Tribocorrosion-Resistant Surface for TiO2 as a Function of Load and Sliding Speed
Abstract
1. Introduction
2. Materials and Methods
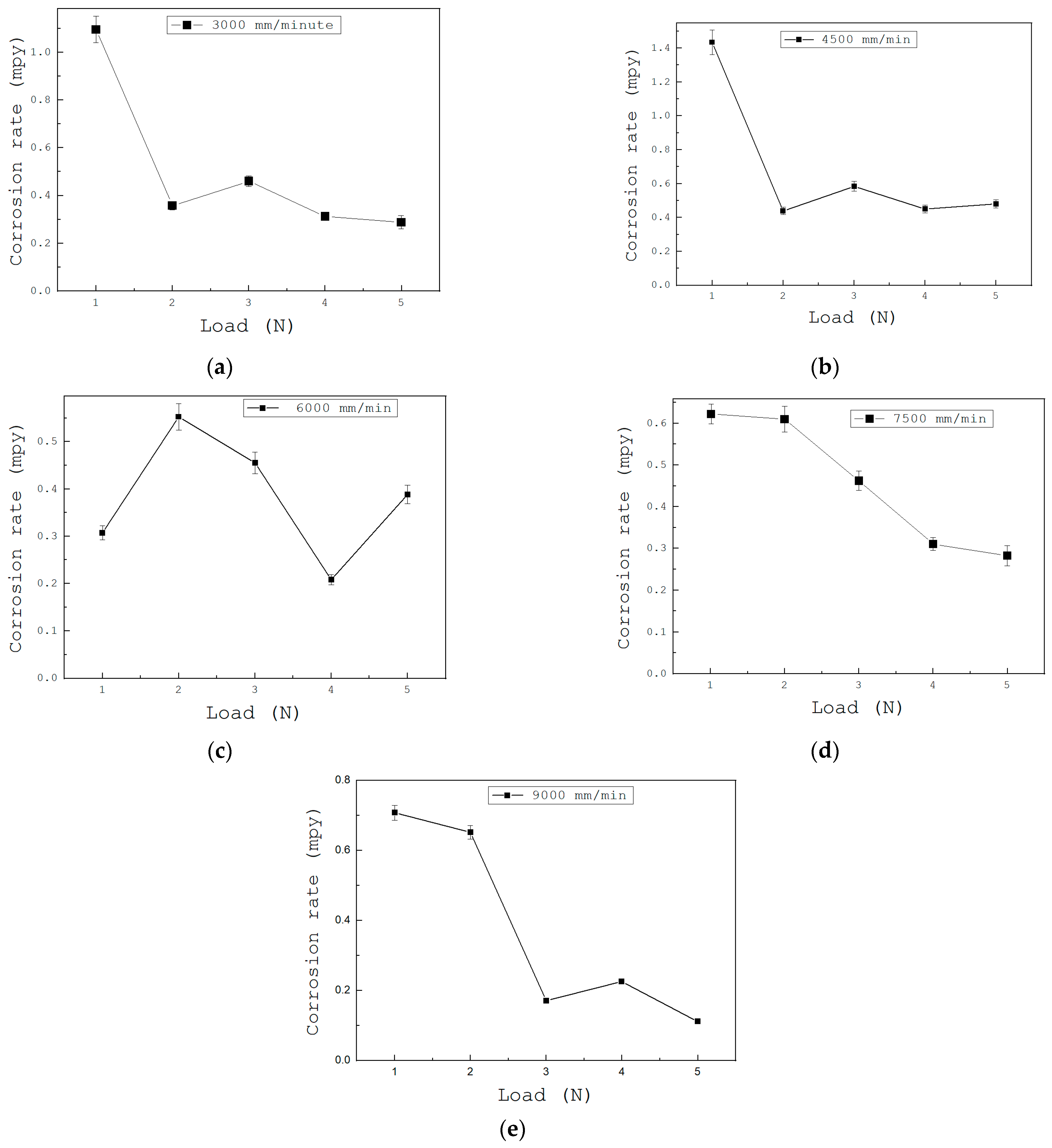
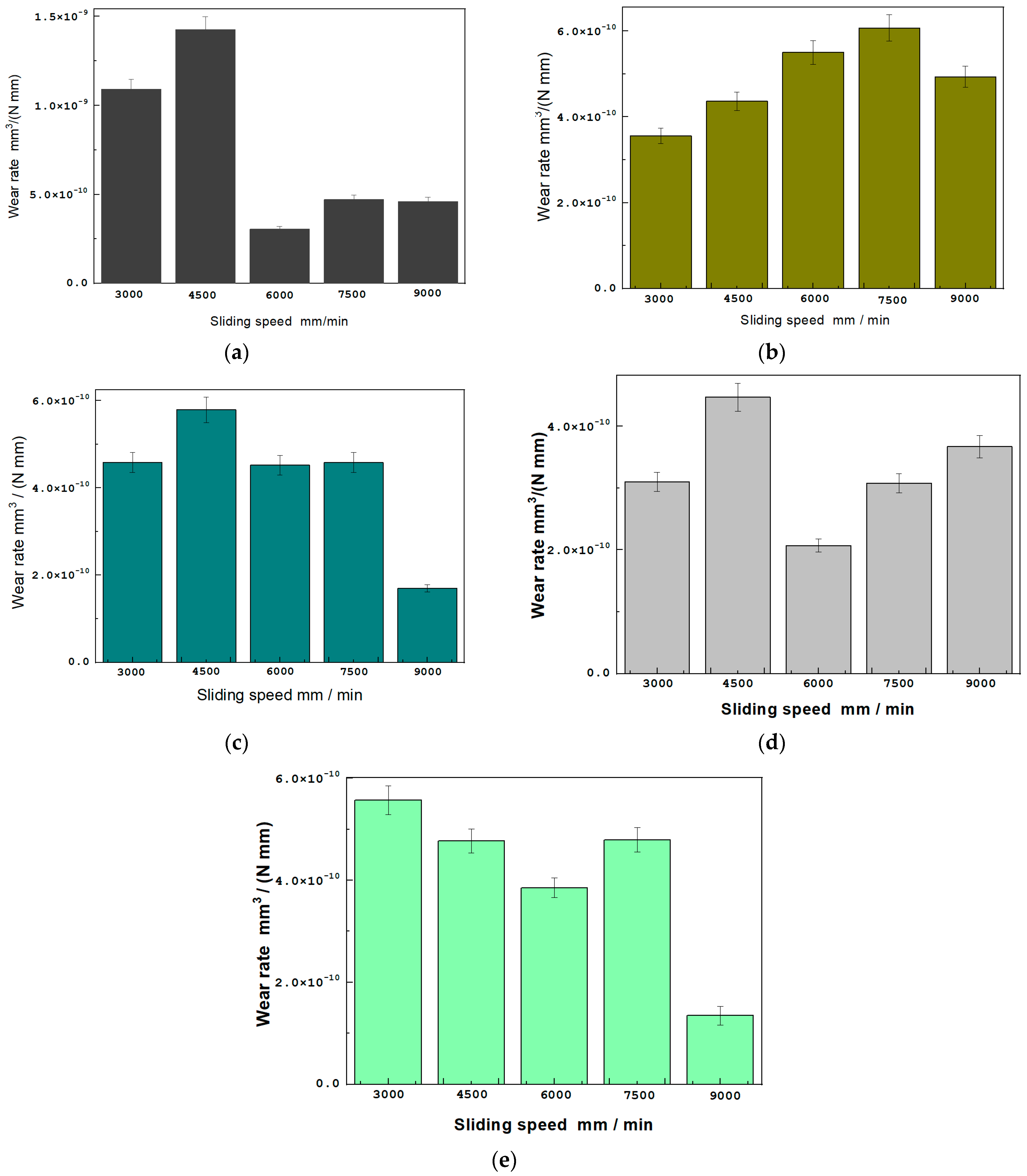
3. Results
XPS
4. Conclusions
Author Contributions
Funding
Acknowledgments
Conflicts of Interest
References
- Sahlin, H.; Contreras, R.; Gaskill, D.F.; Bjursten, L.M.; Frangos, J.A. Anti-inflammatory properties of micropatterned titanium coatings. J. Biomed. Mater. Res. 2006, 77, 43–49. [Google Scholar] [CrossRef] [PubMed]
- Contreras, R.; Sahlin, H.; Frangos, J.A. Titanate biomaterials with enhanced antiinflammatory properties. J. Biomed. Mater. Res. 2007, 80, 480–485. [Google Scholar] [CrossRef] [PubMed]
- Ying, M.; Jianxin, D.; Zhihui, Z.; Qinghao, S. Enhanced wear resistance of AlTiN coatings by ultrasonic rolling substrate texturing. Surf. Coat. Technol. 2022, 447, 128841. [Google Scholar]
- Lin-Chan, S.; Nielsen, D.H.; Yack, J.; Hsu, M.; Shurr, D. The effects of added prosthetic mass on physiologic responses and stride frequency during multiple speeds of walking in persons with transtibial amputation. Arch. Phys. Med. Rehabil. 2003, 84, 1865–1871. [Google Scholar] [CrossRef]
- Racic, V.; Pavic, A.; Brownjohn, J. Experimental identification and analytical modelling of human walking forces: Literature review. J. Sound Vib. 2009, 326, 1–49. [Google Scholar] [CrossRef]
- Abadi, F.; Ariffin Muhamad, T.; Salamuddin, N. Energy Expenditure through Walking: Meta-Analysis on Gender and Age. J. Sound Vib. 2010, 7, 512–521. [Google Scholar] [CrossRef]
- Skjöldebrand, C.; Joanne, L.; Hatto, P.; Bryant, M.; Hall, R.; Persson, C. Current status and future potential of wear-resistant coatings and articulating surfaces for hip and knee implants. Mater. Today 2022, 15, 100270. [Google Scholar] [CrossRef]
- Saitoh, S.; Nezu, T.; Sasaki, K.; Taira, M.; Miura, H. Effect of gold deposition onto titanium on the adsorption of alkanethiols as the protein linker functionalizing the metal Surface. Dent. Mater. J. 2014, 33, 111–117. [Google Scholar] [CrossRef]
- Visai, L.; De Nardo, L.; Punta, C.; Melone, L.; Cigada, A.; Imbriani, M.; Arciola, C.R. Titanium oxide antibacterial surfaces in biomedical devices. Int. J. Artif. Organs 2011, 34, 929–946. [Google Scholar] [CrossRef]
- Albrektsson, T.; Johansson, C. Osteoinduction, osteoconduction and osseointegration. Eur. Spine J. 2001, 10, 96–101. [Google Scholar]
- Csarnovics, I.; Hajdu, P.; Biri, S.; Hegedűs, C.; Kökényesi, S.; Rácz, R.; Csik, A. Preliminary studies of creation of gold nanoparticles on titanium surface towards biomedical applications. Vacuum 2016, 126, 55–58. [Google Scholar] [CrossRef]
- Heo, D.N.; Ko, W.K.; Lee, H.R.; Lee, S.J.; Lee, D.; Um, S.H.; Lee, J.H.; Woo, Y.H.; Zhang, L.G.; Lee, D.W.; et al. Titanium dental implants surface-immobilized with gold nanoparticles as osteoinductive agents for rapid osseointegration. J. Colloid Interface Sci. 2016, 469, 129–137. [Google Scholar] [CrossRef] [PubMed]
- Wang, Z.; Zhang, J.; Hu, J.; Yang, G. Gene-activated titanium implants for gene delivery to enhance osseointegration. Biomater. Adv. 2022, 143, 213176. [Google Scholar] [CrossRef]
- Oros-Ruiz, S.; Pedraza-Avella, J.A.; Guzmán, C. Effect of Gold Particle Size and Deposition Method on the Photodegradation of 4-Chlorophenol by Au/TiO2. Top. Catal. 2011, 54, 519–526. [Google Scholar] [CrossRef]
- Jang, D.; Yu, S.; Chung, K.; Yoo, J.; Marques-Mota, F.; Wang, J.; Ahn, D.J.; Kim, S.; Kim, D.H. Direct deposition of anatase TiO2 on thermally unstable gold nanobipyramid: Morphology-conserved plasmonic nanohybrid for combinational photothermal and photocatalytic cancer therapy. Appl. Mater. Today 2022, 27, 101472. [Google Scholar] [CrossRef]
- Khung, R.; Sukjai-Suansuwan, N. Effect of gold sputtering on the adhesion of porcelain to cast and machined titanium. J. Prosthet. Dent. 2013, 110, 41–46. [Google Scholar] [CrossRef]
- Shekhawat, D.; Singh, A.; Banerjee, M.K.; Singh, T.; Patnaik, A. Bioceramic composites for orthopaedic applications: A comprehensive review of mechanical, biological, and microstructural properties. Ceram. Int. 2021, 47, 3013–3030. [Google Scholar] [CrossRef]
- Moghadasi, K.; Syahid, M.; Ashraf, M.; Zulhiqmi, M.; Raja, S.; Wu, B.; Yamani, M.; Ridha, B.M.; Yusof, F.; Fadzil, M.; et al. A review on biomedical implant materials and the effect of friction stir based techniques on their mechanical and tribological properties. J. Mater. Res. Technol. 2022, 17, 1054–1121. [Google Scholar] [CrossRef]
- Yang, J.; Bai, S.; Sun, J.; Wu, H.; Sun, S.; Wang, S.; Xu, D. Microstructural understanding of the oxidation and inter-diffusion behavior of Cr-coated Alloy 800H in supercritical water. Corros. Sci. 2023, 211, 110910. [Google Scholar] [CrossRef]
- Yate, L.; Coy, E.; Gregurec, D.; Aperador, W.; Moya, S.; Wang, G. Nb–C Nanocomposite Films with Enhanced Biocompatibility and Mechanical Properties for Hard-Tissue Implant Applications. ACS Appl. Mater. Interfaces 2015, 7, 6351–6358. [Google Scholar] [CrossRef]
- Oropeza, F.; Egdell, R. Control of valence states in Rh-doped TiO2 by Sb co-doping: A study by high resolution X-ray photoemission spectroscopy. Chem. Phys. Lett. 2011, 515, 249–253. [Google Scholar] [CrossRef]
- Köbl, J.; Fernández, C.; Augustin, L.; Kataev, E.; Franchi, S.; Tsud, N.; Pistonesi, C.; Pronsato, E.; Jux, N.; Lytken, O.; et al. Benzohydroxamic acid on rutile TiO2(110)—(1×1)– a comparison of ultrahigh-vacuum evaporation with deposition from solution. Appl. Surf. Sci. 2022, 716, 121955. [Google Scholar] [CrossRef]
- Dumbuya, K.; Cabailh, G.; Lazzari, R.; Jupille, J.; Ringel, L.; Pistor, M.; Lytken, O.; Steinrück, H.-P.; Gottfried, J. Evidence for an active oxygen species on Au/TiO2(110) model catalysts during investigation with in situ X-ray photoelectron spectroscopy. Catal. Today 2012, 181, 20–25. [Google Scholar] [CrossRef]
- Zheng, L.; Yuan, X. An investigation on the performance of gold layer-based cyanide-free HAuCl4 electroplating process under different power conditions. Mater. Today Commun. 2022, 31, 103711. [Google Scholar] [CrossRef]
- Alférez, F.; Olaya, J.; Bautista-Ruiz, J. Síntesis y evaluación de resistencia a la corrosión de recubrimientos de SiO2-TiO2-ZrO2-BiO2 sobre acero inoxidable 316L producidos por sol-gel. Bol. Soc. Esp. Ceram. Vidr. 2018, 57, 195–206. [Google Scholar] [CrossRef]
- Balarabe, B.Y.; Maity, P. Visible light-driven complete photocatalytic oxidation of organic dye by plasmonic Au-TiO2 nanocatalyst under batch and continuous flow condition. Colloids Surf. A Physicochem. Eng. Asp. 2022, 655, 130247. [Google Scholar] [CrossRef]
- Bazaka, O.; Bazaka, K.; Khanh, V.; Levchenko, I.; Jacob, M.; Estrin, Y.; Lapovok, R.; Chichkov, B.; Fadeeva, E.; Kingshott, P.; et al. Effect of titanium surface topography on plasma deposition of antibacterial polymer coatings. Appl. Surf. Sci. 2020, 521, 146375. [Google Scholar] [CrossRef]
- Jun-Li, Y.; Wen, H.; Zhang, Q.; Adachi, Y.; Arima, E.; Kinoshita, Y.; Nomura, H.; Ma, Z.; Kou, L.; Tsukuda, Y.; et al. Stable contrast mode on TiO2(110) surface with metal-coated tips using AFM. Ultramicroscopy 2018, 191, 51–55. [Google Scholar]
- Dong, P.; Zhang, Y.; Zhu, S.; Nie, Z.; Ma, H.; Liu, Q.; Li, J. First-Principles Study on the Adsorption Characteristics of Corrosive Species on Passive Film TiO2 in a NaCl Solution Containing H2S and CO2. Metals 2022, 12, 1160. [Google Scholar] [CrossRef]
- Madhusmita, M.; Arunachalam, N. Effects of electrophoretic deposited graphene coating thickness on the corrosion and wear behaviors of commercially pure titanium. Surf. Coat. Technol. 2022, 450, 128946. [Google Scholar]
- Xu, Z.; Yate, L.; Qiu, Y.; Aperador, W.; Coy, E.; Jiang, B.; Moya, S.; Wang, G.; Pan, H. Potential of niobium-based thin films as a protective and osteogenic coating for dental implants: The role of the nonmetal elements. Mater. Sci. Eng. C 2019, 96, 166–175. [Google Scholar] [CrossRef] [PubMed]
- Song, B.; Hua, Y.; Zhou, C.; Li, Y.; Yang, L.; Song, Z. Fabrication and anticorrosion behavior of a bi-phase TaNbHfZr/CoCrNi multilayer coating through magnetron sputtering. Corros. Sci. 2022, 196, 110020. [Google Scholar] [CrossRef]
- Moreno, H.; Caicedo, J.C.; Amaya, C.; Cabrera, G.; Yate, L.; Aperador, W.; Prieto, P. Improvement of the electrochemical behavior of steel surfaces using a TiN[BCN/BN]n/c-BN multilayer system. Diam. Relat. Mater. 2011, 20, 588–595. [Google Scholar] [CrossRef]
- Jiang, C.; Xiong, W.; Cai, W.; Zhu, Y.; Wang, Y. Preload loss of high-strength bolts in friction connections considering corrosion damage and fatigue loading. Eng. Fail. Anal. 2022, 137, 106416. [Google Scholar] [CrossRef]
- Zhang, H.; Kim, T.; Swarts, J.; Yu, Z.; Su, R.; Liu, L.; Howland, W.; Lucadamo, G.; Couet, A. Nano-porosity effects on corrosion rate of Zr alloys using nanoscale microscopy coupled to machine learning. Corros. Sci. 2022, 208, 110660. [Google Scholar] [CrossRef]
- Hu, C.; Xie, X.; Ren, K. A facile method to prepare stearic acid-TiO2/zinc composite coating with multipronged robustness, self-cleaning property, and corrosion resistance. J. Alloys Compd. 2021, 882, 160636. [Google Scholar] [CrossRef]
- Zhang, P.; Liu, J.; Gao, Y.; Liu, Z.; Mai, Q. Effect of heat treatment process on the micro machinability of 7075 aluminum alloy. Vacuum 2023, 207, 111574. [Google Scholar] [CrossRef]











Disclaimer/Publisher’s Note: The statements, opinions and data contained in all publications are solely those of the individual author(s) and contributor(s) and not of MDPI and/or the editor(s). MDPI and/or the editor(s) disclaim responsibility for any injury to people or property resulting from any ideas, methods, instructions or products referred to in the content. |
© 2023 by the authors. Licensee MDPI, Basel, Switzerland. This article is an open access article distributed under the terms and conditions of the Creative Commons Attribution (CC BY) license (https://creativecommons.org/licenses/by/4.0/).
Share and Cite
Bautista-Ruiz, J.; Aperador, W.; Sánchez-Molina, J. Tribocorrosion-Resistant Surface for TiO2 as a Function of Load and Sliding Speed. Lubricants 2023, 11, 91. https://doi.org/10.3390/lubricants11030091
Bautista-Ruiz J, Aperador W, Sánchez-Molina J. Tribocorrosion-Resistant Surface for TiO2 as a Function of Load and Sliding Speed. Lubricants. 2023; 11(3):91. https://doi.org/10.3390/lubricants11030091
Chicago/Turabian StyleBautista-Ruiz, Jorge, Willian Aperador, and Jorge Sánchez-Molina. 2023. "Tribocorrosion-Resistant Surface for TiO2 as a Function of Load and Sliding Speed" Lubricants 11, no. 3: 91. https://doi.org/10.3390/lubricants11030091
APA StyleBautista-Ruiz, J., Aperador, W., & Sánchez-Molina, J. (2023). Tribocorrosion-Resistant Surface for TiO2 as a Function of Load and Sliding Speed. Lubricants, 11(3), 91. https://doi.org/10.3390/lubricants11030091

