Halo Concentrations and the Fundamental Plane of Galaxy Clusters
Abstract
1. Introduction
2. Fundamental Plane
3. Origin of the Fundamental Plane and Cluster Growth
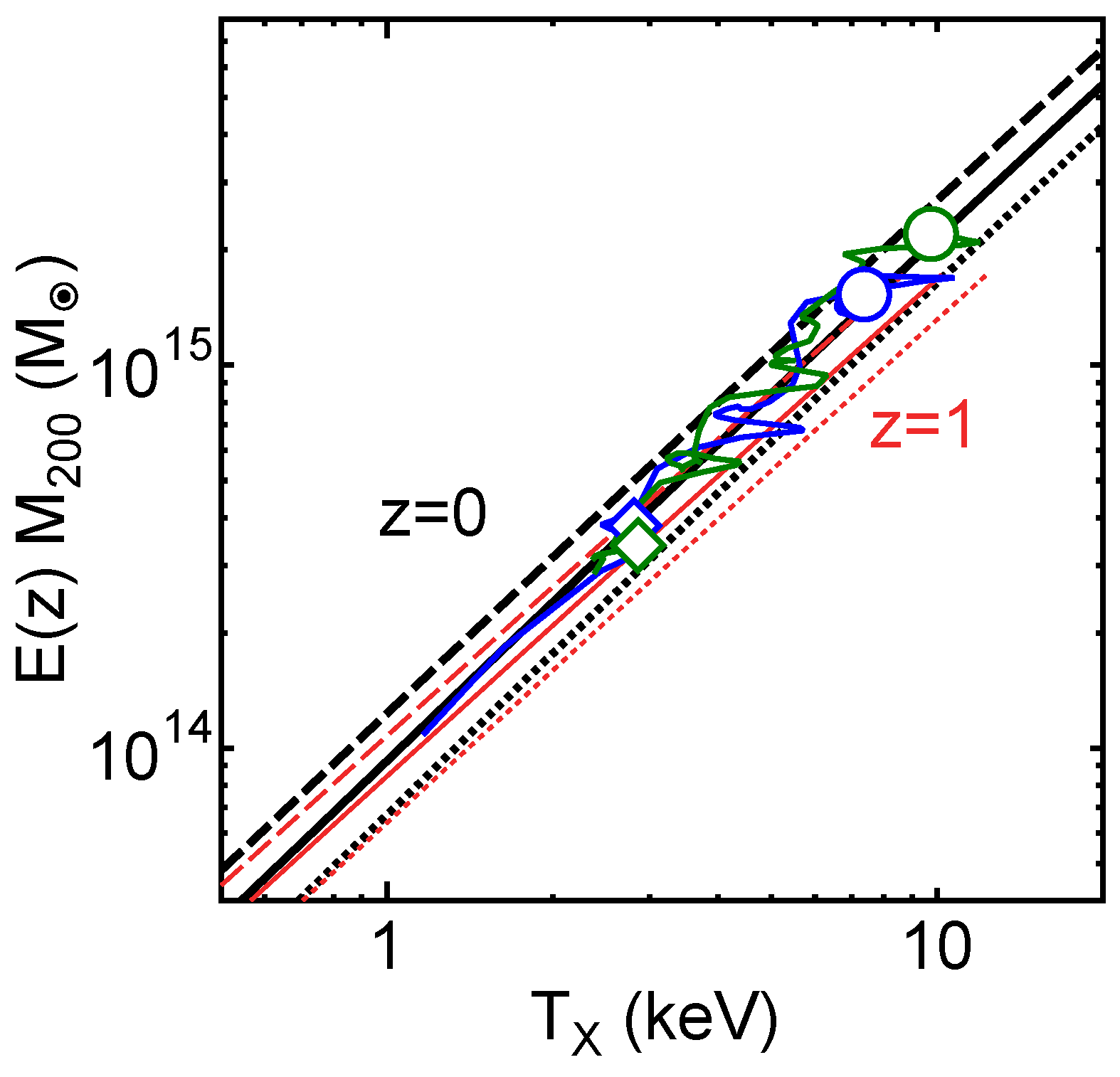
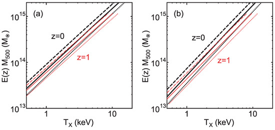
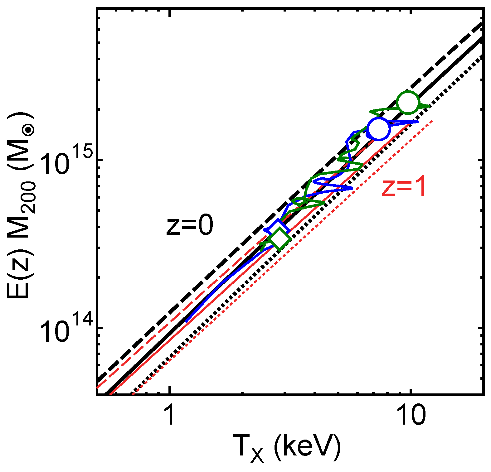
4. Mass–Temperature Relation and the Concentration Parameter
5. Cluster Mass Calibration
6. Sparsity
7. Conclusions
Author Contributions
Funding
Acknowledgments
Conflicts of Interest
References
- Komatsu, E.; Smith, K.M.; Dunkley, J.; Bennett, C.L.; Gold, B.; Hinshaw, G.; Jarosik, N.; Larson, D.; Nolta, M.R.; Page, L.; et al. Seven-year Wilkinson Microwave Anisotropy Probe (WMAP) Observations: Cosmological Interpretation. Astrophys. J. Suppl. 2011, 192, 18. [Google Scholar] [CrossRef]
- Planck Collaboration; Aghanim, N.; Akrami, Y.; Ashdown, M.; Aumont, J.; Baccigalupi, C.; Ballardini, M.; Banday, A.J.; Barreiro, R.B.; Bartolo, N.; et al. Planck 2018 results. VI. Cosmological parameters. arXiv, 2018; arXiv:1807.06209. [Google Scholar]
- Navarro, J.F.; Frenk, C.S.; White, S.D.M. The Structure of Cold Dark Matter Halos. Astrophys. J. 1996, 462, 563. [Google Scholar] [CrossRef]
- Navarro, J.F.; Frenk, C.S.; White, S.D.M. A Universal Density Profile from Hierarchical Clustering. Astrophys. J. 1997, 490, 493–508. [Google Scholar] [CrossRef]
- Bullock, J.S.; Kolatt, T.S.; Sigad, Y.; Somerville, R.S.; Kravtsov, A.V.; Klypin, A.A.; Primack, J.R.; Dekel, A. Profiles of dark haloes: Evolution, scatter and environment. Mon. Not. R. Astron. Soc. 2001, 321, 559–575. [Google Scholar] [CrossRef]
- Eke, V.R.; Navarro, J.F.; Steinmetz, M. The Power Spectrum Dependence of Dark Matter Halo Concentrations. Astrophys. J. 2001, 554, 114–125. [Google Scholar] [CrossRef]
- Wechsler, R.H.; Bullock, J.S.; Primack, J.R.; Kravtsov, A.V.; Dekel, A. Concentrations of Dark Halos from Their Assembly Histories. Astrophys. J. 2002, 568, 52–70. [Google Scholar] [CrossRef]
- Zhao, D.H.; Mo, H.J.; Jing, Y.P.; Börner, G. The growth and structure of dark matter haloes. Mon. Not. R. Astron. Soc. 2003, 339, 12–24. [Google Scholar] [CrossRef]
- Shaw, L.D.; Weller, J.; Ostriker, J.P.; Bode, P. Statistics of Physical Properties of Dark Matter Clusters. Astrophys. J. 2006, 646, 815–833. [Google Scholar] [CrossRef]
- Neto, A.F.; Gao, L.; Bett, P.; Cole, S.; Navarro, J.F.; Frenk, C.S.; White, S.D.M.; Springel, V.; Jenkins, A. The statistics of Λ CDM halo concentrations. Mon. Not. R. Astron. Soc. 2007, 381, 1450–1462. [Google Scholar] [CrossRef]
- Gao, L.; Navarro, J.F.; Cole, S.; Frenk, C.S.; White, S.D.M.; Springel, V.; Jenkins, A.; Neto, A.F. The redshift dependence of the structure of massive Λ cold dark matter haloes. Mon. Not. R. Astron. Soc. 2008, 387, 536–544. [Google Scholar] [CrossRef]
- Zhao, D.H.; Jing, Y.P.; Mo, H.J.; Börner, G. Accurate Universal Models for the Mass Accretion Histories and Concentrations of Dark Matter Halos. Astrophys. J. 2009, 707, 354–369. [Google Scholar] [CrossRef]
- Prada, F.; Klypin, A.A.; Cuesta, A.J.; Betancort-Rijo, J.E.; Primack, J. Halo concentrations in the standard Λ cold dark matter cosmology. Mon. Not. R. Astron. Soc. 2012, 423, 3018–3030. [Google Scholar] [CrossRef]
- Ludlow, A.D.; Navarro, J.F.; Boylan-Kolchin, M.; Bett, P.E.; Angulo, R.E.; Li, M.; White, S.D.M.; Frenk, C.; Springel, V. The mass profile and accretion history of cold dark matter haloes. Mon. Not. R. Astron. Soc. 2013, 432, 1103–1113. [Google Scholar] [CrossRef]
- Correa, C.A.; Wyithe, J.S.B.; Schaye, J.; Duffy, A.R. The accretion history of dark matter haloes-III. A physical model for the concentration-mass relation. Mon. Not. R. Astron. Soc. 2015, 452, 1217–1232. [Google Scholar] [CrossRef]
- Correa, C.A.; Wyithe, J.S.B.; Schaye, J.; Duffy, A.R. The accretion history of dark matter haloes-II. The connections with the mass power spectrum and the density profile. Mon. Not. R. Astron. Soc. 2015, 450, 1521–1537. [Google Scholar] [CrossRef]
- More, S.; Diemer, B.; Kravtsov, A.V. The Splashback Radius as a Physical Halo Boundary and the Growth of Halo Mass. Astrophys. J. 2015, 810, 36. [Google Scholar] [CrossRef]
- Ragagnin, A.; Dolag, K.; Moscardini, L.; Biviano, A.; D’Onofrio, M. Dependency of halo concentration on mass, redshift and fossilness in Magneticum hydrodynamic simulations. arXiv, 2018; arXiv:1810.08212. [Google Scholar]
- Diemer, B.; Kravtsov, A.V. Dependence of the Outer Density Profiles of Halos on Their Mass Accretion Rate. Astrophys. J. 2014, 789, 1. [Google Scholar] [CrossRef]
- Adhikari, S.; Dalal, N.; Chamberlain, R.T. Splashback in accreting dark matter halos. J. Cosmol. Astropart. Phys. 2014, 11, 019. [Google Scholar] [CrossRef]
- Miniati, F.; Ryu, D.; Kang, H.; Jones, T.W.; Cen, R.; Ostriker, J.P. Properties of Cosmic Shock Waves in Large-Scale Structure Formation. Astrophys. J. 2000, 542, 608–621. [Google Scholar] [CrossRef]
- Ryu, D.; Kang, H.; Hallman, E.; Jones, T.W. Cosmological Shock Waves and Their Role in the Large-Scale Structure of the Universe. Astrophys. J. 2003, 593, 599–610. [Google Scholar] [CrossRef]
- Fujita, Y.; Umetsu, K.; Rasia, E.; Meneghetti, M.; Donahue, M.; Medezinski, E.; Okabe, N.; Postman, M. Discovery of a New Fundamental Plane Dictating Galaxy Cluster Evolution from Gravitational Lensing. Astrophys. J. 2018, 857, 118. [Google Scholar] [CrossRef]
- Postman, M.; Coe, D.; Benítez, N.; Bradley, L.; Broadhurst, T.; Donahue, M.; Ford, H.; Graur, O.; Graves, G.; Jouvel, S.; et al. The Cluster Lensing and Supernova Survey with Hubble: An Overview. Astrophys. J. Suppl. 2012, 199, 25. [Google Scholar] [CrossRef]
- Meneghetti, M.; Rasia, E.; Vega, J.; Merten, J.; Postman, M.; Yepes, G.; Sembolini, F.; Donahue, M.; Ettori, S.; Umetsu, K.; et al. The MUSIC of CLASH: Predictions on the Concentration-Mass Relation. Astrophys. J. 2014, 797, 34. [Google Scholar] [CrossRef]
- Umetsu, K.; Zitrin, A.; Gruen, D.; Merten, J.; Donahue, M.; Postman, M. CLASH: Joint Analysis of Strong-lensing, Weak-lensing Shear, and Magnification Data for 20 Galaxy Clusters. Astrophys. J. 2016, 821, 116. [Google Scholar] [CrossRef]
- Zitrin, A.; Fabris, A.; Merten, J.; Melchior, P.; Meneghetti, M.; Koekemoer, A.; Coe, D.; Maturi, M.; Bartelmann, M.; Postman, M.; et al. Hubble Space Telescope Combined Strong and Weak Lensing Analysis of the CLASH Sample: Mass and Magnification Models and Systematic Uncertainties. Astrophys. J. 2015, 801, 44. [Google Scholar] [CrossRef]
- Umetsu, K.; Medezinski, E.; Nonino, M.; Merten, J.; Postman, M.; Meneghetti, M.; Donahue, M.; Czakon, N.; Molino, A.; Seitz, S.; et al. CLASH: Weak-lensing Shear-and-magnification Analysis of 20 Galaxy Clusters. Astrophys. J. 2014, 795, 163. [Google Scholar] [CrossRef]
- Donahue, M.; Voit, G.M.; Mahdavi, A.; Umetsu, K.; Ettori, S.; Merten, J.; Postman, M.; Hoffer, A.; Baldi, A.; Coe, D.; et al. CLASH-X: A Comparison of Lensing and X-ray Techniques for Measuring the Mass Profiles of Galaxy Clusters. Astrophys. J. 2014, 794, 136. [Google Scholar] [CrossRef]
- Schaeffer, R.; Maurogordato, S.; Cappi, A.; Bernardeau, F. The Fundamental Plane of Galaxy Clusters. Mon. Not. R. Astron. Soc. 1993, 263, L21. [Google Scholar] [CrossRef]
- Adami, C.; Mazure, A.; Biviano, A.; Katgert, P.; Rhee, G. The ESO nearby Abell cluster survey. IV. The fundamental plane of clusters of galaxies. Astron. Astrophys. 1998, 331, 493–505. [Google Scholar]
- Fujita, Y.; Takahara, F. The X-ray Fundamental Plane and LX-T Relation of Clusters of Galaxies. Astrophys. J. 1999, 519, L51–L54. [Google Scholar] [CrossRef]
- Verde, L.; Haiman, Z.; Spergel, D.N. Are Clusters Standard Candles? Galaxy Cluster Scaling Relations with the Sunyaev-Zeldovich Effect. Astrophys. J. 2002, 581, 5–19. [Google Scholar] [CrossRef]
- Lanzoni, B.; Ciotti, L.; Cappi, A.; Tormen, G.; Zamorani, G. The Scaling Relations of Galaxy Clusters and Their Dark Matter Halos. Astrophys. J. 2004, 600, 640–649. [Google Scholar] [CrossRef]
- Ota, N.; Kitayama, T.; Masai, K.; Mitsuda, K. LX-T Relation and Related Properties of Galaxy Clusters. Astrophys. J. 2006, 640, 673–690. [Google Scholar] [CrossRef]
- Araya-Melo, P.A.; van de Weygaert, R.; Jones, B.J.T. Cosmology and cluster halo scaling relations. Mon. Not. R. Astron. Soc. 2009, 400, 1317–1336. [Google Scholar] [CrossRef]
- Rasia, E.; Borgani, S.; Murante, G.; Planelles, S.; Beck, A.M.; Biffi, V.; Ragone-Figueroa, C.; Granato, G.L.; Steinborn, L.K.; Dolag, K. Cool Core Clusters from Cosmological Simulations. Astrophys. J. 2015, 813, L17. [Google Scholar] [CrossRef]
- Biffi, V.; Planelles, S.; Borgani, S.; Rasia, E.; Murante, G.; Fabjan, D.; Gaspari, M. The origin of ICM enrichment in the outskirts of present-day galaxy clusters from cosmological hydrodynamical simulations. Mon. Not. R. Astron. Soc. 2017, 476, 2689–2703. [Google Scholar] [CrossRef]
- Bertschinger, E. Self-similar secondary infall and accretion in an Einstein-de Sitter universe. Astrophys. J. Suppl. 1985, 58, 39–65. [Google Scholar] [CrossRef]
- Shi, X. Locations of accretion shocks around galaxy clusters and the ICM properties: Insights from self-similar spherical collapse with arbitrary mass accretion rates. Mon. Not. R. Astron. Soc. 2016, 461, 1804–1815. [Google Scholar] [CrossRef]
- Kaiser, N. Evolution and clustering of rich clusters. Mon. Not. R. Astron. Soc. 1986, 222, 323–345. [Google Scholar] [CrossRef]
- Eisenstein, D.J.; Hu, W. Baryonic Features in the Matter Transfer Function. Astrophys. J. 1998, 496, 605–614. [Google Scholar] [CrossRef]
- Diemer, B.; Kravtsov, A.V. A Universal Model for Halo Concentrations. Astrophys. J. 2015, 799, 108. [Google Scholar] [CrossRef]
- Peebles, P.J.E. The Large-Scale Structure of the Universe; Princeton University Press: Princeton, NJ, USA, 1980. [Google Scholar]
- Barkana, R.; Loeb, A. In the beginning: The first sources of light and the reionization of the universe. Phys. Rep. 2001, 349, 125–238. [Google Scholar] [CrossRef]
- Duffy, A.R.; Schaye, J.; Kay, S.T.; Dalla Vecchia, C. Dark matter halo concentrations in the Wilkinson Microwave Anisotropy Probe year 5 cosmology. Mon. Not. R. Astron. Soc. 2008, 390, L64–L68. [Google Scholar] [CrossRef]
- Fujita, Y.; Umetsu, K.; Ettori, S.; Rasia, E.; Okabe, N.; Meneghetti, M. A New Interpretation of the Mass-Temperature Relation and Mass Calibration of Galaxy Clusters Based on the Fundamental Plane. Astrophys. J. 2018, 863, 37. [Google Scholar] [CrossRef]
- Bryan, G.L.; Norman, M.L. Statistical Properties of X-ray Clusters: Analytic and Numerical Comparisons. Astrophys. J. 1998, 495, 80–99. [Google Scholar] [CrossRef]
- Ettori, S.; De Grandi, S.; Molendi, S. Gravitating mass profiles of nearby galaxy clusters and relations with X-ray gas temperature, luminosity and mass. Astron. Astrophys. 2002, 391, 841–855. [Google Scholar] [CrossRef]
- Lieu, M.; Smith, G.P.; Giles, P.A.; Ziparo, F.; Maughan, B.J.; Démoclès, J.; Pacaud, F.; Pierre, M.; Adami, C.; Bahé, Y.M.; et al. The XXL Survey. IV. Mass-temperature relation of the bright cluster sample. Astron. Astrophys. 2016, 592, A4. [Google Scholar] [CrossRef]
- Truong, N.; Rasia, E.; Mazzotta, P.; Planelles, S.; Biffi, V.; Fabjan, D.; Beck, A.M.; Borgani, S.; Dolag, K.; Gaspari, M.; et al. Cosmological hydrodynamical simulations of galaxy clusters: X-ray scaling relations and their evolution. Mon. Not. R. Astron. Soc. 2018, 474, 4089–4111. [Google Scholar] [CrossRef]
- Borgani, S.; Kravtsov, A. Cosmological Simulations of Galaxy Clusters. Adv. Sci. Lett. 2011, 4, 204–227. [Google Scholar] [CrossRef]
- Planelles, S.; Schleicher, D.R.G.; Bykov, A.M. Large-Scale Structure Formation: From the First Non-linear Objects to Massive Galaxy Clusters. Space Sci. Rev. 2015, 188, 93–139. [Google Scholar] [CrossRef]
- Bhattacharya, S.; Habib, S.; Heitmann, K.; Vikhlinin, A. Dark Matter Halo Profiles of Massive Clusters: Theory versus Observations. Astrophys. J. 2013, 766, 32. [Google Scholar] [CrossRef]
- Dutton, A.A.; Macciò, A.V. Cold dark matter haloes in the Planck era: Evolution of structural parameters for Einasto and NFW profiles. Mon. Not. R. Astron. Soc. 2014, 441, 3359–3374. [Google Scholar] [CrossRef]
- Diemer, B.; Joyce, M. An accurate physical model for halo concentrations. arXiv, 2018; arXiv:1809.07326. [Google Scholar]
- Voit, G.M. Cluster Temperature Evolution: The Mass-Temperature Relation. Astrophys. J. 2000, 543, 113–123. [Google Scholar] [CrossRef]
- Voit, G.M.; Donahue, M. On the Evolution of the Temperature-Virial Mass Relation for Clusters of Galaxies. Astrophys. J. 1998, 500, L111–L114. [Google Scholar] [CrossRef]
- Planck Collaboration; Ade, P.A.R.; Aghanim, N.; Armitage-Caplan, C.; Arnaud, M.; Ashdown, M.; Atrio-Barandela, F.; Aumont, J.; Baccigalupi, C.; Banday, A.J.; et al. Planck 2013 results. XX. Cosmology from Sunyaev-Zeldovich cluster counts. Astron. Astrophys. 2014, 571, A20. [Google Scholar]
- Ettori, S.; Gastaldello, F.; Leccardi, A.; Molendi, S.; Rossetti, M.; Buote, D.; Meneghetti, M. Mass profiles and c-MDM relation in X-ray luminous galaxy clusters. Astron. Astrophys. 2010, 524, A68. [Google Scholar] [CrossRef]
- Nagai, D.; Vikhlinin, A.; Kravtsov, A.V. Testing X-ray Measurements of Galaxy Clusters with Cosmological Simulations. Astrophys. J. 2007, 655, 98–108. [Google Scholar] [CrossRef]
- Piffaretti, R.; Valdarnini, R. Total mass biases in X-ray galaxy clusters. Astron. Astrophys. 2008, 491, 71–87. [Google Scholar] [CrossRef]
- Laganá, T.F.; de Souza, R.S.; Keller, G.R. On the influence of non-thermal pressure on the mass determination of galaxy clusters. Astron. Astrophys. 2010, 510, A76. [Google Scholar] [CrossRef]
- Rasia, E.; Meneghetti, M.; Martino, R.; Borgani, S.; Bonafede, A.; Dolag, K.; Ettori, S.; Fabjan, D.; Giocoli, C.; Mazzotta, P.; et al. Lensing and x-ray mass estimates of clusters (simulations). New J. Phys. 2012, 14, 055018. [Google Scholar] [CrossRef]
- Balmès, I.; Rasera, Y.; Corasaniti, P.-S.; Alimi, J.-M. Imprints of dark energy on cosmic structure formation-III. Sparsity of dark matter halo profiles. Mon. Not. R. Astron. Soc. 2014, 437, 2328–2339. [Google Scholar] [CrossRef]
- Corasaniti, P.S.; Ettori, S.; Rasera, Y.; Sereno, M.; Amodeo, S.; Breton, M.-A.; Ghirardini, V.; Eckert, D. Probing Cosmology with Dark Matter Halo Sparsity Using X-ray Cluster Mass Measurements. Astrophys. J. 2018, 862, 40. [Google Scholar] [CrossRef]
| 1. | More precisely, the boundary radius between the inner and outer regions is a few times (e.g. [8]). |
| 2. | |
| 3. | Note that, although the radius is the turnaround radius of the overdense region, it is proportional to the radius of the region after the collapse because the solution is similar. |
| 4. | Here, we see n as a parameter of the direction of the fundamental plane, and we do not intend to claim that the spectral index of the initial density perturbations is exactly −2.5. |








© 2019 by the authors. Licensee MDPI, Basel, Switzerland. This article is an open access article distributed under the terms and conditions of the Creative Commons Attribution (CC BY) license (http://creativecommons.org/licenses/by/4.0/).
Share and Cite
Fujita, Y.; Donahue, M.; Ettori, S.; Umetsu, K.; Rasia, E.; Meneghetti, M.; Medezinski, E.; Okabe, N.; Postman, M. Halo Concentrations and the Fundamental Plane of Galaxy Clusters. Galaxies 2019, 7, 8. https://doi.org/10.3390/galaxies7010008
Fujita Y, Donahue M, Ettori S, Umetsu K, Rasia E, Meneghetti M, Medezinski E, Okabe N, Postman M. Halo Concentrations and the Fundamental Plane of Galaxy Clusters. Galaxies. 2019; 7(1):8. https://doi.org/10.3390/galaxies7010008
Chicago/Turabian StyleFujita, Yutaka, Megan Donahue, Stefano Ettori, Keiichi Umetsu, Elena Rasia, Massimo Meneghetti, Elinor Medezinski, Nobuhiro Okabe, and Marc Postman. 2019. "Halo Concentrations and the Fundamental Plane of Galaxy Clusters" Galaxies 7, no. 1: 8. https://doi.org/10.3390/galaxies7010008
APA StyleFujita, Y., Donahue, M., Ettori, S., Umetsu, K., Rasia, E., Meneghetti, M., Medezinski, E., Okabe, N., & Postman, M. (2019). Halo Concentrations and the Fundamental Plane of Galaxy Clusters. Galaxies, 7(1), 8. https://doi.org/10.3390/galaxies7010008

