Rotational Disruption of Astrophysical Dust and Ice—Theory and Applications
Abstract
1. Introduction
2. Destruction Mechanisms of Astrophysical Dust
2.1. Thermal Sublimation
2.2. Coulomb Explosions and Ion Field Emission
2.3. Thermal and Nonthermal Sputtering
2.4. Grain Shattering
3. Rotational Disruption of Dust Grains by Radiative Torques
3.1. Radiative Torques of Irregular Grains
3.2. Suprathermal Rotation of Dust Grains Induced by RATs
3.2.1. Rotational Damping
3.2.2. Maximum Grain Angular Velocity Spun-Up by RATs
3.3. Centrifugal Stress Due to Grain Rotation
3.4. Tensile Strength of Dust
3.5. Grain Disruption Size and Disruption Time
3.6. Example of RATD by a Point Radiation Source
4. Rotational Desorption of Ice Mantles by Radiative Torques
4.1. Rotational Desorption of Ice Mantles and Molecule Desorption
4.2. Ro-Thermal Desorption of Molecules from Ice Mantles
5. Rotational Disruption of Nanoparticles by Stochastic Mechanical Torques
5.1. Low-Energy Regime
5.1.1. Mechanical Torque Disruption (METD) Mechanism
5.1.2. Slowing-Down Time by Gas Drag Force
5.2. High-Energy Regime
5.3. Grain Disruption Sizes Vs. Grain Velocity
6. Effects of Rotational Disruption on Dust Extinction, Emission, and Polarization
6.1. Grain Size Distribution From RATD
6.2. Dust Extinction and Starlight Polarization
6.3. Thermal Emission and Polarized Emission
6.4. Microwave Emission from Spinning Nanoparticles
7. Applications of RATD in Astrophysics
7.1. Effect of RATD on Dust Evolution in the Interstellar Medium
7.2. Constraining Grain Internal Structures With Observations
7.3. Effect of RATD on Colors and Light-Curves of Cosmic Transients
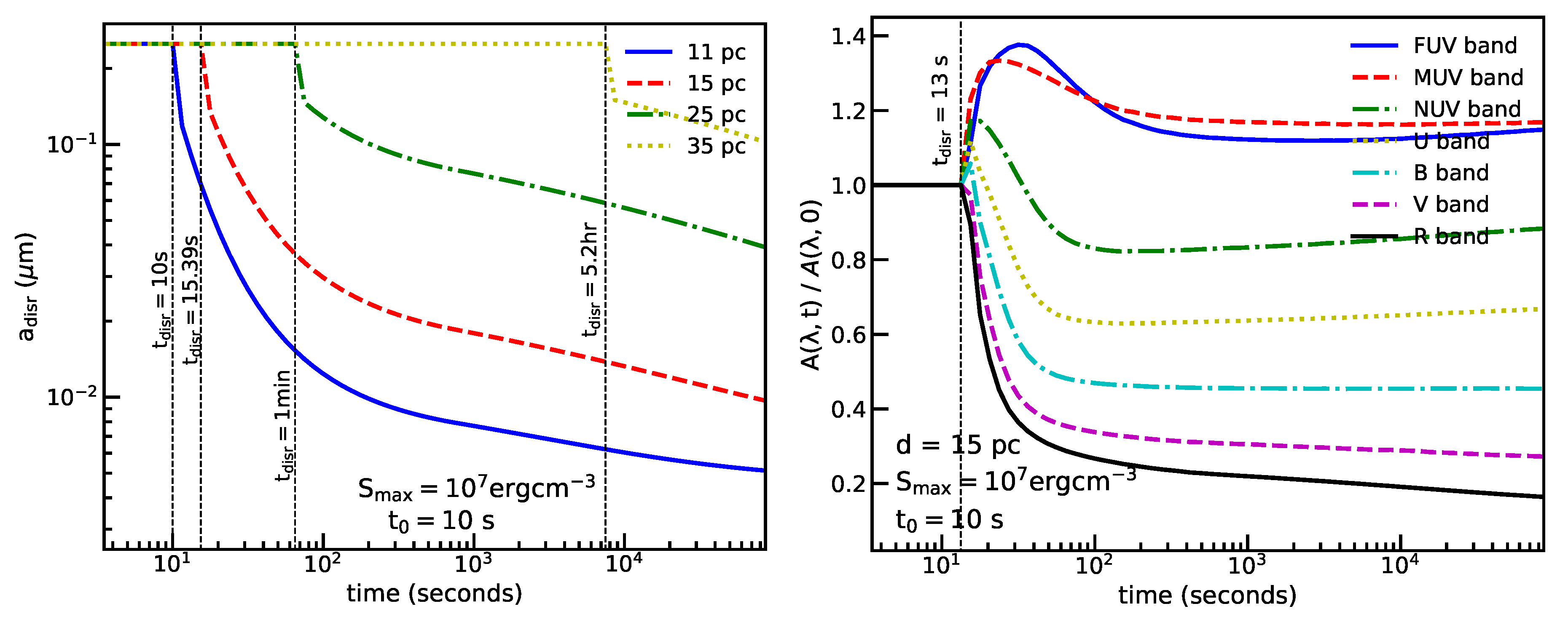
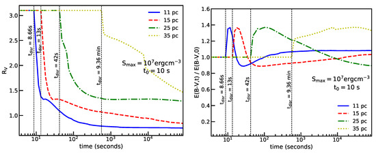
7.3.1. Type Ia Supernovae
7.3.2. GRB Afterglows
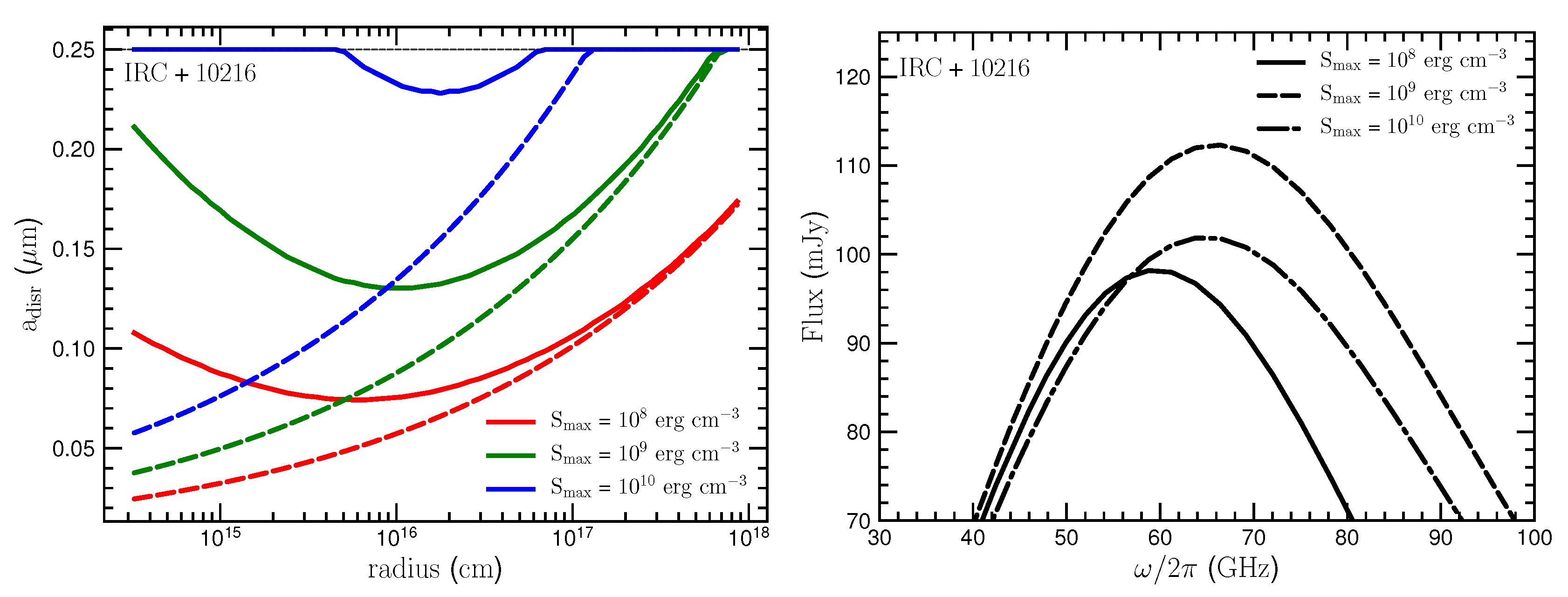
7.4. Circumstellar Envelopes of AGB Stars
7.5. Rotational Disruption of Dust and Ice in Protoplanetary Disks
7.6. Circumsolar Dust and The F-Corona
7.7. Rotational Desorption of Ice in Star-Forming Regions Around Ysos
7.8. Rotational Disruption of Nanoparticles in C- and CJ-Shocks
8. Discussion
8.1. Radiative Torques of Irregular Grains
8.2. Ubiquitous Application of Rotational Disruption by Radiative Torques
8.3. Relationship between Rotational Disruption and Grain Alignment
8.4. Dust in the Time-Domain Astronomy Era
8.5. Astrochemistry on Rotating Grain Surfaces
8.6. Dust Polarization and Molecular Tracer
9. Conclusions and Outlook
- Radiative torques are a fundamental property of dust-radiation interaction. Dust grains could be spun up to suprathermal rotation by RATs such that resulting centrifugal stress exceeds the tensile strength of grain material, resulting in the disruption of grains into fragments. Because the RATD mechanism does not require an intense radiation field to be effective, it has ubiquitous application for most astrophysical environments, from the diffuse ISM to star-forming regions, protoplanetary disks, circumstellar regions, and high-z galaxies (see Section 7).
- The RATD mechanism could successfully explain some longstanding puzzles in astrophysics, including the anomalous dust properties observed toward SNe Ia and H II regions around massive stars, steep extinction curves toward GRBs, and microwave emission excess in AGB envelopes.
- The RATD mechanism changes the grain size distribution and abundance, which affects many astrophysical observations, including dust extinction, emission, and polarization. This RATD mechanism thus opens a new dimension into dust physics and offers new diagnostics of astrophysical phenomena. For instance, one of the longstanding puzzles of astrophysical dust is its internal structure, that is, compact vs. fluffy/composite vs. core-mantle. The RATD provides a theoretical basis for probing the internal structure of dust grains.
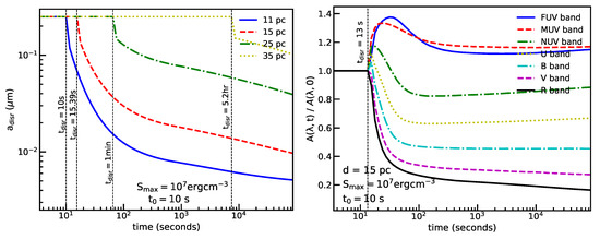
- In the time-domain astronomy era, intrinsic light-curves and colors of astrophysical transients are required to understand progenitors, explosion mechanisms, and transient’s environments. In light of the RATD effect, the rapid variation of grain size distribution on a timescale of minutes or days results in the decrease of optical-NIR dust extinction, but the increase of UV extinction. This reduces the value of and color observed toward transients. Thus, the effect of time-varying dust properties by RATD must be considered for accurate transient astrophysics.
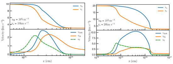
- The centrifugal force arising from grain suprathermal rotation induced by RATs plays a crucial role in ice evolution. It can desorb ice mantles from the grain surface in star-forming and photodissociation regions. Moreover, water ice can be desorbed with the expense of smaller energy compared to thermal sublimation. As a result, the snow-line in the protoplanetary disk is pushed outward compared to the classical snow-line.
- Suprathermal rotation by RATs plays a critical role in surface astrochemistry in star-forming and photodissociation regions. It is found that suprathermal rotation can assist thermal desorption of molecules from the ice mantle, enabling molecule desorption at temperatures , lower than classical thermal sublimation thresholds. The mobility of adsorbed molecules on the surface could also be enhanced, increasing molecule formation rate. This could dramatically change the current paradigm of surface astrochemistry, where grain rotation is disregarded.
- Nanoparticles can be spun-up to suprathermal rotation by the relative supersonic motion of dust and gas. As a result, the smallest nanoparticles can be disrupted by centrifugal stress due to their small inertia moment. The METD mechanism is efficient in magnetized shocks and grains drifting through the gas by radiation pressure.
- In addition to optical-IR wavelengths, rotational disruption also affects microwave emission via the spinning dust mechanism. Nanoparticles play an important role in gas heating and dynamics, shock dynamics. Thus, observations in microwave are unique to trace nanoparticles and test the RATD and METD mechanisms.
Funding
Acknowledgments
Conflicts of Interest
Abbreviations
| NIR | Near-infrared |
| FIR | Far-infrared |
| AMO | Analytical MOdel |
| DDA | Discrete Dipole Approximation |
| DDSCAT | Discrete Dipole Scattering |
| ISM | Interstellar Medium |
| ISRF | Interstellar Radiation Field |
| RATs | RAdiative Torques |
| RATA | RAdiative Torque Alignment |
| RATD | RAdiative Torque Disruption |
| ROTD | Rotational Desorption |
| METD | MEchanical Torque Disruption |
| COM | Complex Organic Molecule |
| SNIa | Type Ia Supernova |
| CCSN | Core-Collapse Supernova |
| GRB | Gamma-Ray Burst |
| MC | Molecular Cloud |
| SMC | Small Magellanic Cloud |
| PDR | Photodissociation Region |
| YSO | Young Stellar Object |
| YMSC | Young Massive Stellar Cluster |
| PPD | Protoplanetary disk |
| AGN | Active Galactic Nuclei |
| AGB | Asymptotic Giant Branch |
| CSE | Circumstellar Envelope |
| PSP | Parker Solar Probe |
| VSG | Very Small Grain |
| PAH | Polycyclic Aromatic Hydrocarbon |
Appendix A
| Notation | Meaning |
|---|---|
| a | grain radius |
| grain mass density | |
| mass density of ice | |
| grain mass | |
| inertia momentum around the axis of maximum moment of inertia | |
| extinction efficiency | |
| absorption efficiency | |
| polarization efficiency | |
| proton number density | |
| proton column number density | |
| proton mass | |
| gas temperature | |
| dust grain temperature | |
| rotational damping time by gas collisions | |
| rotational damping time by infrared emission | |
| dimensionless coefficient of IR rotational damping | |
| radiation wavelength | |
| specific energy density of the radiation field | |
| mean wavelength of the radiation spectrum | |
| anisotropy degree of the radiation field | |
| Planck function | |
| dust extinction | |
| color excess | |
| ratio of total-to-selective extinction | |
| polarization of starlight by dust extinction | |
| maximum value of | |
| peak wavelength of at the maximum polarization | |
| polarization of thermal dust emission | |
| L | bolometric luminosity |
| radiation energy density | |
| radiation energy density of the ISRF | |
| radiation strength | |
| Radiative Torque (RAT) | |
| RAT efficiency | |
| grain angular velocity | |
| grain thermal angular velocity | |
| maximum grain angular momentum spun-up by RATs | |
| critical angular velocity for rotational disruption | |
| sublimation temperature | |
| sublimation radius | |
| maximum tensile strength of grain material | |
| grain disruption size by RATD | |
| maximum grain disruption size by RATD | |
| grain desorption size of ice mantles | |
| maximum grain desorption size of mantles | |
| drift velocity of grains through the gas | |
| dust grain velocity relative to gas | |
| gas thermal velocity | |
| dimensionless drift parameter | |
| relative grain velocity | |
| gas drag force | |
| sputtering yield | |
| mean atomic mass of sputtered atoms | |
| radius of the Sun | |
| R | heliocentric distance from the Sun |
| Notation | Meaning |
|---|---|
| binding energy of molecules to the grain surface | |
| characteristic vibration frequency of molecules on the icy grain mantle | |
| B | magnetic field strength |
| shock speed | |
| velocity of neutrals and ions in shocks | |
| electric dipole moment per structure | |
| electric dipole moment of a grain | |
| electric dipole damping time | |
| grain rotational temperature | |
| grain size distribution | |
| minimum grain size or lower cutoff of the grain size distribution | |
| maximum grain size or upper cutoff of the grain size distribution | |
| frequency of radiation | |
| emission power by a nanoparticle spinning at | |
| rotational emissivity from a spinning nanoparticle of size a | |
| rotational emissivity from all nanoparticles |
References
- Draine, B.T. Interstellar Dust Grains. Annu. Rev. Astron. Astrophys. 2003, 41, 241–289. [Google Scholar] [CrossRef]
- Herbst, E.; van Dishoeck, E.F. Complex Organic Interstellar Molecules. Annu. Rev. Astron. Astrophys. 2009, 47, 427–480. [Google Scholar] [CrossRef]
- Hama, T.; Watanabe, N. Surface Processes on Interstellar Amorphous Solid Water: Adsorption, Diffusion, Tunneling Reactions, and Nuclear-Spin Conversion. Chem. Rev. 2013, 113, 8783–8839. [Google Scholar] [CrossRef]
- Andersson, B.G.; Lazarian, A.; Vaillancourt, J.E. Interstellar Dust Grain Alignment. Annu. Rev. Astron. Astrophys. 2015, 53, 501–539. [Google Scholar] [CrossRef]
- Lazarian, A.; Andersson, B.G.; Hoang, T. Grain alignment: Role of radiative torques and paramagnetic relaxation. In Polarimetry of Stars and Planetary Systems; Kolokolova, L., Hough, J., Levasseur-Regourd, A.C., Eds.; Cambridge Univ. Press: New York, NY, USA, 2015; p. 81. [Google Scholar]
- Kamionkowski, M.; Kovetz, E.D. The Quest for B Modes from Inflationary Gravitational Waves. Annu. Rev. Astron. Astrophys. 2016, 54, 227–269. [Google Scholar] [CrossRef]
- Zhukovska, S.; Henning, T. Dust input from AGB stars in the Large Magellanic Cloud. Astron. Astrophys. 2013, 555, A99. [Google Scholar] [CrossRef]
- Sarangi, A.; Matsuura, M.; Micelotta, E.R. Dust In Supernovae And Supernova Remnants. Space Sci. Rev. 2018, 214, 63. [Google Scholar] [CrossRef]
- Zhukovska, S.; Dobbs, C.; Jenkins, E.B.; Klessen, R.S. Modeling Dust Evolution in Galaxies with a Multiphase, Inhomogeneous ISM. Astrophys. J. 2016, 831, 147. [Google Scholar] [CrossRef]
- Jones, A.P. Dust Destruction Processes. Astrophys. Dust 2004, 309, 347. [Google Scholar]
- Draine, B.T.; Salpeter, E.E. Destruction mechanisms for interstellar dust. Astrophys. J. 1979, 231, 438–455. [Google Scholar] [CrossRef]
- Tielens, A.G.G.M.; McKee, C.F.; Seab, C.G.; Hollenbach, D.J. The physics of grain-grain collisions and gas-grain sputtering in interstellar shocks. Astrophys. J. 1994, 431, 321–340. [Google Scholar] [CrossRef]
- Jones, A.P.; Tielens, A.G.G.M.; Hollenbach, D.J.; McKee, C.F. Grain destruction in shocks in the interstellar medium. Astrophys. J. 1994, 433, 797–810. [Google Scholar] [CrossRef]
- Weingartner, J.C.; Draine, B.T.; Barr, D.K. Photoelectric Emission from Dust Grains Exposed to Extreme Ultraviolet and X-Ray Radiation. Astrophys. J. 2006, 645, 1188–1197. [Google Scholar] [CrossRef]
- Hoang, T.; Lazarian, A.; Schlickeiser, R. On Origin and Destruction of Relativistic Dust and its Implication for Ultrahigh Energy Cosmic Rays. Astrophys. J. 2015, 806, 255. [Google Scholar] [CrossRef]
- Mathis, J.S.; Mezger, P.G.; Panagia, N. Interstellar radiation field and dust temperatures in the diffuse interstellar matter and in giant molecular clouds. Astron. Astrophys. 1983, 128, 212–229. [Google Scholar]
- Draine, B.T. Physics of the Interstellar and Intergalactic Medium; Princeton Univ. Press: Princeton, NJ, USA, 2011. [Google Scholar]
- Phillips, M.M.; Simon, J.D.; Morrell, N.; Burns, C.R.; Cox, N.L.J.; Foley, R.J.; Karakas, A.I.; Patat, F.; Sternberg, A.; Williams, R.E.; et al. On the Source of the Dust Extinction in Type Ia Supernovae and the Discovery of Anomalously Strong Na I Absorption. Astrophys. J. 2013, 779, 38. [Google Scholar] [CrossRef]
- Burns, C.R.; Stritzinger, M.; Phillips, M.M.; Hsiao, E.Y.; Contreras, C.; Persson, S.E.; Folatelli, G.; Boldt, L.; Campillay, A.; Castellón, S.; et al. The Carnegie Supernova Project: Intrinsic Colors of Type Ia Supernovae. Astrophys. J. 2014, 789, 32. [Google Scholar] [CrossRef]
- Amanullah, R.; Johansson, J.; Goobar, A.; Ferretti, R.; Papadogiannakis, S.; Petrushevska, T.; Brown, P.J.; Cao, C.; Contreras, C.; Dahle, H.; et al. Diversity in extinction laws of Type Ia supernovae measured between 0.2 and 2 μm. Mon. Not. R. Astron. Soc. 2015, 453, 3300–3328. [Google Scholar] [CrossRef]
- Cikota, A.; Deustua, S.; Marleau, F. Determining Type Ia Supernova Host Galaxy Extinction Probabilities and a Statistical Approach to Estimating the Absorption-to-reddening Ratio RV. Astrophys. J. 2016, 819, 152. [Google Scholar] [CrossRef]
- Nozawa, T. Properties of interstellar dust responsible for extinction laws with unusually low total-to-selective extinction ratios of RV = 1–2. Planet. Space Sci. 2016, 133, 36–46. [Google Scholar] [CrossRef]
- Hoang, T. Properties and Alignment of Interstellar Dust Grains toward Type Ia Supernovae with Anomalous Polarization Curves. Astrophys. J. 2017, 836, 13. [Google Scholar] [CrossRef]
- Dolginov, A.Z.; Mitrofanov, I.G. Orientation of cosmic dust grains. Astrophys. Space Sci. 1976, 43, 291–317. [Google Scholar] [CrossRef]
- Spitzer, L. On the Origin of Heavy Cosmic-Ray Particles. Phys. Rev. 1949, 76, 583. [Google Scholar] [CrossRef]
- Hoang, T. Relativistic Gas Drag on Dust Grains and Implications. Astrophys. J. 2017, 847, 77. [Google Scholar] [CrossRef]
- Draine, B.T.; Weingartner, J.C. Radiative Torques on Interstellar Grains. I. Superthermal Spin-up. Astrophys. J. 1996, 470, 551. [Google Scholar] [CrossRef]
- Abbas, M.M.; Craven, P.D.; Spann, J.F.; Tankosic, D.; LeClair, A.; Gallagher, D.L.; West, E.A.; Weingartner, J.C.; Witherow, W.K.; Tielens, A.G.G.M. Laboratory Experiments on Rotation and Alignment of the Analogs of Interstellar Dust Grains by Radiation. Astrophys. J. 2004, 614, 781–795. [Google Scholar] [CrossRef]
- Lazarian, A.; Hoang, T. Radiative torques: Analytical model and basic properties. Mon. Not. R. Astron. Soc. 2007, 378, 910–946. [Google Scholar] [CrossRef]
- Hoang, T.; Lazarian, A. Radiative torque alignment: Essential physical processes. Mon. Not. R. Astron. Soc. 2008, 388, 117–143. [Google Scholar] [CrossRef]
- Hoang, T.; Lazarian, A. Radiative Torques Alignment in the Presence of Pinwheel Torques. Astrophys. J. 2009, 695, 1457–1476. [Google Scholar] [CrossRef]
- Herranen, J.; Lazarian, A.; Hoang, T. Radiative Torques of Irregular Grains: Describing the Alignment of a Grain Ensemble. Astrophys. J. 2019, 878, 96. [Google Scholar] [CrossRef]
- Hoang, T.; Tram, L.N.; Lee, H.; Ahn, S.H. Rotational disruption of dust grains by radiative torques in strong radiation fields. Nat. Astron. 2019, 3, 766–775. [Google Scholar] [CrossRef]
- Hoang, T. A Dynamical Constraint on Interstellar Dust Models from Radiative Torque Disruption. Astrophys. J. 2019, 876, 13. [Google Scholar] [CrossRef]
- Purcell, E.M. Suprathermal rotation of interstellar grains. Astrophys. J. 1979, 231, 404–416. [Google Scholar] [CrossRef]
- Silsbee, K.; Draine, B.T. Radiation Pressure on Fluffy Submicron-sized Grains. Astrophys. J. 2016, 818, 133. [Google Scholar] [CrossRef]
- Gold, T. The alignment of galactic dust. Mon. Not. R. Astron. Soc. 1952, 112, 215. [Google Scholar] [CrossRef]
- Lazarian, A.; Hoang, T. Subsonic Mechanical Alignment of Irregular Grains. Astrophys. J. 2007, 669, L77–L80. [Google Scholar] [CrossRef]
- Hoang, T.; Cho, J.; Lazarian, A. Alignment of Irregular Grains by Mechanical Torques. Astrophys. J. 2018, 852, 129. [Google Scholar] [CrossRef]
- Draine, B.T. Interstellar shock waves with magnetic precursors. Astrophys. J. 1980, 241, 1021–1038. [Google Scholar] [CrossRef]
- Hoang, T.; Tram, L.N. Dust Rotational Dynamics in C-shocks: Rotational Disruption of Nanoparticles by Stochastic Mechanical Torques and Spinning Dust Emission. Astrophys. J. 2019, 877, 36. [Google Scholar] [CrossRef]
- Tram, L.N.; Hoang, T. Dust Rotational Dynamics in Nonstationary Shock: Rotational Disruption of Nanoparticles by Stochastic Mechanical Torques and Spinning Dust Emission. Astrophys. J. 2019, 886, 44. [Google Scholar] [CrossRef]
- Hoang, T.; Lee, H. Rotational Disruption of Dust Grains by Mechanical Torques for High-velocity Gas. Astrophys. J. 2020, 896, 144. [Google Scholar] [CrossRef]
- Hoang, T.; Tram, L.N. Rotational Desorption of Ice Mantles from Suprathermally Rotating Grains around Young Stellar Objects. Astrophys. J. 2020, 891, 38. [Google Scholar] [CrossRef]
- Hoang, T.; Tung, N.D. Chemistry on Rotating Grain Surfaces: Ro-thermal Desorption of Molecules from Ice Mantles. Astrophys. J. 2019, 885, 125. [Google Scholar] [CrossRef]
- Guhathakurta, P.; Draine, B.T. Temperature fluctuations in interstellar grains. I - Computational method and sublimation of small grains. Astrophys. J. 1989, 345, 230–244. [Google Scholar] [CrossRef]
- Waxman, E.; Draine, B.T. Dust Sublimation by Gamma-ray Bursts and Its Implications. Astrophys. J. 2000, 537, 796–802. [Google Scholar] [CrossRef]
- Scoville, N.; Norman, C. Stellar Contrails in Quasi-stellar Objects: The Origin of Broad Absorption Lines. Astrophys. J. 1995, 451, 510. [Google Scholar] [CrossRef]
- Tsong, T.T.; Müller, E.W. Field evaporation rates of tungsten. Phys. Status Solidi (a) 1970, 1, 513–533. [Google Scholar] [CrossRef]
- Bohdansky, J. A universal relation for the sputtering yield of monatomic solids at normal ion incidence. Nuclear Instrum. Methods Phys. Res. Sect. B Beam Interact. Mater. Atoms 1984, 2, 587–591. [Google Scholar] [CrossRef]
- Chokshi, A.; Tielens, A.G.G.M.; Hollenbach, D. Dust coagulation. Astrophys. J. 1993, 407, 806. [Google Scholar] [CrossRef]
- Jones, A.P.; Tielens, A.G.G.M.; Hollenbach, D.J. Grain Shattering in Shocks: The Interstellar Grain Size Distribution. Astrophys. J. 1996, 469, 740. [Google Scholar] [CrossRef]
- Bethell, T.J.; Chepurnov, A.; Lazarian, A.; Kim, J. Polarization of Dust Emission in Clumpy Molecular Clouds and Cores. Astrophys. J. 2007, 663, 1055–1068. [Google Scholar] [CrossRef][Green Version]
- Draine, B.T.; Flatau, P.J. User Guide for the Discrete Dipole Approximation Code DDSCAT 6.1. arXiv 2004, arXiv:0309069. [Google Scholar]
- Hoang, T.; Lazarian, A. Grain alignment by radiative torques in special conditions and implications. Mon. Not. R. Astron. Soc. 2014, 438, 680–703. [Google Scholar] [CrossRef]
- Draine, B.T.; Lazarian, A. Electric Dipole Radiation from Spinning Dust Grains. Astrophys. J. 1998, 508, 157–179. [Google Scholar] [CrossRef]
- Hoang, T.; Draine, B.T.; Lazarian, A. Improving the Model of Emission from Spinning Dust: Effects of Grain Wobbling and Transient Spin-up. Astrophys. J. 2010, 715, 1462–1485. [Google Scholar] [CrossRef]
- Hoang, T.; Lazarian, A.; Draine, B.T. Spinning Dust Emission: Effects of Irregular Grain Shape, Transient Heating, and Comparison with Wilkinson Microwave Anisotropy Probe Results. Astrophys. J. 2011, 741, 87. [Google Scholar] [CrossRef]
- Lazarian, A.; Draine, B.T. Nuclear Spin Relaxation within Interstellar Grains. Astrophys. J. 1999, 520, L67–L70. [Google Scholar] [CrossRef]
- Hoang, T.; Lazarian, A. Grain Alignment Induced by Radiative Torques: Effects of Internal Relaxation of Energy and Complex Radiation Field. Astrophys. J. 2009, 697, 1316–1333. [Google Scholar] [CrossRef]
- Burke, J.R.; Silk, J. Dust Grains in a Hot Gas. Basic Physics. Astrophys. J. 1974, 190, 1–10. [Google Scholar] [CrossRef]
- Mathis, J.S.; Whiffen, G. Composite interstellar grains. Astrophys. J. 1989, 341, 808–822. [Google Scholar] [CrossRef]
- Greenberg, J.M.; Mizutani, H.; Yamamoto, T. A new derivation of the tensile strength of cometary nuclei: Application to comet Shoemaker-Levy 9. Astron. Astrophys. 1995, 295, L35–L38. [Google Scholar]
- Li, A.; Greenberg, J.M. A unified model of interstellar dust. Astron. Astrophys. 1997, 323, 566–584. [Google Scholar]
- Guillet, V.; Fanciullo, L.; Verstraete, L.; Boulanger, F.; Jones, A.P.; Miville-Deschênes, M.A.; Ysard, N.; Levrier, F.; Alves, M. Dust models compatible with Planck intensity and polarization data in translucent lines of sight. Astron. Astrophys. 2018, 610, A16. [Google Scholar] [CrossRef]
- Tatsuuma, M.; Kataoka, A.; Tanaka, H. Tensile Strength of Porous Dust Aggregates. Astrophys. J. 2019, 874, 159. [Google Scholar] [CrossRef]
- Hoang, T.; Loeb, A.; Lazarian, A.; Cho, J. Spinup and Disruption of Interstellar Asteroids by Mechanical Torques, and Implications for 1I. Astrophys. J. 2018, 860, 42. [Google Scholar] [CrossRef]
- Mathis, J.S.; Rumpl, W.; Nordsieck, K.H. The size distribution of interstellar grains. Astrophys. J. 1977, 217, 425. [Google Scholar] [CrossRef]
- Kim, S.H.; Martin, P.G. The size distribution of interstellar dust particles as determined from polarization: Spheroids. Astrophys. J. 1995, 444, 293–305. [Google Scholar] [CrossRef]
- Draine, B.T.; Fraisse, A.A. Polarized Far-Infrared and Submillimeter Emission from Interstellar Dust. Astrophys. J. 2009, 696, 1–11. [Google Scholar] [CrossRef]
- Ossenkopf, V. Dust coagulation in dense molecular clouds: The formation of fluffy aggregates. Astron. Astrophys. 1993, 280, 617. [Google Scholar]
- Whittet, D.C.B.; Bode, M.F.; Longmore, A.J.; Baines, D.W.T.; Evans, A. Interstellar ice grains in the Taurus molecular clouds. Nature 1983, 303, 218–221. [Google Scholar] [CrossRef]
- Chrysostomou, A.; Hough, J.H.; Whittet, D.C.B.; Aitken, D.K.; Roche, P.F.; Lazarian, A. Interstellar Polarization from CO and XCN Mantled Grains: A Severe Test for Grain Alignment Mechanisms. Astrophys. J. Lett. 1996, 465, L61. [Google Scholar] [CrossRef]
- Whittet, D.C.B.; Hough, J.H.; Lazarian, A.; Hoang, T. The Efficiency of Grain Alignment in Dense Interstellar Clouds: A Reassessment of Constraints from Near-Infrared Polarization. Astrophys. J. 2008, 674, 304–315. [Google Scholar] [CrossRef]
- Greenberg, J. The Core-Mantle Model of Interstellar Grains and the Cosmic Dust Connection. In Interstellar Dust: Proceedings of the 135th Symposium of the International Astronomical Union; Cambridge University Press: Cambridge, UK, 1989; pp. 345–356. [Google Scholar]
- Litwin, K.L.; Zygielbaum, B.R.; Polito, P.J.; Sklar, L.S.; Collins, G.C. Influence of temperature, composition, and grain size on the tensile failure of water ice: Implications for erosion on Titan. J. Geophys. Res. Planets 2012, 117. [Google Scholar] [CrossRef]
- Itagaki, K. Mechanical Ice Release Processes. Part 1: Self-Shedding of Accreted Ice from High Speed Rotors; CRREL-83-26; US Army Cold Regions Research and Engineering Laboratory: Hanover, NH, USA, 1983. [Google Scholar]
- Work, A.; Lian, Y. A critical review of the measurement of ice adhesion to solid substrates. Prog. Aerosp. Sci. 2018, 98, 1–26. [Google Scholar]
- Roberge, W.G.; Lazarian, A. Davis-Greenstein alignment of oblate spheroidal grains. Mon. Not. R. Astron. Soc. 1999, 305, 615–630. [Google Scholar] [CrossRef]
- Watson, W.D.; Salpeter, E.E. Molecule Formation on Interstellar Grains. Astrophys. J. 1972, 174, 321. [Google Scholar] [CrossRef]
- Leger, A.; Jura, M.; Omont, A. Desorption from interstellar grains. Astron. Astrophys. 1985, 144, 147–160. [Google Scholar]
- Tielens, A.G.G.M.; Allamandola, L.J. Evolution of interstellar dust. In Physical Processes in Interstellar Clouds, Proceedings of the NATO Advanced Study Institute; D. Reidel: Dorecht, The Netherlands, 1987; pp. 333–376. [Google Scholar]
- Garrod, R.T. A Three-phase Chemical Model of Hot Cores: The Formation of Glycine. Astrophys. J. 2013, 765, 60. [Google Scholar] [CrossRef]
- Mumma, M.J.; Weissman, P.R.; Stern, S.A. Comets and the origin of the solar system - Reading the Rosetta Stone. In Protostars and Planets III (A93-42937 17-90); Arizona Press: Tucson, AZ, USA, 1993; pp. 1177–1252. [Google Scholar]
- Collings, M.P.; Anderson, M.A.; Chen, R.; Dever, J.W.; Viti, S.; Williams, D.A.; McCoustra, M.R.S. A laboratory survey of the thermal desorption of astrophysically relevant molecules. Mon. Not. R. Astron. Soc. 2004, 354, 1133–1140. [Google Scholar] [CrossRef]
- Hoang, T.; Vinh, N.A.; Quynh Lan, N. Spinning Dust Emission from Ultra-small Silicates: Emissivity and Polarization Spectrum. Astrophys. J. 2016, 824, 18. [Google Scholar] [CrossRef]
- Draine, B.T.; Salpeter, E.E. On the physics of dust grains in hot gas. Astrophys. J. 1979, 231, 77–94. [Google Scholar] [CrossRef]
- Sigmund, P. Sputtering by Particle Bombardment I; Springer: New York, NY, USA, 1981; p. 9. [Google Scholar]
- Weingartner, J.C.; Draine, B.T. Dust Grain-Size Distributions and Extinction in the Milky Way, Large Magellanic Cloud, and Small Magellanic Cloud. Astrophys. J. 2001, 548, 296–309. [Google Scholar] [CrossRef]
- Draine, B.T.; Li, A. Infrared Emission from Interstellar Dust. IV. The Silicate-Graphite-PAH Model in the Post-Spitzer Era. Astrophys. J. 2007, 657, 810–837. [Google Scholar] [CrossRef]
- Giang, N.C.; Hoang, T.; Tram, L.N. Time-varying Extinction, Polarization, and Colors of Type Ia Supernovae due to Rotational Disruption of Dust Grains. Astrophys. J. 2020, 888, 93. [Google Scholar] [CrossRef]
- Draine, B.T.; Dale, D.A.; Bendo, G.; Gordon, K.D.; Smith, J.D.T.; Armus, L.; Engelbracht, C.W.; Helou, G.; Kennicutt, R.C.J.; Li, A.; et al. Dust Masses, PAH Abundances, and Starlight Intensities in the SINGS Galaxy Sample. Astrophys. J. 2007, 663, 866–894. [Google Scholar] [CrossRef]
- Hoang, T.; Lazarian, A.; Martin, P.G. Constraint on the Polarization of Electric Dipole Emission from Spinning Dust. Astrophys. J. 2013, 779, 152. [Google Scholar] [CrossRef]
- Hall, J.S. Observations of the Polarized Light from Stars. Science 1949, 109, 166. [Google Scholar] [CrossRef]
- Hiltner, W.A. Polarization of Light from Distant Stars by Interstellar Medium. Science 1949, 109, 165. [Google Scholar] [CrossRef]
- Chiar, J.E.; Adamson, A.J.; Whittet, D.C.B.; Chrysostomou, A.; Hough, J.H.; Kerr, T.H.; Mason, R.E.; Roche, P.F.; Wright, G. Spectropolarimetry of the 3.4 μm Feature in the Diffuse ISM toward the Galactic Center Quintuplet Cluster. Astrophys. J. 2006, 651, 268–271. [Google Scholar] [CrossRef]
- Hoang, T.; Lazarian, A. A Unified Model of Grain Alignment: Radiative Alignment of Interstellar Grains with Magnetic Inclusions. Astrophys. J. 2016, 831, 159. [Google Scholar] [CrossRef]
- Lazarian, A.; Hoang, T. Magnetic Properties of Dust Grains, Effect of Precession, and Radiative Torque Alignment. Astrophys. J. 2019, 883, 122. [Google Scholar] [CrossRef]
- Lee, H.; Hoang, T.; Le, N.; Cho, J. Physical Model of Dust Polarization by Radiative Torque Alignment and Disruption and Implications for Grain Internal Structures. Astrophys. J. 2020, 896, 44. [Google Scholar] [CrossRef]
- Li, A.; Draine, B.T. On Ultrasmall Silicate Grains in the Diffuse Interstellar Medium. Astrophys. J. 2001, 550, L213. [Google Scholar] [CrossRef]
- Tram, L.N.; Hoang, T.; Soam, A.; Lesaffre, P.; Reach, W.T. Modeling Rotational Disruption of Grains and Microwave Emission from Spinning Dust in AGB Envelopes. Astrophys. J. 2020, 893, 138. [Google Scholar] [CrossRef]
- Hensley, B.S.; Draine, B.T. Modeling the Anomalous Microwave Emission with Spinning Nanoparticles: No PAHs Required. Astrophys. J. 2017, 836, 179. [Google Scholar] [CrossRef]
- Hirashita, H.; Hoang, T. Effects of rotational disruption on the evolution of grain size distribution in galaxies. Mon. Not. R. Astron. Soc. 2020, 494, 1058–1070. [Google Scholar] [CrossRef]
- Zavala, J.A.; Aretxaga, I.; Dunlop, J.S.; Michałowski, M.J.; Hughes, D.H.; Bourne, N.; Chapin, E.; Cowley, W.; Farrah, D.; Lacey, C.; et al. The SCUBA-2 Cosmology Legacy Survey: The EGS deep field—II. Morphological transformation and multiwavelength properties of faint submillimetre galaxies. Mon. Not. R. Astron. Soc. 2018, 475, 5585–5602. [Google Scholar] [CrossRef]
- Lim, C.F.; Wang, W.H.; Smail, I.; Scott, D.; Chen, C.C.; Chang, Y.Y.; Simpson, J.M.; Toba, Y.; Shu, X.; Clements, D.; et al. SCUBA-2 Ultra Deep Imaging Eao Survey (Studies) III: Multi-wavelength properties, luminosity functions and preliminary source catalog of 450 micron-selected galaxies. arXiv 2019, arXiv:1912.03669. [Google Scholar] [CrossRef]
- Calzetti, D. The Dust Opacity of Star-forming Galaxies. Publ. Astronom. Soc. Pac. 2001, 113, 1449–1485. [Google Scholar] [CrossRef]
- Witt, A.N.; Gordon, K.D. Multiple Scattering in Clumpy Media. II. Galactic Environments. Astrophys. J. 2000, 528, 799–816. [Google Scholar] [CrossRef]
- Inoue, A.K. Attenuation law of normal disc galaxies with clumpy distributions of stars and dust. Mon. Not. R. Astron. Soc. 2005, 359, 171–182. [Google Scholar] [CrossRef]
- Seon, K.I.; Draine, B.T. Radiative Transfer Model of Dust Attenuation Curves in Clumpy, Galactic Environments. Astrophys. J. 2016, 833, 201. [Google Scholar] [CrossRef]
- Symeonidis, M.; Vaccari, M.; Berta, S.; Page, M.J.; Lutz, D.; Arumugam, V.; Aussel, H.; Bock, J.; Boselli, A.; Buat, V.; et al. The Herschel census of infrared SEDs through cosmic time. Mon. Not. R. Astron. Soc. 2013, 431, 2317–2340. [Google Scholar] [CrossRef]
- Bethermin, M.; Daddi, E.; Magdis, G.; Lagos, C.; Sargent, M.; Albrecht, M.; Aussel, H.; Bertoldi, F.; Buat, V.; Galametz, M.; et al. Evolution of the dust emission of massive galaxies up to z= 4 and constraints on their dominant mode of star formation. Astron. Astrophys. 2015, 573, A113. [Google Scholar] [CrossRef]
- Schreiber, C.; Elbaz, D.; Pannella, M.; Ciesla, L.; Wang, T.; Franco, M. Dust temperature and mid-to-total infrared color distributions for star-forming galaxies at 0. Astron. Astrophys. 2017, 609, A30. [Google Scholar] [CrossRef]
- Hirashita, H.; Burgarella, D.; Bouwens, R.J. Dust masses of z > 5 galaxies from SED fitting and ALMA upper limits. arXiv 2017, arXiv:1709.02526. [Google Scholar] [CrossRef]
- Bakx, T.J.L.C.; Tamura, Y.; Hashimoto, T.; Inoue, A.K.; Lee, M.M.; Mawatari, K.; Ota, K.; Umehata, H.; Zackrisson, E.; Hatsukade, B.; et al. ALMA uncovers the [CII] emission and warm dust continuum in a z = 8.31 Lyman break galaxy. arXiv 2020, arXiv:2001.02812. [Google Scholar]
- Ferrara, A.; Hirashita, H.; Ouchi, M.; Fujimoto, S. The infrared-dark dust content of high redshift galaxies. Mon. Not. R. Astron. Soc. 2017, 471, 5018–5024. [Google Scholar] [CrossRef]
- Toba, Y.; Wang, W.H.; Nagao, T.; Ueda, Y.; Ueda, J.; Lim, C.F.; Chang, Y.Y.; Saito, T.; Kawabe, R. SOFIA/HAWC+ View of an Extremely Luminous Infrared Galaxy, WISE1013+6112. arXiv 2019, arXiv:1912.05813. [Google Scholar]
- Riess, A.G.; Filippenko, A.V.; Challis, P.; Clocchiatti, A.; Diercks, A.; Garnavich, P.M.; Gilliland, R.L.; Hogan, C.J.; Jha, S.; Kirshner, R.P.; et al. Observational Evidence from Supernovae for an Accelerating Universe and a Cosmological Constant. Astronom. J. 1998, 116, 1009–1038. [Google Scholar] [CrossRef]
- Nobili, S.; Goobar, A. The colour-lightcurve shape relation of type Ia supernovae and the reddening law. Astron. Astrophys. 2008, 487, 19–31. [Google Scholar] [CrossRef]
- Kawabata, K.S.; Akitaya, H.; Yamanaka, M.; Itoh, R.; Maeda, K.; Moritani, Y.; Ui, T.; Kawabata, M.; Mori, K.; Nogami, D.; et al. Optical and near-infrared polarimetry of highly reddened type ia supernova 2014j: Peculiar properties of dust in M82. Astrophys. J. 2014, 795, L4. [Google Scholar] [CrossRef]
- Patat, F.; Taubenberger, S.; Cox, N.L.J.; Baade, D.; Clocchiatti, A.; Höflich, P.; Maund, J.R.; Reilly, E.; Spyromilio, J.; Wang, L.; et al. Properties of extragalactic dust inferred from linear polarimetry of Type Ia Supernovae. Astron. Astrophys. 2015, 577, A53. [Google Scholar] [CrossRef]
- Serkowski, K.; Mathewson, D.S.; Ford, V.L. Wavelength dependence of interstellar polarization and ratio of total to selective extinction. Astrophys. J. 1975, 196, 261. [Google Scholar] [CrossRef]
- Wilking, B.A.; Lebofsky, M.J.; Kemp, J.C.; Martin, P.G.; Rieke, G.H. The wavelength dependence of interstellar linear polarization. Astrophys. J. 1980, 235, 905–910. [Google Scholar] [CrossRef]
- Whittet, D.C.B.; Martin, P.G.; Hough, J.H.; Rouse, M.F.; Bailey, J.A.; Axon, D.J. Systematic variations in the wavelength dependence of interstellar linear polarization. Astrophys. J. 1992, 386, 562. [Google Scholar] [CrossRef]
- Hoang, T.; Giang, N.C.; Tram, L.N. Gamma-Ray Burst Afterglows: Time-varying Extinction, Polarization, and Colors due to Rotational Disruption of Dust Grains. Astrophys. J. 2020, 895, 16. [Google Scholar] [CrossRef]
- Hoang, T.; Tung, N.D. Evolution of Dust and Water Ice in Cometary Comae by Radiative Torques. arXiv 2020, arXiv:2005.10446. [Google Scholar]
- Sahai, R.; Claussen, M.J.; Masson, C.R. The centimeter radio continuum from IRC+10216 and other late-type stars with mass-loss envelopes. Astron. Astrophys. 1989, 220, 92–98. [Google Scholar]
- Knapp, G.R.; Bowers, P.F.; Young, K.; Phillips, T.G. Radio-Frequency Continuum Emission from Evolved Stars. Astrophys. J. 1995, 455, 293. [Google Scholar] [CrossRef]
- Dehaes, S.; Groenewegen, M.A.T.; Decin, L.; Hony, S.; Raskin, G.; Blommaert, J.A.D.L. Continuum emission around AGB stars at 1.2 mm. Mon. Not. R. Astron. Soc. 2007, 377, 931–944. [Google Scholar] [CrossRef]
- Ivezic, Z.; Nenkova, M.; Elitzur, M. DUSTY: Radiation Transport in a Dusty Environment; 1999; ascl soft, ascl:9911.001; [9911.001]. [Google Scholar]
- Boutéraon, T.; Habart, E.; Ysard, N.; Jones, A.P.; Dartois, E.; Pino, T. Carbonaceous nano-dust emission in proto-planetary discs: The aliphatic-aromatic components. Astron. Astrophys. 2019, 623, A135. [Google Scholar] [CrossRef]
- Siebenmorgen, R.; Krügel, E. The destruction and survival of polycyclic aromatic hydrocarbons in the disks of T Tauri stars. Astron. Astrophys. 2010, 511, 6. [Google Scholar] [CrossRef]
- Bernstein, M.P.; Sandford, S.A.; Allamandola, L.J.; Gillette, J.S.B.; Clemett, S.J.; Zare, R.N. UV Irradiation of Polycyclic Aromatic Hydrocarbons in Ices: Production of Alcohols, Quinones, and Ethers. Science 1999, 283, 1135–1138. [Google Scholar] [CrossRef] [PubMed]
- Cuylle, S.H.; Allamandola, L.J.; Linnartz, H. Photochemistry of PAHs in cosmic water ice. The effect of concentration on UV-VIS spectroscopy and ionization efficiency. Astron. Astrophys. 2014, 562, A22. [Google Scholar] [CrossRef]
- Cook, A.M.; Ricca, A.; Mattioda, A.L.; Bouwman, J.; Roser, J.; Linnartz, H.; Bregman, J.; Allamandola, L.J. Photochemistry of Polycyclic Aromatic Hydrocarbons in Cosmic Water Ice: The Role of PAH Ionization and Concentration. Astrophys. J. 2015, 799, 14. [Google Scholar] [CrossRef]
- Tung, N.D.; Hoang, T. Rotational Disruption of Dust and Ice by Radiative Torques in Protoplanetary Disks and Implications for Observations. arXiv 2020, arXiv:2002.03390. [Google Scholar]
- Dullemond, C.P.; Dominik, C. The effect of dust settling on the appearance of protoplanetary disks. Astron. Astrophys. 2004, 421, 1075–1086. [Google Scholar] [CrossRef]
- Fromang, S.; Nelson, R.P. Global MHD simulations of stratified and turbulent protoplanetary discs. II. Dust settling. Astron. Astrophys. 2009, 496, 597–608. [Google Scholar] [CrossRef]
- Lecar, M.; Podolak, M.; Sasselov, D.; Chiang, E. On the Location of the Snow Line in a Protoplanetary Disk. Astrophys. J. 2006, 640, 1115–1118. [Google Scholar] [CrossRef]
- Min, M.; Dullemond, C.P.; Kama, M.; Dominik, C. The thermal structure and the location of the snow line in the protosolar nebula: Axisymmetric models with full 3-D radiative transfer. Icarus 2011, 212, 416–426. [Google Scholar] [CrossRef]
- Hoang, T.; Lazarian, A.; Lee, H.; Cho, K.; Gu, P.G.; Ng, C.H. On the Origin of an F-corona decrease revealed by the Parker Solar Probe. arXiv 2020, arXiv:2004.06265. [Google Scholar]
- Mukai, T.; Yamamoto, T. A Model of the Circumsolar Dust Cloud. Publ. Astron. Soc. Jpn. 1979, 31, 585–596. [Google Scholar]
- Mann, I. The solar F-corona - Calculations of the optical and infrared brightness of circumsolar dust. Astron. Astrophys. 1992, 261, 329–335. [Google Scholar]
- Mann, I.; Murad, E.; Czechowski, A. Nanoparticles in the inner solar system. Planet. Space Sci. 2007, 55, 1000–1009. [Google Scholar] [CrossRef]
- Ip, W.H.; Lai, I.L.; Shen, F. Nanodust in the Heliosphere. J. Phys. Conf. Ser. 2019, 1332, 012007. [Google Scholar] [CrossRef]
- Gruen, H.; Fechtig, H.; Kissel, J. Orbits of interplanetary dust particles inside 1 AU as observed by HELIOS. In Properties and Interactions of Interplanetary Dust; Proceedings of the Eighty-Fifth Colloquium; Max-Planck-Institut für Kernphysik: Heidelberg, Germany, 1985; pp. 105–111. [Google Scholar]
- Howard, R.A.; Vourlidas, A.; Bothmer, V.; Colaninno, R.C.; DeForest, C.E.; Gallagher, B.; Hall, J.R.; Hess, P.; Higginson, A.K.; Korendyke, C.M.; et al. Near-Sun observations of an F-corona decrease and K-corona fine structure. Nature 2019, 576, 232–236. [Google Scholar] [CrossRef]
- Szalay, J.R.; Pokorný, P.; Bale, S.D.; Christian, E.R.; Goetz, K.; Goodrich, K.; Hill, M.E.; Kuchner, M.; Larsen, R.; Malaspina, D.; et al. The Near-Sun Dust Environment: Initial Observations from Parker Solar Probe. arXiv 2019, arXiv:1912.02639. [Google Scholar] [CrossRef]
- Blake, G.A.; Sutton, E.C.; Masson, C.R.; Phillips, T.G. Molecular abundances in OMC-1 - The chemical composition of interstellar molecular clouds and the influence of massive star formation. Astrophys. J. 1987, 315, 621–645. [Google Scholar] [CrossRef]
- Bottinelli, S.; Ceccarelli, C.; Lefloch, B.; Williams, J.P.; Castets, A.; Caux, E.; Cazaux, S.; Maret, S.; Parise, B.; Tielens, A.G.G.M. Complex Molecules in the Hot Core of the Low-Mass Protostar NGC 1333 IRAS 4A. Astrophys. J. 2004, 615, 354–358. [Google Scholar] [CrossRef]
- Beltran, M.T.; Rivilla, V.M. Complex Organic Molecules in Hot Molecular Cores/Corinos: Physics and Chemistry. arXiv 2018, arXiv:1806.08137. [Google Scholar]
- Chandler, C.J.; Richer, J.S. The Structure of Protostellar Envelopes Derived from Submillimeter Continuum Images. Astrophys. J. 2000, 530, 851–866. [Google Scholar] [CrossRef][Green Version]
- Nomura, H.; Millar, T.J. The physical and chemical structure of hot molecular cores. Astron. Astrophys. 2004, 414, 409–423. [Google Scholar] [CrossRef]
- Visser, R.; Kristensen, L.E.; Bruderer, S.; van Dishoeck, E.F.; Herczeg, G.J.; Brinch, C.; Doty, S.D.; Harsono, D.; Wolfire, M.G. Modelling Herschelobservations of hot molecular gas emission from embedded low-mass protostars. Astron. Astrophys. 2012, 537, A55. [Google Scholar] [CrossRef]
- Bisschop, S.E.; Jørgensen, J.K.; van Dishoeck, E.F.; de Wachter, E.B.M. Testing grain-surface chemistry in massive hot-core regions. Astron. Astrophys. 2007, 465, 913–929. [Google Scholar] [CrossRef]
- Viti, S.; Williams, D.A. Time-dependent evaporation of icy mantles in hot cores. Mon. Not. R. Astron. Soc. 1999, 305, 755–762. [Google Scholar] [CrossRef]
- Fayolle, E.C.; Oberg, K.I.; Garrod, R.T.; van Dishoeck, E.F.; Bisschop, S.E. Complex organic molecules in organic-poor massive young stellar objects. Astron. Astrophys. 2015, 576, A45. [Google Scholar] [CrossRef]
- Ciolek, G.E.; Roberge, W.G.; Mouschovias, T.C. Multifluid, Magnetohydrodynamic Shock Waves with Grain Dynamics. II. Dust and the Critical Speed for C Shocks. Astrophys. J. 2004, 610, 781–800. [Google Scholar] [CrossRef][Green Version]
- Flower, D.R.; Pineau des Forêts, G. Interpreting observations of molecular outflow sources: The MHD shock code mhd-vode. Astron. Astrophys. 2015, 578, A63. [Google Scholar] [CrossRef]
- Flower, D.R.; Pineau des Forêts, G. The influence of grains on the propagation and structure of C-type shock waves in interstellar molecular clouds. Mon. Not. R. Astron. Soc. 2003, 343, 390–400. [Google Scholar] [CrossRef][Green Version]
- Lesaffre, P.; Pineau des Forêts, G.; Godard, B.; Guillard, P.; Boulanger, F.; Falgarone, E. Low-velocity shocks: Signatures of turbulent dissipation in diffuse irradiated gas. Astron. Astrophys. 2013, 550, A106. [Google Scholar] [CrossRef]
- Tram, L.N.; Lesaffre, P.; Cabrit, S.; Gusdorf, A.; Nhung, P.T. H2 emission from non-stationary magnetized bow shocks. Mon. Not. R. Astron. Soc. 2018, 473, 1472–1488. [Google Scholar] [CrossRef]
- Guillet, V.; Pineau des Forêts, G.; Jones, A.P. Shocks in dense clouds. III. Dust processing and feedback effects in C-type shocks. Astron. Astrophys. 2011, 527, A123. [Google Scholar] [CrossRef]
- Micelotta, E.R.; Jones, A.P.; Tielens, A.G.G.M. Polycyclic aromatic hydrocarbon processing in interstellar shocks. Astron. Astrophys. 2010, 510, 36. [Google Scholar] [CrossRef]
- Draine, B.T.; Weingartner, J.C. Radiative Torques on Interstellar Grains. II. Grain Alignment. Astrophys. J. 1997, 480, 633. [Google Scholar] [CrossRef]
- Herranen, J. Rotational Disruption of Nonspherical Cometary Dust Particles by Radiative Torques. Astrophys. J. 2020, 893, 109. [Google Scholar] [CrossRef]
- Tazaki, R.; Lazarian, A.; Nomura, H. Radiative Grain Alignment In Protoplanetary Disks: Implications for Polarimetric Observations. Astrophys. J. 2017, 839, 56. [Google Scholar] [CrossRef]
- Lazarian, A.; Hoang, T. Alignment of Dust with Magnetic Inclusions: Radiative Torques and Superparamagnetic Barnett and Nuclear Relaxation. Astrophys. J. 2008, 676, L25–L28. [Google Scholar] [CrossRef]
- Graham, M.; Milisavljevic, D.; Rest, A.; Wheeler, J.C.; Chornock, R.; Margutti, R.; Rho, J.; Lee, C.H.; Yoon, S.C.; Kilpatrick, C.D.; et al. Discovery Frontiers of Explosive Transients: An ELT and LSST Perspective. Bull. Am. Astrono. Soc. 2019, 51, 339. [Google Scholar]
- Foley, R.; Bloom, J.S.; Cenko, S.B.; Chornock, R.; Dimitriadis, G.; Doré, O.; Filippenko, A.V.; Fox, O.D.; Hirata, C.M.; Jha, S.W.; et al. WFIRST: Enhancing Transient Science and Multi-Messenger Astronomy. Bull. Am. Astrono. Soc. 2019, 51, 305. [Google Scholar]
- van Dishoeck, E.F. Astrochemistry: Overview and challenges. arXiv 2017, arXiv:1710.05940. [Google Scholar] [CrossRef]
- Hasegawa, T.I.; Herbst, E.; Leung, C.M. Models of gas-grain chemistry in dense interstellar clouds with complex organic molecules. Astrophys. J. Suppl. Ser. 1992, 82, 167–195. [Google Scholar] [CrossRef]
- Hoang, T. Chemistry on rotating grain surfaces: Ro-thermal hopping and segregation of molecules in ice mantles. arXiv 2019, arXiv:1910.12205. [Google Scholar]
- Kataoka, A.; Muto, T.; Momose, M.; Tsukagoshi, T.; Fukagawa, M.; Shibai, H.; Hanawa, T.; Murakawa, K.; Dullemond, C.P. Millimeter-wave Polarization of Protoplanetary Disks due to Dust Scattering. Astrophys. J. 2015, 809, 78. [Google Scholar] [CrossRef]
| 1 | Equations (30) and (31) in Hoang and Lee [43] missed a factor and , respectively, but the final formulae are correct. |
| 2 |
































| Mechanism | Timescale (yr) |
|---|---|
| Rotational disruption (RATD) | |
| Thermal sputtering | |
| Non-thermal sputtering | |
| Grain-grain collision | |
| Rotational disruption (METD) |
© 2020 by the author. Licensee MDPI, Basel, Switzerland. This article is an open access article distributed under the terms and conditions of the Creative Commons Attribution (CC BY) license (http://creativecommons.org/licenses/by/4.0/).
Share and Cite
Hoang, T. Rotational Disruption of Astrophysical Dust and Ice—Theory and Applications. Galaxies 2020, 8, 52. https://doi.org/10.3390/galaxies8030052
Hoang T. Rotational Disruption of Astrophysical Dust and Ice—Theory and Applications. Galaxies. 2020; 8(3):52. https://doi.org/10.3390/galaxies8030052
Chicago/Turabian StyleHoang, Thiem. 2020. "Rotational Disruption of Astrophysical Dust and Ice—Theory and Applications" Galaxies 8, no. 3: 52. https://doi.org/10.3390/galaxies8030052
APA StyleHoang, T. (2020). Rotational Disruption of Astrophysical Dust and Ice—Theory and Applications. Galaxies, 8(3), 52. https://doi.org/10.3390/galaxies8030052
