Operating Behavior of Sliding Planet Gear Bearings for Wind Turbine Gearbox Applications—Part II: Impact of Structure Deformation
Abstract
:1. Introduction
2. Materials and Methods
2.1. Procedure for Consideration of Planet and Pin Deformation
2.2. Investigated Gear Set: Planet Gear Bearing
2.3. Investigated Gear Set: CAD Model and Material Properties
2.4. FEM Approximation for Structure Analysis: Meshing
2.5. FEM Approximation for Structure Analysis: Boundary Conditions and Mesh Forces
3. Results
3.1. Mesh and Bearing Loads
3.2. Verification of the Calculation Procedure
3.3. Deformation Behavior of Components
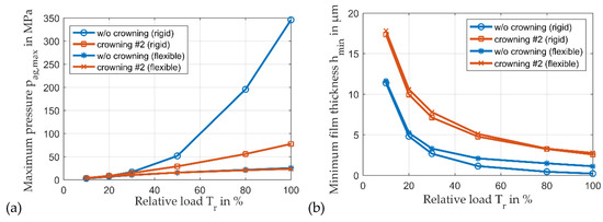
3.4. Impact of Axial Profiling Model on Bearing Considering Elastic Deformation of Components
3.5. Modification of the Lubricant Gap by Wear Considering Elastic Deformation of Components
4. Discussion and Conclusions
Author Contributions
Funding
Conflicts of Interest
References
- Jang, J.Y.; Khonsari, M.M. On the characteristics of misaligned journal bearings. Lubricants 2015, 3, 27–53. [Google Scholar] [CrossRef]
- Jang, J.Y.; Khonsari, M.M. Performance and characterization of dynamically-loaded engine bearings with provision for misalignment. Tribol. Int. 2019, 130, 387–399. [Google Scholar] [CrossRef]
- Sun, J.; Gui, C.; Li, Z.; Li, Z. Influence of journal misalignment caused by shaft deformation under rotational load on performance of journal bearing. Proc. Inst. Mech. Eng. Part J J. Eng. Tribol. 2005, 219, 275–283. [Google Scholar] [CrossRef]
- Sun, J.; Gui, C.; Li, Z. An Experimental Study of Journal Bearing Lubrication Effected by Journal Misalignment as a Result of Shaft Deformation Under Load. ASME J. Tribol. 2005, 127, 813–819. [Google Scholar] [CrossRef]
- Sander, D.E.; Allmaier, H.; Priebsch, H.H.; Reich, F.M.; Witt, M.; Skiadas, A.; Knaus, O. Edge loading and running-in wear in dynamically loaded journal bearings. Tribol. Int. 2015, 92, 395–403. [Google Scholar] [CrossRef]
- Lahmar, M.; Frihi, D.; Nicolas, D. The Effect of Misalignment on Performance Characteristics of Engine Main Crankshaft Bearings. Eur. J. Mech. A 2002, 21, 703–714. [Google Scholar] [CrossRef]
- Zhang, X.; Yin, Z.; Dong, Q. An experimental study of axial misalignment effect on seizure load of journal bearings. Tribol. Int. 2019, 131, 476–487. [Google Scholar] [CrossRef]
- Bouyer, J.; Fillon, M. Improvement of the THD performance of a misaligned plain journal bearing. J. Trib. 2003, 125, 334–342. [Google Scholar] [CrossRef]
- Hagemann, T.; Ding, H.; Radtke, E.; Schwarze, H. Operating behavior of sliding planet gear bearings in turbine gearbox applications—Part I: Basic relations. Lubricants 2021, in press. [Google Scholar]
- Desbordes, H.; Fillon, M.; Frene, J.; Chan Hew Wai, C. The Effects of Three-Dimensional Pad Deformations on Tilting-Pad Journal Bearings under Dynamic Loading. J. Tribol. 1995, 117, 379–384. [Google Scholar] [CrossRef]
- Hopf, G. Experimentelle Untersuchungen an Großen Radialgleitlagern für Turbomaschinen. Ph.D. Thesis, Ruhr University Bochum, Bochum, Germany, 1989. [Google Scholar]
- Hagemann, T.; Kukla, S.; Schwarze, H. Measurement and prediction of the static operating conditions of a large turbine tilting-pad bearing under high circumferential speeds and heavy loads. In Proceedings of the ASME Turbo Expo 2013, San Antonio, TX, USA, 3–7 June 2013. [Google Scholar] [CrossRef]
- Lahmar, M.; Ellagoune, S.; Bou-Saïd, B. Elastohydrodynamic lubrication analysis of a compliant journal bearing considering static and dynamic deformations of the bearing liner. Tribol. Trans. 2010, 53, 349–368. [Google Scholar] [CrossRef]
- Prölß, M. Berechnung Langsam Laufender und Hoch Belasteter Gleitlager in Planetengetrieben unter Mischreibung, Verschleiß und Deformationen. Ph.D. Thesis, Clausthal University of Technology, Clausthal-Zellerfeld, Germany, 2020. [Google Scholar]
- Profito, F.J.; Zachariadis, D.C.; Dini, D. Partitioned Fluid-Structure Interaction Techniques Applied to the Mixed-Elastohydrodynamic Solution of Dynamically Loaded Connecting-Rod Big-End Bearings. Tribol. Int. 2019, 140, 105767. [Google Scholar] [CrossRef]
- Habchi, W.; Eyheramendy, D.; Vergne, P.; Morales-Espejel, G. A full-system approach of the elastohydrodynamic line/point contact problem. J. Tribol. 2008, 130, 021501. [Google Scholar] [CrossRef]
- Oh, K.P. The numerical solution of dynamically loaded elastohydrodynamic contact as a nonlinear complementarity problem. J. Tribol. 1984, 106, 88–95. [Google Scholar] [CrossRef]
- Craig, R.; Roy, R.; Bampton, M.C.C. Coupling of substructures for dynamic analyses. AIAA J. 1968, 6, 1313–1319. [Google Scholar] [CrossRef] [Green Version]























| Parameter | Value |
|---|---|
| Geometrical Properties | |
| Number of pads, - | 1 |
| Nominal diameter, mm | 250 |
| Pitch circle diameter, mm | 499 |
| Helix angle, degrees | 7 |
| Bearing width, mm | 300 |
| Angular span of lube oil pocket, degrees | 20.5 |
| Width of lube oil pocket, mm | 260 |
| Radial clearance, µm | 138 |
| Pad sliding surface preload, - | 0.0 |
| Static Analysis Parameters | |
| Nominal rotational speed, rpm | 30 |
| Nominal bearing load, kN | 900 |
| Nominal bearing moment, kNm | 27.6 |
| Lubricant supply temperature, °C | 60 |
| Lube oil supply pressure, MPa | 0.2 |
| Lubricant Properties | |
| Lubricant | ISO VG 320 |
| Lubricant density kg/m³ | 865 @ 40 °C |
| Lubricant specific heat capacity kJ/(kg·K) | 2.0 @ 20 °C |
| Lubricant thermal conductivity, W/(m·K) | 0.13 |
| Planet | Pin | Carrier | |
|---|---|---|---|
| Parameter | Value | ||
| Young’s Modulus, MPa | 210,000 | 210,000 | 176,000 |
| Poisson’s Ratio, - | 0.3 | 0.3 | 0.275 |
| Coefficient of Thermal Expansion, 10−6/K | 12 | 11.1 | 12.5 |
| Isotropic Thermal Conductivity, W/(m·K) | 39.8 | 42.6 | 31.1 |
| Tensile Yield Strength, MPa | 850 | 1000 | 420 |
| Parameter | Ring Gear Side | Sun Gear Side |
|---|---|---|
| Radial force , kN | −164 | 164 |
| Tangential force , kN | −450 | −450 |
| Axial force , kN | 55.3 | −55.3 |
| Parameter | Rigid Calculation | Elastic Calculation |
|---|---|---|
| Minimum film thickness with crowning #2, µm | 2.6 | 2.748 |
| Minimum film thickness with wear after 560 h, µm | 1.55 | 1.75 |
Publisher’s Note: MDPI stays neutral with regard to jurisdictional claims in published maps and institutional affiliations. |
© 2021 by the authors. Licensee MDPI, Basel, Switzerland. This article is an open access article distributed under the terms and conditions of the Creative Commons Attribution (CC BY) license (https://creativecommons.org/licenses/by/4.0/).
Share and Cite
Hagemann, T.; Ding, H.; Radtke, E.; Schwarze, H. Operating Behavior of Sliding Planet Gear Bearings for Wind Turbine Gearbox Applications—Part II: Impact of Structure Deformation. Lubricants 2021, 9, 98. https://doi.org/10.3390/lubricants9100098
Hagemann T, Ding H, Radtke E, Schwarze H. Operating Behavior of Sliding Planet Gear Bearings for Wind Turbine Gearbox Applications—Part II: Impact of Structure Deformation. Lubricants. 2021; 9(10):98. https://doi.org/10.3390/lubricants9100098
Chicago/Turabian StyleHagemann, Thomas, Huanhuan Ding, Esther Radtke, and Hubert Schwarze. 2021. "Operating Behavior of Sliding Planet Gear Bearings for Wind Turbine Gearbox Applications—Part II: Impact of Structure Deformation" Lubricants 9, no. 10: 98. https://doi.org/10.3390/lubricants9100098
APA StyleHagemann, T., Ding, H., Radtke, E., & Schwarze, H. (2021). Operating Behavior of Sliding Planet Gear Bearings for Wind Turbine Gearbox Applications—Part II: Impact of Structure Deformation. Lubricants, 9(10), 98. https://doi.org/10.3390/lubricants9100098

