Olive Production Threatened by a Resurgent Pest Liothrips oleae (Costa, 1857) (Thysanoptera: Phlaeothripidae) in Southern Italy
Abstract
Simple Summary
Abstract
1. Introduction
2. Materials and Methods
2.1. Study Site
2.2. Sampling of Olive Fruits and Olive Shoots
2.3. Thrips Sample Collection
2.4. Morphological Identification of the Target Thrips Species
2.5. Molecular Identification of the Southern Italian L. oleae Adult Specimens
DNA Extraction, Amplification, and Sequencing
2.6. Statistical Analysis
3. Results
3.1. Morphological Description of the Southern Italian L. oleae Specimens
3.2. Larvae
3.3. Molecular Analysis
3.3.1. Amplification and Alignment of the COI, ITS2, and 28S Genes
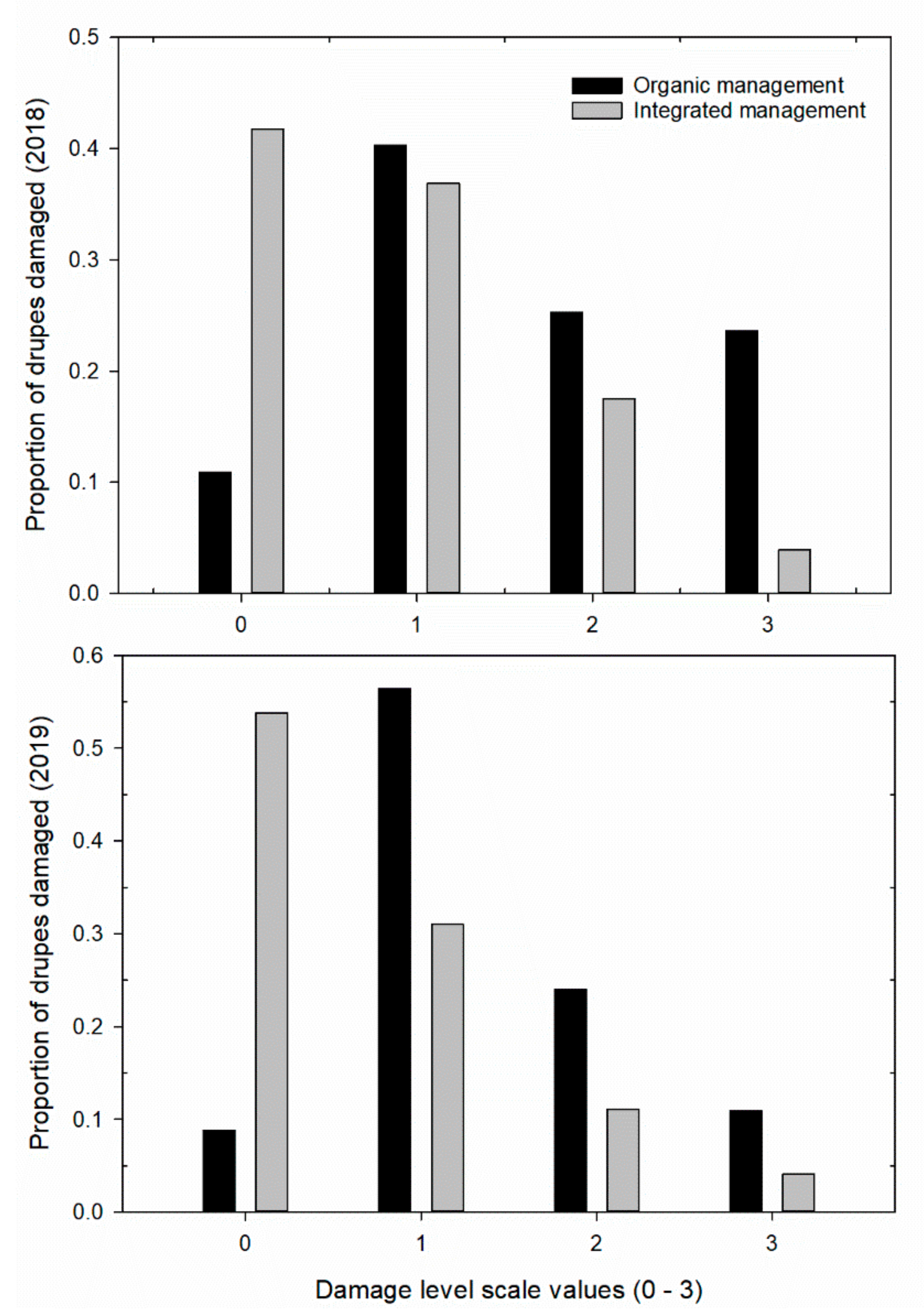
3.3.2. Damage Levels of the Drupes and Leaves
4. Discussion and Conclusions
Author Contributions
Funding
Acknowledgments
Conflicts of Interest
References
- Melis, A.; Baccetti, B. Metodi di lotta vecchi e nuovi sperimentati contro i principali fitofagi dell’olivo in Toscana nel 1960. Redia 1960, 45, 193–217. [Google Scholar]
- Haber, G.; Mifsud, D. Pests and diseases associated with olive trees in the Maltese Islands (Central Mediterranean). Cent. Mediterr. Nat. 2007, 4, 142–161. [Google Scholar]
- Kurcharczyk, H.; Zawirska, I. On the Occurrence of Thysanoptera in Poland. In Thrips and Tospoviruses, Proceedings on the 7th International Symposium on Thysanoptera, Reggio Calabria, Italy, 7–11 July 2001; CSIRO Entomology: Clayton South, Australia, 2001; pp. 341–344. [Google Scholar]
- Morison, G.D. Thysanoptera from south-west Arabia and Ethiopia. J. Proc. Linn. Soc. 1958, 43, 587–598. [Google Scholar] [CrossRef]
- Marullo, R.; Vono, G. Forti attacchi di Liothrips oleae su olivo in Calabria. L’informatore Agrario 2017, 36, 51–55. [Google Scholar]
- Mound, L.A.; Pereyra, V. Liothrips tractabilis sp. n. (Thysanoptera: Phlaeothripinae) from Argentina. Neotrop. Entomol. 2008, 37, 63–67. [Google Scholar] [CrossRef]
- Ramanand, H.; Mc Connachie, A.J.; Olckers, T. Thermal tolerance of Liothrips tractabilis, a biological control agent of Campuloclinium macrocephalum recently established in South Africa. Entomol. Exp. Appl. 2017, 162, 234–242. [Google Scholar] [CrossRef]
- Del-Claro, K.; Mound, L.A. Phenology and description of a new species of Liothrips (Thysanoptera: Phlaeothripidae) from Didymopanax (Araliaceae) in Brazilian cerrado. Rev. Biol. Trop. 1996, 44, 193–197. [Google Scholar]
- Costa, A. Degl’Insetti che Attaccano l’Albero ed il Frutto dell’Olivo, del Ciliegio, del Pero, del Melo, del Castagno, e della Vite, e le Semenze del Pisello, della Lenticchia, della Fava, e del Grano; loro Descrizione e Biologia, Danni che Arrecano e Mezzi per Distruggerli; Reale Accademia delle Scienze Fisiche e Matematiche di Napoli: Naples, Italy, 1857; pp. 80–82. [Google Scholar]
- Priesner, H. Ordnung Thysanoptera. Bestimmungsbucher zur Bodenfauna Europas. Lief 2; Akademie-Verlag: Berlin, Germany, 1964; p. 242. [Google Scholar]
- Uzel, H. Monographie der Ordnung Thysanoptera; Königgrätz: Bohemia, Czech Republic, 1895; p. 472. [Google Scholar]
- Mound, L.A. A review of R.S. Bagnall’s Thysanoptera Collections. Bull. Br. Mus. Nat. Hist. Entomol. Ser. 1968, 11, 1–181. [Google Scholar]
- Bagnall, R.S. On some new genera and species of Thysanoptera. Trans. Nat. Hist. Soc. Northumbr. 1908, 3, 183–217. [Google Scholar]
- Stannard, L.J. The Phylogeny and Classification of the North American Genera of the Suborder Tubulifera (Thysanoptera); Illinois Biological Monographs; University of Illinois Press: Champaign, IL, USA, 1957; Volume 25, pp. 1–200. [Google Scholar]
- Silvestri, F. Rassegna degli insetti dell’olivo del bacino del Mediterraneo. In Proceedings of the XI Internazionale Congresso di Olivicoltura, Lisbon, Portugal, 26 November–1 December 1933; 42p. [Google Scholar]
- Bournier, A. Un nouveau cas de parthenogenèse arrenothoque: Liothrips oleae (Costa). Arch. Zool. Exp. Gen. 1956, 93, 135–141. [Google Scholar]
- Bournier, A. Les Thrips. Biologie-Importance Agronomique; Inra: Paris, France, 1983; pp. 1–128. [Google Scholar]
- Mound, L.A.; Kibby, G. Thysanoptera: An Identification Guide; CABI International: Wallingford, UK, 1998; p. 70. [Google Scholar]
- Marullo, R. Conoscere i Tisanotteri. Guida al Riconoscimento delle Specie Dannose alle Colture Agrarie; Edagricole: Bologna, Italy, 2003; p. 75. [Google Scholar]
- ThripsID. Available online: www.thrips.net (accessed on 27 April 2020).
- Mound, L.A.; Marullo, R. The Thrips of Central and South America: An Introduction. Mem. Entomol. Int. 1996, 6, 1–488. [Google Scholar]
- Walsh, P.S.; Metzger, D.A.; Higuchi, R. Chelex 100 as a medium for simple extraction of DNA for PCR-based typing from forensic material. BioTechniques 1991, 10, 506–513. [Google Scholar] [CrossRef]
- Simon, C.; Frati, F.; Beckenbach, A.; Crespi, B.; Liu, H.; Flook, P. Evolution, weighting, and phylogenetic utility of mitochondrial gene sequences and a compilation of conserved polymerase chain reaction primers. Ann. Entomol. Soc. Am. 1994, 87, 651–701. [Google Scholar] [CrossRef]
- Campbell, B.C.; Steffen-Campbell, J.D.; Werren, J.H. Phylogeny of the Nasonia species complex (Hymenoptera: Pteromalidae) inferred from an internal transcribed spacer (ITS2) and 28S rDNA sequences. Insect Mol. Biol. 1993, 2, 225–237. [Google Scholar] [CrossRef]
- Hall, T.A. BioEdit: A user-friendly biological sequence alignment editor and analysis program for Windows 95/98/NT. Nucleic Acids Symp. Ser. 1999, 41, 95–98. [Google Scholar]
- Madeira, F.; Park, Y.M.; Lee, J.; Buso, N.; Gur, T.; Madhusoodanan, N.; Basutkar, P.; Tivey, A.R.N.; Potter, S.C.; Finn, R.D.; et al. The EMBL-EBI search and sequence analysis tools APIs in 2019. Nucleic Acids Res. 2019, 47, W636–W641. [Google Scholar] [CrossRef]
- National Center for Biotechnology Information (NCBI) Bethesda (MD): National Library of Medicine (US), National Center for Biotechnology Information. 1988. Available online: https://www.ncbi.nlm.nih.gov/ (accessed on 21 April 2020).
- Lanfear, R.; Frandsen, P.B.; Wright, A.M.; Senfeld, T.; Calcott, B. PartitionFinder 2: New methods for selecting partitioned models of evolution for molecular and morphological phylogenetic analyses. Mol. Boil. Evol. 2017, 34, 772–773. [Google Scholar] [CrossRef]
- Ranneby, B. The maximum spacing method. An estimation method related to the maximum Likelihood method. Scand. J. Stat. 1984, 11, 93–112. [Google Scholar]
- Kumar, S.; Stecher, G.; Tamura, K. MEGA 7: Molecular Evolutionary Genetics Analysis version 7.0 for biggest databases. Mol. Biol. Evol. 2016, 33, 1870–1874. [Google Scholar] [CrossRef]
- IBM Corp. Released (2015): IBM SPSS Statistics for Windows, Version 23.0; IBM Corp.: Armonk, NY, USA, 2015. [Google Scholar]
- Systat Software. Sigmaplot 13.0 (2018); Systat Copyright © Systat Software: San Jose, CA, USA, 2018. [Google Scholar]
- Liu, H.; Beckenbach, A.T. Evolution of the mitochondrial cytochrome oxidase II gene among 10 orders of insects. Mol. Phylogenet. Evol. 1992, 1, 41–52. [Google Scholar] [CrossRef]
- Saitou, N.; Nei, M. The neighbor-joining method: A new method for reconstructing phylogenetic trees. Mol. Biol. Evol. 1987, 4, 406–425. [Google Scholar]
- Dutcher, J.D. A Review of Resurgence and Replacement Causing Pest Outbreaks in IPM. In General Concepts in Integrated Pest and Disease Management; Ciancio, A., Mukerji, K.G., Eds.; Springer: Berlin/Heidelberg, Germany, 2007; pp. 27–43. [Google Scholar]
- Hill, M.P.; Macfadyen, S.; Nash, M.A. Broad spectrum pesticide application alters natural enemy communities and may facilitate secondary pest outbreaks. PeerJ 2017, 5, e4179. [Google Scholar] [CrossRef] [PubMed]
- Zvaríková, M.; Masarovič, R.; Bohuš, M.; Fedor, P. Another climate change induced infiltration? The northernmost record of thermophilous spore feeding Allothrips pillichellus (Thysanoptera: Phlaeothripidae: Idolothripinae). Biologia 2017, 72, 961–964. [Google Scholar] [CrossRef]
- Bonsignore, C.P.; Vono, G.; Bernardo, U. Environmental thermal levels affect the phenological relationships between the chestnut gall wasp and its parasitoids. Physiol. Entomol. 2019, 44, 87–98. [Google Scholar] [CrossRef]
- Ouyang, F.; Hui, C.; Ge, S.; Men, X.Y.; Zhao, Z.H.; Shi, P.J.; Zhang, Y.S.; Li, B.L. Weakening density dependence from climate change and agricultural intensification triggers pest outbreaks: A 37-year observation of cotton bollworms. Ecol. Evol. 2014, 4, 3362–3374. [Google Scholar] [CrossRef] [PubMed]
- Bonsignore, C.P.; Vizzari, G.; Vono, G.; Bernardo, U. Short-Term Cold Stress Affects Parasitism on the Asian Chestnut Gall Wasp Dryocosmus kuriphilus. Insects 2020, 11, 841. [Google Scholar] [CrossRef] [PubMed]
- Childers, C.C.; Achor, D.S. Thrips Feeding and Oviposition Injuries to Economic Plants, Subsequent Damage and Host Responses to Infestation. In Thrips Biology and Management; Parker, B.L., Skinner, M., Lewis, T., Eds.; Plenum Press: New York, NY, USA, 1995; pp. 31–52. [Google Scholar]
- Gonzalez-Andujar, J.L. Expert system for pests, diseases and weeds identification in olive crops. Expert Syst. Appl. 2009, 36, 3278–3283. [Google Scholar] [CrossRef]
- Mascarenhas, A.L.S.; Waldschmidt, A.M.; Silva, J.C., Jr. Population structure and genetic diversity in Gynaikothrips uzeli (Thysanoptera: Phlaeothripidae): Is there a correlation between genetic and geographic proximity? Genet. Mol. Res. 2015, 14, 9793–9803. [Google Scholar] [CrossRef] [PubMed]
- Marullo, R.; Mercati, F.; Vono, G. DNA Barcoding: A Reliable Method for the Identification of Thrips Species (Thysanoptera, Thripidae) Collected on Sticky Traps in Onion Fields. Insects 2020, 11, 489. [Google Scholar] [CrossRef] [PubMed]
- Inoue, T.; Sakurai, T. The phylogeny of Thrips (Thysanoptera: Thripidae) based on partial sequences of cytochrome oxidase I, 28S ribosomal DNA and elongation factor-1α and the association with vector competences of tospoviruses. Appl. Entomol. Zool. 2007, 42, 71–81. [Google Scholar] [CrossRef][Green Version]
- Buckman, R.S.; Mound, L.A.; Whiting, M.F. Phylogeny of thrips (Insecta: Thysanoptera) based on five molecular loci. Syst. Entomol. 2013, 38, 123–133. [Google Scholar] [CrossRef]
- Suryanto, D. Selection and Characterization of Bacterial Isolates for Monocyclic Aromatic Degradation. Master’s Thesis, Institut Pertanian Bogor, Bogor, Indonesia, 2001. [Google Scholar]





| Sites | Location | Province | Latitude | Longitude | Management |
|---|---|---|---|---|---|
| 1 | Stalettì | Catanzaro | 38°45′45.9″ N | 16°31′10.3″ E | O |
| 2 | Stalettì | Catanzaro | 38°64′24.4″ N | 16°32′7.2″ E | O |
| 3 | Belcastro | Catanzaro | 38°59′35.7″ N | 16°50′28.9″ E | I |
| 4 | Belcastro | Catanzaro | 39°1′30.4″ N | 16°48′34.2″ E | I |
| Thrips Population Code | Date of Record | Host Plant | Location | Coordinates | Gene Sequences | Accession Number |
|---|---|---|---|---|---|---|
| 1LO4 | 17/05/2018 | Olea europea Carolea cv. | Stalettì (CZ) | 38°45′45.9″ N 16°31′10.3″ E | COI | MT466525 |
| ITS2 | MT559509 | |||||
| 28S | MT498786 | |||||
| MLO9 | 08/06/2018 | Olea europea Carolea cv. | Belcastro (CZ) | 38°59′35.7″ N 16°50′28.9″ E | COI | MT466530 |
| ITS2 | MT559514 | |||||
| 28S | MT498796 |
| Year | Drupes | Leaves | ||||||
|---|---|---|---|---|---|---|---|---|
| Level of Damage to Drupes | df | Wald Chi-Square | p | Symptomatic Leaves | df | Wald Chi-Square | p | |
| 2018 | Management (O, I) | 1 | 83.09 | <0.001 | Intercept | 1 | 1879.67 | <0.001 |
| Sectors of exposure | 4 | 8,88 | 0.064 | Management (O, I) | 1 | 173.45 | <0.001 | |
| Average diameter drupe | 1 | 144.64 | <0.001 | Sectors of exposure | 4 | 9.25 | 0.055 | |
| 2019 | Management (O, I) | 1 | 356.65 | <0.001 | Intercept | 1 | 2056.03 | <0.001 |
| Sectors of exposure | 4 | 3.88 | 0.422 | Management (O, I) | 1 | 11.26 | 0.002 | |
| Average diameter drupe | 1 | 113.22 | <0.001 | Sectors of exposure | 4 | 16.85 | 0.001 | |
| Source | df | Wald Chi-Square | p |
|---|---|---|---|
| Intercept | 1 | 8288.32 | <0.001 |
| Year | 1 | 0.88 | 0.065 |
| Sectors of exposure | 3 | 10.730 | 0.013 |
| Management (O, I) | 1 | 135.55 | <0.001 |
Publisher’s Note: MDPI stays neutral with regard to jurisdictional claims in published maps and institutional affiliations. |
© 2020 by the authors. Licensee MDPI, Basel, Switzerland. This article is an open access article distributed under the terms and conditions of the Creative Commons Attribution (CC BY) license (http://creativecommons.org/licenses/by/4.0/).
Share and Cite
Vono, G.; Bonsignore, C.P.; Gullo, G.; Marullo, R. Olive Production Threatened by a Resurgent Pest Liothrips oleae (Costa, 1857) (Thysanoptera: Phlaeothripidae) in Southern Italy. Insects 2020, 11, 887. https://doi.org/10.3390/insects11120887
Vono G, Bonsignore CP, Gullo G, Marullo R. Olive Production Threatened by a Resurgent Pest Liothrips oleae (Costa, 1857) (Thysanoptera: Phlaeothripidae) in Southern Italy. Insects. 2020; 11(12):887. https://doi.org/10.3390/insects11120887
Chicago/Turabian StyleVono, Gregorio, Carmelo Peter Bonsignore, Gregorio Gullo, and Rita Marullo. 2020. "Olive Production Threatened by a Resurgent Pest Liothrips oleae (Costa, 1857) (Thysanoptera: Phlaeothripidae) in Southern Italy" Insects 11, no. 12: 887. https://doi.org/10.3390/insects11120887
APA StyleVono, G., Bonsignore, C. P., Gullo, G., & Marullo, R. (2020). Olive Production Threatened by a Resurgent Pest Liothrips oleae (Costa, 1857) (Thysanoptera: Phlaeothripidae) in Southern Italy. Insects, 11(12), 887. https://doi.org/10.3390/insects11120887

