Cuticular Hydrocarbon Recognition in the Mating Behavior of Two Pissodes Species
Abstract
1. Introduction
2. Materials and Methods
2.1. Insect Sources
2.2. Mating Recognition Bioassays
2.3. Chemical Analysis of Whole-Body Extraction
2.4. Statistical Analyses
3. Results
3.1. Mating Behavior
3.2. Function of Cuticular Hydrocarbons in Mating Behavior
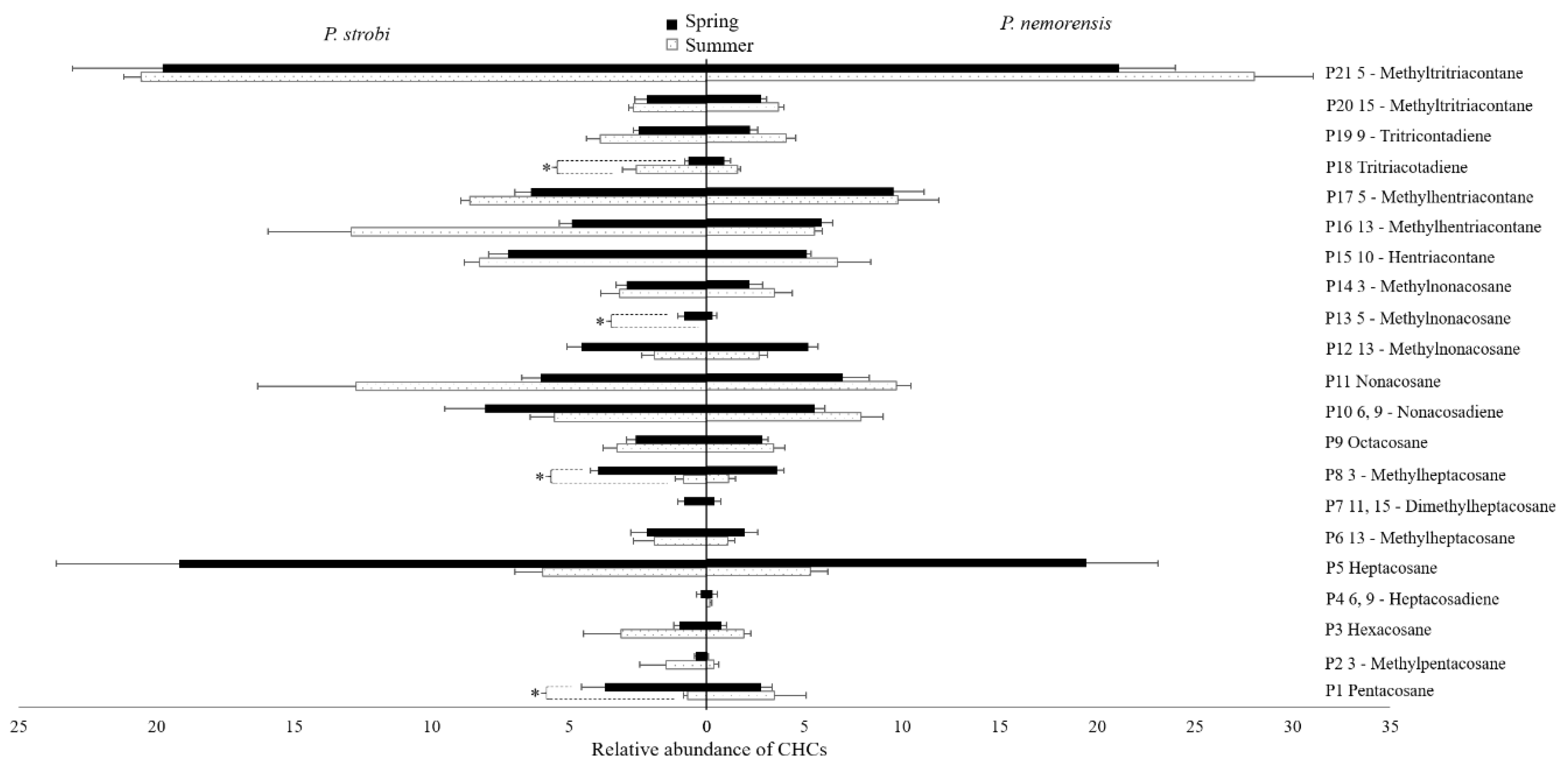
3.3. Chemical Analyses of Cuticular Hydrocarbons
4. Discussion
5. Conclusions
Supplementary Materials
Author Contributions
Funding
Acknowledgments
Conflicts of Interest
References
- Ginzel, M. Hydrocarbons as contact pheromones of longhorned beetles (Coleoptera: Cerambycidae). In Insect Hydrocarbons Biology, Biochemistry, and Chemical Ecology; Blomquist, G.J., Bagnères, A.G., Eds.; Cambridge University Press: Cambridge, UK, 2010; Volume 17, pp. 375–389. [Google Scholar]
- Nojima, S.; Shimomura, K.; Honda, H.; Yamamoto, I.; Ohsawa, K. Contact sex pheromone components of the cowpea weevil, Callosobruchus maculatus. J. Chem. Ecol. 2007, 33, 923–933. [Google Scholar] [CrossRef] [PubMed]
- Hemptinne, J.L.; Lognay, G.; Dixon, A.F.G. Mate recognition in the two-spot ladybird beetle, Adalia bipunctata: role of chemical and behavioural cues. J. Insect Physiol. 1998, 44, 1163–1171. [Google Scholar] [CrossRef]
- Mutis, A.; Parra, L.; Palma, R.; Pardo, F.; Perich, F.; Quiroz, A. Evidence of contact pheromone use in mating behavior of the raspberry weevil (Coleoptera: Curculionidae). Environ. Entomol. 2009, 38, 192–197. [Google Scholar] [CrossRef] [PubMed]
- Fukaya, M.; Yasuda, T.; Wakamura, S.; Honda, H. Reproductive biology of the yellow-spotted longicorn beetle, Psacothea hilaris (Pascoe) (Coleoptera: Cerambycidae). III. Identification of contact sex pheromone on female body surface. J. Chem. Ecol. 1996, 22, 259–270. [Google Scholar] [CrossRef] [PubMed]
- Ginzel, M.; Hanks, L.M. Contact pheromones as mate recognition cues of four species of longhorned beetles (Coleoptera: Cerambycidae). J. Insect Behav. 2003, 16, 181–187. [Google Scholar] [CrossRef]
- Ibeas, F.; Gemeno, C.; Diez, J.J.; Pajares, J.A. Female recognition and sexual dimorphism of cuticular hydrocarbons in Monochamus galloprovincialis (Coleoptera: Cerambycidae). Ann. Entomol. Soc. Am. 2009, 102, 317–325. [Google Scholar] [CrossRef]
- Sato, Y.; Kohama, T. Post-copulatory mounting behavior of the west Indian sweetpotato weevil, Euscepes postfasciatus (Fairmaire) (Coleoptera: Curculionidae). Ethology 2006, 113, 183–189. [Google Scholar] [CrossRef]
- Martins, C.B.C.; Saad, E.B.; de Almeida, L.M.; Zarbin, P.H.G. Cuticular compounds recognition and mating behavior of the rice water weevil Oryzophagus oryzae (Coleoptera, Curculionidae). J. Insect Behav. 2013, 26, 812–823. [Google Scholar] [CrossRef]
- Benelli, G.; Meregalli, M.; Canale, A. Field observations on the mating behavior of Aclees sp. cf. foveatus Voss (Coleoptera: Curculionidae), an exotic pest noxious to Fig Orchards. J. Insect Behav. 2014, 27, 419–427. [Google Scholar] [CrossRef]
- Kamiya, A.C.; Silva, W.D.; Leite, M.O.G.; Tironi, P.; Wadt, L.; Bento, J.M.S. Mating behavior and evidence for male-produced aggregation pheromone in Cyrtomon luridus (Boheman) (Coleoptera: Curculionidae: Entiminae). J. Insect Behav. 2015, 28, 55–66. [Google Scholar] [CrossRef]
- Chouinard, G.; Hill, S.B.; Vincent, C. Spring behavior of the Plum Curculio (Coleoptera: Curculionidae) within caged dwarf apple trees. Ann. Entomol. Soc. Am. 1993, 86, 333–340. [Google Scholar] [CrossRef]
- Lecato, G.L.; Pienkowski, R.L. Laboratory mating behavior of the alfalfa weevil, Hypera postica. Ann. Entomol. Soc. Am. 1969, 63, 1000–1007. [Google Scholar] [CrossRef]
- Wojcik, D.P. Mating behavior of 8 stored-produced beetles (Coleoptera: Dermestidae, Tenebrionidae, Cucujidae, and Curculionidae). Fla. Entomol. 1969, 52, 171–197. [Google Scholar] [CrossRef]
- Walgenbach, C.A.; Burkholder, W.E. Mating behavior of the maize weevil, Sitophilis zeamais (Coleoptera: Curculionidae). Ann. Entomol. Soc. Am. 1987, 80, 578–583. [Google Scholar] [CrossRef]
- Vanderbilt, C.F.; Giblin-Davis, R.M.; Weissling, T.J. Mating behavior and sexual response to aggregation pheromone of Rhynchophorus cruentatus (Coleoptera: Curculionidae). Fla. Entomol. 1998, 81, 351–360. [Google Scholar] [CrossRef]
- Polak, M.; Brown, W.D. Mating tactics and courtship behavior in Cleogonus rubetra (Fabricius) (Coleoptera: Curculionidae). J. Insect Behav. 1995, 8, 453–463. [Google Scholar] [CrossRef]
- Sirot, L.K.; Lapointe, S.L. Patterns and consequences of mating behavior of the root weevil Diaprepes abbreviatus (Coleoptera: Curculionidae). Fla. Entomol. 2008, 91, 400–406. [Google Scholar] [CrossRef]
- Phillips, T.W.; Lanier, G.N. White pine weevil, Pissodes strobi (Coleoptera: Curculionidale), attack on various conifers in New York. Can. Entomol. 1983, 115, 1637–1640. [Google Scholar] [CrossRef]
- Phillips, T.W.; Lanier, G.N. Genetic divergence among populations of white pine weevil, Pissodes strobi (Coleoptera: Curculionidae). Ann. Entomol. Soc. Am. 1985, 78, 744–750. [Google Scholar] [CrossRef]
- Phillips, T.W.; Lanier, G.N. Interspecific activity of semiochemicals among sibling species of Pissodes (Coleoptera: Curculionidae). J. Chem. Ecol. 1986, 12, 1587–1601. [Google Scholar] [CrossRef]
- Godwin, P.A.; Valentine, H.T.; Odell, T.M. Identification of Pissodes strobi, P. approximates, and P. nemorensis (Coleoptera: Curculionidae) using discriminant analysis. Ann. Entomol. Soc. Am. 1982, 75, 599–604. [Google Scholar] [CrossRef]
- Godwin, P.A.; Odell, T.M. Experimental hybridization of Pissodes strobi and P. approximatus (Coleoptera: Curculionidae). Ann. Entomol. Soc. Am. 1967, 60, 55–58. [Google Scholar] [CrossRef]
- Phillips, T.W.; Lanier, G.N. Biosystematics of Pissodes Germar (Coleoptera: Curculionidae): Feeding preference and breeding site specificity of P. Strobi and P. approximatus. Can. Entomol. 1983, 115, 1627–1636. [Google Scholar] [CrossRef]
- Booth, D.C.; Phillips, T.W.; Claesson, A.; Silverstein, R.M.; Lanier, G.N.; West, J.R. Aggregation pheromone components of two species of Pissodes weevils (Coleoptera: Curculionidae): Isolation, identification, and field activity. J. Chem. Ecol. 1983, 9, 1–12. [Google Scholar] [CrossRef]
- Silver, G.T. Studies on the stika spruce weevil, Pissodes Stichensis in British Columbia. Can. Entomol. 1968, 100, 93–110. [Google Scholar] [CrossRef]
- Phillips, T.W.; West, J.R.; Foltz, J.L.; Silverstein, R.M.; Lanier, G.N. Aggregation pheromone of the deodar weevil, Pissodes nemorensis (Coleoptera: Curculionidale): Isolation and activity of grandisol and grandisal. J. Chem. Ecol. 1984, 10, 1417–1423. [Google Scholar] [CrossRef]
- Hibbard, B.E.; Webster, F.X. Enantiomeric composition of grandisol and grandisal produced by Pissodes strobi and Pissodes nemorensis and their electroantennogram response to pure enantiomers. J. Chem. Ecol. 1993, 19, 2129–2141. [Google Scholar] [CrossRef]
- Harman, D.M.; Kuman, H.M. A technique for sexing live White-Pine weevils, Pissodes strobi. Ann. Entomol. Soc. Am. 1965, 59, 315–317. [Google Scholar] [CrossRef]
- Kovats, E. Gas chromatographic characterization of organic substances in the retention index system. Adv. Chromatogr. 1965, 1, 229–247. [Google Scholar]
- Kirkendall, L.R. The evolution of mating systems in bark and ambrosia beetles (Coleoptera: Scolytidae and Platypodidae). Zool. J. Linn. Soc. 1983, 77, 293–352. [Google Scholar] [CrossRef]
- Lapointe, S.L.; Hunter, W.B.; Alessandro, R.T. Cuticular hydrocarbons on elytra of the Diaprepes root weevil Diaprepes abbreviatus (L.) (Coleoptera: Curculionidae). Agric. For. Entomol. 2004, 6, 251–257. [Google Scholar] [CrossRef]
- Dubis, E.; Maliński, E.; Hebanowska, E.; Synak, E.; Pihlaja, K.; Nawort, J.; Szafranek, J. The composition of cuticular hydrocarbons of the bean weevil, Acanthoscelides obtectus Say. Comp. Biochem. Physiol. 1987, 88, 681–685. [Google Scholar] [CrossRef]
- Monzer, M.A.; Srour, H.A. Desiccation intolerance of the red palm weevil, Rhynchophorus ferrugineus (oliv) adults in relation to their cuticular hydrocarbons. Egypt. Acad. J. Biol. Sci. 2009, 2, 47–53. [Google Scholar]
- Blomquist, G.J.; Bagnères, A.G. History and overview of insect hydrocarbons. In Insect Hydrocarbons Biology, Biochemistry, and Chemical Ecology; Blomquist, G.J., Bagnères, A.G., Eds.; Cambridge University Press: Cambridge, UK, 2010; Volume 1, pp. 3–18. [Google Scholar]
- Sun, X.L.; Zhang, X.Z.; Wu, G.Y.; Li, X.W.; Liu, F.J.; Xin, Z.J.; Zhang, J. n-Pentacosane acts both contact and volatile pheromone in the tea weevil, Myllocerinus aurolineatus. J. Chem. Ecol. 2017, 43, 557–562. [Google Scholar] [CrossRef]
- Espelie, K.E.; Payne, J.A. Characterization of the cuticular lipids of the larvae and adults of the pecan weevil, Curculio caryae. Biochem. Syst. Ecol. 1991, 19, 127–132. [Google Scholar] [CrossRef]
- Carlson, D.A.; Beroza, M. Field evaluation of (Z)-9-Tricosene, a sex attractant pheromone of the house fly 1, 2, 3. Environ. Entomol. 1973, 2, 555–560. [Google Scholar] [CrossRef]
- Gibbs, A.G. Water-proofing properties of cuticular lipids. Am. Zool. 1998, 38, 471–482. [Google Scholar] [CrossRef]
- Woodrow, R.J.; Grace, J.K.; Nelson, L.J.; Haverty, M.I. Modification of cuticular hydrocarbons of Cryptotermes brevis (isopteran: Kalotermitidae) in response to temperature and relative humidity. Environ. Entomol. 2000, 29, 1100–1107. [Google Scholar] [CrossRef]



| Population | P. strobi | P. nemorensis | ||
|---|---|---|---|---|
| Male | Female | Male | Female | |
| Spring | 2.325 ± 0.372 a,A | 2.289 ± 0.435 a,A | 1.084 ± 0.282 B | 1.010 ± 0.290 B |
| Summer | 1.252 ± 0.168 b,A | 0.812 ± 0.068 b,A | 0.719 ± 0.106 B | 0.729 ± 0.089 A |
© 2019 by the authors. Licensee MDPI, Basel, Switzerland. This article is an open access article distributed under the terms and conditions of the Creative Commons Attribution (CC BY) license (http://creativecommons.org/licenses/by/4.0/).
Share and Cite
Chen, R.; Xu, T.; Hao, D.; Teale, S.A. Cuticular Hydrocarbon Recognition in the Mating Behavior of Two Pissodes Species. Insects 2019, 10, 217. https://doi.org/10.3390/insects10070217
Chen R, Xu T, Hao D, Teale SA. Cuticular Hydrocarbon Recognition in the Mating Behavior of Two Pissodes Species. Insects. 2019; 10(7):217. https://doi.org/10.3390/insects10070217
Chicago/Turabian StyleChen, Ruixu, Tian Xu, Dejun Hao, and Stephen A. Teale. 2019. "Cuticular Hydrocarbon Recognition in the Mating Behavior of Two Pissodes Species" Insects 10, no. 7: 217. https://doi.org/10.3390/insects10070217
APA StyleChen, R., Xu, T., Hao, D., & Teale, S. A. (2019). Cuticular Hydrocarbon Recognition in the Mating Behavior of Two Pissodes Species. Insects, 10(7), 217. https://doi.org/10.3390/insects10070217
