Investigations on Spin Power Losses Generated in a Planetary Gear Set Using Thermal Network Method
Abstract
1. Introduction
- Load-dependent losses, which come from friction between gear teeth and frictional moments in bearings.
 - Load-independent losses, including the windage of gears, oil trapping or churning, seal friction, and viscous forces in bearings.
 
2. Materials and Methods
2.1. Test Rig
2.2. Planetary Gear Set
3. Experimental Approach
3.1. Test Protocol
- The oil in the tank is at first heated up until the desired temperature value is reached (at ±1 °C).
 - The temperature, the torque, and the speed acquisitions are then started.
 - The oil flow is then set (at ±0.05 L/min of the set point) and the planetary gearbox speed is increased up to the first tested speed. This phase is also used to heat up the test bench so that the temperatures of the parts are within ±2 °C of the oil temperature. The speeds are then tested one after the other in the same test set for 15 min each.
 
3.2. Bearing Casing Characterization
3.3. Test and Analysis
- Nodes 1 and 2 represent the different fluids located inside and outside the planetary gear set.
 - Nodes 3, 4 and 5 correspond to the oil inside the planet carrier and inside the casing. They are separated into three nodes in order to implement the exchange between the oil and the planet carrier (node 4) when going through it, and the exchange with the element inside the casing (node 5). These three nodes are connected thanks to the thermal resistance of energy transport.
 - The planetary gearbox frame is divided into three elements (nodes 6, 7 and 8) linked with the thermal resistance of conduction and exchanging with the ambient air through free convection and radiation resistance.
 - The casing is separated into four nodes because it is composed of two aluminum plates (nodes 9 and 10) and two polycarbonate plates (nodes 11 and 12). They are linked with conduction resistance and also exchange with the ambient air (free convection and radiation) and with the oil and air inside the casing (forced convection).
 - The planet carrier is divided into two nodes: Node 13 corresponds to the part supporting the planets, and node 14 to the part which includes the lubrication circuit and supports the 61919 bearing.
 - The ring gear is composed of three nodes: Node 19 corresponds to the gear, and nodes 18 and 20 represent the cylinders on both sides where the oil in evacuated. The ring gear and the planet carrier exchange with the oil and air inside the casing owing to forced convection resistance.
 
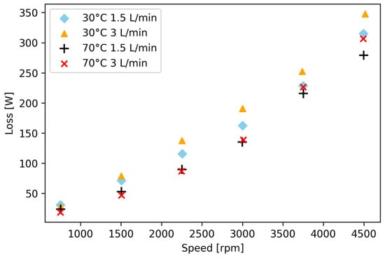
3.3.1. Measurements and Power Loss Distribution
- Hypothesis 1: The windage losses are due to the ring gear rotating into an oil/air mixture composed of 1% of oil ();
 - Hypothesis 2: The windage losses are only due to the ring gear rotating into quasi-pure air ().
 
3.3.2. Comparison to Durand de Gevigney et al.
4. Conclusions
Author Contributions
Funding
Data Availability Statement
Acknowledgments
Conflicts of Interest
Nomenclature
| Torque coefficient for cylinder periphery | [-] | |
| Torque coefficient for the disk | [-] | |
| Drag coefficient for the screw, taken as the one for a cube [16] | [-] | |
| Bearing pitch diameter | [mm] | |
| Gear tip diameter | [mm] | |
| Factor depending on the bearing type and the lubrication | [-] | |
| Bearing friction torque due to lubrication | [N·m] | |
| N | Rotational speed | [rpm] | 
| Number of screw | [-] | |
| Oil acceleration power loss | [W] | |
| Bearings power losses | [W] | |
| Spin power loss | [W] | |
| Total power loss of the gearbox | [W] | |
| Windage power loss | [W] | |
| Oil flow rate | [] | |
| R | Ring gear outside radius | [m] | 
| Radius of the screws position | [m] | |
| Screw crossflow section | [] | |
| Volume of air | [] | |
| Volume of oil | [] | |
| X | Volume fraction of oil | [-] | 
| Lubricant viscosity | [] | |
| Fluid density | [] | |
| Air density | [] | |
| Oil density | [] | |
| Angular velocity | [rad/s] | 
References
- Höhn, B.R.; Michaelis, K. Influence of oil temperature on gear failures. Tribol. Int. 2004, 37, 103–109. [Google Scholar] [CrossRef]
 - SKF Catalogue: Rolling Bearings; SKF Group: Gothenburg, Sweden, 2013; 1375p.
 - Krantz, T.L. Experimental and Analytical Evaluation of Efficiency of Helicopter Planetary Stage; National Aeronautics and Space Administration Cleveland Ohio, Lewis Research Center: Cleveland, OH, USA, 1990. [Google Scholar]
 - Anderson, N.E.; Lowenthal, S.H.; Black, J.D. An Analytical Method to Predict Efficiency of Aircraft Gearboxes. AIAA Paper 1984, 108, 84–1500. [Google Scholar]
 - Handschuh, R.F.; Rohn, D.A. Efficiency Testing of a Helicopter Transmission Planetary Reduction Stage; National Aeronautics and Space Administration Cleveland Ohio, Lewis Research Center: Cleveland, OH, USA, 1988. [Google Scholar]
 - Kahraman, A.; Hilty, D.R.; Singh, A. An Experimental Investigation of Spin Power losses of a Planetary Gear Set. Mech. Machine Theory 2015, 86, 48–61. [Google Scholar] [CrossRef]
 - Macmillan, R.H. Power flow and loss in differential mechanisms. J. Mech. Eng. Sci. 1961, 3, 37–41. [Google Scholar] [CrossRef]
 - Radzimovsky, E.I. How to find efficiency, speed, and power in planetary gear drives. Mach. Des. 1959, 144–153. [Google Scholar]
 - Pennestri, E.; Freudenstein, F. The mechanical efficiency of epicyclic gear trains. J. Mech. Des. 1993, 115, 645–651. [Google Scholar] [CrossRef]
 - Pennestri, E.; Valentini, P.P. A Review of Formulas for the Mechanical Efficiency Analysis of Two Degrees-of-Freedom Epicyclic Gear Trains. J. Mech. Des. 2003, 125, 602–608. [Google Scholar] [CrossRef]
 - Talbot, D.; Kahraman, A.; Stilwell, A.W.; Singh, A.; Napau, I. Mechanical power losses of full-complement needle bearings of planetary gear sets: Model and experiments. Proc. Inst. Mech. Eng. Part C J. Mech. Eng. Sci. 2016, 230, 839–855. [Google Scholar] [CrossRef]
 - Gao, S.; Hou, X.; Ma, C.; Yang, Y.; Li, Z.; Yin, R. Transient Simulation Analysis of Needle Roller Bearing in Oil Jet Lubrication and Planetary Gearbox Lubrication Conditions Based on Computational Fluid Dynamics. Lubricants 2024, 12, 39. [Google Scholar] [CrossRef]
 - Kahraman, A.; Ligata, H.; Singh, A. Influence of Ring Gear Rim Thickness on Planetary Gear Set Behaviour. ASME J. Mech. Des. 2010, 132, 021002. [Google Scholar] [CrossRef]
 - Miladinovic, S.; Velickovic, S.; Stojanovic, B.; Nikolic, R. Optimization of Parameters of a Planetary Gearbox Using the Taguchi-Grey Relational Analysis. Commun. Sci. Lett. Univ. Zilina 2018, 20, 30–35. [Google Scholar] [CrossRef]
 - Hanschuh, R.F.; Kilmain, C.J. Preliminary Comparison of Experimental and Analytical Efficiency Results of High-Speed Helical Gear Trains. In Proceedings of the ASME 2003 International Design Engineering Technical Conferences and Computers and Information in Engineering Conference, Chicago, IL, USA, 2–6 September 2003; Volume 4, pp. 949–955. [Google Scholar]
 - Durand de Gevigney, J.; Changenet, C.; Ville, F.; Velex, P.; Becquerelle, S. Analysis of no-load dependent power losses in planetary gear train by using thermal network method. In Proceedings of the International Conference on Gears, Lyon, France, 26–28 August 2014. [Google Scholar]
 - Bianchini, C.; Da Soghe, R.; Giannini, L.; Fondelli, T.; Massini, D.; Facchini, B.; D’Errico, J. Load Independent Losses of an Aeroengine Epicyclic Power Gear Train: Numerical Investigation. In Proceedings of the ASME Turbo Expo 2019: Turbomachinery Technical Conference and Exposition, Phoenix, AZ, USA, 17–21 June 2019; Volume 1. [Google Scholar]
 - Concli, F.; Gorla, C. A new methodology for the prediction of the no-load losses of gears: CFD and experimental investigation of the efficiency of a planetary gearbox. In Proceedings of the International Conference on Gear, Munich, Germany, 7–9 October 2013. [Google Scholar]
 - Cho, J.; Hur, N.; Choi, J.; Yoon, J. Numerical simulation of oil and air two-phase flow in a planetary gear system using the overset mesh technique. In Proceedings of the 16th International Symsposium on Transport Phenomena and Dynamics of Rotating Machinery, Honolulu, HI, USA, 10–15 April 2016. [Google Scholar]
 - Dhar, S.; Rawool, A.; Ray, S. Lubricant Flow and Temperature Prediction in a Planetary Gearset. In SAE Technical Paper; GM Technical Center India Ltd.: Karnataka, India, 2011. [Google Scholar]
 - Boni, J.; Neurouth, A.; Changenet, C.; Ville, F. Experimental investigations on churning power losses generated in a planetary gear set. J. Adv. Mech. Des. Syst. Manuf. 2017, 11, JAMDSM0079. [Google Scholar] [CrossRef]
 - Daily, J.W.; Nece, R.E. Chamber Dimension Effects on Induced Flow and Frictional Resistance of Enclosed Rotating Disks. ASME J. Basic Eng. 1960, 82, 217–232. [Google Scholar] [CrossRef]
 - Diab, Y.; Ville, F.; Velex, P.; Changenet, C. Windage Losses in High Speed Gears–Preliminary Experimental and Theorical Results. ASME J. Mech. Des. 2004, 126, 903–907. [Google Scholar] [CrossRef]
 - Quiban, R. Modélisation des Pertes de Puissance D’engrenages Spiro-Coniques Lubrifiés par Bain D’huile: Application à Une boîte de Transmission Arrière D’hélicoptère. Ph.D. Thesis, INSA Lyon, Villeurbanne, France, 2020. [Google Scholar]
 - Ariura, Y.; Ueno, T.; Sunaga, T.; Sunamoto, S. The Lubricant Churning Loss in Spur Gear Systems. Bull. JSME 1973, 16, 881–892. [Google Scholar] [CrossRef]
 - Harris, T.A. Rolling Bearing Analysis, 3rd ed.; CRC Press: New York, NY, USA, 1991. [Google Scholar]
 - De Cadier de Veauce, F.; Darul, L.; Marchesse, Y.; Touret, T.; Changenet, C.; Ville, F.; Amar, L.; Fossier, C. Power Losses of Oil-Jet Lubricated Ball Bearings With Limited Applied Load: Part 2—Experiments and Model Validation. Tribol. Trans. 2023, 66, 822–831. [Google Scholar] [CrossRef]
 















| Range | Accuracy | Model | |
|---|---|---|---|
| Torque meter | 0–2 N·m | 0.002 N·m | Scaime DR2208 | 
| Pulse counter | 0–10,000 rpm | ≤0.02% of the measure | Scaime DR2208 | 
| Flowmeter | 1–40 L/min | ±0.5% of the measure | Kobold DOM-A20 | 
| Thermocouple | −75–250 °C | ±0.5 °C | Type K | 
| Parameter | Value | 
|---|---|
| Kinematic viscosity at 40 °C [mm2/s] | 24.2 | 
| Kinematic viscosity at 100 °C [mm2/s] | 4.97 | 
| ] | 974.9 | 
| Parameter | Maximum | 
|---|---|
| Rotational ring gear speed [rpm] | 6000 | 
| Planet pitch velocity [m/s] | 95 | 
| Oil temperature [°C] | 110 | 
| Number of injection points [-] | 2 | 
| Flow rate per lubricating circuit [L/min] | 8 | 
| Parameter | Sun | Planet | Ring Gear | 
|---|---|---|---|
| Tooth number [-] | 54 | 27 | 108 | 
| Module [mm] | 1.4 | ||
| Pitch diameter [mm] | 75.6 | 37.8 | 151.2 | 
| Width [mm] | 37 | 30 | 32 | 
| Pressure angle [°] | 20 | ||
| Node Number | Node Name | Temperature Measured | 
|---|---|---|
| 1 | Ambient Air | Yes | 
| 2 | Air/oil mixture inside casing | Yes | 
| 3 | Oil at the planet carrier inlet | Yes | 
| 4 | Oil inside the planet carrier | No | 
| 5 | Oil injected inside the casing | No | 
| 6 | Frame | Yes | 
| 7 | Support | Yes | 
| 8 | Supporting block | Yes | 
| 9 | Aluminium casing n°1 | Yes | 
| 10 | Aluminium casing n°2 | Yes | 
| 11 | Polycarbonate casing bottom | Yes | 
| 12 | Polycarbonate casing top | Yes | 
| 13 | Planet carrier part 1 | Yes | 
| 14 | Planet carrier part 2 | Yes | 
| 15 | 61919 Bearing inner ring | Yes | 
| 16 | 61919 Bearing rolling elements | No | 
| 17 | 61919 Bearing outer ring | No | 
| 18, 19, 20 | Ring gear | No | 
| 21 | Input shaft | No | 
| 22 | 6008ZZ Bearing | Yes | 
Disclaimer/Publisher’s Note: The statements, opinions and data contained in all publications are solely those of the individual author(s) and contributor(s) and not of MDPI and/or the editor(s). MDPI and/or the editor(s) disclaim responsibility for any injury to people or property resulting from any ideas, methods, instructions or products referred to in the content.  | 
© 2024 by the authors. Licensee MDPI, Basel, Switzerland. This article is an open access article distributed under the terms and conditions of the Creative Commons Attribution (CC BY) license (https://creativecommons.org/licenses/by/4.0/).
Share and Cite
Winger, M.; Marchesse, Y.; Touret, T.; Changenet, C.; Ville, F.; Gédin, P. Investigations on Spin Power Losses Generated in a Planetary Gear Set Using Thermal Network Method. Lubricants 2024, 12, 366. https://doi.org/10.3390/lubricants12110366
Winger M, Marchesse Y, Touret T, Changenet C, Ville F, Gédin P. Investigations on Spin Power Losses Generated in a Planetary Gear Set Using Thermal Network Method. Lubricants. 2024; 12(11):366. https://doi.org/10.3390/lubricants12110366
Chicago/Turabian StyleWinger, Marie, Yann Marchesse, Thomas Touret, Christophe Changenet, Fabrice Ville, and Patrice Gédin. 2024. "Investigations on Spin Power Losses Generated in a Planetary Gear Set Using Thermal Network Method" Lubricants 12, no. 11: 366. https://doi.org/10.3390/lubricants12110366
APA StyleWinger, M., Marchesse, Y., Touret, T., Changenet, C., Ville, F., & Gédin, P. (2024). Investigations on Spin Power Losses Generated in a Planetary Gear Set Using Thermal Network Method. Lubricants, 12(11), 366. https://doi.org/10.3390/lubricants12110366
        
