Risk and Toxicity Assessment of a Potential Natural Insecticide, Methyl Benzoate, in Honey Bees (Apis mellifera L.)
Abstract
1. Introduction
2. Methods and Materials
2.1. Honey Bee Hives
2.2. Chemicals
2.3. Bioassay Methods
2.3.1. Dose Response Bioassay on Honey Bees
2.3.2. Determine Major Enzymes for Detoxifying MB
2.3.3. Pesticide Interactions
2.3.4. Influence of MB on Honey Bee Feeding
2.3.5. Flight Test
2.4. Enzyme Activity Assays
2.5. Data Processing and Statistical Analysis
3. Results
3.1. Spray and Feeding Toxicities of MB to Honey Bees
3.2. Examination of Major Enzymes for Detoxifying MB
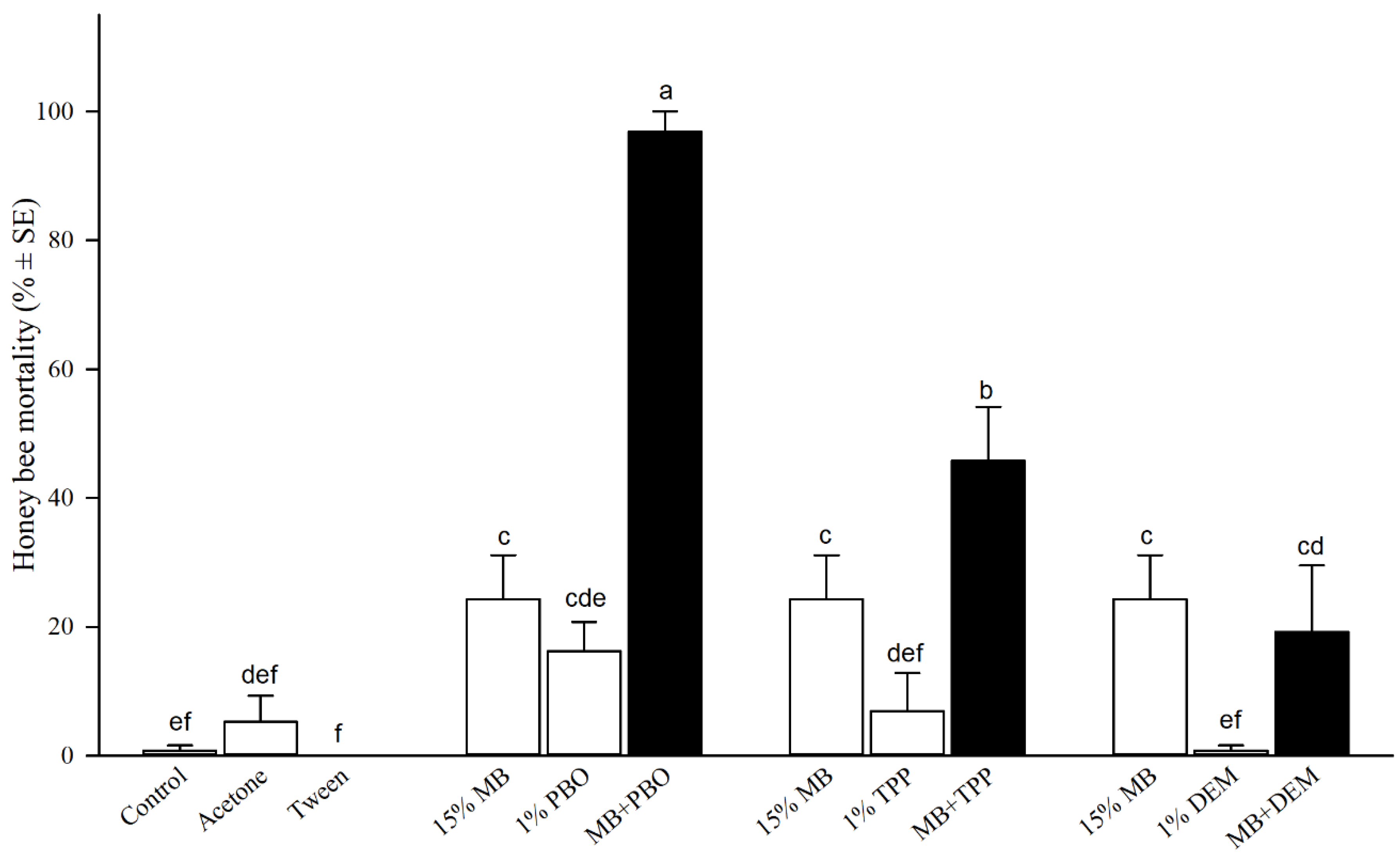
3.3. Interaction of MB with Four Conventional Insecticides
3.4. Influence of MB on Honey Bee Feeding
3.5. Impact of MB on Honey Bee Flight
3.6. Effect of MB on Honey Bee Detoxification Systems
4. Discussion
Supplementary Materials
Author Contributions
Funding
Acknowledgments
Conflicts of Interest
References
- Johnson, R.; Corn, M.L. Bee Health: Background and Issues for Congress. Congressional Research Service 7-5700. 2014. Available online: https://fas.org/sgp/crs/misc/R43191.pdf (accessed on 19 August 2019).
- USDA-NASS. Honey National Agricultural Statistics Service. (March 2015). Available online: https://www.nass.usda.gov/Publications/Todays_Reports/reports/hony0318.pdf (accessed on 19 August 2019).
- USDA-NASS. Cost of Pollination. (December 2017). 2017. Available online: https://downloads.usda.library.cornell.edu/usda-esmis/files/d504rk335/ht24wn48h/zg64tp76q/CostPoll-12-21-2017.pdf (accessed on 19 August 2019).
- Calderone, N.W. Insect pollinated crops, insect pollinators and US agriculture. Trend analysis of aggregate data for the period 1992–2009. PLoS ONE 2012, 7, e37235. [Google Scholar] [CrossRef] [PubMed]
- Potts, S.G.; Biesmeijer, J.C.; Kremen, C.; Neumann, P.; Schweiger, O.; Kunin, W.E. Global pollinator declines: Trends, impacts and drivers. Trends Ecol. Evol. 2010, 25, 345–353. [Google Scholar] [CrossRef] [PubMed]
- Goulson, D.; Nicholls, E.; Botías, C.; Rotheray, E.L. Bee declines driven by combined stress from parasites, pesticides, and lack of flowers. Science 2015, 347, 1255957. [Google Scholar] [CrossRef] [PubMed]
- Desneux, N.; Decourtye, A.; Delpuech, J.M. The sublethal effects of pesticides on beneficial arthropods. Ann. Rev. Entomol. 2007, 52, 81–106. [Google Scholar] [CrossRef] [PubMed]
- Azadi, H.; Samiee, A.; Mahmoudi, H.; Jouzi, Z.; Khachak, P.R.; De Maeyer, P.; Witlox, F. Genetically modified crops and small scale farmers: Main opportunities and challenges. Crit. Rev. Biotechnol. 2016, 36, 434–446. [Google Scholar] [CrossRef] [PubMed]
- Bergé, J.B.; Ricroch, A.E. Emergence of minor pests becoming major pests in GE cotton in China: What are the reasons? What are the alternatives practices to this change of status? GM Crops 2010, 1, 214–219. [Google Scholar] [CrossRef]
- Lu, Y.; Wu, K.; Jiang, Y.; Xia, B.; Li, P.; Feng, H.; Wyckhuys, K.A.; Guo, Y. Mirid bug outbreaks in multiple crops correlated with widescale adoption of Bt cotton in china. Science 2010, 328, 1151–1154. [Google Scholar] [CrossRef]
- Zhu, Y.C.; Snodgrass, G.L.; Chen, M.S. Enhanced esterase gene expression and activity in a malathion-resistant strain of the tarnished plant bug, Lygus lineolaris. Insect Biochem. Mol. Biol. 2004, 34, 1175–1186. [Google Scholar] [CrossRef]
- Zhu, Y.C.; Guo, Z.; He, Y.; Luttrell, R. Microarray analysis of gene regulations and potential association with acephate-resistance and fitness cost in Lygus lineolaris. PLoS ONE 2012, 7, e37586. [Google Scholar] [CrossRef]
- Brandon, H.; Robinson, E. Delta Agricultural Digest; Farm Press: Clarksdale, MS, USA, 2015. [Google Scholar]
- Catchot, A.; Allen, C.; Dodds, D.; Larson, E.; Meyers, S.; Bibb, J.; Gore, J.; Laton, B.; Musser, F.; Cook, D.; et al. Insect Control Guide for Agronomic Crops; Insect Control Guide Committee, Mississippi State University Extension Service Publication 2471: Starkville, MS, USA, 2016; p. 104. [Google Scholar]
- Krupke, C.H.; Obermeyer, J.L.; Bledsoe, L.W. Corn Insect Control Recommendations, 2016. Purdue University Extension Publication E-219-W, 1-10. 2014. Available online: https://extension.entm.purdue.edu/publications/E-219.pdf (accessed on 19 August 2019).
- Marzaro, M.; Vivan, L.; Targa, A.; Mazzon, L.; Mori, N.; Greatti, M.; Petrucco Toffolo, E.; Di Bernardo, A.; Giorio, C.; Marton, D.; et al. Lethal aerial powdering of honey bees with neonicotinoids from fragments of maize seed coat. Bull. Insectology 2011, 64, 119–126. [Google Scholar]
- Stoner, K.A.; Eitzer, B.D. Movement of soil-applied imidacloprid and thiamethoxam into nectar and pollen of Squash (Cucurbita pepo). PLoS ONE 2012, 7, e39114. [Google Scholar] [CrossRef] [PubMed]
- Johnson, R.; Ellis, M.D.; Mullin, C.A.; Frazier, M. Pesticides and honey bee toxicity–USA. Apidologie 2010, 41, 312–331. [Google Scholar] [CrossRef]
- Mullin, C.A.; Frazier, M.; Frazier, J.L.; Ashcraft, S.; Simonds, R.; Pettis, J.S. High levels of miticides and agrochemicals in North American apiaries: Implications for honey bee health. PLoS ONE 2010, 5, e9754. [Google Scholar] [CrossRef] [PubMed]
- Di Prisco, G.; Cavaliere, V.; Annoscia, D.; Varricchio, P.; Caprio, E.; Nazzi, F.; Gargiulo, G.; Pennacchio, F. Neonicotinoid clothianidin adversely affects insect immunity and promotes replication of a viral pathogen in honey bees. Proc. Natl. Acad. Sci. USA 2013, 110, 18466–18471. [Google Scholar] [CrossRef] [PubMed]
- Sanchez-Bayo, F.; Goka, K. Pesticide residues and bees–A risk assessment. PLoS ONE 2014, 9, e94482. [Google Scholar] [CrossRef]
- Cutler, G.C.; Scott-Dupree, C.D. Exposure to clothianidin seed-treated canola has no long-term impact on honey bees. J. Econ. Entomol. 2007, 100, 765–772. [Google Scholar] [CrossRef]
- Cutler, G.C.; Scott-Dupree, C.D.; Sultan, M.; McFarlane, A.D.; Brewer, L. A large-scale field study examining effects of exposure to clothianidin seed-treated canola on honey bee colony health, development, and overwintering success. Peer J. 2014, 2, e652. [Google Scholar] [CrossRef]
- Choudhary, M.I.; Naheed, N.; Abbaskhan, A.; Musharraf, S.G.; Siddiqui, H. Atta-Ur-Rahman, Phenolic and other constituents of fresh water fern Salvinia molesta. Phytochemistry 2008, 69, 1018–1023. [Google Scholar] [CrossRef]
- Schiestl, F.P.; Roubik, D.W. Odor Compound Detection in Male Euglossine Bees. J. Chem. Ecol. 2003, 29, 253–257. [Google Scholar] [CrossRef]
- Knudsen, J.T.; Tollsten, L.; Bergström, L.G. Floral Scents-A Checklist of volatile compounds isolated by headspace techniques. Phytochemistry 1993, 33, 253–280. [Google Scholar] [CrossRef]
- Levin, R.A.; Raguso, R.A.; McDade, L.A. Fragrance chemistry and pollinator affinities in Nyctaginaceae. Phytochemistry 2001, 58, 429–440. [Google Scholar] [CrossRef]
- Torto, B.; Suazo, A.; Teal, P.E.A.; Tumlinson, J.H. Response of the small hive beetle (Aethina tumida) to a blend of chemicals identified from honeybee (Apis mellifera) volatiles. Apidologie 2005, 36, 523–532. [Google Scholar] [CrossRef]
- Park, C.G.; Eunsik, S.; Junheon, K. Insecticidal activities of essential oils, Gaultheria fragrantissima and Illicium verum, their components and analogs against Callosobruchus chinensis adults. J. Asia-Pac. Entomol. 2016, 19, 269–273. [Google Scholar] [CrossRef]
- Feng, Y.; Zhang, A. A floral fragrance, methyl benzoate, is an efficient green pesticide. Sci. Rep. 2017, 7, 42168. [Google Scholar] [CrossRef]
- Chen, J.; Rashid, T.; Feng, G.; Feng, Y.; Zhang, A.; Grodowitz, M.J. Insecticidal Activity of Methyl Benzoate Analogs Against Red Imported Fire Ants, Solenopsis invicta (Hymenoptera: Formicidae). J. Econ. Entomol. 2018, 112, 691–698. [Google Scholar] [CrossRef]
- Mostafiz, M.M.; Jhan, P.K.; Shim, J.K.; Lee, K.Y. Methyl benzoate exhibits insecticidal and repellent activities against Bemisia tabaci (Gennadius) (Hemiptera: Aleyrodidae). PLoS ONE 2018, 13, e0208552. [Google Scholar] [CrossRef]
- IRAC. Mode of Action Classification Scheme. Insecticide Resistance Action Committee. Version 8.0. 2015. Available online: https://www.irac-online.org/modes-of-action/ (accessed on 19 August 2019).
- Zhu, Y.C.; Adamczk, J.; Rinderer, T.; Yao, J.; Danka, R.; Luttrell, R.; Gore, J. Spray toxicity and risk potential of 42 commonly used formulations of row crop pesticides to adult honey bees (Hymenoptera: Apidae). J. Econ. Entomol. 2015, 108, 2640–2647. [Google Scholar] [CrossRef]
- Fernández-Alba, A.R.; Hernando, M.D.; Piedra, L.; Chisti, Y. Toxicity evaluation of single and mixed antifouling biocides measured with acute toxicity bioassays. Anal. Chim. Acta 2002, 456, 303–312. [Google Scholar] [CrossRef]
- Preston, S.; Coad, N.; Townend, J.; Killham, K.; Paton, G.I. Biosensing the acute toxicity of metal interactions: Are they additive, synergistic, or antagonistic? Environ. Toxicol. Chem. 2000, 19, 775–780. [Google Scholar] [CrossRef]
- Zhu, Y.C.; Yao, J.; Adamczyk, J.; Luttrell, R. Feeding toxicity and impact of imidacloprid and mixtures with six representative pesticides at residue concentrations on honey bee physiology (Apis mellifera). PLoS ONE 2017, 12, e0178421. [Google Scholar] [CrossRef]
- SAS Institute Inc. SAS/STAT® 9.2 User’s Guide; SAS Institute Inc.: Cary, NC, USA, 2008. [Google Scholar]
- Free, J.B.; Spencer-Booth, Y. Observations on the temperature regulation and food consumption of honeybees (Apis Mellifera). J. Exp. Biol. 1958, 35, 930–937. [Google Scholar]
- Zhu, Y.C.; Yao, J.; Adamczyk, J. Long-term risk assessment on noneffective and effective toxic doses of imidacloprid to honeybee workers. J. Appl. Entomol. 2019, 143, 118–128. [Google Scholar] [CrossRef]
- Yao, J.; Zhu, Y.C.; Adamczyk, J.; Luttrell, R. Influences of acephate and mixtures with other commonly used pesticides on honey bee (Apis mellifera) survival and detoxification enzyme activities. Comp. Biochem. Physiol. Part C Toxicol. Pharmacol. 2018, 209, 9–17. [Google Scholar] [CrossRef] [PubMed]
- Van der Sluijs, J.P.; Simon-Delso, S.; Goulson, D.; Maxim, L.; Bonmatin, J.M.; Belzunces, L.P. Neonicotinoids, bee disorders and the sustainability of pollinator services. Curr. Opin. Environ. Sustain. 2013, 5, 293–305. [Google Scholar] [CrossRef]
- Stanley, D.A.; Smith, K.E.; Raine, N.E. Bumblebees learning and memory is impaired by chronic exposure to a neonicotinoid pesticides. Sci. Rep. 2015, 5, 16508. [Google Scholar] [CrossRef]
- Dively, G.P.; Embrey, M.S.; Kamel, A.; Hawthorne, D.J.; Pettis, J.S. Assessment of chronic sublethal effects of Imidacloprid on Honey Bee colony health. PLoS ONE 2015, 10, e0118748. [Google Scholar] [CrossRef]
- Schmuck, R. No causal relationship between Gaucho seed dressing in sunflowers and the French bee syndrome. Pflanzenschutz Nachr. Bayer 1999, 52, 257–299. [Google Scholar]
- Maus, C.; CURÉ, G.; Schmuck, R. Safety of imidacloprid seed dressings to honey bees: A comprehensive overview and compilation of the current state of knowledge. Bull. Insectology 2003, 56, 51–57. [Google Scholar]
- Blacquière, T.; Smagghe, G.; Van Gestel, C.M.; Mommaerts, V. Neonicotinoids in bees a review on concentrations, side-effects and risk assessment. Ecotoxicology 2012, 21, 973–992. [Google Scholar] [CrossRef]
- Henry, M.; Béguin, M.; Requier, F.; Rollin, O.; Odoux, J.-F.; Aupinel, P.; Aptel, J.; Tchamitchian, S.; Decourtye, A. A common pesticide decreases foraging success and survival in honey bees. Science 2012, 336, 348–350. [Google Scholar] [CrossRef]
- Schneider, C.W.; Tautz, J.; Grünewald, B.; Fuchs, S. RFID tracking of sublethal effects of two neonicotinoid insecticides on the foraging behavior of Apis mellifera. PLoS ONE 2012, 7, e30023. [Google Scholar] [CrossRef] [PubMed]
- Feyereisen, R. Insect P450 enzymes. Annu. Rev. Entomol. 1999, 44, 507–533. [Google Scholar] [CrossRef] [PubMed]
- Li, X.C.; Schuler, M.A.; Berenbaum, M.R. Molecular mechanisms of metabolic resistance to synthetic and natural xenobiotics. Annu. Rev. Entomol. 2007, 52, 231–253. [Google Scholar] [CrossRef] [PubMed]
- Wilce, M.C.; Parker, M.W. Structure and function of glutathione S-transferases. Biochim. Biophys. Acta 1994, 1205, 1–18. [Google Scholar] [CrossRef]
- Armstrong, R.N. Structure, catalytic mechanism, and evolution of the glutathione transferases. Chem. Res. Toxicol. 1997, 10, 2–18. [Google Scholar] [CrossRef]
- Claudianos, C.; Russell, R.J.; Oakeshott, J.G. The same amino acid substitution in orthologous esterases confers organophosphate resistance on the house fly and a blowfly. Insect Biochem. Mol. Biol. 1999, 29, 675–686. [Google Scholar] [CrossRef]
- Montella, I.R.; Schama, R.; Valle, D. The classification of esterases: An important gene family involved in insecticide resistance—A review. Mem. Inst. Oswaldo Cruz 2012, 107, 437–449. [Google Scholar] [CrossRef]
- Fang, S.M. Insect glutathione S-transferase: A review of comparative genomic studies and response to xenobiotics. Bull. Insectology 2012, 65, 265–271. [Google Scholar]
- Iwasa, T.; Motoyama, N.; Ambrose, J.T.; Roe, M.R. Mechanism for the differential toxicity of neonicotinoid insecticides in the honey bee, Apis mellifera. Crop Protect. 2004, 23, 371–378. [Google Scholar] [CrossRef]
- Zhu, Y.C.; Yao, J.; Adamczyk, J.; Luttrell, R. Synergistic toxicity and physiological impact of imidacloprid alone and binary mixtures with seven representative pesticides on honey bee (Apis mellifera). PLoS ONE 2017, 12, e0176837. [Google Scholar] [CrossRef]






| Chemical Name (Active Ingredient) | Commercial Name | Manufacturers | Active Ingredient a.i.% | Spray Concentration of Formulation (mg/L) | Mode of Action [33] |
|---|---|---|---|---|---|
| Imidacloprid | Advise 2FL | Winfield Solutions LLC | 21.4 | 357 | Nicotinic acetylcholine receptor (nAChR) competitive modulators |
| Acephate | Bracket97 | Winfield Solutions LLC | 97 | 103 | Acetylcholinesterase (AChE) inhibitors |
| l-Cyhalothrin | Karate Z | Syngenta | 22.8 | 362 | Sodium channel modulators |
| Oxamyl | Vydate | DuPont | 42 | 180 | Acetylcholinesterase (AChE) inhibitors |
| Score | Descriptions of Flight Performance |
|---|---|
| 0 | The bee was motionless, dead, or unable to walk for a whole min |
| 1 | The bee walked or flapped wings, but stayed within the petri dish for the whole min |
| 2 | The bee flew out the petri dish, fell to the floor, and stayed on the floor most of the time with occasional taking off and falling to floor |
| 3 | The bee flew and landed randomly without orientation toward sunlight (window) for the whole min |
| 4 | The bee flew toward sunlight quickly and hit the window in less than 3 s (but the flight was not normally performed by hovering or flying steadily toward sunlight to reach window in 6–15 s) |
| 5 | The bee took 31–60 s to fly the distance toward sunlight and landed on the window, including stopping, turning, and flying backward |
| 6 | The bee flew steadily and directly toward sunlight and landed on window in 4–30 s (most took 6–15 s with zigzagging left and right in a range of 30 cm without stopping, turning, or flying backward) |
| Treatment Method | Toxicity (LC50 [g a.i./L])* | 95% Fiducial Limits | Pr > ChiSq | Slope±SEb | Predicted LD50 (mg a.i/bee)* |
|---|---|---|---|---|---|
| Spray | 236.61 | 210.74–269.76 | 0.9447 | 1.3669 ± 0.1357 | 0.37** |
| Feeding | 824.99 | 488.84–2905.55 | 0.3139 | 0.519 ± 0.1176 | 39.60*** |
© 2019 by the authors. Licensee MDPI, Basel, Switzerland. This article is an open access article distributed under the terms and conditions of the Creative Commons Attribution (CC BY) license (http://creativecommons.org/licenses/by/4.0/).
Share and Cite
Zhu, Y.-C.; Wang, Y.; Portilla, M.; Parys, K.; Li, W. Risk and Toxicity Assessment of a Potential Natural Insecticide, Methyl Benzoate, in Honey Bees (Apis mellifera L.). Insects 2019, 10, 382. https://doi.org/10.3390/insects10110382
Zhu Y-C, Wang Y, Portilla M, Parys K, Li W. Risk and Toxicity Assessment of a Potential Natural Insecticide, Methyl Benzoate, in Honey Bees (Apis mellifera L.). Insects. 2019; 10(11):382. https://doi.org/10.3390/insects10110382
Chicago/Turabian StyleZhu, Yu-Cheng, Yanhua Wang, Maribel Portilla, Katherine Parys, and Wenhong Li. 2019. "Risk and Toxicity Assessment of a Potential Natural Insecticide, Methyl Benzoate, in Honey Bees (Apis mellifera L.)" Insects 10, no. 11: 382. https://doi.org/10.3390/insects10110382
APA StyleZhu, Y.-C., Wang, Y., Portilla, M., Parys, K., & Li, W. (2019). Risk and Toxicity Assessment of a Potential Natural Insecticide, Methyl Benzoate, in Honey Bees (Apis mellifera L.). Insects, 10(11), 382. https://doi.org/10.3390/insects10110382

