Predictions and Outcomes for the Dynamics of Rotating Galaxies
Abstract
1. Introduction
2. Predictions and Tests
2.1. Tully–Fisher and the Mass–Asymptotic Speed Relation
“The relation should hold exactly”. —M. Milgrom [16]
“Disk galaxies with low surface brightness provide particularly strong tests”.—M. Milgrom [16]
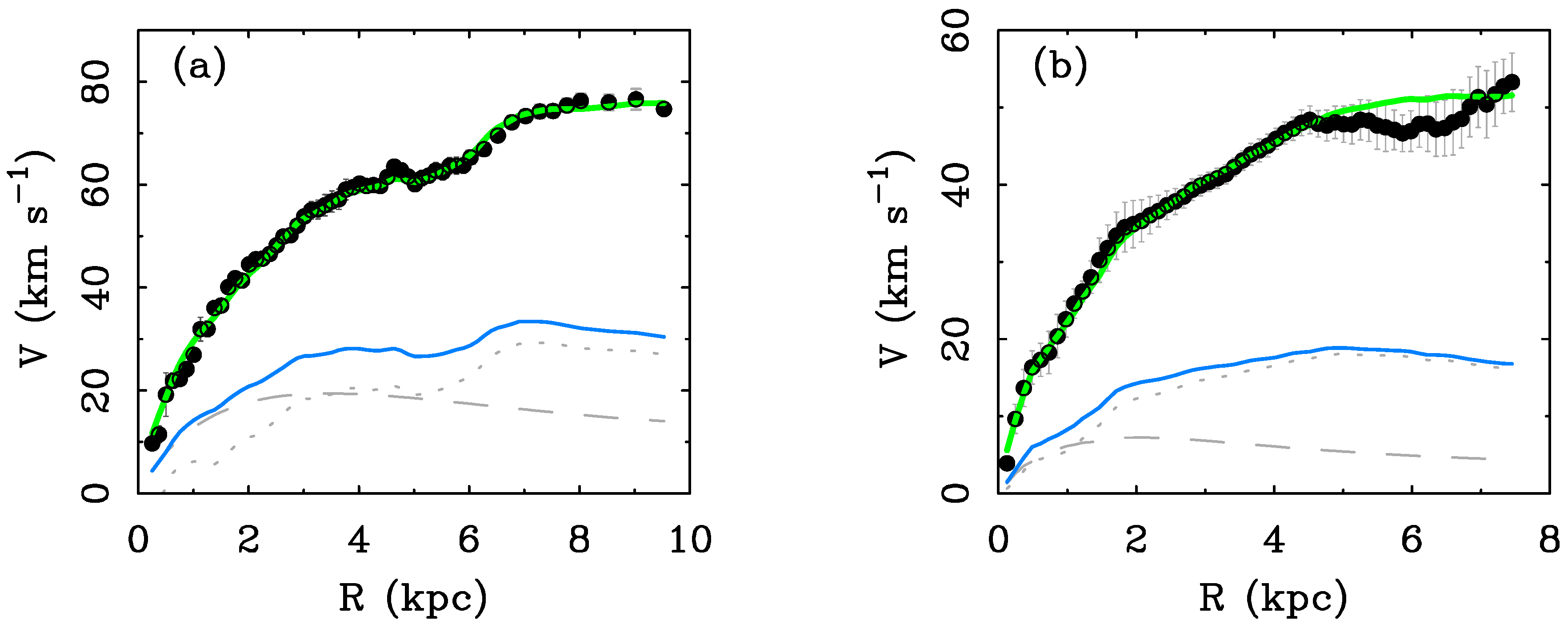
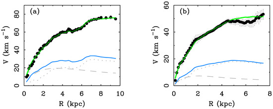
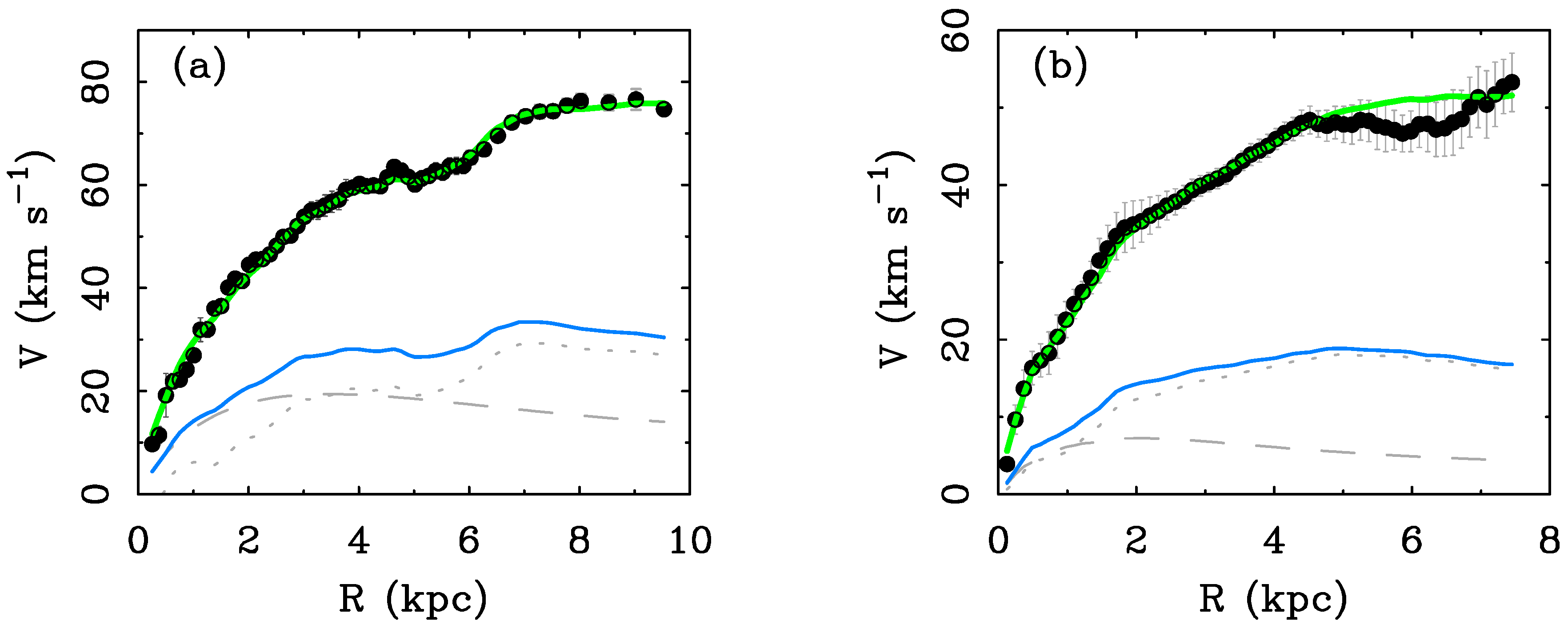
2.2. Predictions for Rotation Curves
“Rotation curves calculated on the basis of the observed mass distribution and the modified dynamics should agree with the observed velocity curves”.—M. Milgrom [16]
“The rotation curve of a galaxy can remain flat down to very small radii, as observed, only if the galaxy’s average surface density falls in some narrow range of values which agrees with the Fish and Freeman laws. For smaller , the velocity rises more slowly to the asymptotic value”.—M. Milgrom [16]
2.3. Disk Stability
“An analog of the Oort discrepancy should exist in all galaxies and become more severe with increasing [radius] in a predictable way”.—M. Milgrom [16].
“In LSB disks, it is conceivable that the minimum disk mass required to generate spiral arms might exceed the maximum disk mass allowed by the rotation curve”.—S. McGaugh [5]
3. Discussion
“In science, all new and startling facts must encounter in sequence the responses
- It is not true!
- It is contrary to orthodoxy.
- We knew it all along”.
—L. Agassiz (paraphrased)
4. Conclusions
- The data corroborate the predictions of MOND because there is something to it.
- The physics of galaxy formation somehow mimic MOND, at least for rotating galaxies.
- There is something new and different going on that we have yet to imagine.
“The normal component (i.e., the accepted paradigm and its adherents) is large and well entrenched. Hence, a change of the normal component is very noticeable. So is the resistance of the normal component to change. This resistance becomes especially strong and noticeable in periods where a change seems to be imminent”.—P. Feyerabend [7]
Funding
Acknowledgments
Conflicts of Interest
Abbreviations
| BTFR | Baryonic Tully–Fisher relation |
| CDM | Cold dark matter |
| HSB | High surface brightness |
| IMF | Initial mass function |
| CDM | Lambda cold dark matter |
| LSB | Low surface brightness |
| MASR | Mass–asymptotic speed relationn |
| MOND | Modified Newtonian dynamics |
References
- Faber, S.M.; Gallagher, J.S. Masses and mass-to-light ratios of galaxies. Ann. Rev. Astron. Astrophys. 1979, 17, 135–187. [Google Scholar] [CrossRef]
- Trimble, V. Existence and nature of dark matter in the universe. Ann. Rev. Astron. Astrophys. 1987, 25, 425–472. [Google Scholar] [CrossRef]
- Ostriker, J.P. Astronomical tests of the cold dark matter scenario. Ann. Rev. Astron. Astrophys. 1993, 31, 689–716. [Google Scholar] [CrossRef]
- McGaugh, S.S.; de Blok, W.J.G. Testing the Dark Matter Hypothesis with Low Surface Brightness Galaxies and Other Evidence. Astrophys. J. 1998, 499, 41. [Google Scholar] [CrossRef]
- McGaugh, S.S.; de Blok, W.J.G. Testing the Hypothesis of Modified Dynamics with Low Surface Brightness Galaxies and Other Evidence. Astrophys. J. 1998, 499, 66. [Google Scholar] [CrossRef]
- Sanders, R.H.; McGaugh, S.S. Modified Newtonian Dynamics as an Alternative to Dark Matter. Ann. Rev. Astron. Astrophys. 2002, 40, 263–317. [Google Scholar] [CrossRef]
- Feyerabend, P. Problems of Empiricism; Cambridge University Press: Cambridge, UK, 1985. [Google Scholar]
- Peebles, P.J.E. Dark matter and the origin of galaxies and globular star clusters. Astrophys. J. 1984, 277, 470–477. [Google Scholar] [CrossRef]
- Steigman, G.; Turner, M.S. Cosmological constraints on the properties of weakly interacting massive particles. Nucl. Phys. B 1985, 253, 375–386. [Google Scholar] [CrossRef]
- Feng, J.L. Dark Matter Candidates from Particle Physics and Methods of Detection. Ann. Rev. Astron. Astrophys. 2010, 48, 495–545. [Google Scholar] [CrossRef]
- Porter, T.A.; Johnson, R.P.; Graham, P.W. Dark Matter Searches with Astroparticle Data. Ann. Rev. Astron. Astrophys. 2011, 49, 155–194. [Google Scholar] [CrossRef]
- Baudis, L.; Brown, A.; Capelli, C.; Galloway, M.; Kazama, S.; Kish, A.; Reichard, S.; Wulf, J.; XENON Collaboration. Dark Matter Search Results from a One Ton-Year Exposure of XENON1T. Phys. Rev. Lett. 2018, 121, 111302. [Google Scholar] [CrossRef]
- Trotta, R.; Feroz, F.; Hobson, M.; Roszkowski, L.; Ruiz de Austri, R. The impact of priors and observables on parameter inferences in the constrained MSSM. J. High Energy Phys. 2008, 2008, 024. [Google Scholar] [CrossRef]
- Merritt, D. Cosmology and convention. Stud. Hist. Philos. Mod. Phys. 2017, 57, 41–52. [Google Scholar] [CrossRef]
- Milgrom, M. A modification of the Newtonian dynamics as a possible alternative to the hidden mass hypothesis. Astrophys. J. 1983, 270, 365–370. [Google Scholar] [CrossRef]
- Milgrom, M. A modification of the Newtonian dynamics—Implications for galaxies. Astrophys. J. 1983, 270, 371–389. [Google Scholar] [CrossRef]
- Milgrom, M. A modification of the newtonian dynamics: Implications for galaxy systems. Astrophys. J. 1983, 270, 384–389. [Google Scholar] [CrossRef]
- Milgrom, M. The modified dynamics—A status review. In Dark Matter in Astrophysics and Particle Physics; Klapdor-Kleingrothaus, H.V., Baudis, L., Eds.; Springer: Berlin, Germany, 1999; p. 443. [Google Scholar]
- Milgrom, M. MOND—A Pedagogical Review. Acta Phys. Pol. B 2001, 32, 3613. [Google Scholar]
- Bekenstein, J. The modified Newtonian dynamics - MOND and its implications for new physics. Contemp. Phys. 2006, 47, 387–403. [Google Scholar] [CrossRef]
- Milgrom, M. The MOND paradigm. arXiv 2008, arXiv:0801.3133. [Google Scholar]
- Famaey, B.; McGaugh, S.S. Modified Newtonian Dynamics (MOND): Observational Phenomenology and Relativistic Extensions. Living Rev. Relativ. 2012, 15, 10. [Google Scholar] [CrossRef]
- Milgrom, M. The MOND paradigm of modified dynamics. Scholarpedia 2014, 9, 31410. [Google Scholar] [CrossRef]
- McGaugh, S.S. A tale of two paradigms: The mutual incommensurability of ΛCDM and MOND. Can. J. Phys. 2015, 93, 250–259. [Google Scholar] [CrossRef]
- Sanders, R.H. Mass discrepancies in galaxies: Dark matter and alternatives. A&Ar 1990, 2, 1–28. [Google Scholar] [CrossRef]
- Sanders, R.H. The Published Extended Rotation Curves of Spiral Galaxies: Confrontation with Modified Dynamics. Astrophys. J. 1996, 473, 117. [Google Scholar] [CrossRef]
- McGaugh, S.S. Observational Constraints on the Acceleration Discrepancy Problem. arXiv 2006, arXiv:astro-ph/0606351. [Google Scholar]
- McGaugh, S.S.; Lelli, F.; Li, P.; Schombert, J. Dynamical Regularities in Galaxies. arXiv 2019, arXiv:1909.02011. [Google Scholar]
- Lelli, F.; McGaugh, S.S.; Schombert, J.M. SPARC: Mass Models for 175 Disk Galaxies with Spitzer Photometry and Accurate Rotation Curves. Astron. J. 2016, 152, 157. [Google Scholar] [CrossRef]
- Will, C.M. The Confrontation between General Relativity and Experiment. Living Rev. Relativ. 2014, 17, 4. [Google Scholar] [CrossRef]
- Hulse, R.A.; Taylor, J.H. Discovery of a pulsar in a binary system. Astrophys. J. 1975, 195, L51–L53. [Google Scholar] [CrossRef]
- Abbott, B.P.; Abbott, R.; Abbott, T.D.; Abernathy, M.R.; Acernese, F.; Ackley, K.; Adams, C.; Adams, T.; Addesso, P.; Adhikari, R.X.; et al. Observation of Gravitational Waves from a Binary Black Hole Merger. Phys. Rev. Lett. 2016, 116, 061102. [Google Scholar] [CrossRef]
- Begeman, K.G.; Broeils, A.H.; Sanders, R.H. Extended rotation curves of spiral galaxies - Dark haloes and modified dynamics. Mon. Not. R. Astron. Soc. 1991, 249, 523–537. [Google Scholar] [CrossRef]
- McGaugh, S.S.; Lelli, F.; Schombert, J.M. Radial Acceleration Relation in Rotationally Supported Galaxies. Phys. Rev. Lett. 2016, 117, 201101. [Google Scholar] [CrossRef] [PubMed]
- Milgrom, M. The Mond Limit from Spacetime Scale Invariance. Astrophys. J. 2009, 698, 1630–1638. [Google Scholar] [CrossRef]
- Tully, R.B.; Fisher, J.R. A new method of determining distances to galaxies. Astron. Astrophys. 1977, 54, 661–673. [Google Scholar]
- Lelli, F.; McGaugh, S.S.; Schombert, J.M.; Desmond, H.; Katz, H. The baryonic Tully-Fisher relation for different velocity definitions and implications for galaxy angular momentum. Mon. Not. R. Astron. Soc. 2019, 484, 3267–3278. [Google Scholar] [CrossRef]
- Lelli, F.; McGaugh, S.S.; Schombert, J.M.; Pawlowski, M.S. One Law to Rule Them All: The Radial Acceleration Relation of Galaxies. Astrophys. J. 2017, 836, 152. [Google Scholar] [CrossRef]
- Ogle, P.M.; Jarrett, T.; Lanz, L.; Cluver, M.; Alatalo, K.; Appleton, P.N.; Mazzarella, J.M. A Break in Spiral Galaxy Scaling Relations at the Upper Limit of Galaxy Mass. Astrophys. J. 2019, 884, L11. [Google Scholar] [CrossRef]
- Noordermeer, E.; van der Hulst, J.M.; Sancisi, R.; Swaters, R.S.; van Albada, T.S. The mass distribution in early-type disc galaxies: Declining rotation curves and correlations with optical properties. Mon. Not. R. Astron. Soc. 2007, 376, 1513–1546. [Google Scholar] [CrossRef]
- Noordermeer, E.; Verheijen, M.A.W. The high-mass end of the Tully-Fisher relation. Mon. Not. R. Astron. Soc. 2007, 381, 1463–1472. [Google Scholar] [CrossRef]
- Lelli, F.; McGaugh, S.S.; Schombert, J.M. The Small Scatter of the Baryonic Tully-Fisher Relation. Astrophys. J. 2016, 816, L14. [Google Scholar] [CrossRef]
- Binney, J.; Tremaine, S. Galactic Dynamics; Princeton University Press: Princeton, NJ, USA, 1987. [Google Scholar]
- McGaugh, S.S. The Baryonic Tully-Fisher Relation of Galaxies with Extended Rotation Curves and the Stellar Mass of Rotating Galaxies. Astrophys. J. 2005, 632, 859–871. [Google Scholar] [CrossRef]
- Lelli, F.; McGaugh, S.S.; Schombert, J.M.; Pawlowski, M.S. The Relation between Stellar and Dynamical Surface Densities in the Central Regions of Disk Galaxies. Astrophys. J. 2016, 827, L19. [Google Scholar] [CrossRef]
- McGaugh, S.S.; Schombert, J.M.; Bothun, G.D.; de Blok, W.J.G. The Baryonic Tully-Fisher Relation. Astrophys. J. 2000, 533, L99–L102. [Google Scholar] [CrossRef] [PubMed]
- Schombert, J.; McGaugh, S. Stellar Populations and the Star Formation Histories of LSB Galaxies: III. Stellar Population Models. Publ. Astron. Soc. Aust. 2014, 31, e036. [Google Scholar] [CrossRef]
- McGaugh, S.S.; Schombert, J.M. Color-Mass-to-light-ratio Relations for Disk Galaxies. Astron. J. 2014, 148, 77. [Google Scholar] [CrossRef]
- Schombert, J.M.; McGaugh, S. Stellar Populations and the Star Formation Histories of LSB Galaxies: IV Spitzer Surface Photometry of LSB Galaxies. Publ. Astron. Soc. Aust. 2014, 31, e011. [Google Scholar] [CrossRef]
- McGaugh, S.S.; Lelli, F.; Schombert, J.M. Scaling Relations for Molecular Gas and Metallicity: Impact on the Baryonic Tully-Fisher Relation. Res. Notes Am. Astron. Soc. 2020, 4, 45. [Google Scholar] [CrossRef]
- Verheijen, M.A.W. The Ursa Major Cluster of Galaxies. V. H I Rotation Curve Shapes and the Tully-Fisher Relations. Astrophys. J. 2001, 563, 694–715. [Google Scholar] [CrossRef]
- Stark, D.V.; McGaugh, S.S.; Swaters, R.A. A First Attempt to Calibrate the Baryonic Tully-Fisher Relation with Gas-Dominated Galaxies. Astron. J. 2009, 138, 392–401. [Google Scholar] [CrossRef]
- Trachternach, C.; de Blok, W.J.G.; McGaugh, S.S.; van der Hulst, J.M.; Dettmar, R. The baryonic Tully-Fisher relation and its implication for dark matter halos. Astron. Astrophys. 2009, 505, 577–587. [Google Scholar] [CrossRef]
- McGaugh, S.S. Novel Test of Modified Newtonian Dynamics with Gas Rich Galaxies. Phys. Rev. Lett. 2011, 106, 121303. [Google Scholar] [CrossRef] [PubMed]
- McGaugh, S.S. The Baryonic Tully-Fisher Relation of Gas-rich Galaxies as a Test of ΛCDM and MOND. Astron. J. 2012, 143, 40. [Google Scholar] [CrossRef]
- Steinmetz, M.; Navarro, J.F. The Cosmological Origin of the Tully-Fisher Relation. Astrophys. J. 1999, 513, 555–560. [Google Scholar] [CrossRef]
- Navarro, J.F.; Steinmetz, M. The Core Density of Dark Matter Halos: A Critical Challenge to the ΛCDM Paradigm? Astrophys. J. 2000, 528, 607–611. [Google Scholar] [CrossRef]
- Mayer, L.; Moore, B. The baryonic mass-velocity relation: Clues to feedback processes during structure formation and the cosmic baryon inventory. Mon. Not. R. Astron. Soc. 2004, 354, 477–484. [Google Scholar] [CrossRef]
- McGaugh, S.S.; Schombert, J.M.; de Blok, W.J.G.; Zagursky, M.J. The Baryon Content of Cosmic Structures. Astrophys. J. 2010, 708, L14–L17. [Google Scholar] [CrossRef]
- Draine, B.T. Physics of the Interstellar and Intergalactic Medium; Princeton University Press: Princeton, NJ, USA, 2011. [Google Scholar]
- Meidt, S.E.; Schinnerer, E.; van de Ven, G.; Zaritsky, D.; Peletier, R.; Knapen, J.H.; Sheth, K.; Regan, M.; Querejeta, M.; Muñoz-Mateos, J.C.; et al. Reconstructing the Stellar Mass Distributions of Galaxies Using S4G IRAC 3.6 and 4.5 μm Images. II. The Conversion from Light to Mass. Astrophys. J. 2014, 788, 144. [Google Scholar] [CrossRef]
- Schombert, J.; McGaugh, S.; Lelli, F. The mass-to-light ratios and the star formation histories of disc galaxies. Mon. Not. R. Astron. Soc. 2019, 483, 1496–1512. [Google Scholar] [CrossRef]
- McGaugh, S.S.; Bothun, G.D.; Schombert, J.M. Galaxy Selection and the Surface Brightness Distribution. Astron. J. 1995, 110, 573. [Google Scholar] [CrossRef]
- Akritas, M.G.; Bershady, M.A. Linear Regression for Astronomical Data with Measurement Errors and Intrinsic Scatter. Astrophys. J. 1996, 470, 706. [Google Scholar] [CrossRef]
- Begum, A.; Chengalur, J.N.; Karachentsev, I.D.; Sharina, M.E. Baryonic Tully-Fisher relation for extremely low mass Galaxies. Mon. Not. R. Astron. Soc. 2008, 386, 138–144. [Google Scholar] [CrossRef]
- McGaugh, S.S.; Schombert, J.M. Weighing Galaxy Disks with the Baryonic Tully-Fisher Relation. Astrophys. J. 2015, 802, 18. [Google Scholar] [CrossRef]
- Aaronson, M.; Huchra, J.; Mould, J. The infrared luminosity/H I velocity-width relation and its application to the distance scale. Astrophys. J. 1979, 229, 1–13. [Google Scholar] [CrossRef]
- McGaugh, S.S.; Wolf, J. Local Group Dwarf Spheroidals: Correlated Deviations from the Baryonic Tully-Fisher Relation. Astrophys. J. 2010, 722, 248–261. [Google Scholar] [CrossRef]
- Mo, H.J.; Mao, S.; White, S.D.M. The formation of galactic discs. Mon. Not. R. Astron. Soc. 1998, 295, 319–336. [Google Scholar] [CrossRef]
- Bullock, J.S.; Kolatt, T.S.; Sigad, Y.; Somerville, R.S.; Kravtsov, A.V.; Klypin, A.A.; Primack, J.R.; Dekel, A. Profiles of dark haloes: Evolution, scatter and environment. Mon. Not. R. Astron. Soc. 2001, 321, 559–575. [Google Scholar] [CrossRef]
- Gnedin, O.Y.; Weinberg, D.H.; Pizagno, J.; Prada, F.; Rix, H. Dark Matter Halos of Disk Galaxies: Constraints from the Tully-Fisher Relation. Astrophys. J. 2007, 671, 1115–1134. [Google Scholar] [CrossRef]
- Trujillo-Gomez, S.; Klypin, A.; Primack, J.; Romanowsky, A.J. Galaxies in ΛCDM with Halo Abundance Matching: Luminosity-Velocity Relation, Baryonic Mass-Velocity Relation, Velocity Function, and Clustering. Astrophys. J. 2011, 742, 16. [Google Scholar] [CrossRef]
- Bullock, J.S.; Boylan-Kolchin, M. Small-Scale Challenges to the ΛCDM Paradigm. Ann. Rev. Astron. Astrophys. 2017, 55, 343–387. [Google Scholar] [CrossRef]
- van den Bosch, F.C. Semianalytical Models for the Formation of Disk Galaxies. I. Constraints from the Tully-Fisher Relation. Astrophys. J. 2000, 530, 177–192. [Google Scholar] [CrossRef]
- Sanders, R.H. Dark matter—Modified dynamics: Reaction vs. Prediction. arXiv 2019, arXiv:1912.00716. [Google Scholar]
- Zwaan, M.A.; van der Hulst, J.M.; de Blok, W.J.G.; McGaugh, S.S. The Tully-Fisher relation for low surface brightness galaxies: implications for galaxy evolution. Mon. Not. R. Astron. Soc. 1995, 273, L35–L38. [Google Scholar] [CrossRef]
- Sprayberry, D.; Bernstein, G.M.; Impey, C.D.; Bothun, G.D. The mass-to-light ratios of low surface brightness spiral galaxies: Clues from the Tully-Fisher relation. Astrophys. J. 1995, 438, 72–82. [Google Scholar] [CrossRef]
- Hoffman, G.L.; Salpeter, E.E.; Farhat, B.; Roos, T.; Williams, H.; Helou, G. Arecibo H i Mapping of a Large Sample of Dwarf Irregular Galaxies. Astrophys. J. Suppl. 1996, 105, 269. [Google Scholar] [CrossRef]
- Freeman, K.C. On the Disks of Spiral and S0 Galaxies. Astrophys. J. 1970, 160, 811. [Google Scholar] [CrossRef]
- Courteau, S.; Rix, H. Maximal Disks and the Tully-Fisher Relation. Astrophys. J. 1999, 513, 561–571. [Google Scholar] [CrossRef]
- de Blok, W.J.G.; McGaugh, S.S. Does Low Surface Brightness Mean Low Density? Astrophys. J. 1996, 469, L89. [Google Scholar] [CrossRef]
- Tully, R.B.; Verheijen, M.A.W. The Ursa Major Cluster of Galaxies. II. Bimodality of the Distribution of Central Surface Brightnesses. Astrophys. J. 1997, 484, 145. [Google Scholar] [CrossRef]
- McGaugh, S.S. Balance of Dark and Luminous Mass in Rotating Galaxies. Phys. Rev. Lett. 2005, 95, 171302. [Google Scholar] [CrossRef]
- Starkman, N.; Lelli, F.; McGaugh, S.; Schombert, J. A new algorithm to quantify maximum discs in galaxies. Mon. Not. R. Astron. Soc. 2018, 480, 2292–2301. [Google Scholar] [CrossRef]
- Swaters, R.A.; Sancisi, R.; van Albada, T.S.; van der Hulst, J.M. The rotation curves shapes of late-type dwarf galaxies. Astron. Astrophys. 2009, 493, 871–892. [Google Scholar] [CrossRef]
- Swaters, R.A.; Sancisi, R.; van der Hulst, J.M.; van Albada, T.S. The link between the baryonic mass distribution and the rotation curve shape. Mon. Not. R. Astron. Soc. 2012, 425, 2299–2308. [Google Scholar] [CrossRef]
- Lelli, F.; Fraternali, F.; Verheijen, M. A scaling relation for disc galaxies: Circular-velocity gradient versus central surface brightness. Mon. Not. R. Astron. Soc. 2013, 433, L30–L34. [Google Scholar] [CrossRef]
- Oman, K.A.; Navarro, J.F.; Fattahi, A.; Frenk, C.S.; Sawala, T.; White, S.D.M.; Bower, R.; Crain, R.A.; Furlong, M.; Schaller, M.; et al. The unexpected diversity of dwarf galaxy rotation curves. Mon. Not. R. Astron. Soc. 2015, 452, 3650–3665. [Google Scholar] [CrossRef]
- Rubin, V.C.; Thonnard, N.; Ford, W.K., Jr. Extended rotation curves of high-luminosity spiral galaxies. IV—Systematic dynamical properties, SA through SC. Astrophys. J. 1978, 225, L107–L111. [Google Scholar] [CrossRef]
- Bosma, A. 21-cm line studies of spiral galaxies. II—The distribution and kinematics of neutral hydrogen in spiral galaxies of various morphological types. Astron. J. 1981, 86, 1825–1846. [Google Scholar] [CrossRef]
- de Blok, W.J.G.; Walter, F.; Brinks, E.; Trachternach, C.; Oh, S.H.; Kennicutt, R.C. High-Resolution Rotation Curves and Galaxy Mass Models from THINGS. Astron. J. 2008, 136, 2648–2719. [Google Scholar] [CrossRef]
- Brouwer, M.M.; Visser, M.R.; Dvornik, A.; Hoekstra, H.; Kuijken, K.; Valentijn, E.A.; Bilicki, M.; Blake, C.; Brough, S.; Buddelmeijer, H.; et al. First test of Verlinde’s theory of emergent gravity using weak gravitational lensing measurements. Mon. Not. R. Astron. Soc. 2017, 466, 2547–2559. [Google Scholar] [CrossRef]
- Kent, S.M. Dark Matter in Spiral Galaxies. II. Galaxies with H I Rotation Curves. Astron. J. 1987, 93, 816. [Google Scholar] [CrossRef]
- Li, P.; Lelli, F.; McGaugh, S.; Schombert, J. A comprehensive catalog of dark matter halo models for SPARC galaxies. arXiv 2020, arXiv:2001.10538. [Google Scholar] [CrossRef]
- Sellwood, J.A.; McGaugh, S.S. The Compression of Dark Matter Halos by Baryonic Infall. Astrophys. J. 2005, 634, 70–76. [Google Scholar] [CrossRef]
- Disney, M.J.; Romano, J.D.; Garcia-Appadoo, D.A.; West, A.A.; Dalcanton, J.J.; Cortese, L. Galaxies appear simpler than expected. Nature 2008, 455, 1082–1084. [Google Scholar] [CrossRef] [PubMed]
- Dubinski, J.; Mihos, J.C.; Hernquist, L. Constraining Dark Halo Potentials with Tidal Tails. Astrophys. J. 1999, 526, 607–622. [Google Scholar] [CrossRef]
- McGaugh, S.S. How Galaxies Don’t Form: The Effective Force Law in Disk Galaxies. In Galaxy Dynamics—A Rutgers Symposium; Merritt, D.R., Valluri, M., Sellwood, J.A., Eds.; Astronomical Society of the Pacific Conference Series; Astronomical Society of the Pacific: San Francisco, CA, USA, 1999; Volume 182, p. 528. [Google Scholar]
- McGaugh, S.S. The Mass Discrepancy-Acceleration Relation: Disk Mass and the Dark Matter Distribution. Astrophys. J. 2004, 609, 652–666. [Google Scholar] [CrossRef]
- Bekenstein, J.D. Non-Newtonian gravitation and causality. In Developments in General Relativity, Astrophysics and Quantum Theory; Institute of Physics Publishing: Bristol, UK, 1990; pp. 155–174. [Google Scholar]
- McGaugh, S. The Third Law of Galactic Rotation. Galaxies 2014, 2, 601–622. [Google Scholar] [CrossRef]
- de Blok, W.J.G.; McGaugh, S.S. The dark and visible matter content of low surface brightness disc galaxies. Mon. Not. R. Astron. Soc. 1997, 290, 533–552. [Google Scholar] [CrossRef]
- de Blok, W.J.G.; McGaugh, S.S. Testing Modified Newtonian Dynamics with Low Surface Brightness Galaxies: Rotation Curve FITS. Astrophys. J. 1998, 508, 132–140. [Google Scholar] [CrossRef]
- Fall, S.M.; Efstathiou, G. Formation and rotation of disc galaxies with haloes. Mon. Not. R. Astron. Soc. 1980, 193, 189–206. [Google Scholar] [CrossRef]
- Navarro, J.F.; Frenk, C.S.; White, S.D.M. A Universal Density Profile from Hierarchical Clustering. Astrophys. J. 1997, 490, 493–508. [Google Scholar] [CrossRef]
- Scannapieco, C.; Wadepuhl, M.; Parry, O.H.; Navarro, J.F.; Jenkins, A.; Springel, V.; Teyssier, R.; Carlson, E.; Couchman, H.M.P.; Crain, R.A.; et al. The Aquila comparison project: The effects of feedback and numerical methods on simulations of galaxy formation. Mon. Not. R. Astron. Soc. 2012, 423, 1726–1749. [Google Scholar] [CrossRef]
- Milgrom, M. Quasi-linear formulation of MOND. Mon. Not. R. Astron. Soc. 2010, 403, 886–895. [Google Scholar] [CrossRef]
- Milgrom, M.; Sanders, R.H. Rings and Shells of “Dark Matter” as MOND Artifacts. Astrophys. J. 2008, 678, 131–143. [Google Scholar] [CrossRef]
- McGaugh, S.S. Milky Way Mass Models and MOND. Astrophys. J. 2008, 683, 137–148. [Google Scholar] [CrossRef]
- Famaey, B.; Binney, J. Modified Newtonian dynamics in the Milky Way. Mon. Not. R. Astron. Soc. 2005, 363, 603–608. [Google Scholar] [CrossRef]
- Hees, A.; Famaey, B.; Angus, G.W.; Gentile, G. Combined Solar system and rotation curve constraints on MOND. Mon. Not. R. Astron. Soc. 2016, 455, 449–461. [Google Scholar] [CrossRef]
- Li, P.; Lelli, F.; McGaugh, S.; Schombert, J. Fitting the radial acceleration relation to individual SPARC galaxies. Astron. Astrophys. 2018, 615, A3. [Google Scholar] [CrossRef]
- Sanders, R.H.; Verheijen, M.A.W. Rotation Curves of Ursa Major Galaxies in the Context of Modified Newtonian Dynamics. Astrophys. J. 1998, 503, 97–108. [Google Scholar] [CrossRef]
- Sanders, R.H. The prediction of rotation curves in gas-dominated dwarf galaxies with modified dynamics. Mon. Not. R. Astron. Soc. 2019, 485, 513–521. [Google Scholar] [CrossRef]
- Swaters, R.A.; Sanders, R.H.; McGaugh, S.S. Testing Modified Newtonian Dynamics with Rotation Curves of Dwarf and Low Surface Brightness Galaxies. Astrophys. J. 2010, 718, 380–391. [Google Scholar] [CrossRef]
- Gentile, G.; Famaey, B.; de Blok, W.J.G. THINGS about MOND. Astron. Astrophys. 2011, 527, A76. [Google Scholar] [CrossRef]
- Bottema, R.; Pestaña, J.L.G.; Rothberg, B.; Sand ers, R.H. MOND rotation curves for spiral galaxies with Cepheid-based distances. Astron. Astrophys. 2002, 393, 453–460. [Google Scholar] [CrossRef]
- Dutton, A.A.; Macciò, A.V. Cold dark matter haloes in the Planck era: Evolution of structural parameters for Einasto and NFW profiles. Mon. Not. R. Astron. Soc. 2014, 441, 3359–3374. [Google Scholar] [CrossRef]
- Wechsler, R.H.; Tinker, J.L. The Connection Between Galaxies and Their Dark Matter Halos. Ann. Rev. Astron. Astrophys. 2018, 56, 435–487. [Google Scholar] [CrossRef]
- Bell, E.F.; de Jong, R.S. Stellar Mass-to-Light Ratios and the Tully-Fisher Relation. Astrophys. J. 2001, 550, 212–229. [Google Scholar] [CrossRef]
- Portinari, L.; Sommer-Larsen, J.; Tantalo, R. On the mass-to-light ratio and the initial mass function in disc galaxies. Mon. Not. R. Astron. Soc. 2004, 347, 691–719. [Google Scholar] [CrossRef]
- Sancisi, R. The visible matter—Dark matter coupling. In Dark Matter in Galaxies; Ryder, S., Pisano, D., Walker, M., Freeman, K., Eds.; IAU Symposium; Cambridge University Press: Cambridge, UK, 2004; Volume 220, p. 233. [Google Scholar]
- van Albada, T.S.; Sancisi, R. Dark Matter in Spiral Galaxies. Philos. Trans. R. Soc. Lond. Ser. A 1986, 320, 447–464. [Google Scholar] [CrossRef]
- Sellwood, J.A. Dynamical Constraints on Disk Masses. In Galaxy Dynamics—A Rutgers Symposium; Merritt, D.R., Valluri, M., Sellwood, J.A., Eds.; Astronomical Society of the Pacific Conference Series; Astronomical Society of the Pacific: San Francisco, CA, USA, 1999; Volume 182. [Google Scholar]
- Palunas, P.; Williams, T.B. Maximum Disk Mass Models for Spiral Galaxies. Astron. J. 2000, 120, 2884–2903. [Google Scholar] [CrossRef]
- Freeman, K.C. Dark Matter from the Observational Perspective. In American Institute of Physics Conference Series; Debattista, V.P., Popescu, C.C., Eds.; AIP Publishing: Melville, NY, USA, 2010; Volume 1240, pp. 309–318. [Google Scholar] [CrossRef]
- Verheijen, M.; de Blok, E. The HSB/LSB Galaxies NGC 2403 and UGC 128. Ap&SS 1999, 269, 673–674. [Google Scholar] [CrossRef]
- Gentile, G.; Baes, M.; Famaey, B.; van Acoleyen, K. Mass models from high-resolution HI data of the dwarf galaxy NGC 1560. Mon. Not. R. Astron. Soc. 2010, 406, 2493–2503. [Google Scholar] [CrossRef]
- Tully, R.B.; Rizzi, L.; Shaya, E.J.; Courtois, H.M.; Makarov, D.I.; Jacobs, B.A. The Extragalactic Distance Database. Astron. J. 2009, 138, 323–331. [Google Scholar] [CrossRef]
- Jacobs, B.A.; Rizzi, L.; Tully, R.B.; Shaya, E.J.; Makarov, D.I.; Makarova, L. The Extragalactic Distance Database: Color-Magnitude Diagrams. Astron. J. 2009, 138, 332–337. [Google Scholar] [CrossRef]
- Ren, T.; Kwa, A.; Kaplinghat, M.; Yu, H.B. Reconciling the Diversity and Uniformity of Galactic Rotation Curves with Self-Interacting Dark Matter. PRX 2019, 9, 031020. [Google Scholar] [CrossRef]
- Ostriker, J.P.; Peebles, P.J.E. A Numerical Study of the Stability of Flattened Galaxies: Or, can Cold Galaxies Survive? Astrophys. J. 1973, 186, 467–480. [Google Scholar] [CrossRef]
- Sellwood, J.A. Secular evolution in disk galaxies. Rev. Mod. Phys. 2014, 86, 1–46. [Google Scholar] [CrossRef]
- Sellwood, J.A. Bar Instability in Disk-Halo Systems. Astrophys. J. 2016, 819, 92. [Google Scholar] [CrossRef]
- Sellwood, J.A.; Shen, J.; Li, Z. The global stability of M33: Still a puzzle. Mon. Not. R. Astron. Soc. 2019, 486, 4710–4723. [Google Scholar] [CrossRef]
- Disney, M.J. Visibility of galaxies. Nature 1976, 263, 573–575. [Google Scholar] [CrossRef]
- Allen, R.J.; Shu, F.H. The extrapolated central surface brightness of galaxies. Astrophys. J. 1979, 227, 67–72. [Google Scholar] [CrossRef]
- Cross, N.; Driver, S.P. The bivariate brightness function of galaxies and a demonstration of the impact of surface brightness selection effects on luminosity function estimations. Mon. Not. R. Astron. Soc. 2002, 329, 579–587. [Google Scholar] [CrossRef]
- Milgrom, M. On Stability of Galactic Disks in the Modified Dynamics and the Distribution of Their Mean Surface-Brightness. Astrophys. J. 1989, 338, 121. [Google Scholar] [CrossRef]
- Brada, R.; Milgrom, M. Stability of Disk Galaxies in the Modified Dynamics. Astrophys. J. 1999, 519, 590–598. [Google Scholar] [CrossRef]
- Tiret, O.; Combes, F. Evolution of spiral galaxies in modified gravity. II. Gas dynamics. Astron. Astrophys. 2008, 483, 719–726. [Google Scholar] [CrossRef]
- Jiménez, M.A.; Hernandez, X. Disk stability under MONDian gravity. arXiv 2014, arXiv:1406.0537. [Google Scholar]
- Thies, I.; Kroupa, P.; Famaey, B. Simulating disk galaxies and interactions in Milgromian dynamics. arXiv 2016, arXiv:1606.04942. [Google Scholar]
- Sánchez-Salcedo, F.J.; Martínez-Gómez, E.; Aguirre-Torres, V.M.; Hernández-Toledo, H.M. Low-mass disc galaxies and the issue of stability: MOND versus dark matter. Mon. Not. R. Astron. Soc. 2016, 462, 3918–3936. [Google Scholar] [CrossRef]
- Banik, I.; Milgrom, M.; Zhao, H. Toomre stability of disk galaxies in quasi-linear MOND. arXiv 2018, arXiv:1808.10545. [Google Scholar]
- Sellwood, J.A.; Evans, N.W. The Stability of Disks in Cusped Potentials. Astrophys. J. 2001, 546, 176–188. [Google Scholar] [CrossRef]
- Dalcanton, J.J.; Spergel, D.N.; Summers, F.J. The Formation of Disk Galaxies. Astrophys. J. 1997, 482, 659–676. [Google Scholar] [CrossRef]
- Oh, S.; de Blok, W.J.G.; Walter, F.; Brinks, E.; Kennicutt, R.C. High-Resolution Dark Matter Density Profiles of THINGS Dwarf Galaxies: Correcting for Noncircular Motions. Astron. J. 2008, 136, 2761–2781. [Google Scholar] [CrossRef]
- Martinsson, T.P.K.; Verheijen, M.A.W.; Westfall, K.B.; Bershady, M.A.; Andersen, D.R.; Swaters, R.A. The DiskMass Survey. VII. The distribution of luminous and dark matter in spiral galaxies. Astron. Astrophys. 2013, 557, A131. [Google Scholar] [CrossRef]
- Bekenstein, J.; Milgrom, M. Does the missing mass problem signal the breakdown of Newtonian gravity? Astrophys. J. 1984, 286, 7–14. [Google Scholar] [CrossRef]
- Milgrom, M. Dynamics with a Nonstandard Inertia-Acceleration Relation: An Alternative to Dark Matter in Galactic Systems. Ann. Phys. 1994, 229, 384–415. [Google Scholar] [CrossRef]
- Milgrom, M. The modified dynamics as a vacuum effect. Phys. Lett. A 1999, 253, 273–279. [Google Scholar] [CrossRef]
- Milgrom, M. MOND laws of galactic dynamics. Mon. Not. R. Astron. Soc. 2014, 437, 2531–2541. [Google Scholar] [CrossRef]
- Das, M.; McGaugh, S.S.; Ianjamasimanana, R.; Schombert, J.; Dwarakanath, K.S. Tracing the Dynamical Mass in Galaxy Disks Using H i Velocity Dispersion and Its Implications for the Dark Matter Distribution in Galaxies. Astrophys. J. 2020, 889, 10. [Google Scholar] [CrossRef]
- Sanders, R.H. Clusters of galaxies with modified Newtonian dynamics. Mon. Not. R. Astron. Soc. 2003, 342, 901–908. [Google Scholar] [CrossRef]
- Sanders, R.H. Neutrinos as cluster dark matter. Mon. Not. R. Astron. Soc. 2007, 380, 331–338. [Google Scholar] [CrossRef]
- Angus, G.W.; Famaey, B.; Buote, D.A. X-ray group and cluster mass profiles in MOND: Unexplained mass on the group scale. Mon. Not. R. Astron. Soc. 2008, 387, 1470–1480. [Google Scholar] [CrossRef]
- Tian, Y.; Umetsu, K.; Ko, C.M.; Donahue, M.; Chiu, I.N. The Radial Acceleration Relation in CLASH Galaxy Clusters. arXiv 2020, arXiv:2001.08340. [Google Scholar]
- McGaugh, S.S. The Imprint of Spiral Arms on the Galactic Rotation Curve. Astrophys. J. 2019, 885, 87. [Google Scholar] [CrossRef]
- McGaugh, S.S. The Surface Density Profile of the Galactic Disk from the Terminal Velocity Curve. Astrophys. J. 2016, 816, 42. [Google Scholar] [CrossRef]
- Lisanti, M.; Moschella, M.; Outmezguine, N.J.; Slone, O. Testing Dark Matter and Modifications to Gravity using Local Milky Way Observables. arXiv 2018, arXiv:1812.08169. [Google Scholar] [CrossRef]
- McGaugh, S.S. A Precise Milky Way Rotation Curve Model for an Accurate Galactocentric Distance. Res. Notes Am. Astron. Soc. 2018, 2, 156. [Google Scholar] [CrossRef]
- Bienaymé, O.; Famaey, B.; Siebert, A.; Freeman, K.C.; Gibson, B.K.; Gilmore, G.; Grebel, E.K.; Bland-Hawthorn, J.; Kordopatis, G.; Munari, U.; et al. Weighing the local dark matter with RAVE red clump stars. Astron. Astrophys. 2014, 571, A92. [Google Scholar] [CrossRef]
- Bershady, M.A.; Verheijen, M.A.W.; Swaters, R.A.; Andersen, D.R.; Westfall, K.B.; Martinsson, T. The DiskMass Survey. I. Overview. Astrophys. J. 2010, 716, 198–233. [Google Scholar] [CrossRef]
- Swaters, R.A.; Bershady, M.A.; Martinsson, T.P.K.; Westfall, K.B.; Andersen, D.R.; Verheijen, M.A.W. The Link between Light and Mass in Late-type Spiral Galaxy Disks. Astrophys. J. 2014, 797, L28. [Google Scholar] [CrossRef]
- Angus, G.W.; Gentile, G.; Swaters, R.; Famaey, B.; Diaferio, A.; McGaugh, S.S.; Heyden, K.J.v.d. Mass models of disc galaxies from the DiskMass Survey in modified Newtonian dynamics. Mon. Not. R. Astron. Soc. 2015, 451, 3551–3580. [Google Scholar] [CrossRef][Green Version]
- Milgrom, M. Critical take on “Mass models of disk galaxies from the DiskMass Survey in MOND”. arXiv 2015, arXiv:1511.08087. [Google Scholar]
- Angus, G.W.; Gentile, G.; Famaey, B. Dynamical measurement of the stellar surface density of face-on galaxies. Astron. Astrophys. 2016, 585, A17. [Google Scholar] [CrossRef]
- Aniyan, S.; Freeman, K.C.; Gerhard, O.E.; Arnaboldi, M.; Flynn, C. The influence of a kinematically cold young component on disc-halo decompositions in spiral galaxies: Insights from solar neighbourhood K-giants. Mon. Not. R. Astron. Soc. 2016, 456, 1484–1494. [Google Scholar] [CrossRef][Green Version]
- Meurer, G.R.; Staveley-Smith, L.; Killeen, N.E.B. HI and dark matter in the windy starburst dwarf galaxy NGC 1705. Mon. Not. R. Astron. Soc. 1998, 300, 705–717. [Google Scholar] [CrossRef][Green Version]
- Olling, R.P. The Highly Flattened Dark Matter Halo of NGC 4244. Astron. J. 1996, 112, 481. [Google Scholar] [CrossRef]
- Matthews, L.D.; Gallagher, J.S.I.; van Driel, W. The Extraordinary “Superthin” Spiral Galaxy UGC 7321. I. Disk Color Gradients and Global Properties from Multiwavelength Observations. Astron. J. 1999, 118, 2751–2766. [Google Scholar] [CrossRef]
- Matthews, L.D. The Extraordinary “Superthin” Spiral Galaxy UGC 7321. II. The Vertical Disk Structure. Astron. J. 2000, 120, 1764–1778. [Google Scholar] [CrossRef]
- Matthews, L.D.; Uson, J.M. H I Imaging Observations of Superthin Galaxies. II. IC 2233 and the Blue Compact Dwarf NGC 2537. Astron. J. 2008, 135, 291–318. [Google Scholar] [CrossRef][Green Version]
- Springel, V.; White, S.D.M.; Hernquist, L. The shapes of simulated dark matter halos. In Dark Matter in Galaxies; Ryder, S., Pisano, D., Walker, M., Freeman, K., Eds.; IAU Symposium; Cambridge University Press: Cambridge, UK, 2004; Volume 220, p. 421. [Google Scholar]
- Chua, K.T.E.; Pillepich, A.; Vogelsberger, M.; Hernquist, L. Shape of dark matter haloes in the Illustris simulation: Effects of baryons. Mon. Not. R. Astron. Soc. 2019, 484, 476–493. [Google Scholar] [CrossRef]
- Mihos, J.C.; McGaugh, S.S.; de Blok, W.J.G. Dynamical Stability and Environmental Influences in Low Surface Brightness Disk Galaxies. Astrophys. J. 1997, 477, L79–L83. [Google Scholar] [CrossRef]
- Athanassoula, E.; Bosma, A.; Papaioannou, S. Halo parameters of spiral galaxies. Astron. Astrophys. 1987, 179, 23–40. [Google Scholar]
- Peters, W.; Kuzio de Naray, R. Characterizing bars in low surface brightness disc galaxies. Mon. Not. R. Astron. Soc. 2018, 476, 2938–2961. [Google Scholar] [CrossRef]
- Schombert, J.; Maciel, T.; McGaugh, S.S. Stellar Populations and the Star Formation Histories of LSB Galaxies—Part I: Optical and Hα Imaging. Adv. Astron. 2011, 2011, 143698. [Google Scholar] [CrossRef]
- McGaugh, S.S.; Schombert, J.M.; Bothun, G.D. The Morphology of Low Surface Brightness Disk Galaxies. Astron. J. 1995, 109, 2019. [Google Scholar] [CrossRef]
- Schombert, J.M. On the Structural Differences between Disk and Dwarf Galaxies. Astron. J. 2006, 131, 296–303. [Google Scholar] [CrossRef][Green Version]
- Peters, W.; Kuzio de Naray, R. Bar properties and photometry of barred low surface brightness disc galaxies. Mon. Not. R. Astron. Soc. 2019, 484, 850–868. [Google Scholar] [CrossRef]
- Debattista, V.P.; Sellwood, J.A. Constraints from Dynamical Friction on the Dark Matter Content of Barred Galaxies. Astrophys. J. 2000, 543, 704–721. [Google Scholar] [CrossRef]
- Weiner, B.J.; Williams, T.B.; van Gorkom, J.H.; Sellwood, J.A. The Disk and Dark Halo Mass of the Barred Galaxy NGC 4123. I. Observations. Astrophys. J. 2001, 546, 916–930. [Google Scholar] [CrossRef]
- Bovy, J.; Rix, H.W. A Direct Dynamical Measurement of the Milky Way’s Disk Surface Density Profile, Disk Scale Length, and Dark Matter Profile at 4 kpc <~ R <~ 9 kpc. Astrophys. J. 2013, 779, 115. [Google Scholar] [CrossRef]
- Fuchs, B. Massive disks in low surface brightness galaxies. Astrophys. Space Sci. 2003, 284, 719–722. [Google Scholar] [CrossRef]
- Bland-Hawthorn, J.; Gerhard, O. The Galaxy in Context: Structural, Kinematic, and Integrated Properties. Ann. Rev. Astron. Astrophys. 2016, 54, 529–596. [Google Scholar] [CrossRef]
- Fuchs, B. Dynamics of the disks of nearby galaxies. Astron. Nachrichten 2008, 329, 916. [Google Scholar] [CrossRef]
- Saburova, A.S.; Zasov, A.V. Gravitational stability and mass estimation of stellar disks. Astron. Nachrichten 2013, 334, 785. [Google Scholar] [CrossRef]
- de Blok, W.J.G.; McGaugh, S.S.; van der Hulst, J.M. HI observations of low surface brightness galaxies: Probing low-density galaxies. Mon. Not. R. Astron. Soc. 1996, 283, 18–54. [Google Scholar] [CrossRef]
- van den Bosch, F.C.; Robertson, B.E.; Dalcanton, J.J.; de Blok, W.J.G. Constraints on the Structure of Dark Matter Halos from the Rotation Curves of Low Surface Brightness Galaxies. Astron. J. 2000, 119, 1579–1591. [Google Scholar] [CrossRef]
- McGaugh, S.S.; Rubin, V.C.; de Blok, W.J.G. High-Resolution Rotation Curves of Low Surface Brightness Galaxies. I. Data. Astron. J. 2001, 122, 2381–2395. [Google Scholar] [CrossRef]
- de Blok, W.J.G.; Bosma, A. High-resolution rotation curves of low surface brightness galaxies. Astron. Astrophys. 2002, 385, 816–846. [Google Scholar] [CrossRef]
- Swaters, R.A.; Madore, B.F.; van den Bosch, F.C.; Balcells, M. The Central Mass Distribution in Dwarf and Low Surface Brightness Galaxies. Astrophys. J. 2003, 583, 732–751. [Google Scholar] [CrossRef]
- de Blok, W.J.G.; Bosma, A.; McGaugh, S. Simulating observations of dark matter dominated galaxies: Towards the optimal halo profile. Mon. Not. R. Astron. Soc. 2003, 340, 657–678. [Google Scholar] [CrossRef]
- Kuzio de Naray, R.; McGaugh, S.S.; de Blok, W.J.G.; Bosma, A. High-Resolution Optical Velocity Fields of 11 Low Surface Brightness Galaxies. Astrophys. J. 2006, 165, 461–479. [Google Scholar] [CrossRef]
- Kuzio de Naray, R.; McGaugh, S.S.; de Blok, W.J.G. Mass Models for Low Surface Brightness Galaxies with High-Resolution Optical Velocity Fields. Astrophys. J. 2008, 676, 920–943. [Google Scholar] [CrossRef]
- Hayashi, E.; Navarro, J.F.; Springel, V. The shape of the gravitational potential in cold dark matter haloes. Mon. Not. R. Astron. Soc. 2007, 377, 50–62. [Google Scholar] [CrossRef]
- Kuzio de Naray, R.; McGaugh, S.S.; Mihos, J.C. Constraining the NFW Potential with Observations and Modeling of Low Surface Brightness Galaxy Velocity Fields. Astrophys. J. 2009, 692, 1321–1332. [Google Scholar] [CrossRef]
- Kuzio de Naray, R.; Kaufmann, T. Recovering cores and cusps in dark matter haloes using mock velocity field observations. Mon. Not. R. Astron. Soc. 2011, 414, 3617–3626. [Google Scholar] [CrossRef]
- Ludlow, A.D.; Benítez-Llambay, A.; Schaller, M.; Theuns, T.; Frenk, C.S.; Bower, R.; Schaye, J.; Crain, R.A.; Navarro, J.F.; Fattahi, A. Mass-Discrepancy Acceleration Relation: A Natural Outcome of Galaxy Formation in Cold Dark Matter Halos. Phys. Rev. Lett. 2017, 118, 161103. [Google Scholar] [CrossRef] [PubMed]
- Navarro, J.F.; Benítez-Llambay, A.; Fattahi, A.; Frenk, C.S.; Ludlow, A.D.; Oman, K.A.; Schaller, M.; Theuns, T. The origin of the mass discrepancy-acceleration relation in ΛCDM. Mon. Not. R. Astron. Soc. 2017, 471, 1841–1848. [Google Scholar] [CrossRef]
- Dutton, A.A.; Macciò, A.V.; Obreja, A.; Buck, T. NIHAO-XVIII. Origin of the MOND phenomenology of galactic rotation curves in a ΛCDM universe. Mon. Not. R. Astron. Soc. 2019, 485, 1886–1899. [Google Scholar] [CrossRef]
- Wheeler, C.; Hopkins, P.F.; Doré, O. The Radial Acceleration Relation Is a Natural Consequence of the Baryonic Tully-Fisher Relation. Astrophys. J. 2019, 882, 46. [Google Scholar] [CrossRef]
- McGaugh, S.S.; Milgrom, M. Andromeda Dwarfs in Light of Modified Newtonian Dynamics. Astrophys. J. 2013, 766, 22. [Google Scholar] [CrossRef]
- McGaugh, S.S.; Milgrom, M. Andromeda Dwarfs in Light of MOND. II. Testing Prior Predictions. Astrophys. J. 2013, 775, 139. [Google Scholar] [CrossRef]
- Pawlowski, M.S.; McGaugh, S.S. Perseus I and the NGC 3109 association in the context of the Local Group dwarf galaxy structures. Mon. Not. R. Astron. Soc. 2014, 440, 908–919. [Google Scholar] [CrossRef]
- McGaugh, S.S. MOND Prediction for the Velocity Dispersion of the “Feeble Giant” Crater II. Astrophys. J. 2016, 832, L8. [Google Scholar] [CrossRef]
- Rodrigues, D.C.; Marra, V.; del Popolo, A.; Davari, Z. Absence of a fundamental acceleration scale in galaxies. Nat. Astron. 2018, 2, 668–672. [Google Scholar] [CrossRef]
- Zhao, H.; Li, B. Dark Fluid: A Unified Framework for Modified Newtonian Dynamics, Dark Matter, and Dark Energy. Astrophys. J. 2010, 712, 130–141. [Google Scholar] [CrossRef]
- Blanchet, L. Gravitational polarization and the phenomenology of MOND. Class. Quantum Gravity 2007, 24, 3529–3539. [Google Scholar] [CrossRef]
- Berezhiani, L.; Khoury, J. Theory of dark matter superfluidity. Phys. Rev. D 2015, 92, 103510. [Google Scholar] [CrossRef]
- Bekenstein, J.D. Relativistic gravitation theory for the modified Newtonian dynamics paradigm. Phys. Rev. D 2004, 70, 083509. [Google Scholar] [CrossRef]
- Milgrom, M. Bimetric MOND gravity. Phys. Rev. D 2009, 80, 123536. [Google Scholar] [CrossRef]
- Clifton, T.; Ferreira, P.G.; Padilla, A.; Skordis, C. Modified gravity and cosmology. Phys. Rep. 2012, 513, 1–189. [Google Scholar] [CrossRef]
- Skordis, C.; Złośnik, T. Gravitational alternatives to dark matter with tensor mode speed equaling the speed of light. Phys. Rev. D 2019, 100, 104013. [Google Scholar] [CrossRef]
- Hernandez, X.; Sussman, R.A.; Nasser, L. Approaching the Dark Sector through a bounding curvature criterion. Mon. Not. R. Astron. Soc. 2019, 483, 147–151. [Google Scholar] [CrossRef]
| 1. | |
| 2. | The NASA/IPAC Extragalactic Database (NED) is operated by the Jet Propulsion Laboratory, California Institute of Technology, under contract with the National Aeronautics and Space Administration. |
| 3. | Systematic errors were repeatedly invoked. First it was beam smearing [192]. This was a legitimate concern in a minority of cases; it was addressed by improving the spatial resolution of the data with long slit observations [193,194]. Then concerns were raised that these observations suffered from slit alignment errors [195]. This was never a serious concern [193,196], as confirmed by subsequent improvements to the data [197,198]. A variety of physical effects were then invoked; e.g., grossly non-circular motions [199], which could also be excluded [200,201]. This is what it looks like when the normal component makes excuses to disregard the obvious implications of inconvenient data. |
| 4. | |
| 5. | |
| 6. | Most commonly, Y = clusters of galaxies or large scale structure. These are discussed in [24] and references therein. |
| 7. | The literature contains contradictory statements on this point [210], but these usually stem from holding MOND to a higher standard than dark matter. Galaxies that have bad fits in MOND also have bad dark matter fits (in terms of [94]). This is a sign that the uncertainties have been underestimated, not that must vary or that all conceivable models are wrong. |









| Prediction | Test Positive? | A Priori? |
|---|---|---|
| MASR (Tully–Fisher) | ||
| Property 1. Normalization | Yes | No |
| Property 2. Slope | Yes | No |
| Property 3. Mass & Asymptotic Speed | Yes | Yes |
| Property 4. Surface Brightness Independence | Yes | Yes |
| Rotation Curves | ||
| Property 5. Flat Rotation Curves | Yes | No |
| Property 6. Acceleration Discrepancy | Yes | Yes |
| Property 7. Rotation Curve Shapes | Yes | Yes |
| Property 8. Surface Brightness & Density | Yes | Yes |
| Property 9. Detailed Fits | Yes | No |
| Property 10. Stellar Population | Yes | — |
| Property 11. Feature Correspondence | Yes | — |
| Disk Stability | ||
| Property 12. Freeman Limit | Yes | No |
| Property 13. Vertical Velocity Dispersions | ? | No |
| Property 14. LSB Galaxy Morphology | Yes | Yes |
© 2020 by the author. Licensee MDPI, Basel, Switzerland. This article is an open access article distributed under the terms and conditions of the Creative Commons Attribution (CC BY) license (http://creativecommons.org/licenses/by/4.0/).
Share and Cite
McGaugh, S. Predictions and Outcomes for the Dynamics of Rotating Galaxies. Galaxies 2020, 8, 35. https://doi.org/10.3390/galaxies8020035
McGaugh S. Predictions and Outcomes for the Dynamics of Rotating Galaxies. Galaxies. 2020; 8(2):35. https://doi.org/10.3390/galaxies8020035
Chicago/Turabian StyleMcGaugh, Stacy. 2020. "Predictions and Outcomes for the Dynamics of Rotating Galaxies" Galaxies 8, no. 2: 35. https://doi.org/10.3390/galaxies8020035
APA StyleMcGaugh, S. (2020). Predictions and Outcomes for the Dynamics of Rotating Galaxies. Galaxies, 8(2), 35. https://doi.org/10.3390/galaxies8020035

