Synergistic Enhancement Effect of Polytetrafluoroethylene and WSe2 on the Tribological Performance of Polyetherimide Composites
Abstract
1. Introduction
2. Materials and Method
2.1. Materials
2.2. Preparing of Hydroxylation WSe2
2.3. Preparation of PEI Composites
2.4. Characterizations
2.4.1. Structural Characterization
2.4.2. Thermal and Mechanical Performance Characterization
2.5. Tribological Behavior Test
3. Results and Discussion
3.1. Characterization of WSe2, TA-WSe2
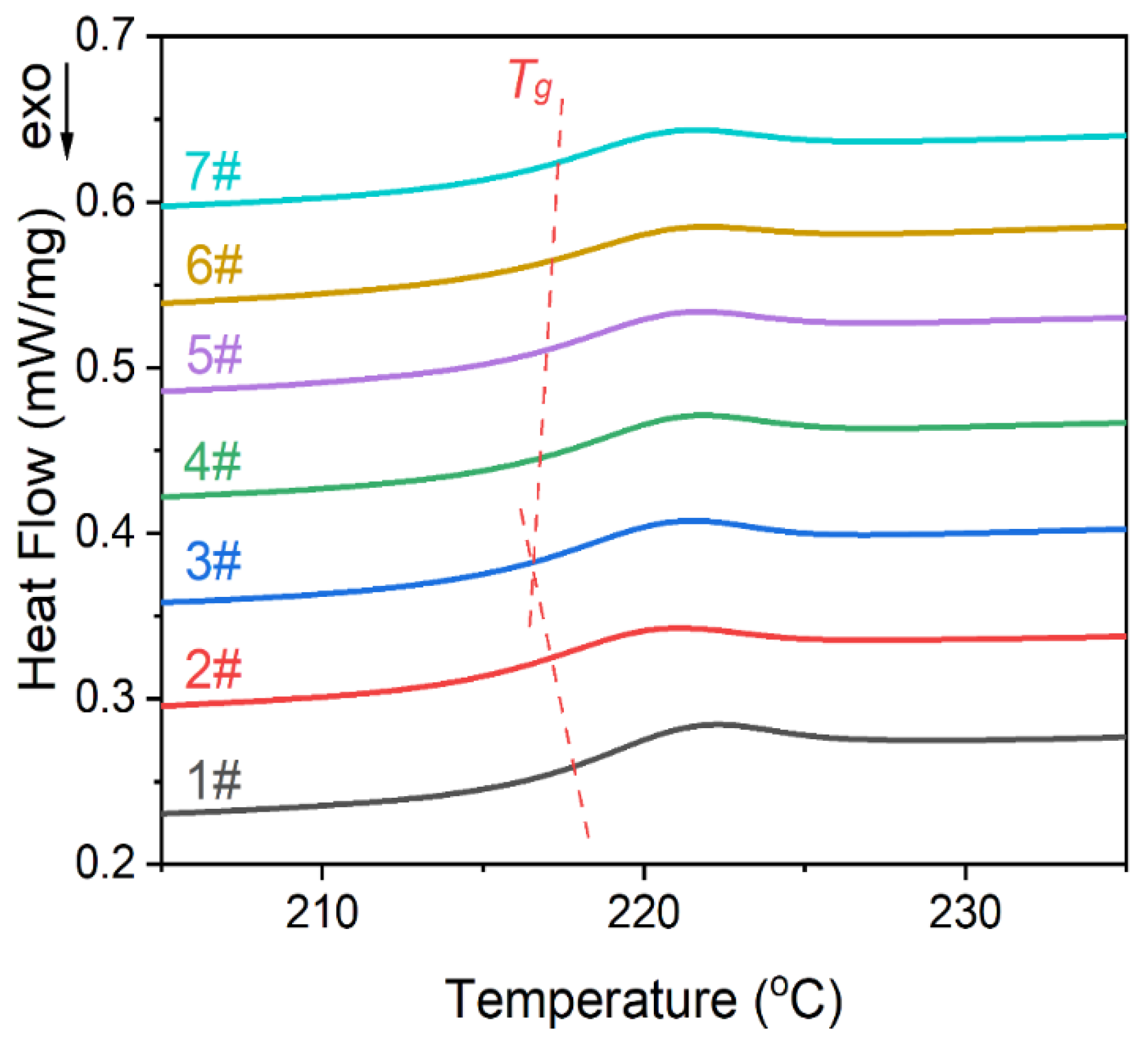
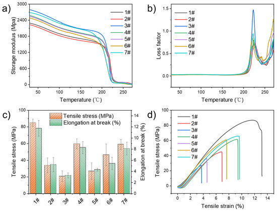
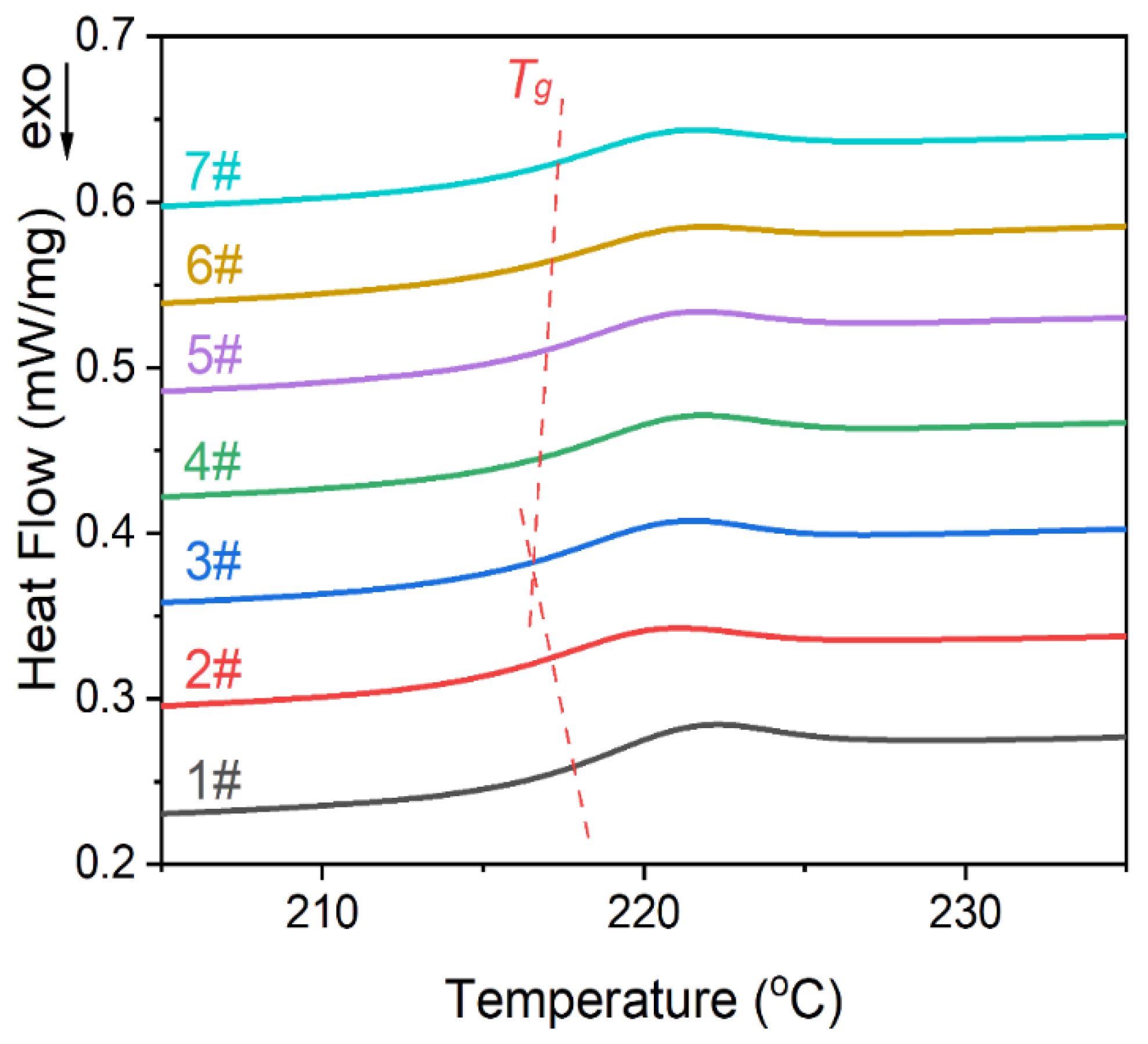
3.2. Thermo and Mechanical Properties of PEI Composites
3.3. Tribological Properties of PEI Composites
4. Conclusions
Author Contributions
Funding
Data Availability Statement
Conflicts of Interest
References
- Marques, F.; Flores, P.; Pimenta Claro, J.C.; Lankarani, H.M. A survey and comparison of several friction force models for dynamic analysis of multibody mechanical systems. Nonlinear Dyn. 2016, 86, 1407–1443. [Google Scholar] [CrossRef]
- Yao, J.; Deng, W.; Jiao, Z. Adaptive Control of Hydraulic Actuators With LuGre Model-Based Friction Compensation. IEEE Trans. Ind. Electron. 2015, 62, 6469–6477. [Google Scholar] [CrossRef]
- Spikes, H. Friction Modifier Additives. Tribol. Lett. 2015, 60, 5. [Google Scholar] [CrossRef]
- Zhai, W.; Bai, L.; Zhou, R.; Fan, X.; Kang, G.; Liu, Y.; Zhou, K. Recent Progress on Wear-Resistant Materials: Designs, Properties, and Applications. Adv. Sci. 2021, 8, 2003739. [Google Scholar] [CrossRef]
- Heidarzadeh, A.; Mironov, S.; Kaibyshev, R.; Çam, G.; Simar, A.; Gerlich, A.; Khodabakhshi, F.; Mostafaei, A.; Field, D.P.; Robson, J.D.; et al. Friction stir welding/processing of metals and alloys: A comprehensive review on microstructural evolution. Prog. Mater. Sci. 2021, 117, 100752. [Google Scholar] [CrossRef]
- Pennestrì, E.; Rossi, V.; Salvini, P.; Valentini, P.P. Review and comparison of dry friction force models. Nonlinear Dyn. 2015, 83, 1785–1801. [Google Scholar] [CrossRef]
- Liu, X.-J.; Cheng, M.; Zhang, Y.; Xing, Y.; Dang, Z.-M.; Zha, J.-W. High-temperature polymer dielectric films with excellent energy storage performance utilizing inorganic outerlayers. Compos. Sci. Technol. 2024, 245, 110305. [Google Scholar] [CrossRef]
- Marwat, M.A.; Zhang, H.; Humayun, M.; Xie, B.; Ashtar, M.; Bououdina, M.; Rehman, M.U.; Ishfaq, S. High discharge energy density in rationally designed graphene oxide@zinc oxide/polymer blend-polyetherimide heterostructured bilayer nanocomposites. J. Energy Storage 2024, 79, 110125. [Google Scholar] [CrossRef]
- Yue, D.; Zhang, W.; Wang, P.; Zhang, Y.; Teng, Y.; Yin, J.; Feng, Y. Constructing asymmetric gradient structures to enhance the energy storage performance of PEI-based composite dielectrics. Mater. Horiz. 2024, 11, 726–736. [Google Scholar] [CrossRef]
- Zeng, T.; Li, Q.; Liu, D.; Fu, J.; Zhong, L.; He, J.; Li, Q.; Yuan, C. Improved capacitive energy storage performance in hybrid films with ultralow aminated molybdenum trioxide integration for high-temperature applications. Mater. Horiz. 2024, 11, 1539–1547. [Google Scholar] [CrossRef]
- Saravanan, P.; Selyanchyn, R.; Watanabe, M.; Fujikawa, S.; Tanaka, H.; Lyth, S.M.; Sugimura, J. Ultra-low friction of polyethylenimine / molybdenum disulfide (PEI/MoS2)15 thin films in dry nitrogen atmosphere and the effect of heat treatment. Tribol. Int. 2018, 127, 255–263. [Google Scholar] [CrossRef]
- Gu, Y.; Fei, J.; Zheng, X.; Li, M.; Huang, J.; Qu, M.; Zhang, L. Graft PEI ultra-antiwear nanolayer onto carbon spheres as lubricant additives for tribological enhancement. Tribol. Int. 2021, 153, 106652. [Google Scholar] [CrossRef]
- Xu, M.; Wang, Z.; Guo, L.; Tao, L.; Ma, T.; Wang, T.; Wang, Q. Tribological properties of PTFE-based fabric composites at cryogenic temperature. Friction 2023, 12, 245–257. [Google Scholar] [CrossRef]
- Gao, Z.; Nie, W.; Wang, H.; Ren, S.; Du, D.; Du, S.; Li, J. Enhancing mechanical performance and high-temperature lubrication enabled by MoS2/WB2 nanolayered films. Compos. Part B Eng. 2024, 275, 111350. [Google Scholar] [CrossRef]
- Nirmal, U.; Hashim, J.; Megat Ahmad, M.M.H. A review on tribological performance of natural fibre polymeric composites. Tribol. Int. 2015, 83, 77–104. [Google Scholar] [CrossRef]
- Kumar, M.; Bijwe, J. Optimized selection of metallic fillers for best combination of performance properties of friction materials: A comprehensive study. Wear 2013, 303, 569–583. [Google Scholar] [CrossRef]
- Miranzo, P.; Belmonte, M.; Osendi, M.I. From bulk to cellular structures: A review on ceramic/graphene filler composites. J. Eur. Ceram. Soc. 2017, 37, 3649–3672. [Google Scholar] [CrossRef]
- Matějka, V.; Fu, Z.; Kukutschová, J.; Qi, S.; Jiang, S.; Zhang, X.; Yun, R.; Vaculík, M.; Heliová, M.; Lu, Y. Jute fibers and powderized hazelnut shells as natural fillers in non-asbestos organic non-metallic friction composites. Mater. Des. 2013, 51, 847–853. [Google Scholar] [CrossRef]
- Hu, H.; He, Y.; Wang, Q.; Tao, L. Investigation of in-situ tribological performance of Polyimide-MoS2/PTFE composite under atomic oxygen irradiation. Tribol. Int. 2023, 183, 108437. [Google Scholar] [CrossRef]
- Panin, S.V.; Luo, J.; Buslovich, D.G.; Alexenko, V.O.; Berto, F.; Kornienko, L.A. Effect of Transfer Film on Tribological Properties of Anti-Friction PEI- and PI-Based Composites at Elevated Temperatures. Polymers 2022, 14, 1215. [Google Scholar] [CrossRef]
- Lu, C.; Jiang, W.; Hui, B.; Rong, D.; Fu, K.; Dong, C.; Tang, W.; Cao, H. The circ_0021977/miR-10b-5p/P21 and P53 regulatory axis suppresses proliferation, migration, and invasion in colorectal cancer. J. Cell. Physiol. 2019, 235, 2273–2285. [Google Scholar] [CrossRef] [PubMed]
- Zhen, J.; Han, Y.; Wang, H.; Jiang, Z.; Wang, L.; Huang, Y.; Jia, Z.; Zhang, R. High Temperature Friction and Wear Behavior of PTFE/MoS2 Composites. Lubricants 2023, 11, 312. [Google Scholar] [CrossRef]
- Zhang, Y.-Y.; Guan, B.-W.; Liang, S.-W.; Liu, Q.-X.; Li, Y.-Q.; Fu, S.-Y. Frictional and wear behaviors of short carbon fiber reinforced polyetherimide composites in an oil lubricant environment. Wear 2024, 542–543, 205275. [Google Scholar] [CrossRef]
- Li, Y.; Xu, N.; Lyu, H.; Jiang, N.; Zhang, H.; Zhou, N.; Zhang, D. Enhanced mechanical and tribological properties of carbon fiber/PEEK composites by hydroxylated boron nitride nanosheets and polyetherimide sizing agents. Compos. Sci. Technol. 2023, 232, 109851. [Google Scholar] [CrossRef]
- Liu, C.; Guo, Y.; Wang, D. PEI-RGO nanosheets as a nanoadditive for enhancing the tribological properties of water-based lubricants. Tribol. Int. 2019, 140, 105851. [Google Scholar] [CrossRef]
- Buslovich, D.; Panin, S.; Luo, J.; Pogosyan, K.; Alexenko, V.; Kornienko, L. Influence of the Matrix Material and Tribological Contact Type on the Antifriction Properties of Hybrid Reinforced Polyimide-Based Nano- and Microcomposites. Polymers 2023, 15, 3266. [Google Scholar] [CrossRef]
- Buslovich, D.G.; Panin, S.V.; Alekseenko, V.O.; Kornienko, L.A.; Lo, J. Role of the Matrix and Counterface Material in the Formation of Antifriction Characteristics of PI/PTFE and PEI/PTFE Composites. Russ. Phys. J. 2023, 66, 363–371. [Google Scholar] [CrossRef]
- Guru, S.R.; Panda, S.; Kumar, P.; Sarangi, M. A study on tribological performances of PEEK and PTFE based composites with MoS2 reinforcements. Polym. Compos. 2024, 45, 7329–7345. [Google Scholar] [CrossRef]
- Li, W.; Hu, L.; Wang, M.; Tang, H.; Li, C.; Liang, J.; Jin, Y.; Li, D. Synthesis and tribological properties of Mo-doped WSe2 Nanolamellars. Cryst. Res. Technol. 2012, 47, 876–881. [Google Scholar] [CrossRef]
- Schwarz, A.; Alon-Yehezkel, H.; Levi, A.; Yadav, R.K.; Majhi, K.; Tzuriel, Y.; Hoang, L.; Bailey, C.S.; Brumme, T.; Mannix, A.J.; et al. Thiol-based defect healing of WSe2 and WS2. NPJ 2D Mater. Appl. 2023, 7, 59. [Google Scholar] [CrossRef]
- Chubarov, M.; Choudhury, T.H.; Zhang, X.; Redwing, J.M. In-plane x-ray diffraction for characterization of monolayer and few-layer transition metal dichalcogenide films. Nanotechnology 2018, 29, 055706. [Google Scholar] [CrossRef]
- Gupta, N.; Singh, B.; Gautam, S.; Aggarwal, V.; Kumar, R.; Malik, R.; Kushvaha, S.S. Low-temperature growth of MoSe2 and WSe2 nanostructures on flexible Mo and W metal foils. Bull. Mater. Sci. 2024, 47, 120. [Google Scholar] [CrossRef]
- Zeng, H.; Liu, G.-B.; Dai, J.; Yan, Y.; Zhu, B.; He, R.; Xie, L.; Xu, S.; Chen, X.; Yao, W.; et al. Optical signature of symmetry variations and spin-valley coupling in atomically thin tungsten dichalcogenides. Sci. Rep. 2013, 3, 1608. [Google Scholar] [CrossRef] [PubMed]
- Espina, A.; Cañamares, M.V.; Jurašeková, Z.; Sanchez-Cortes, S. Analysis of Iron Complexes of Tannic Acid and Other Related Polyphenols as Revealed by Spectroscopic Techniques: Implications in the Identification and Characterization of Iron Gall Inks in Historical Manuscripts. ACS Omega 2022, 7, 27937–27949. [Google Scholar] [CrossRef] [PubMed]
- Srivastava, I.; Mehta, R.J.; Yu, Z.-Z.; Schadler, L.; Koratkar, N. Raman study of interfacial load transfer in graphene nanocomposites. Appl. Phys. Lett. 2011, 98, 063102. [Google Scholar] [CrossRef]
- Young, R.J.; Liu, M.; Kinloch, I.A.; Li, S.; Zhao, X.; Vallés, C.; Papageorgiou, D.G. The mechanics of reinforcement of polymers by graphene nanoplatelets. Compos. Sci. Technol. 2018, 154, 110–116. [Google Scholar] [CrossRef]
- Kolhe, P.T.; Dalvi, S.N.; Hase, Y.V.; Jadhav, P.R.; Ghemud, V.S.; Jadkar, S.R.; Dhole, S.D.; Dahiwale, S.S. Effect of gamma-ray irradiation on structural and optical property of WSe2 film. J. Mater. Sci. Mater. Electron. 2023, 34, 1704. [Google Scholar] [CrossRef]
- Mohamed, A.I.A.; Hussein, I.A.; Sultan, A.S.; El-Karsani, K.S.M.; Al-Muntasheri, G.A. DSC investigation of the gelation kinetics of emulsified PAM/PEI system. J. Therm. Anal. Calorim. 2015, 122, 1117–1123. [Google Scholar] [CrossRef]
- Perng, L.-H. Thermal decomposition characteristics of poly(ether imide) by TG/MS. J. Polym. Res. 2000, 7, 185–193. [Google Scholar] [CrossRef]
- Bakošová, D.; Bakošová, A. Testing of Rubber Composites Reinforced with Carbon Nanotubes. Polymers 2022, 14, 3039. [Google Scholar] [CrossRef]
- Yang, S.; Wu, W.; Jiao, Y.; Cai, Z.; Fan, H. Preparation of NBR/Tannic acid composites by assembling a weak IPN structure. Compos. Sci. Technol. 2017, 153, 40–47. [Google Scholar] [CrossRef]
- Tang, Z.; Zhang, C.; Zhu, L.; Guo, B. Low permeability styrene butadiene rubber/boehmite nanocomposites modified with tannic acid. Mater. Des. 2016, 103, 25–31. [Google Scholar] [CrossRef]
- Hegde, M.; Samulski, E.T.; Rubinstein, M.; Dingemans, T.J. The role of crystallinity in SWCNT–polyetherimide nanocomposites. Compos. Sci. Technol. 2015, 110, 176–187. [Google Scholar] [CrossRef]
- Zhang, Y.-Y.; Chen, Q.; Mo, X.-L.; Huang, P.; Li, Y.-Q.; Zhu, C.-C.; Hu, N.; Fu, S.-Y. Tribological behavior of short carbon fiber reinforced polyetherimide composite under water lubrication conditions. Compos. Sci. Technol. 2021, 216, 109044. [Google Scholar] [CrossRef]
- Fang, L.; Liu, D.-M.; Guo, Y.; Liao, Z.-M.; Luo, J.-B.; Wen, S.-Z. Thickness dependent friction on few-layer MoS2, WS2, and WSe2. Nanotechnology 2017, 28, 245703. [Google Scholar] [CrossRef]
- Domínguez-Meister, S.; Rojas, T.C.; Brizuela, M.; Sánchez-López, J.C. Solid lubricant behavior of MoS2 and WSe2-based nanocomposite coatings. Sci. Technol. Adv. Mater. 2017, 18, 122–133. [Google Scholar] [CrossRef]
- Tarasov, S.Y.; Buslovich, D.G.; Panin, S.V.; Savchenko, N.L.; Kornienko, L.A.; Filatov, E.Y.; Moskvichev, E.N. Structure and tribological behavior of a polyetherimide/polytetrafluoroethylene matrix filled with negative thermal expansion zirconium tungstate particles. Wear 2024, 558–559, 205567. [Google Scholar] [CrossRef]











| Samples | Code | PEI (g) | PTFE (g) | Pristine WSe2 (g) | TA-WSe2 (g) |
|---|---|---|---|---|---|
| 1# | PEI | 50 | -- | -- | -- |
| 2# | PEI + 10%PTFE | 45 | 5 | -- | -- |
| 3# | PEI + 10%PTFE + 1%TA-WSe2 | 44.5 | 5 | -- | 0.5 |
| 4# | PEI + 10%PTFE + 3%TA-WSe2 | 43.5 | 5 | -- | 1.5 |
| 5# | PEI + 10%PTFE + 5%TA-WSe2 | 42.5 | 5 | -- | 2.5 |
| 6# | PEI + 10%PTFE + 7%TA-WSe2 | 41.5 | 5 | -- | 3.5 |
| 7# | PEI + 10%PTFE + 10%TA-WSe2 | 40 | 5 | -- | 5 |
| 8# | PEI + 10%PTFE + 1%WSe2 | 44.5 | 5 | 0.5 | -- |
| 9# | PEI + 10%PTFE + 3%WSe2 | 43.5 | 5 | 1.5 | -- |
Disclaimer/Publisher’s Note: The statements, opinions and data contained in all publications are solely those of the individual author(s) and contributor(s) and not of MDPI and/or the editor(s). MDPI and/or the editor(s) disclaim responsibility for any injury to people or property resulting from any ideas, methods, instructions or products referred to in the content. |
© 2025 by the authors. Licensee MDPI, Basel, Switzerland. This article is an open access article distributed under the terms and conditions of the Creative Commons Attribution (CC BY) license (https://creativecommons.org/licenses/by/4.0/).
Share and Cite
Tu, F.; Wang, B.; Zhao, S.; Liu, M.; Zheng, J.; Li, Z.; Hu, C.; Jiang, T.; Zhang, Q. Synergistic Enhancement Effect of Polytetrafluoroethylene and WSe2 on the Tribological Performance of Polyetherimide Composites. Lubricants 2025, 13, 44. https://doi.org/10.3390/lubricants13020044
Tu F, Wang B, Zhao S, Liu M, Zheng J, Li Z, Hu C, Jiang T, Zhang Q. Synergistic Enhancement Effect of Polytetrafluoroethylene and WSe2 on the Tribological Performance of Polyetherimide Composites. Lubricants. 2025; 13(2):44. https://doi.org/10.3390/lubricants13020044
Chicago/Turabian StyleTu, Fulin, Bin Wang, Simo Zhao, Mingrui Liu, Jiangye Zheng, Zewen Li, Chengyang Hu, Tao Jiang, and Qunchao Zhang. 2025. "Synergistic Enhancement Effect of Polytetrafluoroethylene and WSe2 on the Tribological Performance of Polyetherimide Composites" Lubricants 13, no. 2: 44. https://doi.org/10.3390/lubricants13020044
APA StyleTu, F., Wang, B., Zhao, S., Liu, M., Zheng, J., Li, Z., Hu, C., Jiang, T., & Zhang, Q. (2025). Synergistic Enhancement Effect of Polytetrafluoroethylene and WSe2 on the Tribological Performance of Polyetherimide Composites. Lubricants, 13(2), 44. https://doi.org/10.3390/lubricants13020044

