Irradiation Investigation: Exploring the Molecular Gas in NGC 7293
Abstract
1. Introduction
2. Observations
2.1. Single-Dish Observations: IRAM 30 m and APEX 12 m
2.2. ALMA
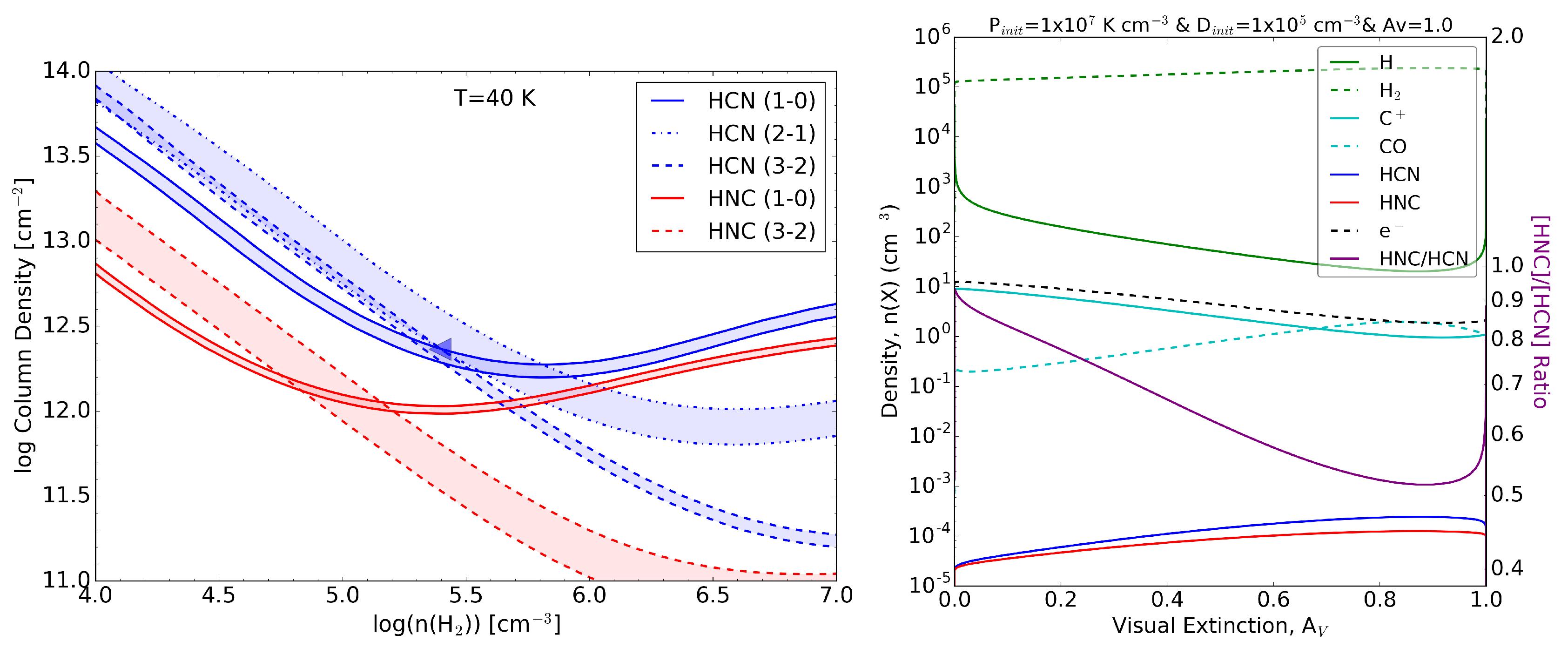
2.3. Modeling
3. Discussion
Author Contributions
Funding
Acknowledgments
Conflicts of Interest
References
- Kastner, J.H.; Montez, R., Jr.; Balick, B.; Frew, D.J.; Miszalski, B.; Sahai, R.; Blackman, E.; Chu, Y.-H.; Marco, O.D.; Frank, A.; et al. The CHANDRA X-ray survey of planetary nebulae (ChanPlaNS): Probing binarity, magnetic fields, and wind collisions. Astron. J. 2012, 144, 58. [Google Scholar]
- Bublitz, J.; Kastner, J.H.; Santander-García, M.; Bujarrabal, V.; Alcolea, J.; Montez, R. A new radio molecular line survey of planetary nebulae-HNC/HCN as a diagnostic of ultraviolet irradiation. Astron. Astrophys. 2019, 625, A101. [Google Scholar] [CrossRef]
- Hacar, A.; Bosman, A.D.; van Dishoeck, E.F. HCN-to-HNC intensity ratio: A new chemical thermometer for the molecular ISM. Astron. Astrophys. 2020, 635, A4. [Google Scholar] [CrossRef]
- Schilke, P.; Walmsley, C.M.; Pineau Des Forets, G.; Roueff, E.; Flower, D.R.; Guilloteau, S. A study of HCN, HNC and their isotopomers in OMC-1. I-Abundances and chemistry. Astron. Astrophys. 1992, 256, 595. [Google Scholar]
- Graninger, D.M.; Herbst, E.; Öberg, K.I.; Vasyunin, A.I. The HNC/HCN ratio in star-forming regions. Astrophys. J. 2014, 787, 74. [Google Scholar] [CrossRef]
- Graninger, D.; Öberg, K.I.; Qi, C.; Kastner, J. HNC in protoplanetary disks. Astron. Astrophys. Lett. 2015, 807, L15. [Google Scholar] [CrossRef]
- Hirota, T.; Yamamoto, S.; Mikami, H.; Ohishi, M. Abundances of HCN and HNC in dark cloud cores. Astrophys. J. 1998, 503, 717. [Google Scholar] [CrossRef]
- Jin, M.; Lee, J.-E.; Kim, K.-T. The HCN/HNC abundance ratio toward different evolutionary phases of massive star formation. Astrophys. J. 2015, 219, 1. [Google Scholar] [CrossRef]
- Aguado, A.; Roncero, O.; Zanchet, A.; Agúndez, M.; Cernicharo, J. The Photodissociation of HCN and HNC: Effects on the HNC/HCN Abundance Ratio in the Interstellar Medium. Astrophys. J. 2017, 838, 33. [Google Scholar] [CrossRef] [PubMed]
- Schmidt, D.R.; Ziurys, L. New detections of HNC in planetary nebulae: Evolution of the [HCN]/[HNC] ratio. Astrophys. J. 2017, 835, 79. [Google Scholar] [CrossRef]
- Gaia Collaboration; Brown, A.G.A.; Vallenari, A.; Prusti, T.; de Bruijne, J.H.J.; Babusiaux, C.; Bailer-Jones, C.A.L.; Biermann, M.; Evans, D.W.; Eyer, L.; et al. Gaia Data Release 2 Summary of the contents and survey properties. Astron. Astrophys. 2018, 616, A1. [Google Scholar]
- Montez, R., Jr.; Kastner, J.H.; Balick, B.; Behar, E.; Blackman, E.; Bujarrabal, V.; Chu, Y.-H.; Corradi, R.L.M.; Marco, O.D.; Frank, A.; et al. The CHANDRA planetary nebula survey (ChanPlaNS). III. X-ray emission from the central stars of planetary nebulae. Astrophys. J. 2015, 800, 8. [Google Scholar] [CrossRef]
- Guerrero, M.A.; Chu, Y.-H.; Gruendl, R.A.; Williams, R.M.; Kaler, J.B. The enigmatic x-ray point sources at the central stars of ngc 6543 and ngc 7293. Astrophys. J. 2001, 553, L55. [Google Scholar] [CrossRef]
- Hora, J.L.; Latter, W.B.; Smith, H.A.; Marengo, M. Infrared observations of the helix planetary nebula. Astrophys. J. 2006, 652, 426. [Google Scholar] [CrossRef]
- Huggins, P.J.; Bachiller, R.; Cox, P.; Forveille, T. CO in the cometary globules of the Helix nebula. Astrophys. J. 1992, 401, L43. [Google Scholar] [CrossRef]
- Meaburn, J.; Clayton, C.A.; Bryce, M.; Walsh, J.R.; Holloway, A.J.; Steffen, W. The nature of the cometary knots in the helix planetary nebula (NGC 7293). MNRAS 1998, 294, 201. [Google Scholar] [CrossRef]
- Young, K.; Cox, P.; Huggins, P.; Forveille, T.; Bachiller, R. The molecular envelope of the helix nebula. Astrophys. J. 1999, 522, 387. [Google Scholar] [CrossRef][Green Version]
- Andriantsaralaza, M.; Zijlstra, A.A.; Avison, A. CO in the C1 globule of the Helix nebula with ALMA. MNRAS 2019, 491, 758. [Google Scholar] [CrossRef]
- van der Tak, F.F.S.; Black, J.H.; Schöier, F.L.; Jansen, D.J.; van Dishoeck, E.F. A computer program for fast non-LTE analysis of interstellar line spectra with diagnostic plots to interpret observed line intensity ratios. Astron. Astrophys. 2007, 468, 627. [Google Scholar] [CrossRef]
- Levenhagen, R.S.; Diaz, M.P.; Coelho, P.R.T.; Hubney, I. A grid of synthetic spectra for hot da white dwarfs and its application in stellar population synthesis. Astrophys. J. Suppl. Ser. 2017, 231, 1. [Google Scholar] [CrossRef]



© 2020 by the authors. Licensee MDPI, Basel, Switzerland. This article is an open access article distributed under the terms and conditions of the Creative Commons Attribution (CC BY) license (http://creativecommons.org/licenses/by/4.0/).
Share and Cite
Bublitz, J.; Kastner, J.; Hily-Blant, P.; Forveille, T.; Santander-García, M.; Bujarrabal, V.; Alcolea, J.; Montez, R., Jr. Irradiation Investigation: Exploring the Molecular Gas in NGC 7293. Galaxies 2020, 8, 32. https://doi.org/10.3390/galaxies8020032
Bublitz J, Kastner J, Hily-Blant P, Forveille T, Santander-García M, Bujarrabal V, Alcolea J, Montez R Jr. Irradiation Investigation: Exploring the Molecular Gas in NGC 7293. Galaxies. 2020; 8(2):32. https://doi.org/10.3390/galaxies8020032
Chicago/Turabian StyleBublitz, Jesse, Joel Kastner, Pierre Hily-Blant, Thierry Forveille, Miguel Santander-García, Valentin Bujarrabal, Javier Alcolea, and Rodolfo Montez, Jr. 2020. "Irradiation Investigation: Exploring the Molecular Gas in NGC 7293" Galaxies 8, no. 2: 32. https://doi.org/10.3390/galaxies8020032
APA StyleBublitz, J., Kastner, J., Hily-Blant, P., Forveille, T., Santander-García, M., Bujarrabal, V., Alcolea, J., & Montez, R., Jr. (2020). Irradiation Investigation: Exploring the Molecular Gas in NGC 7293. Galaxies, 8(2), 32. https://doi.org/10.3390/galaxies8020032

