Next Article in Journal
Investigation into the Impact of Water Contamination and Operating Parameters on the Lubrication Performance of Thrust Bearings
Previous Article in Journal
Preparation and Tribological Properties of Wind Turbine Lubricating Oil Modified by Nano-ZnMgAl Layered Double Hydroxides
 
 
Font Type:
Arial Georgia Verdana
Font Size:
Aa Aa Aa
Line Spacing:
Column Width:
Background:
Article

First-Principles Investigation on the Interlayer Frictional Properties of Graphene, C3N, and C3B Bilayers and Their Heterostructures

Zhengzhou Key Laboratory of Low-Dimensional Quantum Materials and Devices, School of Physics and Optoelectronic Engineering, Zhongyuan University of Technology, Zhengzhou 450007, China
*
Authors to whom correspondence should be addressed.
Lubricants 2026, 14(3), 117; https://doi.org/10.3390/lubricants14030117
Submission received: 10 February 2026 / Revised: 1 March 2026 / Accepted: 5 March 2026 / Published: 6 March 2026
(This article belongs to the Special Issue New Advances in Nanotribology)

Abstract

While graphene-based lubricants are well-studied, the tribological potential of emerging carbon–nitride and carbon–boron 2D materials remains largely unexplored. Herein, by using first-principles calculations implemented in the VASP code, we systematically explored the interlayer interactions and frictional properties of bilayer homojunctions and heterostructures composed of graphene, C3N, and C3B. The DFT-D3 dispersion correction was employed to accurately capture the interlayer van der Waals forces. The results reveal that C3N/C3N, C3N/graphene (C3N/Gra), and C3B/graphene (C3B/Gra) systems exhibit significantly lower friction coefficients compared to pristine bilayer graphene (Gra/Gra). Notably, the sliding potential barrier of the C3N/Gra heterostructure is only ~0.45 meV/atom (approximately 1/10 that of the Gra/Gra system), manifesting exceptional superlubricity and considerable potential for superlubricant applications. The sliding potential barrier of the C3B/C3N heterostructure is slightly smaller than that of Gra/Gra. In contrast, the C3B/C3B homojunction exhibits high resistance to sliding; under normal loads of 1–4 nN, its potential barrier ranges from ~16 to ~115 meV/atom, which is consistently twice that of Gra/Gra. The observed frictional variations are attributed to sliding-induced interfacial charge redistribution. These findings provide fundamental insights into the tribological behavior of C3N- and C3B-based materials and establish a quantitative link between frictional properties and interfacial charge dynamics, offering a theoretical basis for the development of advanced graphene-derived lubricants.

1. Introduction

Since its isolation via mechanical exfoliation in 2004, graphene has attracted extensive theoretical and experimental interest owing to its exceptional thermal, mechanical, and electrical properties [1,2,3,4]. However, the intrinsic zero band gap of pristine graphene severely restricts its applicability in semiconductor devices. To overcome this limitation, various strategies have been employed to induce a finite band gap, including surface modification [5,6], substrate engineering [7,8], strain application [9], electric field modulation [10,11] and chemical doping [12,13]. Among these, atomic doping is regarded as the most direct and effective approach. Boron (B) and nitrogen (N) are primary dopant candidates due to their atomic radii being comparable to carbon and their distinct valence electron configurations, which enable effective band structure modulation while preserving the planar honeycomb lattice.
Consequently, a variety of carbon–boron and carbon–nitrogen compounds with different C/B (C/N) ratios have been theoretically predicted and experimentally explored, such as C3B, C5B, C7B, C2N, C3N, C12N, g-C3N4, and C9N4 [14,15,16,17,18,19]. Of particular interest are C3B andC3N, which exhibit the highest structural similarity to graphene, featuring a non-porous configuration where one-third of the carbon atoms are substituted by B or N atoms, respectively [17,18]. Theoretical and experimental studies have confirmed that C3B and C3N possess intrinsic band gaps of 1.78 eV and 1.15 eV, respectively, and have been successfully synthesized as thin films [17,18]. Following their successful fabrication, extensive research has focused on their fundamental physical properties, including mechanical, electrical, and thermal performance [20,21,22,23]. Owing to their excellent mechanical and electronic characteristics, C3B and C3N are considered promising candidates for applications in hydrogen storage, high-capacity electrodes, electrocatalysis, and gas sensors [23,24,25,26].
Inheriting the layered structure of graphite, graphene is renowned for its ultra-low friction and high wear resistance, establishing it as the thinnest solid lubricant when used as a coating [27] or a lubricant additive [28]. While C3B and C3N retain the geometric framework and remarkable mechanical properties of graphene, their electronic structures undergo a significant transition from semimetallic to semiconducting [22]. Given the established correlation between frictional behavior and electronic structure, investigating the tribological properties of these doped graphene analogs is scientifically warranted. However, research in this area remains limited. To date, the frictional properties of C3N have been partially addressed by Cui et al., who reported that the interlayer friction of C3N bilayer and C3N/graphene heterojunctions is lower than that of bilayer graphene based on first-principles calculations [29]. Recently, Yang et al. developed anisotropic interlayer potentials for C3N/graphene and C3N/h-BN heterostructures, providing a basis for molecular dynamics simulations [30]. Notably, the frictional properties of C3B have not been reported in the literature. Therefore, a systematic comparative study of the frictional properties of C3B and C3N, along with an elucidation of the underlying mechanisms, is imperative. Studies on the frictional properties of C3B and C3N can not only provide tribological information for the application of these materials in electronic functional devices, but also advance the understanding of nanofriction mechanisms and facilitate the exploration and development of novel nanolubricants.
In this study, we employ density functional theory (DFT) calculations to systematically investigate the interlayer frictional properties of bilayer homojunctions (C3N/C3N, C3B/C3B, graphene/graphene) and heterostructures (C3N/graphene, C3B/graphene, C3B/C3N). The findings of this work provide fundamental insights into the tribological behavior of C3B and C3N, offering a theoretical reference for the design of novel graphene-based nanolubricants.

2. Methodology

Calculations were conducted utilizing density functional theory (DFT) with the VASP software package (vasp 5.4.4) [31,32]. Electron-ion interactions were characterized utilizing the projected augmented wave (PAW) approach, with the exchange-correlation functional chosen as PBE [33]. A semi-empirical DFT-D3 technique was utilized for the description of interlayer van der Waals (vdW) interactions [34,35]. The cutoff energy for the plane-wave basis set was established at 600 eV, and the k-point sampling employed a 15 × 15 × 1 grid centered at the Gamma point. Atomic locations were optimized by total energy and force minimization, employing convergence criteria of 1 × 10−6 eV for energy and 0.01 eV/Å for force. A vacuum layer at least 20 Å was incorporated in the vertical direction to isolate neighboring periodic images along the out-of-plane direction. The friction properties were calculated by the method of Zhong et al. [36,37].

3. Results and Discussion

The geometrical configurations of monolayer C3B and C3N are depicted in Figure 1b and Figure 1c, respectively. Both materials exhibit a graphene-like hexagonal lattice with the space group P6/mmm. Specifically, each primitive cell in monolayer C3B (or C3N) comprises six carbon atoms and two boron (or nitrogen) atoms. The optimized lattice constants of graphene, C3B, and C3N are 2.466, 5.172, and 4.859 Å, respectively, which are consistent with the experimental observations and other theoretical calculations [22,26,38,39]. To facilitate a more intuitive comparison of the structural disparities among C3B, C3N, and graphene, we also illustrate a 2 × 2 supercell of graphene in Figure 1a. Compared with the 2 × 2 graphene supercell, the lattice parameter of C3B exhibits an increase of 0.24 Å, whereas that of C3N demonstrates a marginal decrease of only 0.073 Å. Notably, in C3B, the C-B bond length is 1.564 Å, which is longer than the C-C bond length (1.421 Å). In contrast, the C-N bond length in C3N is 1.402 Å, which is almost identical to the C-C bond length (1.403 Å). This indicates that the introduction of B and N can exert distinct effects on the structure of graphene.
Based on these monolayer structures, we further constructed bilayer models. For the three homogeneous systems, namely Graphene/Graphene (Gra/Gra), C3B/C3B, and C3N/C3N, the lattice constants were directly adopted from the optimized values of the corresponding monolayer structures as previously described. For the heterostructures, including C3B/Graphene (C3B/Gra), C3N/Graphene (C3N/Gra), and C3B/C3N, lattice mismatch was eliminated by appropriately adjusting the lattice constants of the constituent monolayer structures, either by reducing or increasing them as necessary. The strain ε induced in each layer of the heterostructure was calculated based on the lattice constant change relative to the average lattice constant of the bilayer, defined as:
ε = a a ¯ a × 100 % ,   a ¯ = a A + a B 2
where a A and a B are the lattice constants of the two individual monolayers, and a ¯ is their average value. The positive and negative signs indicate tensile and compressive strain, respectively. The corresponding detailed structural parameters are presented in Table 1, where the monolayer lattice constants show good agreement with the reported experimental values. Bilayer sliding structure models were constructed, as illustrated in Figure 1d–u. The AA stacking structure was formed by stacking two monolayer materials one on top of the other. Specifically, Figure 1d, Figure 1f, Figure 1j, Figure 1l, Figure 1n, Figure 1p and Figure 1r correspond to the AA stackings of Gra/Gra, C3B/C3B C3N/C3N C3B/Gra C3N/Gra C3B/C3N, respectively. We designated the AA stacking as the initial position for relative sliding and selected the diagonal direction of the unit-cell structure as the sliding direction, which is indicated by the red dashed arrow in Figure 1. This particular direction was chosen because it encompasses more high-symmetry stackings compared to other directions, making it more representative for our study.
Friction simulation was carried out by moving the upper layer along the sliding direction. A total of 12 steps were taken along the sliding direction to complete one sliding period (corresponding to 13 stackings), with a corresponding step size of (√3/12)a, where a is the lattice vector length of the selected sliding model. During the sliding process along the defined path, all the studied systems encounter another high-symmetry AB stacking. In the AB stacking, half of the atoms from the upper and lower films remain top-aligned, while the other half of the atoms are located at the hexagonal ring center vacancies of the opposite layer, as clearly shown in Figure 1e.
It is important to note that for the three systems of C3B/C3B, C3N/C3N, and C3B/C3N, in addition to the aforementioned AA and AB stackings, two other high-symmetry stackings, similar to AA and AB, are encountered during the sliding process. One is the AA’ stacking. In this stacking, atoms in the upper and lower layers maintain a one-to-one top-aligned relationship. However, unlike the AA stacking, the B (N) atoms in one layer no longer align with the B (N) atoms in the other layer, but instead align with the carbon atoms in the other layer. The detailed structures of AA’ stacking for the relevant systems are presented in Figure 1i,m,u. The other is the AB’ stacking. In the previously described AB stacking, one B (N) atom in each layer aligns with one C atom in the other layer, and the other B (N) atom in each layer corresponds to the center of the hexagonal ring containing B (N) atoms in the other layer. In contrast, in the AB’ stacking, one B (N) atom in one layer aligns with one B (N) atom in the other layer, and the other two B (N) atoms in the two layers, respectively, face the centers of the hexagonal rings composed of carbon atoms in the opposite layer. The detailed structures of AB’ stacking for the relevant systems are shown in Figure 1h,l,t. Due to differences in structures, the energies of these different stacking are not the same, which is manifested in the variations in interlayer spacing and potential energy with sliding distance.
The calculation of the interlayer interaction energy between two sheets constitutes the fundamental basis for the calculation of their interlayer friction via Zhong’s method [36]. The interfacial interaction energy E b ( d ) of two contacting surfaces was calculated by
E b ( d ) = E A B ( d ) E A E B
where E A B ( d ) is the total energy of the two against films at the distance of d, and E A ( E B ) is the energy of the separate film. The interlayer distance from two interfacial films is defined as d, which varies from 5.0 Å to 2 Å (including 60 positions) for six systems. A negative interaction energy indicates an attractive interaction between the two thin films, and the larger the absolute value of the negative number, the stronger the attraction. In all of our calculations, all atoms were kept frozen.
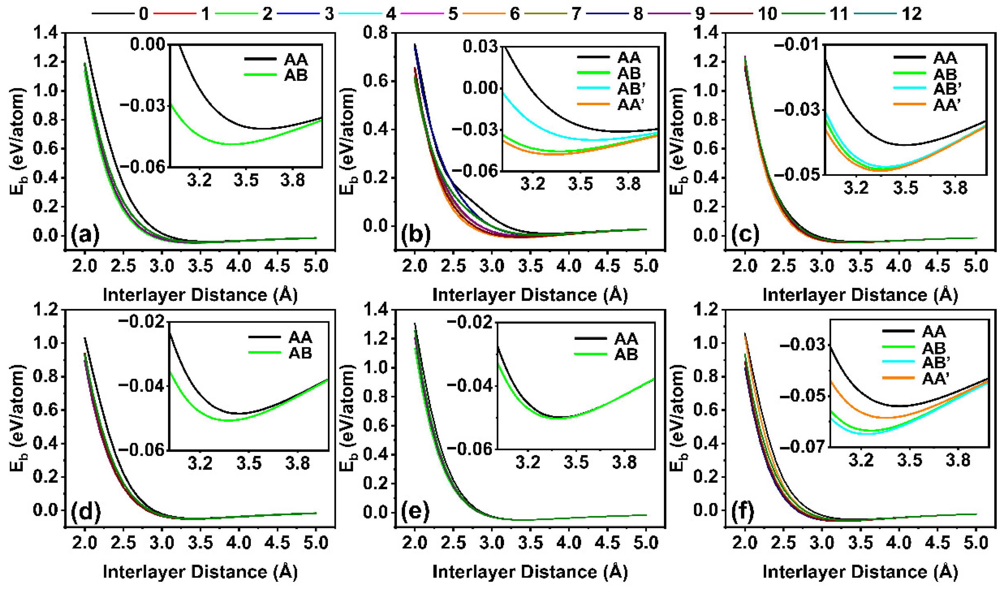
Figure 2 illustrates the calculated interaction energies as a function of interlayer distance for all six systems. The interaction energy curves across these systems share several common features. For each system’s 13 stacking configurations, as the two thin films are brought closer from an initial distance, the attractive interaction progressively intensifies, reaching a peak at the equilibrium adsorption distance. Beyond this point, further compression weakens the attractive force while strengthening the repulsive force. When the interaction energy crosses zero, the repulsive and attractive forces balance each other. Subsequent compression leads to a sharp rise in repulsive energy, attributable to the overlap of electron clouds between atoms in the two films. To elucidate the variations in interaction energies among different stackings near the equilibrium distance, we focused on the magnified adsorption energy curves of high-symmetry stackings around the equilibrium position for each system, as shown in the insets of Figure 2. Among the six systems studied, the AA stacking configuration consistently exhibits the highest interaction energy, owing to the significant number of top-aligned atom pairs, which induce a strong repulsive interaction. Nevertheless, the stackings with the strongest adsorption vary across systems: for Gra/Gra, C3B/Gra, and C3N/Gra, the AB stacking configuration shows the strongest adsorption; for C3B/C3B and C3N/C3N, the AA’ stacking configuration demonstrates the strongest attraction, suggesting robust B-C and N-C attractive interactions that counterbalance the C-C repulsive forces. In the C3B/C3N system, the AB’ stacking configuration exhibits the strongest attractive interaction.
The most stable interlayer distances and the corresponding binding energies of all high-symmetry stackings for the six studied systems are listed in Table 2. Given the scarcity of experimental data, results from previous theoretical studies are included in the table for comparison. Although minor deviations in absolute values are observed—attributed to differences in computational parameters (e.g., exchange-correlation functionals or vdW corrections)—the overall trends remain highly consistent, which fully validates the reliability of our results. It can be seen from Table 2 that for the Gra/Gra system, the differences in interlayer distance and interaction energy between the highest-energy AA stacking and the lowest-energy AB stacking are 0.2 Å and 0.07 eV/atom, respectively. In contrast, for the C3B/C3B system, the corresponding differences between the highest-energy AA stacking and the lowest-energy AA’ stacking reach 0.42 Å and 0.16 eV/atom, respectively, with both values more than doubled. For the C3N/Gra system, the disparity in interlayer distance between the highest-energy AA stacking and the lowest-energy AB stacking is remarkably small, amounting to only 0.02 Å, with negligible variation in interaction energy. The differences for the remaining systems fall in between those of the C3B/C3N and C3N/Gra systems. From these variations, it can be predicted that the friction of the C3B/C3N system will be significantly enhanced compared with that of the Gra/Gra system, while the C3N/Gra system is expected to exhibit superlubricity behavior.
The frictional properties of a given system can also be roughly assessed from the divergence degree of interaction energy curves across different stackings. Here, the “divergence degree” denotes the spread of interaction energies across all stacking configurations at a given interlayer distance (roughly gauged by ΔE = Emax − Emin), serving merely as a qualitative reference for frictional anisotropy rather than a rigorous quantitative metric. As clearly shown in Figure 2, relative to the Gra/Gra system, the interaction energy curves across different stackings of the C3B/C3B and C3B/C3N systems exhibit a significant divergence, with substantial differences in adsorption energy between distinct stackings at an identical interlayer distance. The divergence degree of the C3N/C3N system is comparable to that of the Gra/Gra system. Most notably, the interaction energy curves across different stackings of the C3B/Gra and C3N/Gra systems are closely clustered and nearly overlapping, implying negligible differences in adsorption energy across distinct stackings. This curve divergence degree is closely correlated with the system’s frictional properties, following the trend that a smaller divergence degree corresponds to lower frictional resistance.
To clarify the influence of normal load on interfacial friction, we examined the structural evolution of the systems under varying load conditions. The normal load FN was calculated as
F N = E b ( d ) / d
We investigated the variation in interlayer spacing along the sliding path for the target systems under normal pressures ranging from 1 to 9 nN (equivalent to 4–36 GPa). Figure 3 presents the results obtained under 1, 3 and 9 nN, where the relative variation in interlayer spacing is illustrated as Δ d ( x ) = d ( x ) d min , and dmin denotes the minimum interlayer spacing along the sliding path. Based on the distinctive features of the curves, the systems can be classified into three types. Type I includes Gra/Gra (Figure 3a), C3B/Gra (Figure 3d), and C3N/Gra (Figure 3e). In these systems, the maximum interlayer spacing occurs at the AA stacking (abscissa = 0 and 1), while the minimum interlayer spacing is observed at the AB stacking (abscissa = 1/6, 1/3, 2/3, 5/6). A saddle point is also observed between the maximum and minimum values (located at an abscissa of 1/4). The positions of the maximum and minimum interlayer spacings remain essentially unchanged as pressure increases, except for C3B/Gra heterostructure, where a slight transition between the saddle point and AB stacking occurs under high-pressure conditions. Regarding the variation amplitude Δd (defined as the difference between the maximum and minimum interlayer spacing), the Gra/Gra system exhibits negligible pressure dependence. In contrast, Δd for C3N/Gra and C3B/Gra increases gradually with pressure. Type II includes C3N/C3N (Figure 3c) and C3B/C3B (Figure 3b). For these two homojunctions, the maximum interlayer spacing occurs at the AA stacking (abscissa = 0 and 1), while the minimum appears at the AA’ stacking (abscissa = 1/2) other than AB stacking (abscissa = 1/6, 5/6). This behavior arises because the interaction energy curve of the AA’ stacking is slightly lower than that of AB stacking (see Figure 2b,c). Additionally, these systems exhibit relatively large interlayer spacing at the AB’ stacking (abscissa = 1/3, 2/3). Notably, under a high pressure of 9 nN, the maximum interlayer spacing of C3B/C3B shifts to the AB’ stacking, and the minimum value migrates to a non-high-symmetry stacking. For C3N/C3N, while the minimum remains stable at the AA’ stacking, the maximum value transitions to a non-high-symmetry stacking. More importantly, for this type of system, Δd decreases markedly as pressure increases at 9 nN; it reduces to only 25% of its initial value at 0 nN. The C3B/C3N heterojunction falls into the third category. (Figure 3f). Its maximum interlayer spacing occurs at the AA stacking (abscissa = 0 and 1), and the minimum interlayer spacing is observed at the AB’ stacking (abscissa = 1/3, 2/3). The interlayer spacing at the AB stacking is slightly larger than that at the AB’ stacking, while the value at the AA’ stacking is much larger than that at the AB’ stacking. The curve characteristics of this system remain unchanged with increasing pressure. The maximum interlayer spacing occurs at AA stacking (abscissa = 0 and 1), with the minimum observed at AB’ stacking (abscissa = 1/3, 2/3). The spacing at AB stacking is slightly larger than at AB’, while AA’ stacking exhibits much larger spacing than AB’. The curve characteristics remain invariant with increasing pressure. For this system, Δd decreases slightly at 9 nN, and it reduces to 75% of its 0 nN value.
Next, we further examine the pressure-dependent evolution of the amplitude of interlayer spacing variation, Δd. Under low pressures (0–3 nN), C3B/C3B exhibits a Δd value of approximately 0.4 Å–twice that observed in C3N/C3N, Gra/Gra, and C3B/C3N, and five times greater than in C3B/Gra. As pressure increases to ~9 nN, Δd for C3B/C3B decreases to 0.1 Å, approaching values comparable to other systems. This pressure-induced transition suggests that C3B/C3B shifts from a high-friction regime to friction levels approaching those of alternative materials. In contrast, C3N/Gra demonstrates an exceptionally small Δd of 0.02 Å at 0 nN, significantly lower than all other systems studied. This finding confirms that C3N/Gra exhibits ultra-low friction behavior.
Potential energy V is a critical parameter for calculating the coefficient of friction via the method proposed by Zhong et al. [36], defined as follows:
V x , F N = E b x , d x , F N + F N d x , F N V 0 F N
The potential energy comprises two components: the variation in interaction energy under load, and the work performed against the external force FN applied to the slab, with V 0 F N representing the minimum potential energy along the sliding path. Consequently, V x , F N denotes the relative potential barrier along the sliding trajectory, and the potential energy curves under different loads are shown in Figure 4. Consistent with the load–dependent trend of interlayer spacing, the variation in the sliding potential barrier with load (Figure 4) falls into three corresponding categories. Type 1 includes the Gra/Gra (Figure 4a), C3B/Gra (Figure 4d), and C3N/Gra (Figure 4e) systems, where the maximum potential energy occurs at AA stacking and the minimum at AB stacking, and the positions of these extrema remain unchanged across the entire load range. Type 2 comprises the C3B/C3B (Figure 4b) and C3N/C3N (Figure 4c) systems, with the maximum potential energy at AA stacking and the minimum at AA’ stacking, (AB stacking values are marginally lower than AA’ stacking). Notably, the AB’ stacking energy of C3B/C3B is relatively large (~half of AA stacking) and rises rapidly with load, even exceeding AA stacking at 9 nN. In contrast, while AB’ stacking energy of C3N/C3N also increases with load, its growth rate is substantially slower than that of AA stacking, maintaining a stable trend across the load range. Type 3 corresponds to the C3B/C3N system (Figure 4f), where the maximum potential energy occurs at AA stacking and the minimum at AB’ stacking. AB stacking values are slightly higher than AB’ stacking, while AA’ stacking energy is markedly larger than AB’ stacking, with the curve characteristics remaining unaltered as load increases.
We further compared the magnitudes of potential barriers across all systems. At low loads, the C3B/C3B system exhibits the highest potential barrier, roughly twice that of C3N/C3N, Gra/Gra, and C3B/C3N, and seven times that of C3B/Gra. While the C3N/Gra system possesses the lowest potential barrier (only 0.5 meV/atom), far smaller than those of other systems. At a high load of 9 nN, the potential barrier of the C3B/C3B system is now lower than that of Gra/Gra and comparable to those of C3B/C3N and C3B/Gra. Although the potential barrier of the C3N/Gra system increases rapidly (reaching 50 meV/atom), it remains the lowest among all systems.
To clarify the relationship between the sliding potential barrier and load, Figure 5a compares Vmax (maximum sliding potential barrier) of each system as a function of load. In the load range of 1–7 nN, C3B/C3B exhibits the highest Vmax, which increases sharply between 1 and 4 nN, plateaus thereafter, and is overtaken by Gra/Gra above 7 nN. For the other systems, Vmax increases linearly with load but with distinct slopes: steeper slopes (faster growth) are observed for C3B/C3B, C3B/C3N, and Gra/Gra, while gentler slopes (slower growth) are seen for C3N/Gra and C3N/C3N. Throughout the entire load range, C3N/Gra, C3N/C3N, and C3B/Gra maintain substantially lower sliding potential barriers than graphene (Gra/Gra).
For a more direct characterization of tribological properties, the coefficient of friction (μ) of each system was computed via Equation (5):
μ = V max ( F N ) V min ( F N ) / F N Δ x
where Vmax (FN) and Vmin (FN) denote the maximum and minimum potential energies along the sliding path under load FN, and Δ x is the distance between the positions of Vmax and Vmin. The calculated μ are displayed in Figure 5b. Except for C3B/C3B, all other systems exhibit lower values than graphene. Notably, the C3N/Gra and C3B/Gra systems consistently maintain a friction coefficient approximately one-fourth that of graphene, highlighting significant application potential in the field of superlubricity.
Subsequently, we conducted a comprehensive investigation into the friction behavior of these systems across all sliding directions via the potential energy surface (PES) method. The PES was defined as the variation in binding energy (Eb) with respect to the relative lateral displacement of the two contacting films at their equilibrium interlayer distance (zeq), represented as ∆Eb (x, y, zeq) [46]. This approach enables the assessment of the overall tribological properties of a contacting interface under conditions of zero normal load. The degree of corrugation observed in the PES reflects the inherent resistance to sliding, which corresponds to the maximum energy that can be dissipated during the sliding process.
The calculated PESs are presented in Figure 6. Notably, the path selected in our previous calculations (indicated by the red dashed line in Figure 6) encompasses both the maximum and minimum energy values on the PES, thereby representing the maximum barrier path. Along this path, the PES corrugation of the C3B/C3B system (Figure 6b) is approximately 31.70 meV/atom, significantly higher than that of the other systems. In contrast, the C3N/Gra (Figure 6d) and C3B/Gra (Figure 6e) systems exhibit much lower PES corrugations (0.37 and 2.48 meV/atom, respectively), aligning with our earlier findings.
In practical sliding, systems rarely follow the maximum barrier path directly. Instead, they bypass the highest potential energy point and slide along the minimum energy path (MEP), delineated by the white solid line in the figures. Figure 7 illustrates the corresponding potential barrier (V) and lateral stress (τ) as functions of sliding distance s along the minimum barrier paths. As observed, the C3B/C3B system (Figure 7b) exhibits significantly higher sliding potential barriers and shear forces—roughly fourfold those observed in the Gra/Gra system (Figure 7a). In stark contrast, the C3B/Gra (Figure 7d) and C3N/Gra (Figure 7e) systems exhibit the lowest sliding potential barriers and shear forces. Particularly, the C3N/Gra system shows values only about 1/30 of those seen in the graphene system. These results are consistent with our previous findings from the selected sliding path calculations, further confirming the significant application potential of the C3B/Gra and C3N/Gra systems in the field of superlubricity.
The charge density characteristics at the center of the contact interface serve as a crucial metric for understanding the microscopic origins of friction in sliding systems [47,48,49,50]. We further investigated the microscopic mechanism by which the interfacial charge density distribution regulates the friction energy barrier. The planar-averaged charge density (PACD, ρ ¯ ) is calculated as:
ρ ¯ = 1 A 0 a 0 b ρ x , y d x d y
where A is the plane area, a and b represent the boundaries along the x- and y-directions, respectively; ρ x , y is the charge density at position (x, y). Sliding-induced changes in interfacial charge distribution directly modulate the system’s energy barrier. The variation in ρ ¯ between maximum-energy and minimum-energy stacking configurations is quantified by:
ρ ¯ d i f f = ρ ¯ max ρ ¯ min
where ρ ¯ max and ρ ¯ min are the PACDs at the maximum-energy and minimum-energy stacking configuration, respectively.
Figure 8 shows the calculated z-axis curves under 0 nN. Pink shaded regions mark the intralayer regions, with boundaries corresponding to atomic layer positions. The black dashed line at z = 0 denotes the interface center. Red dashed arrows and circles highlight charge density fluctuations at the interface, with absolute values displayed in each panel’s bottom-right corner. A comparative analysis reveals that all systems exhibit a pronounced negative trough at z = 0, indicating reduced electron density at the interface center in high-energy stacking configurations compared to stable low-energy states. Electrons instead accumulate near adjacent atomic layers.
Notably, electron cloud rearrangement differs significantly across systems: homojunctions show symmetric ρ ¯ d i f f distributions along the z-axis, while heterojunctions exhibit pronounced asymmetry due to intrinsic differences between the contacting materials. The magnitude of charge density variation at the interface center correlates strongly with macroscopic friction force. The C3B/C3B system exhibits the largest charge density fluctuation (31.01 × 10−3 e/Å3), reflecting substantial interfacial electron rearrangement and the highest friction energy barrier. Conversely, Gra/C3N shows minimal fluctuation (0.76 × 10−3 e/Å3) and the lowest friction. Furthermore, we performed a ρ ¯ d i f f analysis for the special phenomena observed in the C3B/C3B system. It was found that the ρ ¯ d i f f remains nearly constant starting from 4 nN, as detailed in Figure S1 in the Supplementary information. Overall, the order of interfacial charge density variation is: C3B/C3B > C3N/C3B > Gra/Gra > C3N/C3N > Gra/C3B > Gra/C3N. This sequence aligns perfectly with the macroscopic friction trends in Figure 5, Figure 6 and Figure 7, confirming that microscopic electronic behavior dictates macroscopic frictional properties.

4. Conclusions

This study presents a comprehensive investigation into the interlayer frictional properties of C3N, C3B, and graphene bilayers, as well as their heterostructures, using first-principles calculations based on density functional theory (DFT). Compared to the reference Graphene/Graphene (Gra/Gra) system, the sliding potential barriers of the C3N/C3N, C3B/Gra, and C3N/Gra systems are significantly lower. Particularly, the C3N/Gra heterostructure exhibits nearly negligible interlayer corrugation and sliding potential barrier (~0.45 meV/atom at 0nN), demonstrating substantial potential for constructing superlubricious structures. The sliding potential barrier and friction force of the C3B/C3N system are slightly smaller than those of Gra/Gra, while the C3B/C3B (~16 meV/atom at 0nN) homojunction shows much higher friction, approximately twice that of Gra/Gra (~7.5 meV/atom at 0nN). These frictional differences among the systems can be attributed to sliding-induced interfacial charge redistribution, where a positive correlation exists between charge redistribution and friction: the greater the extent of charge redistribution, the higher the friction. Quantitatively, this is reflected by the following order: C3B/C3B (31.01 × 10−3 e/Å) > C3N/C3B (14.74 × 10−3 e/Å) > Gra/Gra (12.05 × 10−3 e/Å) > C3N/C3N (7.57 × 10−3 e/Å) > Gra/C3B (3.06 × 10−3 e/Å) > Gra/C3N (0.76 × 10−3 e/Å). These findings provide useful insights for the design of graphene-based nanolubricants and also offer tribological data to support the application of graphene-like carbon–nitrogen and carbon–boron compounds, such as C3B and C3N, in areas such as hydrogen storage, high-capacity electrodes, electrocatalysis, and gas sensors.

Supplementary Materials

The following supporting information can be downloaded at: https://www.mdpi.com/article/10.3390/lubricants14030117/s1, Figure S1: Planar-averaged charge density difference ( ρ ¯ d i f f ) of C3B/C3B. (a)–(f) correspond to the 4-9 nN, respectively.

Author Contributions

Conceptualization, J.W.; Methodology, J.W., S.Y. and H.X.; Software, J.L. and B.Z.; Validation, M.L.; Investigation, J.L., J.W., S.Y. and H.X.; Resources, J.W. and M.L.; Data curation, J.L., B.Z. and X.Z.; Writing—original draft, J.L.; Writing—review & editing, J.W. and S.Y.; Visualization, B.Z. and M.L.; Supervision, J.W. and X.Z.; Project administration, J.W.; Funding acquisition, J.W. and X.Z. All authors have read and agreed to the published version of the manuscript.

Funding

This work was supported by the Natural Science Foundation of Henan Province (Grants No. 232300421219).

Data Availability Statement

The original contributions presented in the study are included in the article, further inquiries can be directed to the corresponding authors.

Conflicts of Interest

The authors declare no conflict of interest.

References

  1. Geim, A.K.; Novoselov, K.S. The rise of graphene. Nat. Mater. 2007, 6, 183–191. [Google Scholar] [CrossRef] [PubMed]
  2. Geim, A.K. Graphene: Status and prospects. Science 2009, 324, 1530–1534. [Google Scholar] [CrossRef] [PubMed]
  3. Geim, A.K.; Grigorieva, I.V. Van der Waals heterostructures. Nature 2013, 499, 419–425. [Google Scholar] [CrossRef] [PubMed]
  4. Akinwande, D.; Brennan, C.J.; Bunch, J.S.; Egberts, P.; Felts, J.R.; Gao, H.; Huang, R.; Kim, J.-S.; Li, T.; Li, Y.; et al. A review on mechanics and mechanical properties of 2D materials—Graphene and beyond. Extrem. Mech. Lett. 2017, 13, 42–77. [Google Scholar] [CrossRef]
  5. Liu, L.; Shen, Z. Bandgap engineering of graphene: A density functional theory study. Appl. Phys. Lett. 2009, 95, 252104. [Google Scholar] [CrossRef]
  6. Kozlov, S.M.; Viñes, F.; Görling, A. Bandgap engineering of graphene by physisorbed adsorbates. Adv. Mater. 2011, 23, 2638–2643. [Google Scholar] [CrossRef]
  7. Giovannetti, G.; Khomyakov, P.A.; Brocks, G.; Kelly, P.J.; van den Brink, J. Substrate-induced band gap in graphene on hexagonal boron nitride: Ab initio density functional calculations. Phys. Rev. B 2007, 76, 073103. [Google Scholar] [CrossRef]
  8. Rotenberg, E.; Bostwick, A.; Ohta, T.; McChesney, J.L.; Seyller, T.; Horn, K. Origin of the energy bandgap in epitaxial graphene. Nat. Mater. 2008, 7, 258–259. [Google Scholar] [CrossRef]
  9. Bhattacharya, A.; Bhattacharya, S.; Das, G.P. Strain-induced band-gap deformation of H/F passivated graphene and h-BN sheet. Phys. Rev. B 2011, 84, 075454. [Google Scholar] [CrossRef]
  10. Senevirathna, M.K.I.; Samarakoon, D.K.; Gunasinghe, R.; Wang, X.Q.; Williams, M.D. Bandgap opening of ferric chloride intercalated graphene by applying small electric field. AIP Adv. 2024, 14, 125107. [Google Scholar] [CrossRef]
  11. Guo, Y.; Guo, W.; Chen, C. Tuning field-induced energy gap of bilayer graphene via interlayer spacing. Appl. Phys. Lett. 2008, 92, 243101. [Google Scholar] [CrossRef]
  12. Wu, M.; Cao, C.; Jiang, J.Z. Light non-metallic atom (B, N, O and F)-doped graphene: A first-principles study. Nanotechnology 2010, 21, 505202. [Google Scholar] [CrossRef] [PubMed]
  13. Denis, P.A. Band gap opening of monolayer and bilayer graphene doped with aluminium, silicon, phosphorus, and sulfur. Chem. Phys. Lett. 2010, 492, 251–257. [Google Scholar] [CrossRef]
  14. Tanaka, H.; Kawamata, Y.; Simizu, H.; Fujita, T.; Yanagisawa, H.; Otani, S.; Oshima, C. Novel macroscopic BC3 honeycomb sheet. Solid State Commun. 2005, 136, 22–25. [Google Scholar] [CrossRef]
  15. Wu, X.; Pei, Y.; Zeng, X.C. B2C graphene, nanotubes, and nanoribbons. Nano Lett. 2009, 9, 1577–1582. [Google Scholar] [CrossRef]
  16. Xiang, H.J.; Huang, B.; Li, Z.Y.; Wei, S.H.; Yang, J.L.; Gong, X.G. Ordered semiconducting nitrogen-graphene alloys. Phys. Rev. X 2012, 2, 011003. [Google Scholar] [CrossRef]
  17. Chen, H.; Zhang, S.; Jiang, W.; Zhang, C.; Guo, H.; Liu, Z.; Wang, Z.; Liu, F.; Niu, X. Prediction of two-dimensional nodal-line semimetal in a carbon nitride covalent network. J. Mater. Chem. A 2018, 6, 11252–11259. [Google Scholar] [CrossRef]
  18. Yang, S.; Li, W.; Ye, C.; Wang, G.; Tian, H.; Zhu, C.; He, P.; Ding, G.; Xie, X.; Liu, Y.; et al. C3N-A 2D crystalline, hole-free, tunable-narrow-bandgap semiconductor with ferromagnetic properties. Adv. Mater. 2017, 29, 1605625. [Google Scholar] [CrossRef]
  19. Mondal, D.; Datta, S.; Jana, D. Navigating the evolution of two-dimensional carbon nitride research: Integrating machine learning into conventional approaches. Phys. Chem. Chem. Phys. 2025, 27, 4531–4566. [Google Scholar] [CrossRef]
  20. Mortazavi, B. Ultra high stiffness and thermal conductivity of graphene like C3N. Carbon 2017, 118, 25–34. [Google Scholar] [CrossRef]
  21. Kumar, S.; Sharma, S.; Babar, V.; Schwingenschlögl, U. Ultralow lattice thermal conductivity in monolayer C3N as compared to graphene. J. Mater. Chem. A 2017, 5, 20407–20411. [Google Scholar] [CrossRef]
  22. Wang, H.; Li, Q.; Pan, H.; Gao, Y.; Sun, M. Comparative investigation of the mechanical, electrical and thermal transport properties in graphene-like C3B and C3N. J. Appl. Phys. 2019, 126, 234302. [Google Scholar] [CrossRef]
  23. Tang, X.; Guo, G.; Peng, Y.; You, M.; Luo, S.; He, C.; Tang, C.; Huang, Z.; Zhong, J. Tunable properties of two-dimensional bilayer C3N as anode material: Bandgap, binding energy, and diffusion barrier. J. Energy Storage 2024, 77, 109906. [Google Scholar] [CrossRef]
  24. Yang, Z.; Ni, J. Li-doped BC3 sheet for high-capacity hydrogen storage. Appl. Phys. Lett. 2012, 100, 183109. [Google Scholar] [CrossRef]
  25. Kuzubov, A.A.; Fedorov, A.S.; Eliseeva, N.S.; Tomilin, F.N.; Avramov, P.V.; Fedorov, D.G. High-capacity electrode material BC3 for lithium batteries proposed by ab initio simulations. Phys. Rev. B 2012, 85, 195415. [Google Scholar] [CrossRef]
  26. Mehdi Aghaei, S.; Monshi, M.M.; Torres, I.; Zeidi, S.M.J.; Calizo, I. DFT study of adsorption behavior of NO, CO, NO2, and NH3 molecules on graphene-like BC3: A search for highly sensitive molecular sensor. Appl. Surf. Sci. 2018, 427, 326–333. [Google Scholar] [CrossRef]
  27. Kim, K.S.; Lee, H.J.; Lee, C.; Lee, S.K.; Jang, H.; Ahn, J.H.; Kim, J.H.; Lee, H.J. Chemical vapor deposition-grown graphene: The thinnest solid lubricant. ACS Nano 2011, 5, 5107–5114. [Google Scholar] [CrossRef]
  28. Eswaraiah, V.; Sankaranarayanan, V.; Ramaprabhu, S. Graphene-based engine oil nanofluids for tribological applications. ACS Appl. Mater. Interfaces 2011, 3, 4221–4227. [Google Scholar] [CrossRef]
  29. Cui, Z.; Yang, M.; Ruan, X.; Fan, X.; Liu, W. High throughput theoretical prediction of the low friction at the interfaces of homo- and heterojunction composed of C3N. Appl. Surf. Sci. 2023, 612, 155718. [Google Scholar] [CrossRef]
  30. Yang, H.; Hu, B.; Jiang, W.; Wu, B.; Ouyang, W. Anisotropic interlayer potentials in C3N/graphene and C3N/h-BN heterostructures. J. Phys. Chem. C 2025, 129, 18250–18260. [Google Scholar] [CrossRef]
  31. Kresse, G.; Furthmüller, J. Efficiency of ab-initio total energy calculations for metals and semiconductors using a plane-wave basis set. Comput. Mater. Sci. 1996, 6, 15–50. [Google Scholar] [CrossRef]
  32. Kresse, G.; Furthmüller, J. Efficient iterative schemes for ab initio total-energy calculations using a plane-wave basis set. Phys. Rev. B 1996, 54, 11169–11186. [Google Scholar] [CrossRef] [PubMed]
  33. Perdew, J.P.; Burke, K.; Ernzerhof, M. Generalized gradient approximation made simple. Phys. Rev. Lett. 1996, 77, 3865–3868. [Google Scholar] [CrossRef] [PubMed]
  34. Grimme, S.; Ehrlich, S.; Goerigk, L. Effect of the damping function in dispersion corrected density functional theory. J. Comput. Chem. 2011, 32, 1456–1465. [Google Scholar] [CrossRef] [PubMed]
  35. Grimme, S.; Antony, J.; Ehrlich, S.; Krieg, H. A consistent and accurate ab initio parametrization of density functional dispersion correction (DFT-D) for the 94 elements H-Pu. J. Chem. Phys. 2010, 132, 154104. [Google Scholar] [CrossRef] [PubMed]
  36. Zhong, W.; Tománek, D. First-principles theory of atomic-scale friction. Phys. Rev. Lett. 1990, 64, 3054. [Google Scholar] [CrossRef]
  37. Wang, J.; Wang, F.; Li, J.; Sun, Q.; Jia, Y. Theoretical study of superlow friction between two single-side hydrogenated graphene sheets. Tribol. Lett. 2012, 48, 255–261. [Google Scholar] [CrossRef]
  38. Niu, L.; Conquest, O.J.; Verdi, C.; Stampfl, C. Electronic and optical properties of 2D heterostructure bilayers of graphene, borophene and 2D boron carbides from first principles. Nanomaterials 2024, 14, 1659. [Google Scholar] [CrossRef]
  39. Chen, W.; Li, S.; Wang, R.; Wu, X. Graphene-like BC3 and NC3 flakes as promising drug delivery systems. Phys. E 2021, 129, 114633. [Google Scholar] [CrossRef]
  40. Baskin, V.; Meyer, L. Lattice constants of graphite at low temperatures. Phys. Rev. 1955, 100, 544–546. [Google Scholar] [CrossRef]
  41. Castro, E.V.; Novoselov, K.S.; Morozov, S.V.; Peres, N.M.R.; dos Santos, J.M.B.L.; Nilsson, J.; Guinea, F.; Geim, A.K.; Castro Neto, A.H. Biased Bilayer Graphene: Semiconductor with a Gap Tunable by the Electric Field Effect. Phys. Rev. Lett. 2007, 99, 216802. [Google Scholar] [CrossRef] [PubMed]
  42. Castro Neto, A.H.; Guinea, F.; Peres, N.M.R.; Novoselov, K.S.; Geim, A.K. The electronic properties of graphene. Rev. Mod. Phys. 2009, 81, 109–162. [Google Scholar] [CrossRef]
  43. Lebedeva, I.V.; Lebedev, A.V.; Popov, A.M.; Knizhnik, A.A. Comparison of performance of van der Waals-corrected exchange-correlation functionals for interlayer interaction in graphene and hexagonal boron nitride. Comput. Mater. Sci. 2017, 128, 45–58. [Google Scholar] [CrossRef]
  44. Guo, G.; Peng, Y.; Luo, S.; Guo, G.; Lai, C.; You, M.; Xue, X.; Huang, Z.; Wei, X.; Wang, R.; et al. Stack-dependent ion diffusion behavior in two-dimensional bilayer C3B. Dalton Trans. 2022, 51, 17902–17910. [Google Scholar] [CrossRef]
  45. Chen, Z.; Wang, H.; Li, Z. First-principles study of two dimensional C3N and its derivatives. RSC Adv. 2020, 10, 33469–33474. [Google Scholar] [CrossRef]
  46. Zilibotti, G.; Righi, M.C.; Ferrario, M.; Calbi, M.M. Ab initio calculation of the adhesion and ideal shear strength of planar diamond interfaces with different atomic structure and hydrogen coverage. Langmuir 2011, 27, 6862–6867. [Google Scholar] [CrossRef]
  47. Wang, J.; Li, J.; Fang, L.; Sun, Q.; Jia, Y. Charge distribution view: Large difference in friction performance between graphene and hydrogenated graphene systems. Tribol. Lett. 2014, 55, 405–412. [Google Scholar] [CrossRef]
  48. Wolloch, M.; Levita, G.; Restuccia, P.; Righi, M.C. Interfacial charge density and its connection to adhesion and frictional forces. Phys. Rev. Lett. 2018, 121, 026804. [Google Scholar] [CrossRef]
  49. Sun, J.; Zhang, X.; Du, S.; Pu, J.; Wang, Y.; Yuan, Y.; Qian, L.; Francisco, J.S. Charge density evolution governing interfacial friction. J. Am. Chem. Soc. 2023, 145, 5536–5544. [Google Scholar] [CrossRef]
  50. Cao, Y.; Zhao, Z.; Lv, Q.; Dong, X.; Niu, Y.; He, W.; Wang, Y.; Lu, Z. Potential negative friction coefficient predicted by first-principles calculations: A possible consequence of inaccurate computational models. Phys. Rev. B 2025, 111, 054109. [Google Scholar] [CrossRef]
Figure 1. Top view for the atomic structures of (ac) the 2 × 2 graphene, C3B and C3N monolayer, (d,e) the AA and AB stacking Gra/Gra bilayer, (fi) the AA, AB, AB′ and AA′ stacking C3B/C3B bilayer, (jm) AA, AB, AB′ and AA′ stacking C3N/C3N bilayer, (n,o) the AA and AB stacking C3B/Gra heterojunction, (p,q) the AA and AB stacking C3N/Gra heterojunction, (ru) AA, AB, AB′ and AA′ stacking C3B/C3N heterojunction. The large brown, pink and blue balls represent C, B and N atoms in bottom layer, respectively; the small grey, pink, and blue balls s represent the C, B, and N atoms in top layer, respectively. The red dotted arrow shows the sliding trajectories of the upper layers.
Figure 1. Top view for the atomic structures of (ac) the 2 × 2 graphene, C3B and C3N monolayer, (d,e) the AA and AB stacking Gra/Gra bilayer, (fi) the AA, AB, AB′ and AA′ stacking C3B/C3B bilayer, (jm) AA, AB, AB′ and AA′ stacking C3N/C3N bilayer, (n,o) the AA and AB stacking C3B/Gra heterojunction, (p,q) the AA and AB stacking C3N/Gra heterojunction, (ru) AA, AB, AB′ and AA′ stacking C3B/C3N heterojunction. The large brown, pink and blue balls represent C, B and N atoms in bottom layer, respectively; the small grey, pink, and blue balls s represent the C, B, and N atoms in top layer, respectively. The red dotted arrow shows the sliding trajectories of the upper layers.
Lubricants 14 00117 g001
Figure 2. Interaction energy as a function of interlayer distance between two material sheets. Inset: Magnified view of the curves in the interlayer distance range of 3.0–4.0 Å. (af) correspond to the Gra/Gra, C3B/C3B, C3N/C3N, C3B/Gra, C3N/Gra and C3B/C3N systems, respectively. Different stacking configurations along the sliding path are denoted by numbers 0 to 12, where number 0 represents the initial AA stacking configuration.
Figure 2. Interaction energy as a function of interlayer distance between two material sheets. Inset: Magnified view of the curves in the interlayer distance range of 3.0–4.0 Å. (af) correspond to the Gra/Gra, C3B/C3B, C3N/C3N, C3B/Gra, C3N/Gra and C3B/C3N systems, respectively. Different stacking configurations along the sliding path are denoted by numbers 0 to 12, where number 0 represents the initial AA stacking configuration.
Lubricants 14 00117 g002
Figure 3. Relative variation in interlayer spacing curves as a function of sliding distance s (in unit of √3 times of lattice constant) under 0, 3 and 9 nN loads. (af) correspond to the Gra/Gra, C3B/C3B, C3N/C3N, C3B/Gra, C3N/Gra and C3B/C3N systems, respectively.
Figure 3. Relative variation in interlayer spacing curves as a function of sliding distance s (in unit of √3 times of lattice constant) under 0, 3 and 9 nN loads. (af) correspond to the Gra/Gra, C3B/C3B, C3N/C3N, C3B/Gra, C3N/Gra and C3B/C3N systems, respectively.
Lubricants 14 00117 g003
Figure 4. Potential energy V as a function of sliding distance s (in units of √3 times of lattice constant) under 0, 3 and 9 nN loads. (af) correspond to the Gra/Gra, C3B/C3B, C3N/C3N, C3B/Gra, C3N/Gra and C3B/C3N systems, respectively.
Figure 4. Potential energy V as a function of sliding distance s (in units of √3 times of lattice constant) under 0, 3 and 9 nN loads. (af) correspond to the Gra/Gra, C3B/C3B, C3N/C3N, C3B/Gra, C3N/Gra and C3B/C3N systems, respectively.
Lubricants 14 00117 g004
Figure 5. (a) The maximum potential energy (Vmax) and (b) the coefficient of friction (μ) as functions of load for the different systems.
Figure 5. (a) The maximum potential energy (Vmax) and (b) the coefficient of friction (μ) as functions of load for the different systems.
Lubricants 14 00117 g005
Figure 6. Potential energy surfaces (PES). (af) correspond to the Gra/Gra, C3B/C3B, C3N/C3N, C3B/Gra, C3N/Gra and C3B/C3N systems, respectively.
Figure 6. Potential energy surfaces (PES). (af) correspond to the Gra/Gra, C3B/C3B, C3N/C3N, C3B/Gra, C3N/Gra and C3B/C3N systems, respectively.
Lubricants 14 00117 g006
Figure 7. The corresponding potential barrier V and lateral stress τ as functions of sliding distance (in units of √3 times the lattice constant) along the minimum barrier paths are plotted under each PES. (af) correspond to the Gra/Gra, C3B/C3B, C3N/C3N, C3B/Gra, C3N/Gra and C3B/C3N systems, respectively.
Figure 7. The corresponding potential barrier V and lateral stress τ as functions of sliding distance (in units of √3 times the lattice constant) along the minimum barrier paths are plotted under each PES. (af) correspond to the Gra/Gra, C3B/C3B, C3N/C3N, C3B/Gra, C3N/Gra and C3B/C3N systems, respectively.
Lubricants 14 00117 g007
Figure 8. Planar-averaged charge density difference ( ρ ¯ d i f f ) of (a) Gra/Gra, (b) C3B/C3B, (c) C3N/C3N, (d) C3B/Gra, (e) C3N/Gra, and (f) C3B/C3N.
Figure 8. Planar-averaged charge density difference ( ρ ¯ d i f f ) of (a) Gra/Gra, (b) C3B/C3B, (c) C3N/C3N, (d) C3B/Gra, (e) C3N/Gra, and (f) C3B/C3N.
Lubricants 14 00117 g008
Table 1. Detailed structural parameters of monolayer and bilayer systems.
Table 1. Detailed structural parameters of monolayer and bilayer systems.
Systema (a = b) (Å)Strain ( ε )C-C (Å)B-C (Å)N-C (Å)
 This WorkOther Work    
Gra2.4662.46 * [40]-1.423--
C3B5.1725.20 * [14]-1.4211.564-
C3N4.8594.80 * [18]-1.403-1.402
Gra/Gra4.932--1.423--
C3B/C3B5.172--1.4211.564-
C3N/C3N4.859--1.403-1.402
C3B/Gra5.052-−2.32% (C3B)1.396 (C3B)1.520-
+2.43% (Gra)1.457 (Gra)
C3N/Gra4.895-+0.75% (C3N)1.413 (C3N)-1.413
−0.74% (Gra)1.413 (Gra)
C3B/C3N5.015-−3.03% (C3B)1.389 (C3B)1.5061.445
+3.22% (C3N)1.445 (C3N)
Notes: * Experimental data from references.
Table 2. Interlayer distance and binding energy of high-symmetry stackings for each system.
Table 2. Interlayer distance and binding energy of high-symmetry stackings for each system.
SystemStacking ConfigurationsInterlayer Distance (Å)Binding Energy (eV/atom)
  This WorkOther workThis WorkOther work
Gra/GraAA3.623.55 * [41]0.0410.040 [29]
AB3.423.35 * [42]0.0480.048 [43]
C3B/C3BAA3.763.72 [44]0.0310.027 [44]
AB3.373.44 [44]0.0450.034 [44]
AB′3.583.61 [44]0.0370.030 [44]
AA′3.343.44 [44]0.0470.035 [44]
C3N/C3NAA3.503.40 [45]0.040-
AB3.373.20 [45]0.048-
AB′3.393.22 [45]0.047-
AA′3.353.23 [45]0.048-
C3B/GraAA3.45-0.048-
AB3.38-0.051-
C3N/GraAA3.41-0.050-
AB3.39-0.050-
C3B/C3NAA3.44-0.054-
AB3.27-0.063-
AB′3.24-0.064-
AA′3.36-0.058-
Notes: * Experimental data from references; unmarked values are theoretical calculation results.
Disclaimer/Publisher’s Note: The statements, opinions and data contained in all publications are solely those of the individual author(s) and contributor(s) and not of MDPI and/or the editor(s). MDPI and/or the editor(s) disclaim responsibility for any injury to people or property resulting from any ideas, methods, instructions or products referred to in the content.

Share and Cite

MDPI and ACS Style

Liu, J.; Wang, J.; Yao, S.; Xiang, H.; Zhao, B.; Li, M.; Zhang, X. First-Principles Investigation on the Interlayer Frictional Properties of Graphene, C3N, and C3B Bilayers and Their Heterostructures. Lubricants 2026, 14, 117. https://doi.org/10.3390/lubricants14030117

AMA Style

Liu J, Wang J, Yao S, Xiang H, Zhao B, Li M, Zhang X. First-Principles Investigation on the Interlayer Frictional Properties of Graphene, C3N, and C3B Bilayers and Their Heterostructures. Lubricants. 2026; 14(3):117. https://doi.org/10.3390/lubricants14030117

Chicago/Turabian Style

Liu, Jinrui, Jianjun Wang, Shichang Yao, Huiwen Xiang, Bin Zhao, Meng Li, and Xuehua Zhang. 2026. "First-Principles Investigation on the Interlayer Frictional Properties of Graphene, C3N, and C3B Bilayers and Their Heterostructures" Lubricants 14, no. 3: 117. https://doi.org/10.3390/lubricants14030117

APA Style

Liu, J., Wang, J., Yao, S., Xiang, H., Zhao, B., Li, M., & Zhang, X. (2026). First-Principles Investigation on the Interlayer Frictional Properties of Graphene, C3N, and C3B Bilayers and Their Heterostructures. Lubricants, 14(3), 117. https://doi.org/10.3390/lubricants14030117

Note that from the first issue of 2016, this journal uses article numbers instead of page numbers. See further details here.

Article Metrics

Back to TopTop