Searching for High-z Radio Galaxies with the MGCLS
Abstract
1. Introduction
2. Radio Catalogue: MGCLS Abell 2751 Field
3. Identifying HzRG Candidates
3.1. Step 1: Signal-to-Noise and Angular Size Requirements
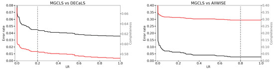
3.2. Step 2: Multi-Wavelength Cross-Matching
3.3. Step 3: USS Selection
3.4. Step 4: Manual Cross-Checking with NED and Vizier
4. Discussion
5. Summary and Conclusions
Author Contributions
Funding
Institutional Review Board Statement
Informed Consent Statement
Data Availability Statement
Acknowledgments
Conflicts of Interest
| 1 | Here, we assumed the flux density convention where is the spectral index. |
| 2 | Many earlier studies use a USS criterium of . |
| 3 | The noise increases from the centre of the image outwards due to primary beam-correction. |
| 4 | pybdsf calculates uncertainties as per Condon [45]. |
| 5 | https://github.com/ruizca/astromatch (accessed on 1 October 2021). |
References
- Eales, S.A.; Rawlings, S. A Panoramic View of Radio Galaxy Evolution from a Redshift of 0 to a Redshift of 4.3. Astrophys. J. 1996, 460, 68. [Google Scholar] [CrossRef]
- De Breuck, C.; Downes, D.; Neri, R.; van Breugel, W.; Reuland, M.; Omont, A.; Ivison, R. Detection of two massive CO systems in 4C 41.17 at z = 3.8. Astron. Astrophys. 2005, 430, L1–L4. [Google Scholar] [CrossRef][Green Version]
- Best, P.N.; Longair, M.S.; Roettgering, H.J.A. HST, radio and infrared observations of 28 3CR radio galaxies at redshift z∼1—II. Old stellar populations in central cluster galaxies. Mon. Not. R. Astron. Soc. 1998, 295, 549–567. [Google Scholar] [CrossRef]
- Archibald, E.N.; Dunlop, J.S.; Hughes, D.H.; Rawlings, S.; Eales, S.A.; Ivison, R.J. A submillimetre survey of the star formation history of radio galaxies. Mon. Not. R. Astron. Soc. 2001, 323, 417–444. [Google Scholar] [CrossRef]
- Miley, G.; De Breuck, C. Distant radio galaxies and their environments. Astron. Astrophys. Rev. 2008, 15, 67–144. [Google Scholar] [CrossRef]
- Ishwara-Chandra, C.H.; Sirothia, S.K.; Wadadekar, Y.; Pal, S.; Windhorst, R. Deep GMRT 150-MHz observations of the LBDS-Lynx region: Ultrasteep spectrum radio sources. Mon. Not. R. Astron. Soc. 2010, 405, 436–446. [Google Scholar] [CrossRef]
- Spinrad, H. Redshifts and spectroscopy of very distant radio galaxies with strong emission lines. Publ. Astron. Soc. Pac. 1982, 94, 397–403. [Google Scholar] [CrossRef]
- Saxena, A.; Marinello, M.; Overzier, R.A.; Best, P.N.; Röttgering, H.J.A.; Duncan, K.J.; Prandoni, I.; Pentericci, L.; Magliocchetti, M.; Paris, D.; et al. Discovery of a radio galaxy at z = 5.72. Mon. Not. R. Astron. Soc. 2018, 480, 2733–2742. [Google Scholar] [CrossRef]
- Ker, L.M.; Best, P.N.; Rigby, E.E.; Röttgering, H.J.A.; Gendre, M.A. New insights on the z–α correlation from complete radio samples. Mon. Not. R. Astron. Soc. 2012, 420, 2644–2661. [Google Scholar] [CrossRef]
- Lilly, S.J.; Longair, M.S. Stellar populations in distant radio galaxies. Mon. Not. R. Astron. Soc. 1984, 211, 833–855. [Google Scholar] [CrossRef]
- Jarvis, M.J.; Rawlings, S.; Eales, S.; Blundell, K.M.; Bunker, A.J.; Croft, S.; McLure, R.J.; Willott, C.J. A sample of 6C radio sources designed to find objects at redshift z>4—III. Imaging and the radio galaxy K-z relation. Mon. Not. R. Astron. Soc. 2001, 326, 1585–1600. [Google Scholar] [CrossRef]
- Schmidt, S.J.; Connolly, A.J.; Hopkins, A.M. The DRaGONS Survey: A Search for High-Redshift Radio Galaxies and Heavily Obscured Active Galactic Nuclei. Astrophys. J. 2006, 649, 63–78. [Google Scholar] [CrossRef]
- Norris, R.P.; Afonso, J.; Appleton, P.N.; Boyle, B.J.; Ciliegi, P.; Croom, S.M.; Huynh, M.T.; Jackson, C.A.; Koekemoer, A.M.; Lonsdale, C.J.; et al. Deep ATLAS Radio Observations of the Chandra Deep Field-South/Spitzer Wide-Area Infrared Extragalactic Field. Astron. J. 2006, 132, 2409–2423. [Google Scholar] [CrossRef]
- Middelberg, E.; Norris, R.P.; Hales, C.A.; Seymour, N.; Johnston-Hollitt, M.; Huynh, M.T.; Lenc, E.; Mao, M.Y. The radio properties of infrared-faint radio sources. Astron. Astrophys. 2011, 526, A8. [Google Scholar] [CrossRef][Green Version]
- Collier, J.D.; Banfield, J.K.; Norris, R.P.; Schnitzeler, D.H.F.M.; Kimball, A.E.; Filipović, M.D.; Jarrett, T.H.; Lonsdale, C.J.; Tothill, N.F.H. Infrared-faint radio sources: A new population of high-redshift radio galaxies. Mon. Not. R. Astron. Soc. 2014, 439, 545–565. [Google Scholar] [CrossRef][Green Version]
- Herzog, A.; Middelberg, E.; Norris, R.P.; Sharp, R.; Spitler, L.R.; Parker, Q.A. Infrared-faint radio sources are at high redshifts. Spectroscopic redshift determination of infrared-faint radio sources using the Very Large Telescope. Astron. Astrophys. 2014, 567, A104. [Google Scholar] [CrossRef][Green Version]
- Falcke, H.; Körding, E.; Nagar, N.M. Compact radio cores: From the first black holes to the last. New Astron. Rev. 2004, 48, 1157–1171. [Google Scholar] [CrossRef]
- Coppejans, R.; Cseh, D.; Williams, W.L.; van Velzen, S.; Falcke, H. Megahertz peaked-spectrum sources in the Boötes field I—A route towards finding high-redshift AGN. Mon. Not. R. Astron. Soc. 2015, 450, 1477–1485. [Google Scholar] [CrossRef]
- Roettgering, H.J.A.; Lacy, M.; Miley, G.K.; Chambers, K.C.; Saunders, R. Samples of ultra-steep spectrum radio sources. Astron. Astrophys. Suppl. Ser. 1994, 108, 79–141. [Google Scholar]
- Krolik, J.H.; Chen, W. Steep Radio Spectra in High-Redshift Radio Galaxies. Astron. J. 1991, 102, 1659. [Google Scholar] [CrossRef]
- Klamer, I.J.; Ekers, R.D.; Bryant, J.J.; Hunstead, R.W.; Sadler, E.M.; De Breuck, C. A search for distant radio galaxies from SUMSS and NVSS—III. Radio spectral energy distributions and the z-α correlation. Mon. Not. R. Astron. Soc. 2006, 371, 852–866. [Google Scholar] [CrossRef][Green Version]
- Bornancini, C.G.; O’Mill, A.L.; Gurovich, S.; Lambas, D.G. Radio galaxies in the Sloan Digital Sky Survey: Spectral index-environment correlations. Mon. Not. R. Astron. Soc. 2010, 406, 197–207. [Google Scholar] [CrossRef]
- Morabito, L.K.; Harwood, J.J. Investigating the cause of the α-z relation. Mon. Not. R. Astron. Soc. 2018, 480, 2726–2732. [Google Scholar] [CrossRef]
- Pedani, M. On the efficiency of the Ultra Steep Spectrum technique in finding high- z radiogalaxies. New Astron. 2003, 8, 805–815. [Google Scholar] [CrossRef][Green Version]
- Jarvis, M.J.; Teimourian, H.; Simpson, C.; Smith, D.J.B.; Rawlings, S.; Bonfield, D. The discovery of a typical radio galaxy at z = 4.88. Mon. Not. R. Astron. Soc. 2009, 398, L83–L87. [Google Scholar] [CrossRef]
- De Breuck, C.; van Breugel, W.; Röttgering, H.J.A.; Miley, G. A sample of 669 ultra steep spectrum radio sources to find high redshift radio galaxies. Astron. Astrophys. Suppl. Ser. 2000, 143, 303–333. [Google Scholar] [CrossRef]
- Cruz, M.J.; Jarvis, M.J.; Blundell, K.M.; Rawlings, S.; Croft, S.; Klöckner, H.R.; McLure, R.J.; Simpson, C.; Targett, T.A.; Willott, C.J. The 6C** sample of steep-spectrum radio sources—I. Radio data, near-infrared imaging and optical spectroscopy. Mon. Not. R. Astron. Soc. 2006, 373, 1531–1562. [Google Scholar] [CrossRef]
- Broderick, J.W.; Bryant, J.J.; Hunstead, R.W.; Sadler, E.M.; Murphy, T. A new search for distant radio galaxies in the Southern hemisphere—I. Sample definition and radio properties. Mon. Not. R. Astron. Soc. 2007, 381, 341–366. [Google Scholar] [CrossRef]
- Afonso, J.; Bizzocchi, L.; Ibar, E.; Grossi, M.; Simpson, C.; Chapman, S.; Jarvis, M.J.; Rottgering, H.; Norris, R.P.; Dunlop, J.; et al. Ultra Steep Spectrum Radio Sources in the Lockman Hole: SERVS Identifications and Redshift Distribution at the Faintest Radio Fluxes. Astrophys. J. 2011, 743, 122. [Google Scholar] [CrossRef]
- Ishwara-Chandra, C.H.; Sirothia, S.K.; Wadadekar, Y.; Pal, S. High-Redshift Radio Galaxies from Deep Fields. J. Astrophys. Astron. 2011, 32, 609–612. [Google Scholar] [CrossRef]
- Singh, V.; Beelen, A.; Wadadekar, Y.; Sirothia, S.; Ishwara-Chandra, C.H.; Basu, A.; Omont, A.; McAlpine, K.; Ivison, R.J.; Oliver, S.; et al. Multiwavelength characterization of faint ultra steep spectrum radio sources: A search for high-redshift radio galaxies. Astron. Astrophys. 2014, 569, A52. [Google Scholar] [CrossRef]
- van Weeren, R.J.; Williams, W.L.; Tasse, C.; Röttgering, H.J.A.; Rafferty, D.A.; van der Tol, S.; Heald, G.; White, G.J.; Shulevski, A.; Best, P.; et al. LOFAR Low-band Antenna Observations of the 3C 295 and Boötes Fields: Source Counts and Ultra-steep Spectrum Sources. Astrophys. J. 2014, 793, 82. [Google Scholar] [CrossRef]
- Saxena, A.; Jagannathan, P.; Röttgering, H.J.A.; Best, P.N.; Intema, H.T.; Zhang, M.; Duncan, K.J.; Carilli, C.L.; Miley, G.K. A search for faint high-redshift radio galaxy candidates at 150 MHz. Mon. Not. R. Astron. Soc. 2018, 475, 5041–5058. [Google Scholar] [CrossRef]
- Reuland, M.; Röttgering, H.; van Breugel, W. SCUBA observations of high redshift radio galaxies. New Astron. Rev. 2003, 47, 303–307. [Google Scholar] [CrossRef][Green Version]
- Bornancini, C.G.; De Breuck, C.; de Vries, W.; Croft, S.; van Breugel, W.; Röttgering, H.; Minniti, D. Imaging and spectroscopy of ultrasteep spectrum radio sources. Mon. Not. R. Astron. Soc. 2007, 378, 551–562. [Google Scholar] [CrossRef]
- Bryant, J.J.; Johnston, H.M.; Broderick, J.W.; Hunstead, R.W.; De Breuck, C.; Gaensler, B.M. A new search for distant radio galaxies in the Southern hemisphere - III. Optical spectroscopy and analysis of the MRCR-SUMSS sample†. Mon. Not. R. Astron. Soc. 2009, 395, 1099–1120. [Google Scholar] [CrossRef]
- De Breuck, C.; Seymour, N.; Stern, D.; Willner, S.P.; Eisenhardt, P.R.M.; Fazio, G.G.; Galametz, A.; Lacy, M.; Rettura, A.; Rocca-Volmerange, B.; et al. The Spitzer High-redshift Radio Galaxy Survey. Astrophys. J. 2010, 725, 36–62. [Google Scholar] [CrossRef]
- George, S.J.; Stevens, I.R. Optical observations of Ultra Steep Spectrum radio sources. Bull. Astron. Soc. India 2011, 39, 539–545. [Google Scholar]
- Saxena, A.; Röttgering, H.J.A.; Duncan, K.J.; Hill, G.J.; Best, P.N.; Indahl, B.L.; Marinello, M.; Overzier, R.A.; Pentericci, L.; Prandoni, I.; et al. The nature of faint radio galaxies at high redshifts. Mon. Not. R. Astron. Soc. 2019, 489, 5053–5075. [Google Scholar] [CrossRef]
- De Breuck, C.; Tang, Y.; de Bruyn, A.G.; Röttgering, H.; van Breugel, W. A sample of ultra steep spectrum sources selected from the Westerbork In the Southern Hemisphere (WISH) survey. Astron. Astrophys. 2002, 394, 59–69. [Google Scholar] [CrossRef][Green Version]
- Dey, A.; Schlegel, D.J.; Lang, D.; Blum, R.; Burleigh, K.; Fan, X.; Findlay, J.R.; Finkbeiner, D.; Herrera, D.; Juneau, S.; et al. Overview of the DESI Legacy Imaging Surveys. Astron. J. 2019, 157, 168. [Google Scholar] [CrossRef]
- Cutri, R.M.; Wright, E.L.; Conrow, T.; Fowler, J.W.; Eisenhardt, P.R.M.; Grillmair, C.; Kirkpatrick, J.D.; Masci, F.; McCallon, H.L.; Wheelock, S.L.; et al. VizieR Online Data Catalog: AllWISE Data Release (Cutri+ 2013). 2013. Available online: https://ui.adsabs.harvard.edu/abs/2014yCat.2328....0C/abstract (accessed on 1 October 2021).
- Knowles, K.; Cotton, W.D.; Rudnick, L.; Camilo, F.; Goedhart, S.; Deane, R.; Ramatsoku, M.; Bietenholz, M.F.; Brüggen, M.; Button, C.; et al. The MeerKAT Galaxy Cluster Legacy Survey: I—Overview and Highlights. arXiv 2021. arXiv:2110.14986. Available online: https://arxiv.org/pdf/2111.05673.pdf (accessed on 1 October 2021).
- Mohan, N.; Rafferty, D. PyBDSF: Python Blob Detection and Source Finder. 2015. Available online: http://xxx.lanl.gov/abs/1502.007. (accessed on 1 October 2021).
- Condon, J.J. Errors in Elliptical Gaussian Fits. Publ. Astron. Soc. Pac. 1997, 109, 166–172. [Google Scholar] [CrossRef]
- Sutherland, W.; Saunders, W. On the likelihood ratio for source identification. Mon. Not. R. Astron. Soc. 1992, 259, 413–420. [Google Scholar] [CrossRef]
- Ciliegi, P.; Zamorani, G.; Hasinger, G.; Lehmann, I.; Szokoly, G.; Wilson, G. A deep VLA survey at 6 cm in the Lockman Hole. Astron. Astrophys. 2003, 398, 901–918. [Google Scholar] [CrossRef]
- Georgakakis, A.; Coil, A.L.; Laird, E.S.; Griffith, R.L.; Nandra, K.; Lotz, J.M.; Pierce, C.M.; Cooper, M.C.; Newman, J.A.; Koekemoer, A.M. Host galaxy morphologies of X-ray selected AGN: Assessing the significance of different black hole fuelling mechanisms to the accretion density of the Universe at z∼1. Mon. Not. R. Astron. Soc. 2009, 397, 623–633. [Google Scholar] [CrossRef]
- Mauch, T.; Murphy, T.; Buttery, H.J.; Curran, J.; Hunstead, R.W.; Piestrzynski, B.; Robertson, J.G.; Sadler, E.M. SUMSS: A wide-field radio imaging survey of the southern sky—II. The source catalogue. Mon. Not. R. Astron. Soc. 2003, 342, 1117–1130. [Google Scholar] [CrossRef]
- Lacy, M.; Baum, S.A.; Chandler, C.J.; Chatterjee, S.; Clarke, T.E.; Deustua, S.; English, J.; Farnes, J.; Gaensler, B.M.; Gugliucci, N.; et al. The Karl G. Jansky Very Large Array Sky Survey (VLASS). Science Case and Survey Design. Publ. Astron. Soc. Pac. 2020, 132, 035001. [Google Scholar] [CrossRef]
- Helou, G.; Madore, B.F.; Schmitz, M.; Bicay, M.D.; Wu, X.; Bennett, J. The NASA/IPAC extragalactic database. In Databases and On-Line Data in Astronomy; Albrecht, M.A., Egret, D., Eds.; Astrophysics and Space Science Library; Springer: Berlin, Germany, 1991; Volume 171, pp. 89–106. [Google Scholar] [CrossRef]
- Bakx, T.J.L.C.; Eales, S.A.; Negrello, M.; Smith, M.W.L.; Valiante, E.; Holland, W.S.; Baes, M.; Bourne, N.; Clements, D.L.; Dannerbauer, H.; et al. The Herschel Bright Sources (HerBS): Sample definition and SCUBA-2 observations. Mon. Not. R. Astron. Soc. 2018, 473, 1751–1773. [Google Scholar] [CrossRef]
- Ochsenbein, F.; Bauer, P.; Marcout, J. The VizieR database of astronomical catalogues. Astron. Astrophys. Suppl. Ser. 2000, 143, 23–32. [Google Scholar] [CrossRef]
- Flesch, E.W. VizieR Online Data Catalog: The Million Quasars (Milliquas) catalogue, version 7.2 (Flesch, 2021). VizieR Online Data Cat 2021, VII/290. Available online: https://ui.adsabs.harvard.edu/abs/2021yCat.7290....0F/abstract (accessed on 1 October 2021).


| Step No. | Selection | Number of Sources | Fraction |
|---|---|---|---|
| 0 | Compact MGCLS sources | 3610 | 100% |
| 1a | 5 SNR limit | 1700 | 47% |
| 1b | <10″ angular size limit | 1414 | 39% |
| 2a | Cross-match: DECaLS | 587 | 16% |
| 2b | Cross-match: AllWISE | 415 | 11% |
| 3 | 231 (109) | 6 (3)% | |
| 4 | Manual cross-checks | 179 (95) | 5 (∼3)% |
| Source ID | RA | Dec. | ||||||
|---|---|---|---|---|---|---|---|---|
| (deg) | (deg) | (mJy) | (mJy) | (arcsec) | (arcsec) | (deg) | ||
| MKTCS J001349.00-314001.7 | 3.4542 | −31.6672 | 0.351 | 0.025 | 8.4 | 7.9 | 120 | −1.86 |
| MKTCS J001349.01-305328.5 | 3.4542 | −30.8913 | 0.295 | 0.039 | 9.5 | 7.8 | 118 | −2.65 |
| MKTCS J001349.46-314127.3 | 3.4561 | −31.6909 | 0.168 | 0.033 | 9.6 | 9.2 | 127 | |
| MKTCS J001350.21-305923.4 | 3.4592 | −30.9898 | 0.268 | 0.031 | 8.5 | 7.7 | 123 | −1.32 |
| MKTCS J001351.03-315758.6 | 3.4627 | −31.9663 | 0.475 | 0.042 | 9.0 | 8.2 | 128 | −2.63 |
| MKTCS J001351.62-311725.8 | 3.4651 | −31.2905 | 0.157 | 0.025 | 9.0 | 8.1 | 105 | −3.25 |
| MKTCS J001358.51-310818.0 | 3.4938 | −31.1384 | 0.215 | 0.031 | 10.0 | 8.1 | 75 | −2.71 |
| MKTCS J001359.59-312348.2 | 3.4983 | −31.3967 | 0.140 | 0.025 | 9.5 | 8.7 | 59 | −2.09 |
| MKTCS J001359.64-314617.2 | 3.4985 | −31.7715 | 0.172 | 0.030 | 9.1 | 8.1 | 77 | |
| MKTCS J001359.80-305256.1 | 3.4992 | −30.8823 | 3.288 | 0.032 | 7.9 | 7.4 | 96 | −1.07 |
Publisher’s Note: MDPI stays neutral with regard to jurisdictional claims in published maps and institutional affiliations. |
© 2021 by the authors. Licensee MDPI, Basel, Switzerland. This article is an open access article distributed under the terms and conditions of the Creative Commons Attribution (CC BY) license (https://creativecommons.org/licenses/by/4.0/).
Share and Cite
Knowles, K.; Manaka, S.; Bietenholz, M.F.; Cotton, W.D.; Hilton, M.; Kolokythas, K.; Loubser, S.I.; Oozeer, N. Searching for High-z Radio Galaxies with the MGCLS. Galaxies 2021, 9, 89. https://doi.org/10.3390/galaxies9040089
Knowles K, Manaka S, Bietenholz MF, Cotton WD, Hilton M, Kolokythas K, Loubser SI, Oozeer N. Searching for High-z Radio Galaxies with the MGCLS. Galaxies. 2021; 9(4):89. https://doi.org/10.3390/galaxies9040089
Chicago/Turabian StyleKnowles, Kenda, Sinah Manaka, Michael F. Bietenholz, William D. Cotton, Matthew Hilton, Konstantinos Kolokythas, S. Ilani Loubser, and Nadeem Oozeer. 2021. "Searching for High-z Radio Galaxies with the MGCLS" Galaxies 9, no. 4: 89. https://doi.org/10.3390/galaxies9040089
APA StyleKnowles, K., Manaka, S., Bietenholz, M. F., Cotton, W. D., Hilton, M., Kolokythas, K., Loubser, S. I., & Oozeer, N. (2021). Searching for High-z Radio Galaxies with the MGCLS. Galaxies, 9(4), 89. https://doi.org/10.3390/galaxies9040089

