% p/v SC) | Azoxystrobin | 80 cc/hL | 54% | 24 | 96 |
| Ripcord® (10% p/v EC) | Cypermethrin | 100 cc/hL | NS | - | - |
| Rufast® (7.5% EW) | Acrinathrin | 80 cc/hL | 9% | 2 | 2 |
| Sanmite® (20% WP) | Pyridaben | 100 gr/hL | 28% | 24 | 120 |
| Sulfur (80% WP) | Wettable sulfur | 400 gr/hL | NS | - | - |
| Trigard® (75% WP) | Cyromazine | 40 gr/hL | NS | - | - |
© 2020 by the authors. Licensee MDPI, Basel, Switzerland. This article is an open access article distributed under the terms and conditions of the Creative Commons Attribution (CC BY) license (http://creativecommons.org/licenses/by/4.0/).
Share and Cite
Giménez–Moolhuyzen, M.; van der Blom, J.; Lorenzo–Mínguez, P.; Cabello, T.; Crisol–Martínez, E. Photosynthesis Inhibiting Effects of Pesticides on Sweet Pepper Leaves. Insects 2020, 11, 69. https://doi.org/10.3390/insects11020069
Giménez–Moolhuyzen M, van der Blom J, Lorenzo–Mínguez P, Cabello T, Crisol–Martínez E. Photosynthesis Inhibiting Effects of Pesticides on Sweet Pepper Leaves. Insects. 2020; 11(2):69. https://doi.org/10.3390/insects11020069
Chicago/Turabian StyleGiménez–Moolhuyzen, Miguel, Jan van der Blom, Pilar Lorenzo–Mínguez, Tomás Cabello, and Eduardo Crisol–Martínez. 2020. "Photosynthesis Inhibiting Effects of Pesticides on Sweet Pepper Leaves" Insects 11, no. 2: 69. https://doi.org/10.3390/insects11020069
APA StyleGiménez–Moolhuyzen, M., van der Blom, J., Lorenzo–Mínguez, P., Cabello, T., & Crisol–Martínez, E. (2020). Photosynthesis Inhibiting Effects of Pesticides on Sweet Pepper Leaves. Insects, 11(2), 69. https://doi.org/10.3390/insects11020069

