Running-In of DLC–Third Body or Transfer Film Formation
Abstract
1. Introduction
2. Tribological Measurements and Physico-Chemical Analysis
2.1. Tribometry
2.2. Topography Measurement
2.3. Determination of the Chemical Composition near the Surface
2.4. Elastoplastic Material Characterization
2.5. Determination of Carbon Hybridization
2.6. Nanostructural Investigation
2.7. Chemical and Physical Analysis
3. Materials of the Tribosystem
3.1. Iron Spray Coating
3.2. DLC
3.3. Lubricant
4. Results and Discussion on the Differentiation between Third Body and Tribofilm
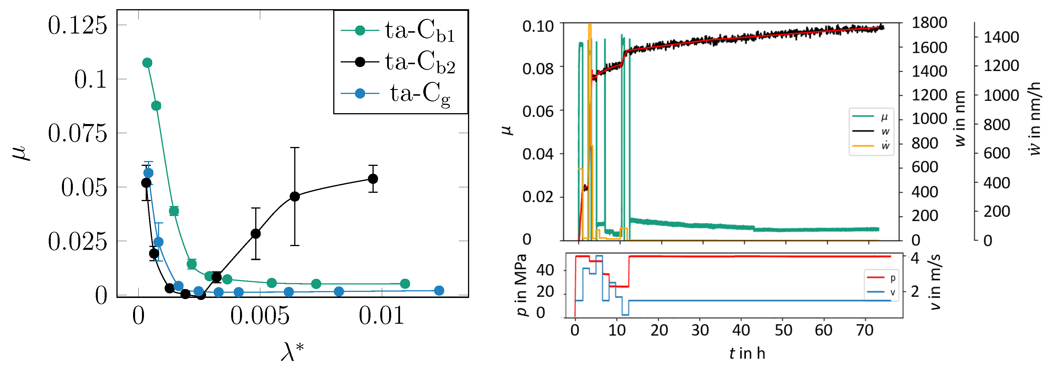
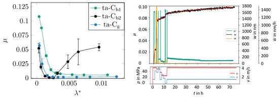
4.1. Tribometry
4.2. Gradient Formation
4.3. Material Transfer
5. Conclusions
Author Contributions
Funding
Data Availability Statement
Acknowledgments
Conflicts of Interest
References
- Pastewka, L.; Moser, S.; Gumbsch, P.; Moseler, M. Anisotropic mechanical amorphization drives wear in diamond. Nat. Mater. 2011, 10, 34–38. [Google Scholar] [CrossRef] [PubMed]
- Tzeng, Y. Very low friction for diamond sliding on diamond in water. Appl. Phys. Lett. 1993, 63, 3586–3588. [Google Scholar] [CrossRef]
- Zilibotti, G.; Corni, S.; Righi, M.C. Load-Induced Confinement Activates Diamond Lubrication by Water. Phys. Rev. Lett. 2013, 111, 146101. [Google Scholar] [CrossRef] [PubMed]
- Kim, J.E.; Choi, J.I.J.; Kim, J.; Mun, B.S.; Kim, K.J.; Park, J.Y. In-Situ Nanotribological Properties of Ultrananocrystalline Diamond Films Investigated with Ambient Pressure Atomic Force Microscopy. J. Phys. Chem. C 2021, 125, 6909–6915. [Google Scholar] [CrossRef]
- Kuwahara, T.; Romero, P.A.; Makowski, S.; Weihnacht, V.; Moras, G.; Moseler, M. Mechano-chemical decomposition of organic friction modifiers with multiple reactive centres induces superlubricity of ta-C. Nat. Commun. 2019, 10, 151. [Google Scholar] [CrossRef]
- Makowski, S.; Weihnacht, V.; Schaller, F.; Leson, A. Ultra-low friction of biodiesel lubricated ta-C coatings. Tribol. Int. 2014, 71, 120–124. [Google Scholar] [CrossRef]
- Makowski, S.; Schaller, F.; Weihnacht, V.; Englberger, G.; Becker, M. Tribochemical induced wear and ultra-low friction of superhard ta-C coatings. Wear 2017, 392-393, 139–151. [Google Scholar] [CrossRef]
- Kunze, T.; Posselt, M.; Gemming, S.; Seifert, G.; Konicek, A.R.; Carpick, R.W.; Pastewka, L.; Moseler, M. Wear, Plasticity, and Rehybridization in Tetrahedral Amorphous Carbon. Tribol. Lett. 2014, 53, 119–126. [Google Scholar] [CrossRef]
- von Lautz, J.; Pastewka, L.; Gumbsch, P.; Moseler, M. Molecular Dynamic Simulation of Collision-Induced Third-Body Formation in Hydrogen-Free Diamond-Like Carbon Asperities. Tribol. Lett. 2016, 63, 26. [Google Scholar] [CrossRef] [PubMed]
- de Barros Bouchet, M.I.; Martin, J.M.; Avila, J.; Kano, M.; Yoshida, K.; Tsuruda, T.; Bai, S.; Higuchi, Y.; Ozawa, N.; Kubo, M.; et al. Diamond-like carbon coating under oleic acid lubrication: Evidence for graphene oxide formation in superlow friction. Sci. Rep. 2017, 7, 46394. [Google Scholar] [CrossRef]
- Salinas Ruiz, V.R.; Kuwahara, T.; Galipaud, J.; Masenelli-Varlot, K.; Hassine, M.B.; Héau, C.; Stoll, M.; Mayrhofer, L.; Moras, G.; Martin, J.M.; et al. Interplay of mechanics and chemistry governs wear of diamond-like carbon coatings interacting with ZDDP-additivated lubricants. Nat. Commun. 2021, 12, 4550. [Google Scholar] [CrossRef] [PubMed]
- Godet, M. The third-body approach: A mechanical view of wear. Wear 1984, 100, 437–452. [Google Scholar] [CrossRef]
- Berthier, Y. Third-Body Reality—Consequences and Use of the Third-Body Concept to Solve Friction and Wear Problems. In Wear—Materials, Mechanisms and Practice; John Wiley & Sons Ltd.: Hoboken, NJ, USA, 2005; pp. 291–316. [Google Scholar] [CrossRef]
- Fillot, N.; Iordanoff, I.; Berthier, Y. Wear modeling and the third body concept. Wear 2007, 262, 949–957. [Google Scholar] [CrossRef]
- Scherge, M.; Brink, A.; Linsler, D. Tribofilms Forming in Oil-Lubricated Contacts. Lubricants 2016, 4, 27. [Google Scholar] [CrossRef]
- Spikes, H. The History and Mechanisms of ZDDP. Tribol. Lett. 2004, 17, 469–489. [Google Scholar] [CrossRef]
- Faller, J.; Scherge, M. The Identification of an Adequate Stressing Level to Find the Proper Running-In Conditions of a Lubricated DLC-Metal-System. Lubricants 2020, 8, 88. [Google Scholar] [CrossRef]
- Scherge, M.; Pöhlmann, K.; Gervé, A. Wear measurement using radionuclide-technique (RNT). Wear 2003, 254, 801–817. [Google Scholar] [CrossRef]
- Hintsala, E.D.; Hangen, U.; Stauffer, D.D. High-Throughput Nanoindentation for Statistical and Spatial Property Determination. JOM 2018, 70, 494–503. [Google Scholar] [CrossRef]
- Oliver, W.C.; Pharr, G.M. Measurement of hardness and elastic modulus by instrumented indentation: Advances in understanding and refinements to methodology. J. Mater. Res. 2004, 19, 3–20. [Google Scholar] [CrossRef]
- Saringer, C.; Tkadletz, M.; Kratzer, M.; Cordill, M.J. Direct determination of the area function for nanoindentation experiments. J. Mater. Res. 2021, 36, 2154–2165. [Google Scholar] [CrossRef]
- Fink, J. Recent Developments in Energy-Loss Spectroscopy. Adv. Electron. Electron Phys. 1989, 75, 121–232. [Google Scholar] [CrossRef]
- Egerton, R.F. Electron energy-loss spectroscopy in the TEM. Rep. Prog. Phys. 2008, 72, 016502. [Google Scholar] [CrossRef]
- Berger, S.D.; McKenzie, D.R.; Martin, P.J. EELS analysis of vacuum arc-deposited diamond-like films. Philos. Mag. Lett. 1988, 57, 285–290. [Google Scholar] [CrossRef]
- Zhang, X.; Schneider, R.; Müller, E.; Gerthsen, D. Practical aspects of the quantification of sp2-hybridized carbon atoms in diamond-like carbon by electron energy loss spectroscopy. Carbon 2016, 102, 198–207. [Google Scholar] [CrossRef]
- Oh-ishi, K.; Ohsuna, T. Inelastic mean free path measurement by STEM-EELS technique using needle-shaped specimen. Ultramicroscopy 2020, 212, 112955. [Google Scholar] [CrossRef]
- Mangolini, F.; Li, Z.; Marcus, M.A.; Schneider, R.; Dienwiebel, M. Quantification of the carbon bonding state in amorphous carbon materials: A comparison between EELS and NEXAFS measurements. Carbon 2021, 173, 557–564. [Google Scholar] [CrossRef]
- Fischer, A.; Dudzinski, W.; Gleising, B.; Stemmer, P. Analyzing Mild- and Ultra-Mild Sliding Wear of Metallic Materials by Transmission Electron Microscopy. In Microtechnology and MEMS; Springer International Publishing: Berlin/Heidelberg, Germany, 2018; pp. 29–59. [Google Scholar] [CrossRef]
- Mayer, J.; Giannuzzi, L.A.; Kamino, T.; Michael, J. TEM Sample Preparation and FIB-Induced Damage. MRS Bull. 2007, 32, 400–407. [Google Scholar] [CrossRef]
- Tong, Z.; Jiang, X.; Luo, X.; Bai, Q.; Xu, Z.; Blunt, L.; Liang, Y. Review on FIB-Induced Damage in Diamond Materials. Curr. Nanosci. 2016, 12, 685–695. [Google Scholar] [CrossRef]
- Chen, X.; Zhang, C.; Kato, T.; Yang, X.A.; Wu, S.; Wang, R.; Nosaka, M.; Luo, J. Evolution of tribo-induced interfacial nanostructures governing superlubricity in a-C:H and a-C:H:Si films. Nat. Commun. 2017, 8, 1675. [Google Scholar] [CrossRef]
- Ferrari, A.C.; Robertson, J. Resonant Raman spectroscopy of disordered, amorphous, and diamondlike carbon. Phys. Rev. B 2001, 64, 075414. [Google Scholar] [CrossRef]
- Biberger, J. Tribologisch Induzierte Oberflächenveränderung im Reib-Verschleiß-Kontakt Kolbenring Gegen Zylinderlaufbahn. Ph.D.Thesis, TU Berlin, Berlin, Germany, 2017. [Google Scholar] [CrossRef]
- Kaulfuss, F.; Weihnacht, V.; Zawischa, M.; Lorenz, L.; Makowski, S.; Hofmann, F.; Leson, A. Effect of Energy and Temperature on Tetrahedral Amorphous Carbon Coatings Deposited by Filtered Laser-Arc. Materials 2021, 14, 2176. [Google Scholar] [CrossRef]
- Schultrich, B. Structure and Characterization of Vacuum Arc Deposited Carbon Films—A Critical Overview. Coatings 2022, 12, 109. [Google Scholar] [CrossRef]
- Schultrich, B. Tetrahedrally Bonded Amorphous Carbon Films I; Springer: Berlin/Heidelberg, Germany, 2018. [Google Scholar]
- Mosey, N.J.; Muüser, M.H.; Woo, T.K. Molecular Mechanisms for the Functionality of Lubricant Additives. Science 2005, 307, 1612–1615. [Google Scholar] [CrossRef] [PubMed]
- Vengudusamy, B.; Green, J.H.; Lamb, G.D.; Spikes, H.A. Behaviour of MoDTC in DLC/DLC and DLC/steel contacts. Tribol. Int. 2012, 54, 68–76. [Google Scholar] [CrossRef]
- Linsler, D.; Kümmel, D.; Nold, E.; Dienwiebel, M. Analysis of the running-in of thermal spray coatings by time-dependent stribeck maps. Wear 2017, 376–377, 1467–1474. [Google Scholar] [CrossRef][Green Version]
- Shakhvorostov, D.; Gleising, B.; Büscher, R.; Dudzinski, W.; Fischer, A.; Scherge, M. Microstructure of tribologically induced nanolayers produced at ultra-low wear rates. Wear 2007, 263, 1259–1265. [Google Scholar] [CrossRef]
- Brink, A.; Lichtenberg, K.; Scherge, M. The influence of the initial near-surface microstructure and imposed stress level on the running-in characteristics of lubricated steel contacts. Wear 2016, 360–361, 114–120. [Google Scholar] [CrossRef]
- Jablonski, A.; Powell, C.J. Practical expressions for the mean escape depth, the information depth, and the effective attenuation length in Auger-electron spectroscopy and x-ray photoelectron spectroscopy. J. Vac. Sci. Technol. Vacuum, Surfaces, Film. 2009, 27, 253–261. [Google Scholar] [CrossRef]
- Ferrari, A.C.; Robertson, J. Interpretation of Raman spectra of disordered and amorphous carbon. Phys. Rev. B 2000, 61, 14095–14107. [Google Scholar] [CrossRef]







| Coating | Svk | Sk | Svk |
|---|---|---|---|
| ta-Ca | 97 | 70 | 245 |
| ta-Cb1 | 263 | 365 | 145 |
| ta-Cb2 | 14 | 14 | 11 |
| ta-Cg | 68 | 150 | 110 |
Disclaimer/Publisher’s Note: The statements, opinions and data contained in all publications are solely those of the individual author(s) and contributor(s) and not of MDPI and/or the editor(s). MDPI and/or the editor(s) disclaim responsibility for any injury to people or property resulting from any ideas, methods, instructions or products referred to in the content. |
© 2024 by the authors. Licensee MDPI, Basel, Switzerland. This article is an open access article distributed under the terms and conditions of the Creative Commons Attribution (CC BY) license (https://creativecommons.org/licenses/by/4.0/).
Share and Cite
Faller, J.; Scherge, M. Running-In of DLC–Third Body or Transfer Film Formation. Lubricants 2024, 12, 314. https://doi.org/10.3390/lubricants12090314
Faller J, Scherge M. Running-In of DLC–Third Body or Transfer Film Formation. Lubricants. 2024; 12(9):314. https://doi.org/10.3390/lubricants12090314
Chicago/Turabian StyleFaller, Joachim, and Matthias Scherge. 2024. "Running-In of DLC–Third Body or Transfer Film Formation" Lubricants 12, no. 9: 314. https://doi.org/10.3390/lubricants12090314
APA StyleFaller, J., & Scherge, M. (2024). Running-In of DLC–Third Body or Transfer Film Formation. Lubricants, 12(9), 314. https://doi.org/10.3390/lubricants12090314

