Synergistic Effects of Functionalized WS2 and SiO2 Nanoparticles and a Phosphonium Ionic Liquid as Hybrid Additives of Low-Viscosity Lubricants
Abstract
1. Introduction
2. Materials and Methods
2.1. Base Oil and Additives
2.2. Preparation and Stability of Nanolubricants
- PAO6 + 0.1 wt% f-WS2.
- PAO6 + 0.1 wt% f-SiO2.
- 3.
- PAO6 + 1 wt% IL + 0.1 wt% f-WS2.
- 4.
- PAO6 + 1 wt% IL + 0.1 wt% f-SiO2.
- 5.
- PAO6 + 1 wt% IL + 0.1 wt% f-WS2 + 0.1 wt% f-SiO2.
2.3. Tribological Tests: Pure Sliding
2.4. Rolling–Sliding Friction Tests
3. Results
3.1. Friction and Wear Findings under Pure Sliding Tests
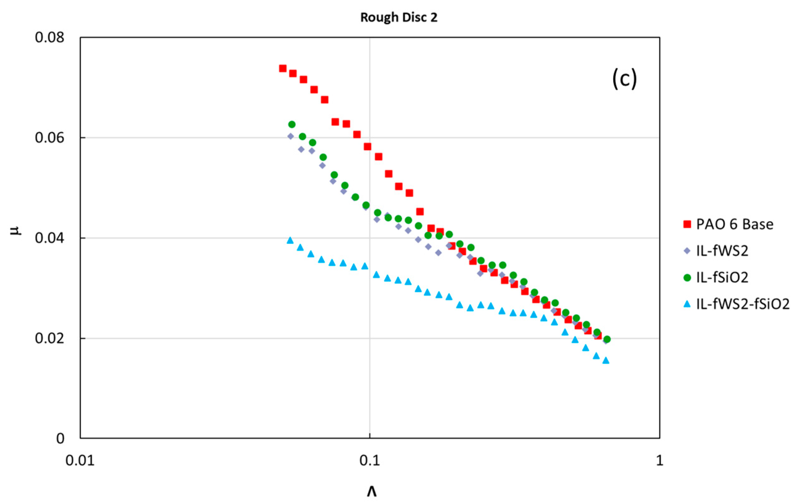
3.2. Results of Rolling–Sliding Tests
4. Discussion
5. Conclusions
- -
- Good stability of nanolubricants was observed for the nanolubricants that contain IL, which acted as a dispersant.
- -
- Friction coefficients reached with hybrid and double hybrid nanolubricants were smaller than those obtained for the PAO6 oil for all tribological tests (pure sliding and rolling–sliding).
- -
- The biggest friction reductions in pure sliding tests were achieved for PAO6 + 1 wt% IL + 0.1 wt% f-WS2 + 0.1 wt% f-SiO2 with a maximum friction reduction of 25%, therefore observing antifriction synergies.
- -
- All the tested nanolubricants exhibited enhanced antiwear performance in comparison to PAO6. The PAO6 + 1 wt% IL + 0.1 wt% f-WS2 + 0.1 wt% f-SiO2 nanolubricant achieved the best antiwear performance, with width and area reductions of 48% and 84%, respectively.
- -
- The roughness of worn surfaces lubricated with the double hybrid nanolubricant was quite low in comparison with that tested with the base oil without additives, with a roughness reduction of around 25%.
- -
- From the Raman mappings and roughness evaluations of worn pin surfaces studied in pure sliding conditions, it is proposed that the tribological mechanism of lubrication for double hybrid nanolubricants could be supported by the adsorbed tribofilm (IL and f-WS2) as well as the mending effects (f-WS2 and f-SiO2).
- -
- Concerning the rolling–sliding tests, NPs and IL played a crucial role in the extreme boundary lubrication regime, considerably reducing the friction coefficient.
- -
- The developed low-viscosity nanolubricants with excellent antifriction and antiwear properties were found as potential transmission fluids for the EV industry.
Supplementary Materials
Author Contributions
Funding
Data Availability Statement
Acknowledgments
Conflicts of Interest
References
- Holmberg, K.; Erdemir, A. The impact of tribology on energy use and CO2 emission globally and in combustion engine and electric cars. Tribol. Int. 2019, 135, 389–396. [Google Scholar] [CrossRef]
- Gupta, A. Characterization of Engine and Transmission Lubricants for Electric, Hybrid, and Plug-In Hybrid Vehicles. Ph.D. Thesis, Ohio State University, Columbus, OH, USA, 2012. [Google Scholar]
- Aguilar-Rosas, O.A.; Alvis-Sánchez, J.A.; Tormos, B.; Marín-Santibáñez, B.M.; Pérez-González, J.; Farfan-Cabrera, L.I. Enhancement of low-viscosity synthetic oil using graphene nanoparticles as additives for enduring electrified tribological environments. Tribol. Int. 2023, 188, 108848. [Google Scholar] [CrossRef]
- Ahmed Abdalglil Mustafa, W.; Dassenoy, F.; Sarno, M.; Senatore, A. A review on potentials and challenges of nanolubricants as promising lubricants for electric vehicles. Lubr. Sci. 2022, 34, 1–29. [Google Scholar] [CrossRef]
- Mariño, F.; Liñeira del Río, J.M.; López, E.R.; Fernández, J. Chemically modified nanomaterials as lubricant additive: Time stability, friction, and wear. J. Mol. Liq. 2023, 382, 121913. [Google Scholar] [CrossRef]
- Gulzar, M.; Masjuki, H.H.; Kalam, M.A.; Varman, M.; Zulkifli, N.W.M.; Mufti, R.A.; Zahid, R. Tribological performance of nanoparticles as lubricating oil additives. J. Nanoparticle Res. 2016, 18, 223. [Google Scholar] [CrossRef]
- Singh, A.; Chauhan, P.; Mamatha, T.G. A review on tribological performance of lubricants with nanoparticles additives. Mater. Today Proc. 2020, 25, 586–591. [Google Scholar] [CrossRef]
- Liñeira del Río, J.M.; Alba, A.; Guimarey, M.J.G.; Prado, J.I.; Amigo, A.; Fernández, J. Surface tension, wettability and tribological properties of a low viscosity oil using CaCO3 and CeF3 nanoparticles as additives. J. Mol. Liq. 2023, 391, 123188. [Google Scholar] [CrossRef]
- Mu, Z.; Zhou, F.; Zhang, S.; Liang, Y.; Liu, W. Effect of the functional groups in ionic liquid molecules on the friction and wear behavior of aluminum alloy in lubricated aluminum-on-steel contact. Tribol. Int. 2005, 38, 725–731. [Google Scholar] [CrossRef]
- Qu, J.; Truhan, J.J.; Dai, S.; Luo, H.; Blau, P.J. Ionic liquids with ammonium cations as lubricants or additives. Tribol. Lett. 2006, 22, 207–214. [Google Scholar] [CrossRef]
- Kheireddin, B.A.; Lu, W.; Chen, I.C.; Akbulut, M. Inorganic nanoparticle-based ionic liquid lubricants. Wear 2013, 303, 185–190. [Google Scholar] [CrossRef]
- Avilés, M.-D.; Saurín, N.; Sanes, J.; Carrión, F.-J.; Bermúdez, M.-D. Ionanocarbon Lubricants. The Combination of Ionic Liquids and Carbon Nanophases in Tribology. Lubricants 2017, 5, 14. [Google Scholar] [CrossRef]
- Zhou, Y.; Qu, J. Ionic Liquids as Lubricant Additives: A Review. ACS Appl. Mater. Interfaces 2017, 9, 3209–3222. [Google Scholar] [CrossRef]
- Otero, I.; López, E.R.; Reichelt, M.; Villanueva, M.; Salgado, J.; Fernández, J. Ionic Liquids Based on Phosphonium Cations As Neat Lubricants or Lubricant Additives for a Steel/Steel Contact. ACS Appl. Mater. Interfaces 2014, 6, 13115–13128. [Google Scholar] [CrossRef]
- Zhou, Y.; Dyck, J.; Graham, T.W.; Luo, H.; Leonard, D.N.; Qu, J. Ionic Liquids Composed of Phosphonium Cations and Organophosphate, Carboxylate, and Sulfonate Anions as Lubricant Antiwear Additives. Langmuir 2014, 30, 13301–13311. [Google Scholar] [CrossRef]
- Liñeira del Río, J.M.; López, E.R.; García, F.; Fernández, J. Tribological synergies among chemical-modified graphene oxide nanomaterials and a phosphonium ionic liquid as additives of a biolubricant. J. Mol. Liq. 2021, 336, 116885. [Google Scholar] [CrossRef]
- Khare, V.; Pham, M.-Q.; Kumari, N.; Yoon, H.-S.; Kim, C.-S.; Park, J.-I.L.; Ahn, S.-H. Graphene–Ionic Liquid Based Hybrid Nanomaterials as Novel Lubricant for Low Friction and Wear. ACS Appl. Mater. Interfaces 2013, 5, 4063–4075. [Google Scholar] [CrossRef] [PubMed]
- Zhang, L.; Pu, J.; Wang, L.; Xue, Q. Synergistic Effect of Hybrid Carbon Nanotube–Graphene Oxide as Nanoadditive Enhancing the Frictional Properties of Ionic Liquids in High Vacuum. ACS Appl. Mater. Interfaces 2015, 7, 8592–8600. [Google Scholar] [CrossRef] [PubMed]
- Liñeira del Río, J.M.; López, E.R.; Fernández, J. Synergy between boron nitride or graphene nanoplatelets and tri(butyl)ethylphosphonium diethylphosphate ionic liquid as lubricant additives of triisotridecyltrimellitate oil. J. Mol. Liq. 2020, 301, 112442. [Google Scholar] [CrossRef]
- Maurya, U.; Vasu, V.; Kashinath, D. Ionic Liquid-Nanoparticle-Based Hybrid-Nanolubricant Additives for Potential Enhancement of Tribological Properties of Lubricants and Their Comparative Study with ZDDP. Tribol. Lett. 2022, 70, 11. [Google Scholar] [CrossRef]
- Sabarinath, S.; Rajendrakumar, P.; Prabhakaran Nair, K. Evaluation of tribological properties of sesame oil as biolubricant with SiO2 nanoparticles and imidazolium-based ionic liquid as hybrid additives. Proc. Inst. Mech. Eng. Part J J. Eng. Tribol. 2019, 233, 1306–1317. [Google Scholar] [CrossRef]
- Nasser, K.I.; Liñeira del Río, J.M.; López, E.R.; Fernández, J. Synergistic effects of hexagonal boron nitride nanoparticles and phosphonium ionic liquids as hybrid lubricant additives. J. Mol. Liq. 2020, 311, 113343. [Google Scholar] [CrossRef]
- Nasser, K.I.; Liñeira del Río, J.M.; Mariño, F.; López, E.R.; Fernández, J. Double hybrid lubricant additives consisting of a phosphonium ionic liquid and graphene nanoplatelets/hexagonal boron nitride nanoparticles. Tribol. Int. 2021, 163, 107189. [Google Scholar] [CrossRef]
- Upendra, M.; Vasu, V. Synergistic Effect Between Phosphonium-Based Ionic Liquid and Three Oxide Nanoparticles as Hybrid Lubricant Additives. J. Tribol. 2020, 142, 052101. [Google Scholar] [CrossRef]
- Nasser, K.I.; Liñeira del Río, J.M.; López, E.R.; Fernández, J. Hybrid combinations of graphene nanoplatelets and phosphonium ionic liquids as lubricant additives for a polyalphaolefin. J. Mol. Liq. 2021, 336, 116266. [Google Scholar] [CrossRef]
- Kumar, G.; Garg, H.C. Tribological evaluation of rice bran oil based ionanolubricants containing ionic liquids and nanoparticles. Tribol.-Mater. Surf. Interfaces 2023, 17, 217–223. [Google Scholar] [CrossRef]
- Hu, N.; Zhang, X.; Wang, X.; Wu, N.; Wang, S. Study on Tribological Properties and Mechanisms of Different Morphology WS2 as Lubricant Additives. Materials 2020, 13, 1522. [Google Scholar] [CrossRef] [PubMed]
- Lu, Z.; Cao, Z.; Hu, E.; Hu, K.; Hu, X. Preparation and tribological properties of WS2 and WS2/TiO2 nanoparticles. Tribol. Int. 2019, 130, 308–316. [Google Scholar] [CrossRef]
- Hamisa, A.H.; Azmi, W.H.; Ismail, M.F.; Rahim, R.A.; Ali, H.M. Tribology Performance of Polyol-Ester Based TiO2, SiO2, and Their Hybrid Nanolubricants. Lubricants 2023, 11, 18. [Google Scholar] [CrossRef]
- Cortes, V.; Sanchez, K.; Gonzalez, R.; Alcoutlabi, M.; Ortega, J.A. The Performance of SiO2 and TiO2 Nanoparticles as Lubricant Additives in Sunflower Oil. Lubricants 2020, 8, 10. [Google Scholar] [CrossRef]
- Mariño, F.; Liñeira del Río, J.M.; Gonçalves, D.E.P.; Seabra, J.H.O.; López, E.R.; Fernández, J. Effect of the addition of coated SiO2 nanoparticles on the tribological behavior of a low-viscosity polyalphaolefin base oil. Wear 2023, 530–531, 205025. [Google Scholar] [CrossRef]
- Wu, J.; Yue, G.; Xiao, Y.; Huang, M.; Lin, J.; Fan, L.; Lan, Z.; Lin, J.-Y. Glucose Aided Preparation of Tungsten Sulfide/Multi-Wall Carbon Nanotube Hybrid and Use as Counter Electrode in Dye-Sensitized Solar Cells. ACS Appl. Mater. Interfaces 2012, 4, 6530–6536. [Google Scholar] [CrossRef]
- Latha, M.; Vatsala Rani, J. WS2/Graphene Composite as Cathode for Rechargeable Aluminum-Dual Ion Battery. J. Electrochem. Soc. 2020, 167, 070501. [Google Scholar] [CrossRef]
- Hu, Q.; Suzuki, H.; Gao, H.; Araki, H.; Yang, W.; Noda, T. High-frequency FTIR absorption of SiO2/Si nanowires. Chem. Phys. Lett. 2003, 378, 299–304. [Google Scholar] [CrossRef]
- Budiarti, H.; Puspitasari, R.; Hatta, A.; Koentjoro, S.; Risanti, D. Synthesis and Characterization of TiO2@SiO2 and SiO2@TiO2 Core-Shell Structure Using Lapindo Mud Extract via Sol-Gel Method. Procedia Eng. 2017, 170, 65–71. [Google Scholar] [CrossRef]
- Berkdemir, A.; Gutiérrez, H.R.; Botello-Méndez, A.R.; Perea-López, N.; Elías, A.L.; Chia, C.-I.; Wang, B.; Crespi, V.H.; López-Urías, F.; Charlier, J.-C.; et al. Identification of individual and few layers of WS2 using Raman Spectroscopy. Sci. Rep. 2013, 3, 1755. [Google Scholar] [CrossRef]
- Lee, E.L.; Wachs, I.E. In Situ Raman Spectroscopy of SiO2-Supported Transition Metal Oxide Catalysts: An Isotopic 18O−16O Exchange Study. J. Phys. Chem. C 2008, 112, 6487–6498. [Google Scholar] [CrossRef]
- Liñeira del Río, J.M.; López, E.R.; González Gómez, M.; Yáñez Vilar, S.; Piñeiro, Y.; Rivas, J.; Gonçalves, D.E.P.; Seabra, J.H.O.; Fernández, J. Tribological Behavior of Nanolubricants Based on Coated Magnetic Nanoparticles and Trimethylolpropane Trioleate Base Oil. Nanomaterials 2020, 10, 683. [Google Scholar] [CrossRef]
- Hamrock, B.J.; Schmid, S.R.; Jacobson, B.O. Fundamentals of Fluid Film Lubrication, 2nd ed.; CRC Press: Boca Raton, FL, USA, 2004. [Google Scholar] [CrossRef]
- Petzold, C.; Koch, M.; Bennewitz, R. Friction force microscopy of tribochemistry and interfacial ageing for the SiOx/Si/Au system. Beilstein J. Nanotechnol. 2018, 9, 1647–1658. [Google Scholar] [CrossRef]
- Vorholzer, M.; Vilhena, J.G.; Perez, R.; Gnecco, E.; Dietzel, D.; Schirmeisen, A. Temperature Activates Contact Aging in Silica Nanocontacts. Phys. Rev. X 2019, 9, 041045. [Google Scholar] [CrossRef]
- Liñeira del Río, J.M.; Mariño, F.; López, E.R.; Gonçalves, D.E.P.; Seabra, J.H.O.; Fernández, J. Tribological enhancement of potential electric vehicle lubricants using coated TiO2 nanoparticles as additives. J. Mol. Liq. 2023, 371, 121097. [Google Scholar] [CrossRef]
- Hamrock, B.; Dowson, D. Minimum Film Thickness in Elliptical Contacts for Different Regimes of Fluid-Film Lubrication. 1978. Available online: https://ntrs.nasa.gov/citations/19780025504 (accessed on 21 January 2024).
- Gonçalves, D.E.P.; Liñeira del Rio, J.M.; Comuñas, M.J.P.; Fernández, J.; Seabra, J.H.O. High Pressure Characterization of the Viscous and Volumetric Behavior of Three Transmission Oils. Ind. Eng. Chem. Res. 2019, 58, 1732–1742. [Google Scholar] [CrossRef]
- Bermúdez, M.-D.; Jiménez, A.-E.; Sanes, J.; Carrión, F.-J. Ionic Liquids as Advanced Lubricant Fluids. Molecules 2009, 14, 2888–2908. [Google Scholar] [CrossRef] [PubMed]
- Li, H.; Somers, A.E.; Howlett, P.C.; Rutland, M.W.; Forsyth, M.; Atkin, R. Addition of low concentrations of an ionic liquid to a base oil reduces friction over multiple length scales: A combined nano- and macrotribology investigation. Phys. Chem. Chem. 2016, 18, 6541–6547. [Google Scholar] [CrossRef]
- Li, Y.; Zhang, S.; Ding, Q.; Li, H.; Qin, B.; Hu, L. Understanding the synergistic lubrication effect of 2-mercaptobenzothiazolate based ionic liquids and Mo nanoparticles as hybrid additives. Tribol. Int. 2018, 125, 39–45. [Google Scholar] [CrossRef]
- Dai, W.; Kheireddin, B.; Gao, H.; Liang, H. Roles of nanoparticles in oil lubrication. Tribol. Int. 2016, 102, 88–98. [Google Scholar] [CrossRef]
- Gullac, B.; Akalin, O. Frictional Characteristics of IF-WS2 Nanoparticles in Simulated Engine Conditions. Tribol. Trans. 2010, 53, 939–947. [Google Scholar] [CrossRef]
- Peng, D.X.; Kang, Y.; Hwang, R.M.; Shyr, S.S.; Chang, Y.P. Tribological properties of diamond and SiO2 nanoparticles added in paraffin. Tribol. Int. 2009, 42, 911–917. [Google Scholar] [CrossRef]













| Parameters | Steel Ball | Steel Discs | ||
|---|---|---|---|---|
| Smooth | Rough 1 | Rough 2 | ||
| Elastic modulus/GPa | 210 | 210 | 210 | 210 |
| Poisson coefficient/GPa | 0.29 | 0.29 | 0.29 | 0.29 |
| Diameter/mm | 19.05 | 100 | 100 | 100 |
| Surface roughness, Rq/nm | 20 | 20 | 100 | 300 |
| Lubricant | µ | σ | WSD/mm | σ/mm | WTD/mm | σ/mm | Area/mm2 | σ/mm2 |
|---|---|---|---|---|---|---|---|---|
| PAO6 | 0.1542 | 0.0026 | 435 | 10 | 2.60 | 0.19 | 806 | 65 |
| +0.1 wt% f-WS2 | 0.1238 | 0.0018 | 413 | 12 | 1.74 | 0.32 | 515 | 49 |
| +0.1 wt% f-SiO2 | 0.1231 | 0.0011 | 345 | 11 | 1.77 | 0.24 | 389 | 44 |
| +1 wt% IL | 0.1227 | 0.0012 | 367 | 17 | 1.94 | 0.43 | 485 | 53 |
| +0.1 wt% f-WS2 + 1 wt% IL | 0.1191 | 0.0017 | 238 | 14 | 0.727 | 0.11 | 139 | 26 |
| +0.1 wt% f-SiO2 + 1 wt% IL | 0.1218 | 0.0013 | 251 | 13 | 0.667 | 0.15 | 129 | 18 |
| +0.1 wt% f-WS2 + 0.1 wt% f-SiO2 + 1 wt% IL | 0.1154 | 0.0010 | 225 | 12 | 0.668 | 0.10 | 126 | 12 |
| Lubricant | Ra/nm | σ | Rq/nm | σ |
|---|---|---|---|---|
| PAO6 | 11.2 | 1.4 | 15.3 | 2.4 |
| +0.1 wt% f-WS2 | 11.1 | 1.2 | 14.7 | 2.3 |
| +0.1 wt% f-SiO2 | 10.1 | 1.1 | 14.0 | 1.9 |
| +1 wt% IL | 11.2 | 1.3 | 15.2 | 2.5 |
| +0.1 wt% f-SiO2 + 1 wt% IL | 9.3 | 1.1 | 13.2 | 1.8 |
| +0.1 wt% f-WS2 + 1 wt% IL | 9.8 | 1.4 | 13.9 | 1.7 |
| +0.1 wt% f-WS2 + 0.1 wt% f-SiO2 + 1 wt% IL | 8.5 | 1.2 | 12.1 | 1.4 |
Disclaimer/Publisher’s Note: The statements, opinions and data contained in all publications are solely those of the individual author(s) and contributor(s) and not of MDPI and/or the editor(s). MDPI and/or the editor(s) disclaim responsibility for any injury to people or property resulting from any ideas, methods, instructions or products referred to in the content. |
© 2024 by the authors. Licensee MDPI, Basel, Switzerland. This article is an open access article distributed under the terms and conditions of the Creative Commons Attribution (CC BY) license (https://creativecommons.org/licenses/by/4.0/).
Share and Cite
Liñeira del Río, J.M.; Fernandes, C.M.C.G.; Gonçalves, D.E.P.; Seabra, J.H.O. Synergistic Effects of Functionalized WS2 and SiO2 Nanoparticles and a Phosphonium Ionic Liquid as Hybrid Additives of Low-Viscosity Lubricants. Lubricants 2024, 12, 58. https://doi.org/10.3390/lubricants12020058
Liñeira del Río JM, Fernandes CMCG, Gonçalves DEP, Seabra JHO. Synergistic Effects of Functionalized WS2 and SiO2 Nanoparticles and a Phosphonium Ionic Liquid as Hybrid Additives of Low-Viscosity Lubricants. Lubricants. 2024; 12(2):58. https://doi.org/10.3390/lubricants12020058
Chicago/Turabian StyleLiñeira del Río, José M., Carlos M. C. G. Fernandes, David E. P. Gonçalves, and Jorge H. O. Seabra. 2024. "Synergistic Effects of Functionalized WS2 and SiO2 Nanoparticles and a Phosphonium Ionic Liquid as Hybrid Additives of Low-Viscosity Lubricants" Lubricants 12, no. 2: 58. https://doi.org/10.3390/lubricants12020058
APA StyleLiñeira del Río, J. M., Fernandes, C. M. C. G., Gonçalves, D. E. P., & Seabra, J. H. O. (2024). Synergistic Effects of Functionalized WS2 and SiO2 Nanoparticles and a Phosphonium Ionic Liquid as Hybrid Additives of Low-Viscosity Lubricants. Lubricants, 12(2), 58. https://doi.org/10.3390/lubricants12020058

