Effect of Base Oil and Thickener on Texture and Flow of Lubricating Greases: Insights from Bulk Rheometry, Optical Microrheology and Electron Microscopy
Abstract
:1. Introduction
2. Materials and Methods
2.1. Materials
2.2. Grease Manufacturing
2.3. Lubricating Grease Characterization
2.3.1. Oscillatory Shear Experiments
2.3.2. Oscillatory Squeeze Flow Experiments
2.3.3. Scanning Electron Microscope (SEM)
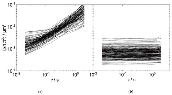
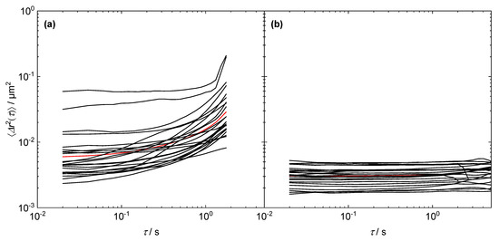
2.3.4. Multiple-Particle Tracking (MPT)
3. Results and Discussion
3.1. Oscillatory Shear and Squeeze Flow Experiments
3.2. SEM Images
3.3. MPT Measurements
4. Conclusions
Author Contributions
Funding
Institutional Review Board Statement
Informed Consent Statement
Data Availability Statement
Acknowledgments
Conflicts of Interest
Appendix A
| Base Oil | Thickener | Thickener Content/% | |
|---|---|---|---|
| Variation of base oil viscosity and type | MO | Lithium 12-hydroxystearate | 15 |
| MO2 | |||
| PAO8 | |||
| PAO4 | |||
| Variation of thickener content | MO | Lithium 12-hydroxystearate | 11 |
| 13 | |||
| 15 | |||
| Variation of thickener type | MO | Lithium 12-hydroxystearate | 15 |
| Lithium stearate | |||
| Calcium 12-hydroxystearate | |||
| Calcium stearate | |||
| Zinc stearate | |||
| Magnesium stearate | |||
| Variation of base oil type and thickener content | TMSE | Lithium 12-hydroxystearate | 12 |
| PAG | 15 | ||
| MO | 13 | ||
| PAO8 | 22 | ||
| TMSE | 11 | ||
| PAG | 11 | ||
| MO | 11 |
Appendix B


References
- Lugt, P.M. A Review on Grease Lubrication in Rolling Bearings. Tribol. Trans. 2009, 52, 470–480. [Google Scholar] [CrossRef]
- Delgado, M.A.; Valencia, C.; Sánchez, M.C.; Franco, J.M.; Gallegos, C. Influence of Soap Concentration and Oil Viscosity on the Rheology and Microstructure of Lubricating Greases. Ind. Eng. Chem. Res. 2006, 45, 1902–1910. [Google Scholar] [CrossRef]
- Hurley, S.; Cann, R.M. Examination of grease structure by SEM and AFM techniques. NLGI Spokesman 2001, 65, 17–26. [Google Scholar]
- Magnin, A.; Piau, J.M. Application of freeze-fracture technique for analyzing the structure of lubricant greases. J. Mater. Res. 1989, 4, 990–995. [Google Scholar] [CrossRef]
- Baart, P.; van der Vorst, B.; Lugt, P.M.; van Ostayen, R.A. Oil-Bleeding Model for Lubricating Grease Based on Viscous Flow Through a Porous Microstructure. Tribol. Trans. 2010, 53, 340–348. [Google Scholar] [CrossRef]
- Cyriac, F.; Lugt, P.M.; Bosman, R.; Padberg, C.J.; Venner, C.H. Effect of Thickener Particle Geometry and Concentration on the Grease EHL Film Thickness at Medium Speeds. Tribol. Lett. 2016, 61, 470. [Google Scholar] [CrossRef] [Green Version]
- Sánchez, M.C.; Franco, J.M.; Valencia, C.; Gallegos, C.; Urquiola, F.; Urchegui, R. Atomic Force Microscopy and Thermo-Rheological Characterisation of Lubricating Greases. Tribol. Lett. 2011, 41, 463–470. [Google Scholar] [CrossRef]
- Kowalczyk, A.; Oelschlaeger, C.; Willenbacher, N. Visualization of micro-scale inhomogeneities in acrylic thickener solutions: A multiple particle tracking study. Polymer 2015, 58, 170–179. [Google Scholar] [CrossRef]
- Hafner, J.; Oelschlaeger, C.; Willenbacher, N. Microrheology imaging of fiber suspensions - a case study for lyophilized collagen I in HCl solutions. Soft Matter. 2020, 16, 9014–9027. [Google Scholar] [CrossRef] [PubMed]
- Crassous, J.J.; Régisser, R.; Ballauff, M.; Willenbacher, N. Characterization of the viscoelastic behavior of complex fluids using the piezoelastic axial vibrator. J. Rheol. 2005, 49, 851–863. [Google Scholar] [CrossRef]
- Anderson, F.W.; Nelson, R.C.; Farley, F.F. Preparation of grease specimens for electron microscopy. NLGI Spokesman 1967, 31, 252. [Google Scholar]
- Rubinstein, M.; Colby, R.H. Polymer Physics; Oxford University Press: New York, NY, USA, 2003. [Google Scholar]
- Mason, T.G.; Weitz, D.A. Optical measurements of frequency-dependent linear viscoelastic moduli of complex fluids. Phys. Rev. Lett. 1995, 74, 1250–1253. [Google Scholar] [CrossRef] [PubMed]
- Waigh, T.A. Microrheology of complex fluids. Rep. Prog. Phys. 2005, 68, 685. [Google Scholar] [CrossRef]
- Breuer, K.S. Microscale Diagnostic Techniques; Springer: Berlin/Heidelberg, Germany, 2005; ISBN 3540230998. [Google Scholar]
- Wirtz, D. Particle-tracking microrheology of living cells: Principles and applications. Ann. Rev. Biophys. 2009, 38, 301–326. [Google Scholar] [CrossRef] [PubMed] [Green Version]
- Crocker, J.C.; Grier, D.G. Methods of digital video microscopy for colloidal studies. J. Coll. Interface Sci. 1996, 179, 298–310. [Google Scholar] [CrossRef] [Green Version]
- Weeks, E.R.; Crocker, J.C.; Levitt, A.C.; Schofield, A.; Weitz, D.A. Three-dimensional direct imaging of structural relaxation near the colloidal glass transition. Science 2000, 287, 627–631. [Google Scholar] [CrossRef] [PubMed] [Green Version]













| Description | Type | Density/g cm−3 | Viscosity/Pa s |
|---|---|---|---|
| MO | Paraffinic mineral oil | 0.967 | 0.14 |
| MO2 | Paraffinic mineral oil | 0.894 | 2.03 |
| PAO8 | Poly-α-olefin | 0.826 | 0.09 |
| PAO4 | Poly-α-olefin | 0.816 | 0.03 |
| TMSE | Trimellitic acid ester | 0.967 | 0.14 |
| PAG | Polyalkylene glycol | 0.983 | 0.13 |
| KR-008 | Alkylated naphthalene | 0.906 | 0.10 |
| Thickener | Melting Temperature/°C |
|---|---|
| Lithium 12-hydroxystearate | 200 |
| Lithium stearate | 190–210 |
| Calcium 12-hydroxystearate | 143 |
| Calcium stearate | 145–160 |
| Zinc stearate | 118–128 |
| Magnesium stearate | 130–140 |
| Grease | Fiber Diameter dfiber/nm | Edge Length a/nm | Spatial Diagonal ξSEM/nm |
|---|---|---|---|
| TSME-12 | 31 ± 8 | 137 ± 35 | 184 ± 63 |
| PAG-15 | 79 ± 12 | 313 ± 48 | 405 ± 85 |
| MO-13 | 51 ± 16 | 217 ± 68 | 288 ± 121 |
| PAO8-22 | 29 ± 7 | 95 ± 23 | 114 ± 41 |
| TMSE-11 | 42 ± 11 | 194 ± 51 | 264 ± 90 |
| PAG-11 | 48 ± 12 | 222 ± 56 | 302 ± 98 |
| MO-11 | 38 ± 9 | 176 ± 42 | 239 ± 74 |
| KR008-11 | 24 ± 6 | 111 ± 28 | 151 ± 49 |
| KR008-10 | 57 ± 14 | 262 ± 68 | 360 ± 120 |
| Grease | Spatial Diagonal ξSEM/nm | Mesh Size ξMPT/nm |
|---|---|---|
| TSME-12 | 184 ± 63 | 165 ± 7 |
| PAG-15 | 405 ± 85 | 163 ± 20 |
| MO-13 | 288 ± 121 | 148 ± 18 |
| PAO8-22 | 114 ± 41 | 136 ± 21 |
| TMSE-11 | 264 ± 90 | 106 ± 17 |
| PAG-11 | 302 ± 98 | 169 ± 19 |
| MO-11 | 239 ± 74 | 173 ± 26 |
| KR008-11 | 151 ± 49 | 93 ± 9 |
| KR008-10 | 360 ± 120 | 109 ± 23 |
Publisher’s Note: MDPI stays neutral with regard to jurisdictional claims in published maps and institutional affiliations. |
© 2022 by the authors. Licensee MDPI, Basel, Switzerland. This article is an open access article distributed under the terms and conditions of the Creative Commons Attribution (CC BY) license (https://creativecommons.org/licenses/by/4.0/).
Share and Cite
Hodapp, A.; Conrad, A.; Hochstein, B.; Jacob, K.-H.; Willenbacher, N. Effect of Base Oil and Thickener on Texture and Flow of Lubricating Greases: Insights from Bulk Rheometry, Optical Microrheology and Electron Microscopy. Lubricants 2022, 10, 55. https://doi.org/10.3390/lubricants10040055
Hodapp A, Conrad A, Hochstein B, Jacob K-H, Willenbacher N. Effect of Base Oil and Thickener on Texture and Flow of Lubricating Greases: Insights from Bulk Rheometry, Optical Microrheology and Electron Microscopy. Lubricants. 2022; 10(4):55. https://doi.org/10.3390/lubricants10040055
Chicago/Turabian StyleHodapp, Annika, Andreas Conrad, Bernhard Hochstein, Karl-Heinz Jacob, and Norbert Willenbacher. 2022. "Effect of Base Oil and Thickener on Texture and Flow of Lubricating Greases: Insights from Bulk Rheometry, Optical Microrheology and Electron Microscopy" Lubricants 10, no. 4: 55. https://doi.org/10.3390/lubricants10040055
APA StyleHodapp, A., Conrad, A., Hochstein, B., Jacob, K.-H., & Willenbacher, N. (2022). Effect of Base Oil and Thickener on Texture and Flow of Lubricating Greases: Insights from Bulk Rheometry, Optical Microrheology and Electron Microscopy. Lubricants, 10(4), 55. https://doi.org/10.3390/lubricants10040055

