Small Scale Problems of the ΛCDM Model: A Short Review
Abstract
:1. Introduction
- The cusp/core (CC) problem [31,37], designating the discrepancy between the flat density profiles of dwarf galaxies (also coined dwarfs), Irregulars, and Low Surface Brightness galaxies (hereafter LSBs), and the cuspy profile predicted by dissipationless N-body simulations [38,39,40], despite the fact that the observed galaxies are all of DM dominated types;
- The “missing satellite problem” (MSP), coining the discrepancy between the number of predicted subhalos in N-body simulations [32,41] and those actually observed, further complicated by the “Too Big To Fail” (TBTF) problem, arising from the ΛCDM prediction of satellites that are too massive and too dense, compared to those observed, to hope for their destruction in the history of mass assembly up to today [34,35];
- The angular momentum catastrophe [42] labelling the angular momentum loss in Smooth Particle Hydrodynamics (SPH) simulations of galaxy formation that gives rise to dwarf galaxies’ disks with different angular momentum distributions from those of cold dark matter haloes, in addition to disc sizes that are much smaller in simulated galaxies compared with observed ones [43];
- The problem of satellites planes, namely the alignment on thin planes of satellite galaxies of the MW and M31, a feature that proved difficult to explain in simulations of the ΛCDM paradigm [44];
- The problem of re-obtaining the slope and scatter of the baryonic Tully-Fisher relation () [45];
- a highly flattened, planar distribution of the satellites in three-dimensional space,
- a common orientation of the satellites orbits, and
- an alignment of the satellites orbits within the distribution plane.
2. The Satellite Plane Problem
3. The Baryonic Tully-Fisher Relation
4. The Cusp/Core Problem
4.1. Early Solutions
4.2. Baryonic Solutions to the CC Problem
- the effect of a rotating bar;
- the role of angular momentum in structure formation.
- ordered angular momentum acquired by the proto-structure through tidal torques;
- random angular momentum;
- energy and angular momentum exchange between baryons and DM through dynamical friction;
- and adiabatic contraction.
- The orbital energy of incoming clumps is transferred to DM through dynamical friction.
- Internal energy sources in the galaxy [288] heat up the DM particles.
4.3. Supernovae Feedback Flattening
- the energetics of the core formation [301] (galaxies with have too few stars to generate the requested energy to flatten the cusp) and the required baryonic mass, marginally exceeding the baryon content of the dSphs [291]. Figure 8 illustrates that problem in its left panel, from Penarrubia [301], while the right panel is reproduced from Maxwell [302]’s study that arrives at opposite results.Moreover, while the solution to the CC problem with the SNFF model needs a large number of SNs, and thus a large star formation efficiency (SFE), the solution of the TBTF problem, places an opposite demand on the star formation efficiency (SFE);
- too high a value of energy coupling, , compared to 0.05, a value deduced by [303];
4.3.1. Gas Clumps Merging
4.4. Cosmological Solutions
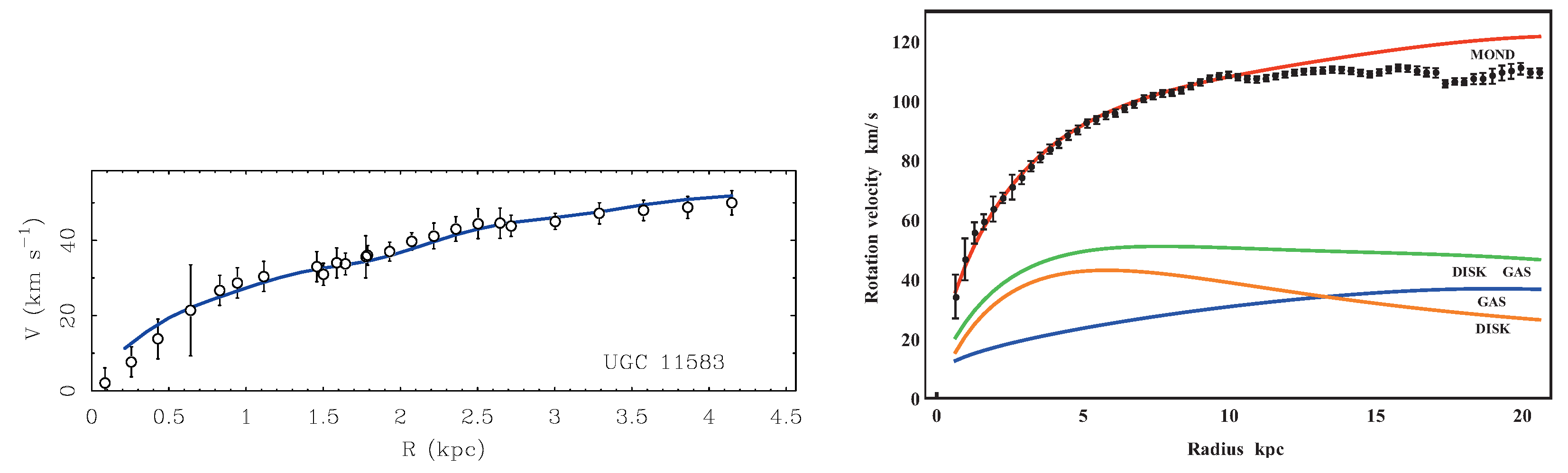
4.5. Modified Theories of Gravity
5. The Missing Satellite Problem
- Tidal stripping from the satellites’ parent: presently observed satellites had the largest masses before accretion (LBA), large enough to retain visible stars, resisting tides when accreted by their parent [373].
- Re-ionisation stripping satellites gas, thus star formation, hence suppressing visible satellites formation [380,381]: presently observed, earliest forming satellites (EF see Refs. [32,380] and Figure 13, top right, and bottom left) are visible because they acquired gas, and thus form stars, before re-ionisation.
- Photo-ionisation from stellar and supernova feedback (e.g., Refs. [310,383,384]), and generally stripping gas by ram pressure (e.g., Ref. [385]). Because of the photo-ionisation threshold, UFDs’ baryons to stars conversion efficiency lies in the range 0.1%–1%, thus making it is not clear whether they are "fossils" from reionisation epoch [386].
6. The Too Big to Fail Problem
- The shape of satellites inner densities, shifting from cuspy to cored [73,74] (hereafter Z12 and B13 respectively) , thus making them more susceptible to tidal stripping and even to tidal destruction [77,389]. This picture would see the present-day dwarf galaxies, more massive in the past, transformed and reduced strong tidal stripping (e.g., [392]);
- The suppression of star formation from
- (a)
- Supernova feedback (SF)
- (b)
- (c)
This would suppress dwarfs formation or could make them invisible;
7. A Unified Baryonic Solution to the ΛCDM Small Scale Problems
- DMB satellites contain gas, DMOs do not;
- DMB satellites profiles are flatter than DMO’s, thus tidal stripping affects them more (e.g., [77]). Similar trend affect baryon-richer DMB (filled circles) compared to baryon-poorer DMB (open circles).
- above 97% mass (x = 0.03), or
- above 90% mass, with km/s and pericentric distance <20 kpc,
- Red filled symbols mark “observable” objects produced by the VL2 simulation,
- Empty circles indicate totally dark objects
- -
- Simple empty circles merely lost all their baryons and thus did not form stars as their mass was smaller than the minimum to retain them, while
- -
- Empty circles crossed with an “x” represent destroyed subhaloes from baryonic effects (e.g., baryonic disc, etc).
8. Conclusions
Conflicts of Interest
References
- Spergel, D.N.; Verde, L.; Peiris, H.V.; Komatsu, E.; Nolta, M.R.; Bennett, C.L.; Halpern, M.; Hinshaw, G.; Jarosik, N.; Kogut, A.; et al. First-Year Wilkinson Microwave Anisotropy Probe (WMAP) Observations: Determination of Cosmological Parameters. Astrophys. J. Supp. 2003, 148, 175–194. [Google Scholar] [CrossRef]
- Komatsu, E.; Smith, K.M.; Dunkley, J.; Bennett, C.L.; Gold, B.; Hinshaw, G.; Jarosik, N.; Larson, D.; Nolta, M.R.; Page, L.; et al. Seven-year Wilkinson Microwave Anisotropy Probe (WMAP) Observations: Cosmological Interpretation. Astrophys. J. Supp. 2011, 192, 18. [Google Scholar] [CrossRef]
- Del Popolo, A. Dark matter, density perturbations, and structure formation. Astron. Rep. 2007, 51, 169–196. [Google Scholar] [CrossRef]
- Del Popolo, A. Non-Baryonic Dark Matter in Cosmology; American Institute of Physics Conference Series; Urena-López, L.A., Becerril-Bárcenas, R., Linares-Romero, R., Eds.; American Institute of Physics: College Park, MD, USA, 2013; Volume 1548, pp. 2–63. [Google Scholar]
- Del Popolo, A. Nonbaryonic Dark Matter in Cosmology. Int. J. Mod. Phys. D 2014, 23, 1430005. [Google Scholar] [CrossRef]
- Smith, K.M.; Zahn, O.; Doré, O. Detection of gravitational lensing in the cosmic microwave background. Phys. Rev. D 2007, 76, 043510. [Google Scholar] [CrossRef]
- Das, S.; Sherwin, B.D.; Aguirre, P.; Appel, J.W.; Bond, J.R.; Carvalho, C.S.; Devlin, M.J.; Dunkley, J.; Dünner, R.; Essinger-Hileman, T.; et al. Detection of the Power Spectrum of Cosmic Microwave Background Lensing by the Atacama Cosmology Telescope. Phys. Rev. Lett. 2011, 107, 021301. [Google Scholar] [CrossRef] [PubMed]
- Hanson, D.; Hoover, S.; Crites, A.; Ade, P.A.R.; Aird, K.A.; Austermann, J.E.; Beall, J.A.; Bender, A.N.; Benson, B.A.; Bleem, L.E.; et al. Detection of B-Mode Polarization in the Cosmic Microwave Background with Data from the South Pole Telescope. Phys. Rev. Lett. 2013, 111, 141301. [Google Scholar] [CrossRef] [PubMed]
- Weinberg, S. The cosmological constant problem. Rev. Mod. Phys. 1989, 61, 1–23. [Google Scholar] [CrossRef]
- Astashenok, A.V.; Del Popolo, A. Cosmological measure with volume averaging and the vacuum energy problem. Class. Quantum Gravity 2012, 29, 085014. [Google Scholar] [CrossRef]
- Martin, J. Everything You always Wanted to Know about the Cosmological Constant Problem (but Were Afraid to Ask). Comptes Rendus Phys. 2012, 13, 566–665. [Google Scholar] [CrossRef]
- Sivanandam, N. Is the Cosmological Coincidence a Problem? Phys. Rev. D 2013, 87, 083514. [Google Scholar] [CrossRef]
- Planck Collaboration; Ade, P.A.R.; Aghanim, N.; Armitage-Caplan, C.; Arnaud, M.; Ashdown, M.; Atrio-Barandela, F.; Aumont, J.; Baccigalupi, C.; Banday, A.J.; et al. Planck 2013 results. XVI. Cosmological parameters. Astron. Astrophys. 2014, 571, A16. [Google Scholar]
- Raveri, M. Is There Concordance within the Concordance ΛCDM Model? arXiv 2015. [Google Scholar]
- Macaulay, E.; Wehus, I.K.; Eriksen, H.K. Lower Growth Rate from Recent Redshift Space Distortion Measurements than Expected from Planck. Phys. Rev. Lett. 2013, 111, 161301. [Google Scholar] [CrossRef] [PubMed]
- Schwarz, D.J.; Starkman, G.D.; Huterer, D.; Copi, C.J. Is the Low-l Microwave Background Cosmic? Phys. Rev. Lett. 2004, 93, 221301. [Google Scholar] [CrossRef] [PubMed]
- Copi, C.J.; Huterer, D.; Schwarz, D.J.; Starkman, G.D. On the large-angle anomalies of the microwave sky. Mon. Not. Roy. Astro. Soc. 2006, 367, 79–102. [Google Scholar] [CrossRef]
- Copi, C.J.; Huterer, D.; Schwarz, D.J.; Starkman, G.D. Uncorrelated universe: Statistical anisotropy and the vanishing angular correlation function in WMAP years 13. Phys. Rev. D 2007, 75, 023507. [Google Scholar] [CrossRef]
- Copi, C.J.; Huterer, D.; Schwarz, D.J.; Starkman, G.D. Large-Angle Anomalies in the CMB. Adv. Astron. 2010, 2010, 847541. [Google Scholar] [CrossRef]
- Copi, C.J.; Huterer, D.; Schwarz, D.J.; Starkman, G.D. Large-scale alignments from WMAP and Planck. Mon. Not. Roy. Astro. Soc. 2015, 449, 3458–3470. [Google Scholar] [CrossRef]
- Eriksen, H.K.; Hansen, F.K.; Banday, A.J.; Górski, K.M.; Lilje, P.B. Asymmetries in the Cosmic Microwave Background Anisotropy Field. Astrophys. J. 2004, 605, 14–20. [Google Scholar] [CrossRef]
- Hansen, F.K.; Banday, A.J.; Górski, K.M. Testing the cosmological principle of isotropy: Local power-spectrum estimates of the WMAP data. Mon. Not. Roy. Astro. Soc. 2004, 354, 641–665. [Google Scholar] [CrossRef]
- Jaffe, T.R.; Banday, A.J.; Eriksen, H.K.; Górski, K.M.; Hansen, F.K. Evidence of Vorticity and Shear at Large Angular Scales in the WMAP Data: A Violation of Cosmological Isotropy? Astrophys. J. Lett. 2005, 629, L1–L4. [Google Scholar] [CrossRef]
- Hoftuft, J.; Eriksen, H.K.; Banday, A.J.; Górski, K.M.; Hansen, F.K.; Lilje, P.B. Increasing Evidence for Hemispherical Power Asymmetry in the Five-Year WMAP Data. Astrophys. J. 2009, 699, 985–989. [Google Scholar] [CrossRef]
- Planck Collaboration; Ade, P.A.R.; Aghanim, N.; Armitage-Caplan, C.; Arnaud, M.; Ashdown, M.; Atrio-Barandela, F.; Aumont, J.; Baccigalupi, C.; Banday, A.J.; et al. Planck 2013 results. XXIII. Isotropy and statistics of the CMB. Astron. Astrophys. 2014, 571, A23. [Google Scholar]
- Akrami, Y.; Fantaye, Y.; Shafieloo, A.; Eriksen, H.K.; Hansen, F.K.; Banday, A.J.; Górski, K.M. Power Asymmetry in WMAP and Planck Temperature Sky Maps as Measured by a Local Variance Estimator. Astrophys. J. Lett. 2014, 784, L42. [Google Scholar] [CrossRef]
- Cruz, M.; Martínez-González, E.; Vielva, P.; Cayón, L. Detection of a non-Gaussian spot in WMAP. Mon. Not. Roy. Astro. Soc. 2005, 356, 29–40. [Google Scholar] [CrossRef]
- Cruz, M.; Tucci, M.; Martínez-González, E.; Vielva, P. The non-Gaussian cold spot in Wilkinson Microwave Anisotropy Probe: Significance, morphology and foreground contribution. Mon. Not. Roy. Astro. Soc. 2006, 369, 57–67. [Google Scholar] [CrossRef]
- Cruz, M.; Cayón, L.; Martínez-González, E.; Vielva, P.; Jin, J. The Non-Gaussian Cold Spot in the 3 Year Wilkinson Microwave Anisotropy Probe Data. Astrophys. J. 2007, 655, 11–20. [Google Scholar] [CrossRef]
- Bennett, C.L.; Hill, R.S.; Hinshaw, G.; Larson, D.; Smith, K.M.; Dunkley, J.; Gold, B.; Halpern, M.; Jarosik, N.; Kogut, A.; et al. Seven-year Wilkinson Microwave Anisotropy Probe (WMAP) Observations: Are There Cosmic Microwave Background Anomalies? Astrophys. J. Supp. 2011, 192, 17. [Google Scholar] [CrossRef]
- Moore, B. Evidence against dissipation-less dark matter from observations of galaxy haloes. Nature 1994, 370, 629–631. [Google Scholar] [CrossRef]
- Moore, B.; Quinn, T.; Governato, F.; Stadel, J.; Lake, G. Cold collapse and the core catastrophe. Mon. Not. Roy. Astro. Soc. 1999, 310, 1147–1152. [Google Scholar] [CrossRef]
- Ostriker, J.P.; Steinhardt, P. New Light on Dark Matter. Science 2003, 300, 1909–1914. [Google Scholar] [CrossRef] [PubMed]
- Boylan-Kolchin, M.; Bullock, J.S.; Kaplinghat, M. Too big to fail? The puzzling darkness of massive Milky Way subhaloes. Mon. Not. Roy. Astro. Soc. 2011, 415, L40–L44. [Google Scholar] [CrossRef]
- Boylan-Kolchin, M.; Bullock, J.S.; Kaplinghat, M. The Milky Way’s bright satellites as an apparent failure of ΛCDM. Mon. Not. Roy. Astro. Soc. 2012, 422, 1203–1218. [Google Scholar]
- Oh, S.H.; Brook, C.; Governato, F.; Brinks, E.; Mayer, L.; de Blok, W.J.G.; Brooks, A.; Walter, F. The Central Slope of Dark Matter Cores in Dwarf Galaxies: Simulations versus THINGS. Astro. J. 2011, 142, 24. [Google Scholar] [CrossRef]
- Flores, R.A.; Primack, J.R. Observational and theoretical constraints on singular dark matter halos. Astrophys. J. Lett. 1994, 427, L1–L4. [Google Scholar] [CrossRef]
- Navarro, J.F.; Frenk, C.S.; White, S.D.M. The Structure of Cold Dark Matter Halos. Astrophys. J. 1996, 462, 563. [Google Scholar] [CrossRef]
- Navarro, J.F.; Ludlow, A.; Springel, V.; Wang, J.; Vogelsberger, M.; White, S.D.M.; Jenkins, A.; Frenk, C.S.; Helmi, A. The diversity and similarity of simulated cold dark matter haloes. Mon. Not. Roy. Astro. Soc. 2010, 402, 21–34. [Google Scholar] [CrossRef]
- Saburova, A.; Del Popolo, A. On the surface density of dark matter haloes. Mon. Not. R. Astron. Soc. 2014, 445, 3512–3524. [Google Scholar] [CrossRef]
- Klypin, A.A.; Kravtsov, A.V.; Valenzuela, O.; Prada, F. Where are the missing Galactic satellites? Astrophys. J. 1999, 522, 82–92. [Google Scholar] [CrossRef]
- Van den Bosch, F.C.; Burkert, A.; Swaters, R.A. The angular momentum content of dwarf galaxies: New challenges for the theory of galaxy formation. Mon. Not. Roy. Astro. Soc. 2001, 326, 1205–1215. [Google Scholar] [CrossRef]
- Cardone, V.F.; Del Popolo, A.; Kroupa, P. Angular momentum transfer and the size - mass relation in early - type galaxies. Mon. Not. R. Astron. Soc. 2009, 400, 766–774. [Google Scholar] [CrossRef] [Green Version]
- Pawlowski, M.S.; Famaey, B.; Jerjen, H.; Merritt, D.; Kroupa, P.; Dabringhausen, J.; Lüghausen, F.; Forbes, D.A.; Hensler, G.; Hammer, F.; et al. Co-orbiting satellite galaxy structures are still in conflict with the distribution of primordial dwarf galaxies. Mon. Not. Roy. Astro. Soc. 2014, 442, 2362–2380. [Google Scholar] [CrossRef]
- McGaugh, S.S. Novel Test of Modified Newtonian Dynamics with Gas Rich Galaxies. Phys. Rev. Lett. 2011, 106, 121303. [Google Scholar] [CrossRef] [PubMed]
- Kroupa, P.; Theis, C.; Boily, C.M. The Great disk of Milky Way satellites and cosmological sub-structures. Astron. Astrophys. 2005, 431, 517–521. [Google Scholar] [CrossRef]
- Kroupa, P.; Famaey, B.; de Boer, K.S.; Dabringhausen, J.; Pawlowski, M.S.; Boily, C.M.; Jerjen, H.; Forbes, D.; Hensler, G.; Metz, M. Local-Group tests of dark-matter Concordance Cosmology: Towards a new paradigm for structure formation? Astron. Astrophys. 2010, 523, A32. [Google Scholar] [CrossRef]
- Kroupa, P. The dark matter crisis: Falsification of the current standard model of cosmology. Publ. Astron. Soc. Aust. 2012, 29, 395–433. [Google Scholar] [CrossRef]
- Kroupa, P.; Pawlowski, M.; Milgrom, M. The failures of the standard model of cosmology require a new paradigm. Int. J. Mod. Phys. D 2012, 21, 1230003. [Google Scholar] [CrossRef]
- Kroupa, P. Galaxies as simple dynamical systems: Observational data disfavor dark matter and stochastic star formation. Can. J. Phys. 2015, 93, 169–202. [Google Scholar] [CrossRef]
- Navarro, J.F.; Benz, W. Dynamics of cooling gas in galactic dark halos. Astrophys. J. 1991, 380, 320–329. [Google Scholar] [CrossRef]
- Navarro, J.F.; Steinmetz, M. The Effects of a Photoionizing Ultraviolet Background on the Formation of Disk Galaxies. Astrophys. J. 1997, 478, 13–28. [Google Scholar] [CrossRef]
- Sommer-Larsen, J.; Gelato, S.; Vedel, H. Formation of Disk Galaxies: Feedback and the Angular Momentum Problem. Astrophys. J. 1999, 519, 501–512. [Google Scholar] [CrossRef]
- Navarro, J.F.; Steinmetz, M. Dark Halo and Disk Galaxy Scaling Laws in Hierarchical Universes. Astrophys. J. 2000, 538, 477–488. [Google Scholar] [CrossRef]
- Maller, A.H.; Dekel, A. Towards a resolution of the galactic spin crisis: Mergers, feedback and spin segregation. Mon. Not. Roy. Astro. Soc. 2002, 335, 487–498. [Google Scholar] [CrossRef]
- Sommer-Larsen, J.; Götz, M.; Portinari, L. Galaxy Formation: Cold Dark Matter, Feedback, and the Hubble Sequence. Astrophys. J. 2003, 596, 47–66. [Google Scholar] [CrossRef]
- Abadi, M.G.; Navarro, J.F.; Steinmetz, M.; Eke, V.R. Simulations of Galaxy Formation in a Λ Cold Dark Matter Universe. I. Dynamical and Photometric Properties of a Simulated Disk Galaxy. Astrophys. J. 2003, 591, 499–514. [Google Scholar]
- Governato, F.; Brook, C.; Mayer, L.; Brooks, A.; Rhee, G.; Wadsley, J.; Jonsson, P.; Willman, B.; Stinson, G.; Quinn, T.; et al. Bulgeless dwarf galaxies and dark matter cores from supernova-driven outflows. Nature 2010, 463, 203–206. [Google Scholar] [CrossRef] [PubMed]
- Del Popolo, A.; Lima, J.A.S.; Fabris, J.C.; Rodrigues, D.C. A unified solution to the small scale problems of the ΛCDM model. J. Cosmo. Astrop. Phys 2014, 4, 021. [Google Scholar]
- Tully, R.B.; Fisher, J.R. A new method of determining distances to galaxies. Astron. Astrophys. 1977, 54, 661–673. [Google Scholar]
- Bell, E.F.; de Jong, R.S. Stellar mass-to-light ratios and the Tully-Fisher relation. Astrophys. J. 2001, 550, 212–229. [Google Scholar] [CrossRef]
- Verheijen, M.A.W. The Ursa Major Cluster of Galaxies. 5. H I Rotation Curve Shapes and the Tully-Fisher Relations. Astrophys. J. 2001, 563, 694–715. [Google Scholar] [CrossRef]
- Gurovich, S.; McGaugh, S.S.; Freeman, K.C.; Jerjen, H.; Staveley-Smith, L.; De Blok, W.J.G. The Baryonic Tully Fisher relation. Publ. Astron. Soc. Aust. 2004, 21, 412. [Google Scholar] [CrossRef]
- McGaugh, S.S. The Baryonic Tully-Fisher relation of galaxies with extended rotation curves and the stellar mass of rotating galaxies. Astrophys. J. 2005, 632, 859–871. [Google Scholar] [CrossRef]
- Pfenniger, D.; Revaz, Y. The Baryonic Tully-Fisher relation revisited. Astron. Astrophys. 2005, 431, 511. [Google Scholar] [CrossRef]
- Begum, A.; Chengalur, J.N.; Karachentsev, I.D.; Sharina, M.E. Baryonic Tully-Fisher Relation for Extremely Low Mass Galaxies. Mon. Not. R. Astron. Soc. 2008, 386, 138. [Google Scholar] [CrossRef]
- Stark, D.V.; McGaugh, S.S.; Swaters, R.A. A First Attempt to Calibrate the Baryonic Tully-Fisher Relation with Gas Dominated Galaxies. Astron. J. 2009, 138, 392. [Google Scholar] [CrossRef]
- Trachternach, C.; de Blok, W.J.G.; McGaugh, S.S.; van der Hulst, J.M.; Dettmar, R.J. The baryonic Tully-Fisher relation and its implication for dark matter halos. Astron. Astrophys. 2009, 505, 577. [Google Scholar] [CrossRef]
- Gurovich, S.; Freeman, K.; Jerjen, H.; Staveley-Smith, L.; Puerari, I. The slope of the Baryonic Tully-Fisher relation. Astron. J. 2010, 140, 663. [Google Scholar] [CrossRef]
- McGaugh, S. The Baryonic Tully-Fisher Relation of Gas Rich Galaxies as a Test of LCDM and MOND. Astron. J. 2012, 143, 40. [Google Scholar] [CrossRef]
- Sawala, T.; Frenk, C.S.; Fattahi, A.; Navarro, J.F.; Theuns, T.; Bower, R.G.; Crain, R.A.; Furlong, M.; Jenkins, A.; Schaller, M.; et al. The chosen few: The low-mass haloes that host faint galaxies. Mon. Not. Roy. Astro. Soc. 2016, 456, 85–97. [Google Scholar] [CrossRef]
- Pawlowski, M.S.; Famaey, B.; Merritt, D.; Kroupa, P. On the Persistence of Two Small-scale Problems in ΛCDM. Astrophys. J. 2015, 815, 19. [Google Scholar]
- Zolotov, A.; Brooks, A.M.; Willman, B.; Governato, F.; Pontzen, A.; Christensen, C.; Dekel, A.; Quinn, T.; Shen, S.; Wadsley, J. Baryons Matter: Why Luminous Satellite Galaxies have Reduced Central Masses. Astrophys. J. 2012, 761, 71. [Google Scholar] [CrossRef]
- Brooks, A.M.; Zolotov, A. Why Baryons Matter: The Kinematics of Dwarf Spheroidal Satellites. Astrophys. J. 2014, 786, 87. [Google Scholar] [CrossRef]
- Mashchenko, S.; Couchman, H.M.P.; Wadsley, J. The removal of cusps from galaxy centres by stellar feedback in the early Universe. Nature 2006, 442, 539–542. [Google Scholar] [CrossRef] [PubMed]
- Mashchenko, S.; Wadsley, J.; Couchman, H.M.P. Stellar Feedback in Dwarf Galaxy Formation. Science 2008, 319, 174. [Google Scholar] [CrossRef] [PubMed]
- Peñarrubia, J.; Benson, A.J.; Walker, M.G.; Gilmore, G.; McConnachie, A.W.; Mayer, L. The impact of dark matter cusps and cores on the satellite galaxy population around spiral galaxies. Mon. Not. Roy. Astro. Soc. 2010, 406, 1290–1305. [Google Scholar] [CrossRef]
- Kunkel, W.E.; Demers, S. The Magellanic Plane. In The Galaxy and the Local Group; Royal Greenwich Observatory Bulletins: Royal Observatory Greenwich, London, UK, 1976; Volume 182, p. 241. [Google Scholar]
- Lynden-Bell, D. Dwarf galaxies and globular clusters in high velocity hydrogen streams. Mon. Not. R. Astron. Soc. 1976, 174, 695. [Google Scholar] [CrossRef]
- Metz, M.; Kroupa, P.; Libeskind, N.I. The orbital poles of Milky Way satellite galaxies: A rotationally supported disc-of-satellites. Astrophys. J. 2008, 680, 287–294. [Google Scholar] [CrossRef]
- Pawlowski, M.S.; Kroupa, P. The rotationally stabilized VPOS and predicted proper motions of the Milky Way satellite galaxies. Mon. Not. R. Astron. Soc. 2013, 435, 2116. [Google Scholar] [CrossRef]
- Ibata, R.A.; Lewis, G.F.; Conn, A.R.; Irwin, M.J.; McConnachie, A.W.; Chapman, S.C.; Collins, M.L.; Fardal, M.; Ferguson, A.M.N.; Ibata, N.G.; et al. A Vast Thin Plane of Co-rotating Dwarf Galaxies Orbiting the Andromeda Galaxy. Nature 2013, 493, 62–65. [Google Scholar] [CrossRef] [PubMed]
- Metz, M.; Kroupa, P.; Jerjen, H. The spatial distribution of the Milky Way and Andromeda satellite galaxies. Mon. Not. R. Astron. Soc. 2007, 374, 1125–1145. [Google Scholar] [CrossRef]
- McConnachie, A.; Irwin, M. The satellite distribution of m31. Mon. Not. R. Astron. Soc. 2006, 365, 902–914. [Google Scholar] [CrossRef]
- Koch, A.; Grebel, E.K. The anisotropic distribution of m 31 satellite galaxies: A polar great plane of early-type companions. Astron. J. 2006, 131, 1405–1415. [Google Scholar] [CrossRef]
- Conn, A.R.; Lewis, G.F.; Ibata, R.A.; Parker, Q.A.; Zucker, D.B.; McConnachie, A.W.; Martin, N.F.; Valls-Gabaud, D.; Tanvir, N.; Irwin, M.J.; et al. The Three-Dimensional Structure of the M31 Satellite System: Strong Evidence for an Inhomogeneous Distribution of Satellites. Astrophys. J. 2013, 766, 120. [Google Scholar] [CrossRef]
- Shaya, E.J.; Tully, R.B. The Formation of the Local Group Planes of Galaxies. Mon. Not. R. Astron. Soc. 2013, 436, 2096–2119. [Google Scholar] [CrossRef]
- Tully, R.B.; Libeskind, N.I.; Karachentsev, I.D.; Karachentseva, V.E.; Rizzi, L.; Shaya, E.J. Two Planes of Satellites in the Centaurus A Group. Astrophys. J. Lett. 2015, 802, L25. [Google Scholar] [CrossRef]
- Bowden, A.; Evans, N.W.; Belokurov, V. On Asymmetric Distributions of Satellite Galaxies. Astrophys. J. 2014, 793, L42. [Google Scholar] [CrossRef]
- Cautun, M.; Wang, W.; Frenk, C.S.; Sawala, T. A new spin on discs of satellite galaxies. Mon. Not. R. Astron. Soc. 2015, 449, 2576–2587. [Google Scholar] [CrossRef]
- Libeskind, N.I.; Frenk, C.S.; Cole, S.; Helly, J.C.; Jenkins, A.; Navarro, J.F.; Power, C. The Distribution of satellite galaxies: The Great pancake. Mon. Not. R. Astron. Soc. 2005, 363, 146–152. [Google Scholar] [CrossRef] [Green Version]
- Gillet, N.; Ocvirk, P.; Aubert, D.; Knebe, A.; Libeskind, N.; Yepes, G.; Gottlöber, S.; Hoffman, Y. Vast Planes of Satellites in a High-resolution Simulation of the Local Group: Comparison to Andromeda. Astrophys. J. 2015, 800, 34. [Google Scholar] [CrossRef]
- Hammer, F.; Yang, Y.; Fouquet, S.; Pawlowski, M.S.; Kroupa, P.; Puech, M.; Flores, H.; Wang, J. The vast thin plane of M31 co-rotating dwarfs: An additional fossil signature of the M31 merger and of its considerable impact in the whole Local Group. Mon. Not. R. Astron. Soc. 2013, 431, 3543. [Google Scholar] [CrossRef]
- Smith, R.; Duc, P.A.; Candlish, G.N.; Fellhauer, M.; Sheen, Y.K.; Gibson, B.K. The Influence of Ram Pressure on the Evolution of Tidal Dwarf Galaxies. Mon. Not. R. Astron. Soc. 2013, 436, 839. [Google Scholar] [CrossRef]
- Pawlowski, M.S.; Kroupa, P.; Jerjen, H. Dwarf Galaxy Planes: The discovery of symmetric structures in the Local Group. Mon. Not. R. Astron. Soc. 2013, 435, 1928. [Google Scholar] [CrossRef]
- Bellazzini, M.; Oosterloo, T.; Fraternali, F.; Beccari, G. Dwarfs walking in a row. The filamentary nature of the NGC3109 association. Astron. Astrophys. 2013, 559, L11. [Google Scholar] [CrossRef] [Green Version]
- Pawlowski, M.S.; McGaugh, S.S. Perseus I and the NGC 3109 association in the context of the Local Group dwarf galaxy structures. Mon. Not. R. Astron. Soc. 2014, 440, 908–919. [Google Scholar] [CrossRef]
- Galianni, P.; Patat, F.; Higdon, J. L.; Mieske, S.; Kroupa, P. VLT observations of NGC 1097’s “dog-leg” tidal stream. Dwarf spheroidals and tidal streams. Astron. Astrophys. 2010, 521, A20. [Google Scholar] [CrossRef]
- Duc, P.A.; Paudel, S.; McDermid, R.M.; Cuillandre, J.C.; Serra, P.; Bournaud, F.; Cappellari, M.; Emsellem, E. Identification of old tidal dwarfs near early-type galaxies from deep imaging and H I observations. Mon. Not. R. Astron. Soc. 2014, 440, 1458–1469. [Google Scholar] [CrossRef]
- Paudel, S.; Duc, P.-A.; Cote, P.; Cuillandre, J.-C.; Ferrarese, L.; Ferriere, E.; Gwyn, S.D.J.; Mihos, J.C.; Vollmer, B.; Balogh, M.L.; et al. The Next Generation Virgo Cluster Survey. IV. NGC 4216: A Bombarded Spiral in the Virgo Cluster. Astrophys. J. 2013, 767, 133. [Google Scholar] [CrossRef]
- Karachentsev, I.D.; Bautzmann, D.; Neyer, F.; Polzl, R.; Riepe, P.; Zilch, T.; Mattern, B. Three Low Surface Brightness Dwarfs Discovered around NGC 4631. arXiv 2014. [Google Scholar]
- Barnes, J.E.; Lars, H. Formation of dwarf galaxies in tidal tails. Nature 1992, 360, 715–717. [Google Scholar] [CrossRef]
- Bournaud, F.; Duc, P.A.; Emsellem, E. High-resolution simulations of galaxy mergers: resolving globular cluster formation. Mon. Not. R. Astron. Soc. 2008, 389, L8–L12. [Google Scholar] [CrossRef]
- Sawa, T.; Fujimoto, M. A Dynamical Model for the Orbit of the Andromeda Galaxy M31 and the Origin of the Local Group of Galaxies. Pub. Astron. Soc. Jpn 2005, 57, 429–446. [Google Scholar] [CrossRef]
- Pawlowski, M.S.; Pflamm-Altenburg, J.; Kroupa, P. The VPOS: A vast polar structure of satellite galaxies, globular clusters and streams around the Milky Way. Mon. Not. R. Astron. Soc. 2012, 423, 1109. [Google Scholar] [CrossRef]
- Zhao, H.; Famaey, B.; Lüghausen, F.; Kroupa, P. Local Group timing in Milgromian dynamics. A past Milky Way-Andromeda encounter at z>0.8. Astron. Astrophys. 2013, 557, L3. [Google Scholar] [CrossRef]
- Pawlowski, M.S.; Kroupa, P.; de Boer, K.S. Making Counter-Orbiting Tidal Debris: The Origin of the Milky Way Disc of Satellites. Astron. Astrophys. 2011, 532, A118. [Google Scholar] [CrossRef]
- Yang, Y.; Hammer, F. Could the Magellanic Clouds be tidal dwarves expelled from a past-merger event occurring in Andromeda? Astrophys. J. 2010, 725, L24. [Google Scholar] [CrossRef]
- Fouquet, S.; Hammer, F.; Yang, Y.; Puech, M.; Flores, H. Does the dwarf galaxy system of the Milky Way originate from Andromeda? Mon. Not. R. Astron. Soc. 2012, 427, 1769. [Google Scholar] [CrossRef]
- Lake, G.; D’Onghia, E. Small Dwarf Galaxies Within Larger Dwarfs: Why Some Are Luminous While Most Go Dark. Astrophys. J. 2008, 686, L61. [Google Scholar]
- Li, Y.S.; Helmi, A. Infall of Substructures onto a Milky Way-like Dark Halo. Mon. Not. R. Astron. Soc. 2008, 385, 1365. [Google Scholar] [CrossRef]
- Metz, M.; Kroupa, P.; Theis, C.; Hensler, G.; Jerjen, H. Did the Milky Way dwarf satellites enter the halo as a group? Astrophys. J. 2009, 697, 269–274. [Google Scholar] [CrossRef]
- Lovell, M.; Eke, V.; Frenk, C.; Jenkins, A. The Link between Galactic Satellite Orbits and Subhalo Accretion. Mon. Not. R. Astron. Soc. 2011, 413, 3013. [Google Scholar] [CrossRef]
- Libeskind, N.I.; Frenk, C.S.; Cole, S.; Jenkins, A.; Helly, J.C. How common is the Milky Way—Satellite system alignment? Mon. Not. R. Astron. Soc. 2009, 399, 550. [Google Scholar] [CrossRef]
- Deason, A.J.; McCarthy, I.G.; Font, A.; Evans, N.W.; Frenk, C.S.; Belokurov, V.; Libeskind, N.I.; Crain, R.A.; Theuns, T. Mismatch and Misalignment: Dark Haloes and Satellites of Disc Galaxies. Mon. Not. R. Astron. Soc. 2011, 415, 2607. [Google Scholar] [CrossRef]
- Bahl, H.; Baumgardt, H. A comparison of the distribution of satellite galaxies around Andromeda and the results of ΛCDM simulations. Mon. Not. R. Astron. Soc. 2014, 438, 2916–2923. [Google Scholar]
- Wang, J.; Frenk, C.S.; Cooper, A.P. The Spatial Distribution of Galactic Satellites in the LCDM Cosmology. Mon. Not. R. Astron. Soc. 2013, 429, 1502. [Google Scholar] [CrossRef]
- Goerdt, T.; Burkert, A. The Co-Planarity of Satellite Galaxies Delivered by Randomly Aligned Cold Mode Accretion Streams. arXiv 2013. [Google Scholar]
- Sawala, T.; Fren, C.S.; Fattahi, A.; Navarro, J.F.; Bower, R.G.; Crain, R.A.; Vecchia, C.D.; Furlong, M.; Helly, J.C.; Jenkins, A.; et al. The APOSTLE simulations: Solutions to the Local Group’s cosmic puzzles. Mon. Not. R. Astron. Soc. 2016, 457, 1931–1943. [Google Scholar] [CrossRef]
- McGaugh, S.S.; Schombert, J.M.; Bothun, G.D.; de Blok, W.J.G. The Baryonic Tully-Fisher relation. Astrophys. J. 2000, 533, L99–L102. [Google Scholar] [CrossRef] [PubMed]
- Torres-Flores, S.; Epinat, B.; Amram, P.; Plana, H.; de Oliveira, C.M. GHASP: An Hα kinematic survey of spiral and irregular galaxies—IX. The NIR, stellar and baryonic Tully-Fisher relations. Mon. Not. R. Astron. Soc. 2011, 416, 1936. [Google Scholar] [CrossRef]
- Lelli, F.; McGaugh, S.S.; Schombert, J.M. The Small Scatter of the Baryonic Tully-fisher Relation. Astrophys. J. 2016, 816, L14. [Google Scholar] [CrossRef]
- Mo, H.J.; Mao, S.; White, S.D.M. The Formation of galactic disks. Mon. Not. R. Astron. Soc. 1998, 295, 319. [Google Scholar] [CrossRef]
- Steinmetz, M.; Navarro, J. The cosmological origin of the tully-fisher relation. Astrophys. J. 1999, 513, 555–560. [Google Scholar] [CrossRef] [Green Version]
- White, S.D.M.; Frenk, C.S. Galaxy formation through hierarchical clustering. Astrophys. J. 1991, 379, 52–79. [Google Scholar] [CrossRef]
- Dutton, A.A. The baryonic Tully-Fisher relation and galactic outflows. Mon. Not. R. Astron. Soc. 2012, 424, 3123. [Google Scholar] [CrossRef]
- Desmond, H.; Wechsler, R.H. The Tully-Fisher and mass-size relations from halo abundance matching. Mon. Not. R. Astron. Soc. 2015, 454, 322–343. [Google Scholar] [CrossRef]
- Navarro, J.F.; Steinmetz, M. The core density of dark matter halos: A critical challenge to the lambda-cdm paradigm? Astrophys. J. 2000, 528, 607–611. [Google Scholar] [CrossRef]
- Scannapieco, C.; Wadepuhl, M.; Parry, O.H.; Navarro, J.F.; Jenkins, A.; Springel, V.; Teyssier, R.; Carlson, E.; Couchman, H.M.P.; Crain, R.A.; et al. The Aquila comparison Project: The Effects of Feedback and Numerical Methods on Simulations of Galaxy Formation. Mon. Not. R. Astron. Soc. 2012, 423, 1726. [Google Scholar] [CrossRef]
- Cole, S.; Lacey, C.G.; Baugh, C.M.; Frenk, C.S. Hierarchical galaxy formation. Mon. Not. R. Astron. Soc. 2000, 319, 168. [Google Scholar] [CrossRef]
- Guedes, J.; Callegari, S.; Madau, P.; Mayer, L. Forming Realistic Late-Type Spirals in a LCDM Universe: The Eris Simulation. Astrophys. J. 2011, 742, 76. [Google Scholar] [CrossRef]
- Brook, C.B.; Stinson, G.; Gibson, B.K.; Wadsley, J.; Quinn, T. MaGICC Disks: Matching Observed Galaxy Relationships Over a Wide Stellar Mass Range. Mon. Not. R. Astron. Soc. 2012, 424, 1275. [Google Scholar] [CrossRef] [Green Version]
- McCarthy, I.G.; Schaye, J.; Font, A.S.; Theuns, T.; Frenk, C.S.; Crain, R.A.; Vecchia, C.D. Rotation rates, sizes, and star formation efficiencies of a representative population of simulated disc galaxies. Mon. Not. R. Astron. Soc. 2012, 427, 379–392. [Google Scholar] [CrossRef] [Green Version]
- Aumer, M.; White, S.; Naab, T.; Scannapieco, C. Towards a more realistic population of bright spiral galaxies in cosmological simulations. Mon. Not. R. Astron. Soc. 2013, 434, 3142–3164. [Google Scholar] [CrossRef]
- Marinacci, F.; Pakmor, R.; Springel, V. The formation of disc galaxies in high-resolution moving-mesh cosmological simulations. Mon. Not. Roy. Astro. Soc. 2014, 437, 1750–1775. [Google Scholar] [CrossRef]
- Dutton, A.A.; Bosch, F.C.V.D. The Impact of Feedback on Disk Galaxy Scaling Relations. Mon. Not. R. Astron. Soc. 2009, 396, 141. [Google Scholar] [CrossRef] [Green Version]
- Chan, T.K.; Kereš, D.; Oñorbe, J.; Hopkins, P.F.; Muratov, A.L.; Faucher-Giguère, C.A.; Quataert, E. The impact of baryonic physics on the structure of dark matter haloes: The view from the FIRE cosmological simulations. Mon. Not. Roy. Astro. Soc. 2015, 454, 2981–3001. [Google Scholar] [CrossRef]
- Vogelsberger, M.; Zavala, J.; Simpson, C.; Jenkins, A. Dwarf galaxies in CDM and SIDM with baryons: Observational probes of the nature of dark matter. Mon. Not. R. Astron. Soc. 2014, 444, 3684. [Google Scholar] [CrossRef]
- Schaller, M.; Frenk, C.S.; Bower, R.G.; Theuns, T.; Jenkins, A.; Schaye, J.; Crain, R.A.; Furlong, M.; Dalla Vecchia, C.; McCarthy, I.G. Baryon effects on the internal structure of ΛCDM haloes in the EAGLE simulations. Mon. Not. Roy. Astro. Soc. 2015, 451, 1247–1267. [Google Scholar]
- Schaye, J.; Crain, R.A.; Bower, R.G.; Furlong, M.; Schaller, M.; Theuns, T.; Vecchia, C.D.; Frenk, C.S.; McCarthy, I.G.; Helly, J.C.; et al. The EAGLE project: Simulating the evolution and assembly of galaxies and their environments. Mon. Not. R. Astron. Soc. 2015, 446, 521–554. [Google Scholar] [CrossRef]
- Crain, R.A.; Schaye, J.; Bower, R.G.; Furlong, M.; Schaller, M.; Theuns, T.; Vecchia, C.D.; Frenk, C.S.; McCarthy, I.G.; Helly, J.C.; et al. The EAGLE simulations of galaxy formation: Calibration of subgrid physics and model variations. Mon. Not. R. Astron. Soc. 2015, 450, 1937–1961. [Google Scholar] [CrossRef]
- Fattahi, A.; Navarro, J.F.; Sawala, T.; Frenk, C.S.; Oman, K.A.; Crain, R.A.; Furlong, M.; Schaller, M.; Schaye, J.; Theuns, T.; et al. The APOSTLE project: Local Group kinematic mass constraints and simulation candidate selection. Mon. Not. Roy. Astro. Soc. 2016, 457, 844–856. [Google Scholar] [CrossRef]
- Sales, L.V.; Navarro, J.F.; Oman, K.; Fattahi, A.; Ferrero, I.; Abadi, M.G.; Bower, R.; Crain, R.A.; Frenk, C.S.; Sawala, T.; et al. The Low-Mass End of the Baryonic Tully-Fisher Relation. arXiv 2016. [Google Scholar]
- Geha, M.; Blanton, M.R.; Masjedi, M.; West, A.A. The Baryon Content of Extremely Low Mass Dwarf Galaxies. Astrophys. J. 2006, 653, 240–254. [Google Scholar] [CrossRef]
- Di Cintio, A.; Lelli, F. The mass discrepancy acceleration relation in a ΛCDM context. Mon. Not. R. Astron. Soc. 2016, 456, L127–L131. [Google Scholar]
- Navarro, J.F.; Frenk, C.S.; White, S.D.M. A Universal Density Profile from Hierarchical Clustering. Astrophys. J. 1997, 490, 493–508. [Google Scholar] [CrossRef]
- Moore, B.; Governato, F.; Quinn, T.; Stadel, J.; Lake, G. Resolving the Structure of Cold Dark Matter Halos. Astrophys. J. Lett. 1998, 499, L5–L8. [Google Scholar] [CrossRef]
- Fukushige, T.; Makino, J. Structure of Dark Matter Halos from Hierarchical Clustering. Astrophys. J. 2001, 557, 533–545. [Google Scholar] [CrossRef]
- Jing, Y.P.; Suto, Y. The Density Profiles of the Dark Matter Halo Are Not Universal. Astrophys. J. Lett. 2000, 529, L69–L72. [Google Scholar] [CrossRef]
- Ricotti, M. Dependence of the inner dark matter profile on the halo mass. Mon. Not. Roy. Astro. Soc. 2003, 344, 1237–1249. [Google Scholar] [CrossRef]
- Ricotti, M.; Wilkinson, M.I. On the origin of dark matter cores in dwarf galaxies. Mon. Not. Roy. Astro. Soc. 2004, 353, 867–873. [Google Scholar] [CrossRef] [Green Version]
- Ricotti, M.; Pontzen, A.; Viel, M. Is the Concentration of Dark Matter Halos at Virialization Universal? Astrophys. J. Lett. 2007, 663, L53–L56. [Google Scholar] [CrossRef]
- Del Popolo, A. On the universality of density profiles. Mon. Not. Roy. Astro. Soc. 2010, 408, 1808–1817. [Google Scholar] [CrossRef]
- Cardone, V.F.; Del Popolo, A.; Tortora, C.; Napolitano, N.R. Secondary infall model and dark matter scaling relations in intermediate-redshift early-type galaxies. Mon. Not. Roy. Astro. Soc. 2011, 416, 1822–1835. [Google Scholar] [CrossRef]
- Del Popolo, A. Non-power law behavior of the radial profile of phase-space density of halos. J. Cosmo. Astrop. Phys 2011, 7, 014. [Google Scholar] [CrossRef]
- Del Popolo, A.; Cardone, V.F.; Belvedere, G. Surface density of dark matter haloes on galactic and cluster scales. Mon. Not. Roy. Astro. Soc. 2013, 429, 1080–1087. [Google Scholar] [CrossRef]
- Di Cintio, A.; Brook, C.B.; Macciò, A.V.; Stinson, G.S.; Knebe, A.; Dutton, A.A.; Wadsley, J. The dependence of dark matter profiles on the stellar-to-halo mass ratio: A prediction for cusps versus cores. Mon. Not. Roy. Astro. Soc. 2014, 437, 415–423. [Google Scholar] [CrossRef]
- Stadel, J.; Potter, D.; Moore, B.; Diemand, J.; Madau, P.; Zemp, M.; Kuhlen, M.; Quilis, V. Quantifying the heart of darkness with GHALO - a multibillion particle simulation of a galactic halo. Mon. Not. Roy. Astro. Soc. 2009, 398, L21–L25. [Google Scholar] [CrossRef]
- Gao, L.; Navarro, J.F.; Cole, S.; Frenk, C.S.; White, S.D.M.; Springel, V.; Jenkins, A.; Neto, A.F. The redshift dependence of the structure of massive Λ cold dark matter haloes. Mon. Not. Roy. Astro. Soc. 2008, 387, 536–544. [Google Scholar]
- Burkert, A. The Structure of Dark Matter Halos in Dwarf Galaxies. Astrophys. J. Lett. 1995, 447, L25. [Google Scholar] [CrossRef]
- De Blok, W.J.G.; Bosma, A.; McGaugh, S. Simulating observations of dark matter dominated galaxies: Towards the optimal halo profile. Mon. Not. Roy. Astro. Soc. 2003, 340, 657–678. [Google Scholar] [CrossRef]
- Swaters, R.A.; Madore, B.F.; van den Bosch, F.C.; Balcells, M. The Central Mass Distribution in Dwarf and Low Surface Brightness Galaxies. Astrophys. J. 2003, 583, 732–751. [Google Scholar] [CrossRef]
- Kuzio de Naray, R.; Kaufmann, T. Recovering cores and cusps in dark matter haloes using mock velocity field observations. Mon. Not. Roy. Astro. Soc. 2011, 414, 3617–3626. [Google Scholar] [CrossRef]
- Oh, S.H.; de Blok, W.J.G.; Brinks, E.; Walter, F.; Kennicutt, R.C., Jr. Dark and Luminous Matter in THINGS Dwarf Galaxies. Astro. J. 2011, 141, 193. [Google Scholar] [CrossRef]
- Governato, F.; Zolotov, A.; Pontzen, A.; Christensen, C.; Oh, S.H.; Brooks, A.M.; Quinn, T.; Shen, S.; Wadsley, J. Cuspy no more: How outflows affect the central dark matter and baryon distribution in Λ cold dark matter galaxies. Mon. Not. Roy. Astro. Soc. 2012, 422, 1231–1240. [Google Scholar]
- Del Popolo, A. The Cusp/Core Problem and the Secondary Infall Model. Astrophys. J. 2009, 698, 2093–2113. [Google Scholar] [CrossRef]
- Cardone, V.F.; Del Popolo, A. Newtonian acceleration scales in spiral galaxies. Mon. Not. Roy. Astro. Soc. 2012, 427, 3176–3187. [Google Scholar] [CrossRef]
- Del Popolo, A. Density profile slopes of dwarf galaxies and their environment. Mon. Not. Roy. Astro. Soc. 2012, 419, 971–984. [Google Scholar] [CrossRef]
- Del Popolo, A. On the density-profile slope of clusters of galaxies. Mon. Not. Roy. Astro. Soc. 2012, 424, 38–51. [Google Scholar] [CrossRef]
- Del Popolo, A.; Cardone, V.F. Statistical properties of the dark matter haloes of dwarf galaxies and correlations with the environment. Mon. Not. Roy. Astro. Soc. 2012, 423, 1060–1072. [Google Scholar] [CrossRef]
- Del Popolo, A.; Hiotelis, N. Cusps and cores in the presence of galactic bulges. J. Cosmo. Astrop. Phys 2014, 2014, 047. [Google Scholar] [CrossRef]
- Del Popolo, A. Profiles of dark-matter haloes at high redshift. Mon. Not. R. Astron. Soc. 2001, 325, 1190. [Google Scholar] [CrossRef] [Green Version]
- McGaugh, S.S.; de Blok, W.J.G. Testing the Dark Matter Hypothesis with Low Surface Brightness Galaxies and Other Evidence. Astrophys. J. 1998, 499, 41–65. [Google Scholar] [CrossRef]
- Côté, S.; Carignan, C.; Freeman, K.C. The Various Kinematics of Dwarf Irregular Galaxies in Nearby Groups and Their Dark Matter Distributions. Astro. J. 2000, 120, 3027–3059. [Google Scholar] [CrossRef]
- Van den Bosch, F.C.; Swaters, R.A. Dwarf galaxy rotation curves and the core problem of dark matter haloes. Mon. Not. Roy. Astro. Soc. 2001, 325, 1017–1038. [Google Scholar] [CrossRef]
- De Blok, W.J.G.; Bosma, A. High-resolution rotation curves of low surface brightness galaxies. Astron. Astrophys. 2002, 385, 816–846. [Google Scholar] [CrossRef]
- Spekkens, K.; Giovanelli, R.; Haynes, M.P. The Cusp/Core Problem in Galactic Halos: Long-Slit Spectra for a Large Dwarf Galaxy Sample. Astro. J. 2005, 129, 2119–2137. [Google Scholar] [CrossRef]
- Hayashi, E.; Navarro, J.F.; Power, C.; Jenkins, A.; Frenk, C.S.; White, S.D.M.; Springel, V.; Stadel, J.; Quinn, T.R. The inner structure of ΛCDM haloes—II. Halo mass profiles and low surface brightness galaxy rotation curves. Mon. Not. Roy. Astro. Soc. 2004, 355, 794–812. [Google Scholar]
- Blais-Ouellette, S.; Amram, P.; Carignan, C. Accurate Determination of the Mass Distribution in Spiral Galaxies. II. Testing the Shape of Dark Halos. Astro. J. 2001, 121, 1952–1964. [Google Scholar] [CrossRef]
- Kuzio de Naray, R.; McGaugh, S.S.; de Blok, W.J.G. Mass Models for Low Surface Brightness Galaxies with High-Resolution Optical Velocity Fields. Astrophys. J. 2008, 676, 920–943. [Google Scholar] [CrossRef]
- Kuzio de Naray, R.; McGaugh, S.S.; Mihos, J.C. Constraining the NFW Potential with Observations and Modeling of Low Surface Brightness Galaxy Velocity Fields. Astrophys. J. 2009, 692, 1321–1332. [Google Scholar] [CrossRef]
- Weldrake, D.T.F.; de Blok, W.J.G.; Walter, F. A high-resolution rotation curve of NGC 6822: A test-case for cold dark matter. Mon. Not. Roy. Astro. Soc. 2003, 340, 12–28. [Google Scholar] [CrossRef]
- Trachternach, C.; de Blok, W.J.G.; Walter, F.; Brinks, E.; Kennicutt, R.C., Jr. Dynamical Centers and Noncircular Motions in THINGS Galaxies: Implications for Dark Matter Halos. Astro. J. 2008, 136, 2720–2760. [Google Scholar] [CrossRef]
- Gentile, G.; Salucci, P.; Klein, U.; Vergani, D.; Kalberla, P. The cored distribution of dark matter in spiral galaxies. Mon. Not. Roy. Astro. Soc. 2004, 351, 903–922. [Google Scholar] [CrossRef]
- Gentile, G.; Salucci, P.; Klein, U.; Granato, G.L. NGC 3741: The dark halo profile from the most extended rotation curve. Mon. Not. Roy. Astro. Soc. 2007, 375, 199–212. [Google Scholar] [CrossRef]
- Salucci, P.; Lapi, A.; Tonini, C.; Gentile, G.; Yegorova, I.; Klein, U. The universal rotation curve of spiral galaxies - II. The dark matter distribution out to the virial radius. Mon. Not. Roy. Astro. Soc. 2007, 378, 41–47. [Google Scholar] [CrossRef]
- Navarro, J.F.; Hayashi, E.; Power, C.; Jenkins, A.R.; Frenk, C.S.; White, S.D.M.; Springel, V.; Stadel, J.; Quinn, T.R. The inner structure of ΛCDM haloes—III. Universality and asymptotic slopes. Mon. Not. Roy. Astro. Soc. 2004, 349, 1039–1051. [Google Scholar]
- Oh, S.H.; Hunter, D.A.; Brinks, E.; Elmegreen, B.G.; Schruba, A.; Walter, F.; Rupen, M.P.; Young, L.M.; Simpson, C.E.; Johnson, M.C.; et al. High-resolution Mass Models of Dwarf Galaxies from LITTLE THINGS. Astro. J. 2015, 149, 180. [Google Scholar] [CrossRef]
- Spano, M.; Marcelin, M.; Amram, P.; Carignan, C.; Epinat, B.; Hernandez, O. GHASP: An Hα kinematic survey of spiral and irregular galaxies—V. Dark matter distribution in 36 nearby spiral galaxies. Mon. Not. Roy. Astro. Soc. 2008, 383, 297–316. [Google Scholar] [CrossRef]
- Simon, J.D.; Bolatto, A.D.; Leroy, A.; Blitz, L.; Gates, E.L. High-Resolution Measurements of the Halos of Four Dark Matter-Dominated Galaxies: Deviations from a Universal Density Profile. Astrophys. J. 2005, 621, 757–776. [Google Scholar] [CrossRef]
- De Blok, W.J.G.; Walter, F.; Brinks, E.; Trachternach, C.; Oh, S.H.; Kennicutt, R.C., Jr. High-Resolution Rotation Curves and Galaxy Mass Models from THINGS. Astro. J. 2008, 136, 2648–2719. [Google Scholar] [CrossRef]
- Martinsson, T.P.K.; Verheijen, M.A.W.; Westfall, K.B.; Bershady, M.A.; Andersen, D.R.; Swaters, R.A. The DiskMass Survey. VII. The distribution of luminous and dark matter in spiral galaxies. Astron. Astrophys. 2013, 557, A131. [Google Scholar] [CrossRef]
- Simon, J.D.; Bolatto, A.D.; Leroy, A.; Blitz, L. High-Resolution Measurements of the Dark Matter Halo of NGC 2976: Evidence for a Shallow Density Profile. Astrophys. J. 2003, 596, 957–981. [Google Scholar] [CrossRef]
- Adams, J.J.; Gebhardt, K.; Blanc, G.A.; Fabricius, M.H.; Hill, G.J.; Murphy, J.D.; van den Bosch, R.C.E.; van de Ven, G. The Central Dark Matter Distribution of NGC 2976. Astrophys. J. 2012, 745, 92. [Google Scholar] [CrossRef]
- Adams, J.J.; Simon, J.D.; Fabricius, M.H.; van den Bosch, R.C.E.; Barentine, J.C.; Bender, R.; Gebhardt, K.; Hill, G.J.; Murphy, J.D.; Swaters, R.A.; et al. Dwarf Galaxy Dark Matter Density Profiles Inferred from Stellar and Gas Kinematics. Astrophys. J. 2014, 789, 63. [Google Scholar] [CrossRef]
- Oman, K.A.; Navarro, J.F.; Fattahi, A.; Frenk, C.S.; Sawala, T.; White, S.D.M.; Bower, R.; Crain, R.A.; Furlong, M.; Schaller, M.; et al. The unexpected diversity of dwarf galaxy rotation curves. Mon. Not. Roy. Astro. Soc. 2015, 452, 3650–3665. [Google Scholar] [CrossRef]
- Evans, N.W.; An, J.; Walker, M.G. Cores and cusps in the dwarf spheroidals. Mon. Not. Roy. Astro. Soc. 2009, 393, L50–L54. [Google Scholar] [CrossRef]
- Wolf, J.; Bullock, J.S. Dark Matter Concentrations and a Search for Cores in Milky Way Dwarf Satellites. arXiv 2012. [Google Scholar]
- Hayashi, K.; Chiba, M. Probing Non-spherical Dark Halos in the Galactic Dwarf Galaxies. Astrophys. J. 2012, 755, 145. [Google Scholar] [CrossRef]
- Richardson, T.; Fairbairn, M. Analytical solutions to the mass-anisotropy degeneracy with higher order Jeans analysis: A general method. Mon. Not. Roy. Astro. Soc. 2013, 432, 3361–3380. [Google Scholar] [CrossRef]
- Jardel, J.R.; Gebhardt, K. The Dark Matter Density Profile of the Fornax Dwarf. Astrophys. J. 2012, 746, 89. [Google Scholar] [CrossRef]
- Breddels, M.A.; Helmi, A.; van den Bosch, R.C.E.; van de Ven, G.; Battaglia, G. Orbit-based dynamical models of the Sculptor dSph galaxy. Mon. Not. Roy. Astro. Soc. 2013, 433, 3173–3189. [Google Scholar] [CrossRef]
- Jardel, J.R.; Gebhardt, K. Variations in a Universal Dark Matter Profile for Dwarf Spheroidals. Astrophys. J. Lett. 2013, 775, L30. [Google Scholar] [CrossRef]
- Jardel, J.R.; Gebhardt, K.; Fabricius, M.H.; Drory, N.; Williams, M.J. Measuring Dark Matter Profiles Non-Parametrically in Dwarf Spheroidals: An Application to Draco. Astrophys. J. 2013, 763, 91. [Google Scholar] [CrossRef]
- Battaglia, G.; Helmi, A.; Tolstoy, E.; Irwin, M.; Hill, V.; Jablonka, P. The Kinematic Status and Mass Content of the Sculptor Dwarf Spheroidal Galaxy. Astrophys. J. Lett. 2008, 681, L13. [Google Scholar] [CrossRef]
- Walker, M.G.; Peñarrubia, J. A Method for Measuring (Slopes of) the Mass Profiles of Dwarf Spheroidal Galaxies. Astrophys. J. 2011, 742, 20. [Google Scholar] [CrossRef]
- Agnello, A.; Evans, N.W. A Virial Core in the Sculptor Dwarf Spheroidal Galaxy. Astrophys. J. Lett. 2012, 754, L39. [Google Scholar] [CrossRef]
- Amorisco, N.C.; Evans, N.W. Dark matter cores and cusps: The case of multiple stellar populations in dwarf spheroidals. Mon. Not. Roy. Astro. Soc. 2012, 419, 184–196. [Google Scholar] [CrossRef]
- Sand, D.J.; Treu, T.; Smith, G.P.; Ellis, R.S. The Dark Matter Distribution in the Central Regions of Galaxy Clusters: Implications for Cold Dark Matter. Astrophys. J. 2004, 604, 88–107. [Google Scholar] [CrossRef]
- Newman, A.B.; Treu, T.; Ellis, R.S.; Sand, D.J.; Richard, J.; Marshall, P.J.; Capak, P.; Miyazaki, S. The Distribution of Dark Matter Over Three Decades in Radius in the Lensing Cluster Abell 611. Astrophys. J. 2009, 706, 1078–1094. [Google Scholar] [CrossRef]
- Newman, A.B.; Treu, T.; Ellis, R.S.; Sand, D.J. The Dark Matter Distribution in A383: Evidence for a Shallow Density Cusp from Improved Lensing, Stellar Kinematic, and X-ray Data. Astrophys. J. Lett. 2011, 728, L39. [Google Scholar] [CrossRef]
- Newman, A.B.; Treu, T.; Ellis, R.S.; Sand, D.J. The Density Profiles of Massive, Relaxed Galaxy Clusters. II. Separating Luminous and Dark Matter in Cluster Cores. Astrophys. J. 2013, 765, 25. [Google Scholar] [CrossRef]
- Del Popolo, A. The flat density profiles of massive, and relaxed galaxy clusters. J. Cosmo. Astrop. Phys 2014, 7, 019. [Google Scholar] [CrossRef]
- Donnarumma, A.; Ettori, S.; Meneghetti, M.; Gavazzi, R.; Fort, B.; Moscardini, L.; Romano, A.; Fu, L.; Giordano, F.; Radovich, M.; et al. Abell 611. II. X-ray and strong lensing analyses. Astron. Astrophys. 2011, 528, A73. [Google Scholar] [CrossRef]
- Dahle, H.; Hannestad, S.; Sommer-Larsen, J. The Density Profile of Cluster-Scale Dark Matter Halos. Astrophys. J. Lett. 2003, 588, L73–L76. [Google Scholar] [CrossRef]
- Gavazzi, R.; Fort, B.; Mellier, Y.; Pelló, R.; Dantel-Fort, M. A radial mass profile analysis of the lensing cluster MS 2137.3-2353. Astron. Astrophys. 2003, 403, 11–27. [Google Scholar] [CrossRef]
- Sand, D.J.; Treu, T.; Ellis, R.S. The Dark Matter Density Profile of the Lensing Cluster MS 2137-23: A Test of the Cold Dark Matter Paradigm. Astrophys. J. Lett. 2002, 574, L129–L133. [Google Scholar] [CrossRef]
- Del Popolo, A. The Mass and temperature functions in a moving barrier model. Mon. Not. R. Astron. Soc. 2002, 337, 529. [Google Scholar] [CrossRef]
- Del Popolo, A.; Hiotelis, N.; Penarrubia, J. A theoretical study of the luminosity temperature relation for clusters of galaxies. Astrophys. J. 2005, 628, 76. [Google Scholar] [CrossRef] [Green Version]
- Ettori, S.; Fabian, A.C.; Allen, S.W.; Johnstone, R.M. Deep inside the core of Abell 1795: The Chandra view. Mon. Not. Roy. Astro. Soc. 2002, 331, 635–648. [Google Scholar] [CrossRef]
- Lewis, A.D.; Buote, D.A.; Stocke, J.T. Chandra Observations of A2029: The Dark Matter Profile Down to below 0.01rvir in an Unusually Relaxed Cluster. Astrophys. J. 2003, 586, 135–142. [Google Scholar] [CrossRef]
- Arabadjis, J.S.; Bautz, M.W.; Garmire, G.P. Chandra Observations of the Lensing Cluster EMSS 1358+6245: Implications for Self-interacting Dark Matter. Astrophys. J. 2002, 572, 66–78. [Google Scholar] [CrossRef] [Green Version]
- Schmidt, R.W.; Allen, S.W. The dark matter haloes of massive, relaxed galaxy clusters observed with Chandra. Mon. Not. Roy. Astro. Soc. 2007, 379, 209–221. [Google Scholar] [CrossRef]
- Kuzio de Naray, R.; Spekkens, K. Do Baryons Alter the Halos of Low Surface Brightness Galaxies? Astrophys. J. Lett. 2011, 741, L29. [Google Scholar] [CrossRef]
- Van den Bosch, F.C.; Robertson, B.E.; Dalcanton, J.J.; de Blok, W.J.G. Constraints on the Structure of Dark Matter Halos from the Rotation Curves of Low Surface Brightness Galaxies. Astro. J. 2000, 119, 1579–1591. [Google Scholar] [CrossRef]
- Power, C.; Navarro, J.F.; Jenkins, A.; Frenk, C.S.; White, S.D.M.; Springel, V.; Stadel, J.; Quinn, T. The inner structure of ΛCDM haloes—I. A numerical convergence study. Mon. Not. Roy. Astro. Soc. 2003, 338, 14–34. [Google Scholar]
- De Blok, W.J.G.; McGaugh, S.S.; Bosma, A.; Rubin, V.C. Mass Density Profiles of Low Surface Brightness Galaxies. Astrophys. J. Lett. 2001, 552, L23–L26. [Google Scholar] [CrossRef]
- Borriello, A.; Salucci, P. The dark matter distribution in disc galaxies. Mon. Not. Roy. Astro. Soc. 2001, 323, 285–292. [Google Scholar] [CrossRef]
- Diemand, J.; Moore, B.; Stadel, J. Convergence and scatter of cluster density profiles. Mon. Not. Roy. Astro. Soc. 2004, 353, 624–632. [Google Scholar] [CrossRef] [Green Version]
- Sommer-Larsen, J.; Dolgov, A. Formation of Disk Galaxies: Warm Dark Matter and the Angular Momentum Problem. Astrophys. J. 2001, 551, 608–623. [Google Scholar] [CrossRef]
- Hu, W.; Barkana, R.; Gruzinov, A. Fuzzy Cold Dark Matter: The Wave Properties of Ultralight Particles. Phys. Rev. Lett. 2000, 85, 1158–1161. [Google Scholar] [CrossRef] [PubMed]
- Goodman, J. Repulsive dark matter. New Astron. 2000, 5, 103–107. [Google Scholar] [CrossRef]
- Peebles, P.J.E. Fluid Dark Matter. Astrophys. J. Lett. 2000, 534, L127–L129. [Google Scholar] [CrossRef]
- Kaplinghat, M.; Knox, L.; Turner, M.S. Annihilating Cold Dark Matter. Phys. Rev. Lett. 2000, 85, 3335–3338. [Google Scholar] [CrossRef] [PubMed]
- Cen, R. Decaying Cold Dark Matter Model and Small-Scale Power. Astrophys. J. Lett. 2001, 546, L77–L80. [Google Scholar] [CrossRef]
- Spergel, D.N.; Steinhardt, P.J. Observational Evidence for Self-Interacting Cold Dark Matter. Phys. Rev. Lett. 2000, 84, 3760–3763. [Google Scholar] [CrossRef] [PubMed]
- Zentner, A.R.; Bullock, J.S. Halo Substructure and the Power Spectrum. Astrophys. J. 2003, 598, 49–72. [Google Scholar] [CrossRef]
- Buchdahl, H.A. Non-linear Lagrangians and cosmological theory. Mon. Not. Roy. Astro. Soc. 1970, 150, 1. [Google Scholar] [CrossRef]
- Starobinsky, A.A. A new type of isotropic cosmological models without singularity. Phys. Lett. B 1980, 91, 99–102. [Google Scholar] [CrossRef]
- Bengochea, G.R.; Ferraro, R. Dark torsion as the cosmic speed-up. Phys. Rev. D 2009, 79, 124019. [Google Scholar] [CrossRef]
- Linder, E.V. Einstein’s other gravity and the acceleration of the Universe. Phys. Rev. D 2010, 81, 127301. [Google Scholar] [CrossRef]
- Dent, J.B.; Dutta, S.; Saridakis, E.N. f(T) gravity mimicking dynamical dark energy. Background and perturbation analysis. J. Cosmo. Astrop. Phys 2011, 2011, 009. [Google Scholar] [CrossRef] [PubMed]
- Zheng, R.; Huang, Q.G. Growth factor in f(T) gravity. J. Cosmo. Astrop. Phys 2011, 2011, 002. [Google Scholar] [CrossRef]
- Milgrom, M. A modification of the Newtonian dynamics - Implications for galaxies. Astrophys. J. 1983, 270, 371–389. [Google Scholar] [CrossRef]
- Milgrom, M. A modification of the Newtonian dynamics as a possible alternative to the hidden mass hypothesis. Astrophys. J. 1983, 270, 365–370. [Google Scholar] [CrossRef]
- Capozziello, S.; De Laurentis, M. The dark matter problem from f(R) gravity viewpoint. Annalen der Physik 2012, 524, 545–578. [Google Scholar] [CrossRef]
- El-Zant, A.; Shlosman, I.; Hoffman, Y. Dark Halos: The Flattening of the Density Cusp by Dynamical Friction. Astrophys. J. 2001, 560, 636–643. [Google Scholar] [CrossRef]
- El-Zant, A.A.; Hoffman, Y.; Primack, J.; Combes, F.; Shlosman, I. Flat-cored Dark Matter in Cuspy Clusters of Galaxies. Astrophys. J. Lett. 2004, 607, L75–L78. [Google Scholar] [CrossRef]
- Le Delliou, M.; Henriksen, R.N.; MacMillan, J.D. Black holes and galactic density cusps—I. Radial orbit cusps and bulges. Mon. Not. Roy. Astro. Soc. 2011, 413, 1633–1642. [Google Scholar] [CrossRef]
- Le Delliou, M.; Henriksen, R.N.; MacMillan, J.D. Black holes and galactic density cusps. Spherically symmetric anisotropic cusps. Astron. Astrophys. 2010, 522, A28. [Google Scholar] [CrossRef]
- Le Delliou, M.; Henriksen, R.N.; MacMillan, J.D. Black holes and galactic density cusps. From black hole to bulge. Astron. Astrophys. 2011, 526, A13. [Google Scholar] [CrossRef]
- Nusser, A. Self-similar spherical collapse with non-radial motions. Mon. Not. Roy. Astro. Soc. 2001, 325, 1397–1401. [Google Scholar] [CrossRef]
- Hiotelis, N. Density profiles in a spherical infall model with non-radial motions. Astron. Astrophys. 2002, 382, 84–91. [Google Scholar] [CrossRef] [Green Version]
- Le Delliou, M.; Henriksen, R.N. Non-radial motion and the NFW profile. Astron. Astrophys. 2003, 408, 27–38. [Google Scholar] [CrossRef]
- Ascasibar, Y.; Yepes, G.; Gottlöber, S.; Müller, V. On the physical origin of dark matter density profiles. Mon. Not. Roy. Astro. Soc. 2004, 352, 1109–1120. [Google Scholar] [CrossRef]
- Williams, L.L.R.; Babul, A.; Dalcanton, J.J. Investigating the Origins of Dark Matter Halo Density Profiles. Astrophys. J. 2004, 604, 18–39. [Google Scholar] [CrossRef]
- Del Popolo, A.; Pace, F.; Lima, J.A.S. Extended Spherical Collapse and the Accelerating Universe. Int. J. Mod. Phys. D 2013, 22, 1350038. [Google Scholar] [CrossRef]
- Del Popolo, A.; Pace, F.; Lima, J.A.S. Spherical collapse model with shear and angular momentum in dark energy cosmologies. Mon. Not. Roy. Astro. Soc. 2013, 430, 628–637. [Google Scholar] [CrossRef]
- Del Popolo, A.; Pace, F.; Maydanyuk, S.P.; Lima, J.A.S.; Jesus, J.F. Shear and rotation in Chaplygin cosmology. Phys. Rev. D 2013, 87, 043527. [Google Scholar] [CrossRef]
- Del Popolo, A.; Ercan, E.N.; Xia, Z. Ellipsoidal Collapse and Previrialization. Astro. J. 2001, 122, 487–495. [Google Scholar] [CrossRef]
- Del Popolo, A.; Gambera, M. Substructure effects on the collapse of density perturbations. Astron. Astrophys. 1997, 321, 691–695. [Google Scholar]
- Cardone, V.F.; Leubner, M.P.; Del Popolo, A. Spherical galaxy models as equilibrium configurations in non-extensive statistics. Mon. Not. Roy. Astro. Soc. 2011, 414, 2265–2274. [Google Scholar] [CrossRef]
- Del Popolo, A. Some improvements to the spherical collapse model. Astron. Astrophys. 2006, 454, 17–26. [Google Scholar] [CrossRef]
- Del Popolo, A. On the evolution of aspherical perturbations in the universe: An analytical model. Astron. Astrophys. 2002, 387, 759. [Google Scholar] [CrossRef]
- Mimoso, J.P.; Le Delliou, M.; Mena, F.C. Separating expansion from contraction in spherically symmetric models with a perfect fluid: Generalization of the Tolman-Oppenheimer-Volkoff condition and application to models with a cosmological constant. Phys. Rev. D 2010, 81, 123514. [Google Scholar] [CrossRef]
- Mimoso, J.P.; Le Delliou, M.; Mena, F.C. Local conditions separating expansion from collapse in spherically symmetric models with anisotropic pressures. Phys. Rev. D 2013, 88, 043501. [Google Scholar] [CrossRef]
- Le Delliou, M.; Mena, F.C.; Mimoso, J.P. Role of shell crossing on the existence and stability of trapped matter shells in spherical inhomogeneous Λ-CDM models. Phys. Rev. D 2011, 83, 103528. [Google Scholar]
- Le Delliou, M.; Mimoso, J.P.; Mena, F.C.; Fontanini, M.; Guariento, D.C.; Abdalla, E. Separating expansion and collapse in general fluid models with heat flux. Phys. Rev. D 2013, 88, 027301. [Google Scholar] [CrossRef]
- Del Popolo, A.; Gambera, M. Peak mass in large-scale structure and dynamical friction. Astron. Astrophys. 1996, 308, 373–375. [Google Scholar]
- Blumenthal, G.R.; Faber, S.M.; Flores, R.; Primack, J.R. Contraction of dark matter galactic halos due to baryonic infall. Astrophys. J. 1986, 301, 27–34. [Google Scholar] [CrossRef]
- Gnedin, O.Y.; Kravtsov, A.V.; Klypin, A.A.; Nagai, D. Response of Dark Matter Halos to Condensation of Baryons: Cosmological Simulations and Improved Adiabatic Contraction Model. Astrophys. J. 2004, 616, 16–26. [Google Scholar] [CrossRef]
- Spedicato, E.; Bodon, E.; Del Popolo, A.; Mahdavi-Amiri, N. ABS Methods and ABSPACK for Linear Systems and Optimization, a Review. arXiv 2002. [Google Scholar]
- Del Popolo, A.; Kroupa, P. Density profiles of dark matter haloes on galactic and cluster scales. Astron. Astrophys. 2009, 502, 733–747. [Google Scholar] [CrossRef]
- Del Popolo, A. A theoretical study of the mass-temperature relation for clusters of galaxies. Mon. Not. Roy. Astro. Soc. 2002, 336, 81–90. [Google Scholar] [CrossRef]
- Del Popolo, A.; Gambera, M. Non radial motions and the shapes and the abundance of clusters of galaxies. Astron. Astrophys. 2000, 357, 809–815. [Google Scholar]
- Colafrancesco, S.; Antonuccio-Delogu, V.; Del Popolo, A. On the Dynamical Origin of Bias in Clusters of Galaxies. Astrophys. J. 1995, 455, 32. [Google Scholar] [CrossRef]
- Del Popolo, A. Numerical tests of dynamical friction in gravitational inhomogeneous systems. Astron. Astrophys. 2003, 406, 1–6. [Google Scholar] [CrossRef]
- Navarro, J.F.; Eke, V.R.; Frenk, C.S. The cores of dwarf galaxy haloes. Mon. Not. Roy. Astro. Soc. 1996, 283, L72–L78. [Google Scholar] [CrossRef]
- Gelato, S.; Sommer-Larsen, J. On DDO 154 and cold dark matter halo profiles. Mon. Not. Roy. Astro. Soc. 1999, 303, 321–328. [Google Scholar] [CrossRef] [Green Version]
- Read, J.I.; Gilmore, G. Mass loss from dwarf spheroidal galaxies: The origins of shallow dark matter cores and exponential surface brightness profiles. Mon. Not. Roy. Astro. Soc. 2005, 356, 107–124. [Google Scholar] [CrossRef]
- Ma, C.P.; Boylan-Kolchin, M. Are Halos of Collisionless Cold Dark Matter Collisionless? Phys. Rev. Lett. 2004, 93, 021301. [Google Scholar] [CrossRef] [PubMed]
- Nipoti, C.; Treu, T.; Ciotti, L.; Stiavelli, M. Galactic cannibalism and cold dark matter density profiles. Mon. Not. Roy. Astro. Soc. 2004, 355, 1119–1124. [Google Scholar] [CrossRef]
- Romano-Díaz, E.; Shlosman, I.; Hoffman, Y.; Heller, C. Erasing Dark Matter Cusps in Cosmological Galactic Halos with Baryons. Astrophys. J. Lett. 2008, 685, L105. [Google Scholar] [CrossRef]
- Romano-Díaz, E.; Shlosman, I.; Heller, C.; Hoffman, Y. Dissecting Galaxy Formation. I. Comparison Between Pure Dark Matter and Baryonic Models. Astrophys. J. 2009, 702, 1250–1267. [Google Scholar] [CrossRef]
- Cole, D.R.; Dehnen, W.; Wilkinson, M.I. Weakening dark matter cusps by clumpy baryonic infall. Mon. Not. Roy. Astro. Soc. 2011, 416, 1118–1134. [Google Scholar] [CrossRef]
- Inoue, S.; Saitoh, T.R. Cores and revived cusps of dark matter haloes in disc galaxy formation through clump clusters. Mon. Not. Roy. Astro. Soc. 2011, 418, 2527–2531. [Google Scholar] [CrossRef]
- Nipoti, C.; Binney, J. Early flattening of dark matter cusps in dwarf spheroidal galaxies. Mon. Not. Roy. Astro. Soc. 2015, 446, 1820–1828. [Google Scholar] [CrossRef]
- Pontzen, A.; Governato, F. Cold dark matter heats up. Nature 2014, 506, 171–178. [Google Scholar] [CrossRef] [PubMed]
- Teyssier, R.; Pontzen, A.; Dubois, Y.; Read, J.I. Cusp-core transformations in dwarf galaxies: Observational predictions. Mon. Not. Roy. Astro. Soc. 2013, 429, 3068–3078. [Google Scholar] [CrossRef]
- Gnedin, O.Y.; Zhao, H. Maximum feedback and dark matter profiles of dwarf galaxies. Mon. Not. Roy. Astro. Soc. 2002, 333, 299–306. [Google Scholar] [CrossRef]
- Garrison-Kimmel, S.; Rocha, M.; Boylan-Kolchin, M.; Bullock, J.S.; Lally, J. Can feedback solve the too-big-to-fail problem? Mon. Not. Roy. Astro. Soc. 2013, 433, 3539–3546. [Google Scholar] [CrossRef]
- Wadsley, J.W.; Stadel, J.; Quinn, T. Gasoline: A flexible, parallel implementation of TreeSPH. New Astron. 2004, 9, 137–158. [Google Scholar] [CrossRef]
- Katz, N.; White, S.D.M. Hierarchical galaxy formation - Overmerging and the formation of an X-ray cluster. Astrophys. J. 1993, 412, 455–478. [Google Scholar] [CrossRef]
- Stinson, G.; Seth, A.; Katz, N.; Wadsley, J.; Governato, F.; Quinn, T. Star formation and feedback in smoothed particle hydrodynamic simulations—I. Isolated galaxies. Mon. Not. Roy. Astro. Soc. 2006, 373, 1074–1090. [Google Scholar] [CrossRef]
- Stinson, G.S.; Brook, C.; Macciò, A.V.; Wadsley, J.; Quinn, T.R.; Couchman, H.M.P. Making Galaxies In a Cosmological Context: The need for early stellar feedback. Mon. Not. Roy. Astro. Soc. 2013, 428, 129–140. [Google Scholar] [CrossRef]
- Pontzen, A.; Governato, F. How supernova feedback turns dark matter cusps into cores. Mon. Not. Roy. Astro. Soc. 2012, 421, 3464–3471. [Google Scholar] [CrossRef]
- Ceverino, D.; Klypin, A. The Role of Stellar Feedback in the Formation of Galaxies. Astrophys. J. 2009, 695, 292–309. [Google Scholar] [CrossRef]
- Oñorbe, J.; Boylan-Kolchin, M.; Bullock, J.S.; Hopkins, P.F.; Kereš, D.; Faucher-Giguère, C.A.; Quataert, E.; Murray, N. Forged in FIRE: Cusps, cores and baryons in low-mass dwarf galaxies. Mon. Not. Roy. Astro. Soc. 2015, 454, 2092–2106. [Google Scholar] [CrossRef]
- González-Samaniego, A.; Colín, P.; Avila-Reese, V.; Rodríguez-Puebla, A.; Valenzuela, O. Simulations of Isolated Dwarf Galaxies Formed in Dark Matter Halos with Different Mass Assembly Histories. Astrophys. J. 2014, 785, 58. [Google Scholar] [CrossRef]
- Pontzen, A.; Governato, F. Flattening Dark Matter Cusps with Supernova Feedback: A Physical Model. Available online: http://astro.dur.ac.uk/Gal2011/uploads/gal2011_durham_talk_Pontzen.pdf (accessed on 8 December 2016).
- Peñarrubia, J.; Pontzen, A.; Walker, M.G.; Koposov, S.E. The Coupling between the Core/Cusp and Missing Satellite Problems. Astrophys. J. Lett. 2012, 759, L42. [Google Scholar] [CrossRef]
- Maxwell, A.J.; Wadsley, J.; Couchman, H.M.P. The Energetics of Cusp Destruction. Astrophys. J. 2015, 806, 229. [Google Scholar] [CrossRef]
- Revaz, Y.; Jablonka, P. The dynamical and chemical evolution of dwarf spheroidal galaxies with GEAR. Astron. Astrophys. 2012, 538, A82. [Google Scholar] [CrossRef]
- Sawala, T.; Frenk, C.S.; Fattahi, A.; Navarro, J.F.; Bower, R.G.; Crain, R.A.; Dalla Vecchia, C.; Furlong, M.; Helly, J.C.; Jenkins, A.; et al. Local Group galaxies emerge from the dark. arXiv 2014. [Google Scholar]
- Ferrero, I.; Abadi, M.G.; Navarro, J.F.; Sales, L.V.; Gurovich, S. The dark matter haloes of dwarf galaxies: A challenge for the Λ cold dark matter paradigm? Mon. Not. Roy. Astro. Soc. 2012, 425, 2817–2823. [Google Scholar]
- Papastergis, E.; Giovanelli, R.; Haynes, M.P.; Shankar, F. Is there a ”too big to fail” problem in the field? Astron. Astrophys. 2015, 574, A113. [Google Scholar] [CrossRef]
- Choi, E.; Ostriker, J.P.; Naab, T.; Oser, L.; Moster, B.P. The impact of mechanical AGN feedback on the formation of massive early-type galaxies. Mon. Not. Roy. Astro. Soc. 2015, 449, 4105–4116. [Google Scholar] [CrossRef]
- Laporte, C.F.P.; Peñarrubia, J. Under the sword of Damocles: Plausible regeneration of dark matter cusps at the smallest galactic scales. Mon. Not. Roy. Astro. Soc. 2015, 449, L90–L94. [Google Scholar] [CrossRef]
- Laporte, C.F.P.; White, S.D.M. The redistribution of matter in the cores of galaxy clusters. Mon. Not. Roy. Astro. Soc. 2015, 451, 1177–1189. [Google Scholar] [CrossRef] [Green Version]
- Koposov, S.E.; Yoo, J.; Rix, H.W.; Weinberg, D.H.; Macciò, A.V.; Escudé, J.M. A Quantitative Explanation of the Observed Population of Milky Way Satellite Galaxies. Astrophys. J. 2009, 696, 2179–2194. [Google Scholar] [CrossRef]
- Kravtsov, A. Dark Matter Substructure and Dwarf Galactic Satellites. Adv. Astron. 2010, 2010, 281913. [Google Scholar] [CrossRef]
- Behroozi, P.S.; Conroy, C.; Wechsler, R.H. A Comprehensive Analysis of Uncertainties Affecting the Stellar Mass-Halo Mass Relation for 0 < z < 4. Astrophys. J. 2010, 717, 379–403. [Google Scholar]
- Moster, B.P.; Somerville, R.S.; Maulbetsch, C.; van den Bosch, F.C.; Macciò, A.V.; Naab, T.; Oser, L. Constraints on the Relationship between Stellar Mass and Halo Mass at Low and High Redshift. Astrophys. J. 2010, 710, 903–923. [Google Scholar] [CrossRef]
- Madau, P.; Shen, S.; Governato, F. Dark Matter Heating and Early Core Formation in Dwarf Galaxies. Astrophys. J. Lett. 2014, 789, L17. [Google Scholar] [CrossRef]
- Noguchi, M. Clumpy star-forming regions as the origin of the peculiar morphology of high-redshift galaxies. Nature 1998, 392, 253. [Google Scholar] [CrossRef]
- Noguchi, M. Early Evolution of Disk Galaxies: Formation of Bulges in Clumpy Young Galactic Disks. Astrophys. J. 1999, 514, 77–95. [Google Scholar] [CrossRef]
- Immeli, A.; Samland, M.; Westera, P.; Gerhard, O. Subgalactic Clumps at High Redshift: A Fragmentation Origin? Astrophys. J. 2004, 611, 20–25. [Google Scholar] [CrossRef]
- Immeli, A.; Samland, M.; Gerhard, O.; Westera, P. Gas physics, disk fragmentation, and bulge formation in young galaxies. Astron. Astrophys. 2004, 413, 547–561. [Google Scholar] [CrossRef]
- Bournaud, F.; Elmegreen, B.G.; Elmegreen, D.M. Rapid Formation of Exponential Disks and Bulges at High Redshift from the Dynamical Evolution of Clump-Cluster and Chain Galaxies. Astrophys. J. 2007, 670, 237–248. [Google Scholar] [CrossRef]
- Agertz, O.; Teyssier, R.; Moore, B. Disc formation and the origin of clumpy galaxies at high redshift. Mon. Not. Roy. Astro. Soc. 2009, 397, L64–L68. [Google Scholar] [CrossRef]
- Aumer, M.; Burkert, A.; Johansson, P.H.; Genzel, R. The Structure of Gravitationally Unstable Gas-rich Disk Galaxies. Astrophys. J. 2010, 719, 1230–1243. [Google Scholar] [CrossRef]
- Ceverino, D.; Dekel, A.; Bournaud, F. High-redshift clumpy discs and bulges in cosmological simulations. Mon. Not. Roy. Astro. Soc. 2010, 404, 2151–2169. [Google Scholar] [CrossRef]
- Ceverino, D.; Dekel, A.; Mandelker, N.; Bournaud, F.; Burkert, A.; Genzel, R.; Primack, J. Rotational support of giant clumps in high-z disc galaxies. Mon. Not. Roy. Astro. Soc. 2012, 420, 3490–3520. [Google Scholar] [CrossRef]
- Toomre, A. On the gravitational stability of a disk of stars. Astrophys. J. 1964, 139, 1217–1238. [Google Scholar] [CrossRef]
- Krumholz, M.R.; Dekel, A. Survival of star-forming giant clumps in high-redshift galaxies. Mon. Not. Roy. Astro. Soc. 2010, 406, 112–120. [Google Scholar] [CrossRef]
- Macciò, A.V.; Stinson, G.; Brook, C.B.; Wadsley, J.; Couchman, H.M.P.; Shen, S.; Gibson, B.K.; Quinn, T. Halo Expansion in Cosmological Hydro Simulations: Toward a Baryonic Solution of the Cusp/Core Problem in Massive Spirals. Astrophys. J. Lett. 2012, 744, L9. [Google Scholar] [CrossRef]
- Del Popolo, A.; Pace, F. The Cusp/Core problem: Supernovae feedback versus the baryonic clumps and dynamical friction model. Astrophys. Space Sci. 2016, 361, 162. [Google Scholar] [CrossRef]
- Del Popolo, A. On the dark matter haloes inner structure and galaxy morphology. Astrophys. Space Sci. 2016, 361, 222. [Google Scholar] [CrossRef]
- Weidner, C.; Kroupa, P.; Pflamm-Altenburg, J.; Vazdekis, A. The galaxy-wide IMF of dwarf late-type to massive early-type galaxies. Mon. Not. R. Astron. Soc. 2013, 436, 3309. [Google Scholar] [CrossRef]
- Colín, P.; Avila-Reese, V.; Valenzuela, O. Substructure and Halo Density Profiles in a Warm Dark Matter Cosmology. Astrophys. J. 2000, 542, 622–630. [Google Scholar] [CrossRef]
- Polisensky, E.; Ricotti, M. Constraints on the Dark Matter Particle Mass from the Number of Milky Way Satellites. Phys. Rev. D 2011, 83, 043506. [Google Scholar] [CrossRef]
- Lovell, M.R.; Eke, V.; Frenk, C.S.; Gao, L.; Jenkins, A.; Theuns, T.; Wang, J.; White, S.D.M.; Boyarsky, A.; Ruchayskiy, O. The haloes of bright satellite galaxies in a warm dark matter universe. Mon. Not. Roy. Astro. Soc. 2012, 420, 2318–2324. [Google Scholar] [CrossRef]
- Angulo, R.E.; Hahn, O.; Abel, T. The warm dark matter halo mass function below the cut-off scale. Mon. Not. Roy. Astro. Soc. 2013, 434, 3337–3347. [Google Scholar] [CrossRef]
- Kuzio de Naray, R.; Martinez, G.D.; Bullock, J.S.; Kaplinghat, M. The Case Against Warm or Self-Interacting Dark Matter as Explanations for Cores in Low Surface Brightness Galaxies. Astrophys. J. Lett. 2010, 710, L161–L166. [Google Scholar] [CrossRef]
- Wu, X.; Kroupa, P. Galactic rotation curves, the baryon-to-dark-halo-mass relation and space-time scale invariance. Mon. Not. R. Astron. Soc. 2015, 446, 330–344. [Google Scholar] [CrossRef]
- Dalal, N.; Kochanek, C.S. Direct Detection of Cold Dark Matter Substructure. Astrophys. J. 2002, 572, 25–33. [Google Scholar] [CrossRef]
- Fadely, R.; Keeton, C.R. Near-infrared K and L’ Flux Ratios in Six Lensed Quasars. Astro. J. 2011, 141, 101. [Google Scholar] [CrossRef]
- Fadely, R.; Keeton, C.R. Substructure in the lens HE 0435-1223. Mon. Not. Roy. Astro. Soc. 2012, 419, 936–951. [Google Scholar] [CrossRef] [Green Version]
- Macciò, A.V.; Paduroiu, S.; Anderhalden, D.; Schneider, A.; Moore, B. Cores in warm dark matter haloes: A Catch 22 problem. Mon. Not. Roy. Astro. Soc. 2012, 424, 1105–1112. [Google Scholar] [CrossRef]
- Schneider, A.; Anderhalden, D.; Macciò, A.V.; Diemand, J. Warm dark matter does not do better than cold dark matter in solving small-scale inconsistencies. Mon. Not. Roy. Astro. Soc. 2014, 441, L6–L10. [Google Scholar] [CrossRef]
- Narayanan, V.K.; Spergel, D.N.; Davé, R.; Ma, C.P. Constraints on the Mass of Warm Dark Matter Particles and the Shape of the Linear Power Spectrum from the Lyα Forest. Astrophys. J. Lett. 2000, 543, L103–L106. [Google Scholar] [CrossRef]
- Burkert, A. The Structure and Evolution of Weakly Self-interacting Cold Dark Matter Halos. Astrophys. J. Lett. 2000, 534, L143–L146. [Google Scholar] [CrossRef]
- Rocha, M.; Peter, A.H.G.; Bullock, J.S.; Kaplinghat, M.; Garrison-Kimmel, S.; Oñorbe, J.; Moustakas, L.A. Cosmological simulations with self-interacting dark matter—I. Constant-density cores and substructure. Mon. Not. Roy. Astro. Soc. 2013, 430, 81–104. [Google Scholar] [CrossRef]
- Newman, A.B.; Treu, T.; Ellis, R.S.; Sand, D.J.; Nipoti, C.; Richard, J.; Jullo, E. The Density Profiles of Massive, Relaxed Galaxy Clusters. I. The Total Density Over Three Decades in Radius. Astrophys. J. 2013, 765, 24. [Google Scholar] [CrossRef]
- Peter, A.H.G.; Rocha, M.; Bullock, J.S.; Kaplinghat, M. Cosmological simulations with self-interacting dark matter—II. Halo shapes versus observations. Mon. Not. Roy. Astro. Soc. 2013, 430, 105–120. [Google Scholar] [CrossRef]
- Clowe, D.; Bradač, M.; Gonzalez, A.H.; Markevitch, M.; Randall, S.W.; Jones, C.; Zaritsky, D. A Direct Empirical Proof of the Existence of Dark Matter. Astrophys. J. Lett. 2006, 648, L109–L113. [Google Scholar] [CrossRef]
- Randall, S.W.; Markevitch, M.; Clowe, D.; Gonzalez, A.H.; Bradač, M. Constraints on the Self-Interaction Cross Section of Dark Matter from Numerical Simulations of the Merging Galaxy Cluster 1E 0657-56. Astrophys. J. 2008, 679, 1173–1180. [Google Scholar] [CrossRef]
- Dawson, W.A.; Wittman, D.; Jee, M.J.; Gee, P.; Hughes, J.P.; Tyson, J.A.; Schmidt, S.; Thorman, P.; Bradač, M.; Miyazaki, S.; et al. Discovery of a Dissociative Galaxy Cluster Merger with Large Physical Separation. Astrophys. J. Lett. 2012, 747, L42. [Google Scholar] [CrossRef]
- Yoshida, N.; Springel, V.; White, S.D.M.; Tormen, G. Weakly Self-interacting Dark Matter and the Structure of Dark Halos. Astrophys. J. Lett. 2000, 544, L87–L90. [Google Scholar] [CrossRef]
- Davé, R.; Spergel, D.N.; Steinhardt, P.J.; Wandelt, B.D. Halo Properties in Cosmological Simulations of Self-interacting Cold Dark Matter. Astrophys. J. 2001, 547, 574–589. [Google Scholar] [CrossRef]
- Harko, T. Bose-Einstein condensation of dark matter solves the core/cusp problem. J. Cosmo. Astrop. Phys 2011, 2011, 022. [Google Scholar] [CrossRef]
- Schive, H.Y.; Chiueh, T.; Broadhurst, T. Cosmic structure as the quantum interference of a coherent dark wave. Nat. Phys. 2014, 10, 496–499. [Google Scholar] [CrossRef]
- Robles, V.H.; Matos, T. Flat central density profile and constant dark matter surface density in galaxies from scalar field dark matter. Mon. Not. Roy. Astro. Soc. 2012, 422, 282–289. [Google Scholar] [CrossRef]
- Riess, A.G.; Filippenko, A.V.; Challis, P.; Clocchiatti, A.; Diercks, A.; Garnavich, P.M.; Gilliland, R.L.; Hogan, C.J.; Jha, S.; Kirshner, R.P.; et al. Observational Evidence from Supernovae for an Accelerating Universe and a Cosmological Constant. Astro. J. 1998, 116, 1009–1038. [Google Scholar] [CrossRef]
- Perlmutter, S.; Aldering, G.; Goldhaber, G.; Knop, R.A.; Nugent, P.; Castro, P.G.; Deustua, S.; Fabbro, S.; Goobar, A.; Groom, D.E.; et al. Measurements of Ω and Λ from 42 High-Redshift Supernovae. Astrophys. J. 1999, 517, 565–586. [Google Scholar]
- Pace, F.; Batista, R.C.; Del Popolo, A. Effects of shear and rotation on the spherical collapse model for clustering dark energy. Mon. Not. R. Astron. Soc. 2014, 445, 648–659. [Google Scholar] [CrossRef]
- Clifton, T.; Ferreira, P.G.; Padilla, A.; Skordis, C. Modified gravity and cosmology. Phys. Rept. 2012, 513, 1–189. [Google Scholar] [CrossRef]
- Bull, P.; Akrami, Y.; Adamek, J.; Baker, T.; Bellini, E.; Beltrán Jiménez, J.; Bentivegna, E.; Camera, S.; Clesse, S.; Davis, J.H.; et al. Beyond Λ CDM: Problems, solutions, and the road ahead. Phys. Dark Univ. 2016, 12, 56–99. [Google Scholar]
- Famaey, B.; McGaugh, S. Modified Newtonian Dynamics (MOND): Observational Phenomenology and Relativistic Extensions. Living Rev. Relativ. 2012, 15, 10. [Google Scholar] [CrossRef] [PubMed]
- Sanders, R.H.; McGaugh, S.S. Modified Newtonian Dynamics as an Alternative to Dark Matter. Ann. Rev. Astron. Astrophys. 2002, 40, 263–317. [Google Scholar] [CrossRef]
- Freeman, K.C. On the Disks of Spiral and so Galaxies. Astrophys. J. 1970, 160, 811. [Google Scholar] [CrossRef]
- Fish, R.A. A Mass-Potential Relationship in Elliptical Galaxies and Some Inferences Concerning the Formation and Evolution of Galaxies. Astrophys. J. 1964, 139, 284. [Google Scholar] [CrossRef]
- Lelli, F.; McGaugh, S.S.; Schombert, J.M.; Pawlowski, M.S. The Relation between Stellar and Dynamical Surface Densities in the Central Regions of Disk Galaxies. Astrophys. J. 2016, 827, L19. [Google Scholar] [CrossRef]
- Milgrom, M. Universal MOND Relation Between the Baryonic and ‘dynamical’ Central Surface Densities of Disc Galaxies. arXiv 2016. [Google Scholar]
- Famaey, B.; McGaugh, S. The MOND Phenomenology. arXiv 2013. [Google Scholar]
- Haghi, H.; Bazkiaei, A.E.; Zonoozi, A.H.; Kroupa, P. Declining rotation curves of galaxies as a test of gravitational theory. Mon. Not. R. Astron. Soc. 2016, 458, 4172–4187. [Google Scholar] [CrossRef]
- Sanders, R.H. A Stratified Framework for Scalar-Tensor Theories of Modified Dynamics. Astrophys. J. 1997, 480, 492–502. [Google Scholar] [CrossRef]
- Bekenstein, J.D. Relativistic gravitation theory for the modified Newtonian dynamics paradigm. Phys. Rev. D 2004, 70, 083509. [Google Scholar] [CrossRef]
- Sanders, R.H. A tensor-vector-scalar framework for modified dynamics and cosmic dark matter. Mon. Not. Roy. Astro. Soc. 2005, 363, 459–468. [Google Scholar] [CrossRef]
- Hashim, N.; De Laurentis, M.; Zainal Abidin, Z.; Salucci, P. Rotation Curve with MOND and Dark Matter Halo Profile for ESO138-G014. arXiv 2014. [Google Scholar]
- Khoury, J. Alternative to particle dark matter. Phys. Rev. D 2015, 91, 024022. [Google Scholar] [CrossRef]
- Springel, V.; White, S.D.M.; Frenk, C.S.; Navarro, J.F.; Jenkins, A.; Vogelsberger, M.; Wang, J.; Ludlow, A.; Helmi, A. Prospects for detecting supersymmetric dark matter in the Galactic halo. Nature 2008, 456, 73–76. [Google Scholar] [CrossRef] [PubMed]
- Diemand, J.; Kuhlen, M.; Madau, P. Dark Matter Substructure and Gamma-Ray Annihilation in the Milky Way Halo. Astrophys. J. 2007, 657, 262–270. [Google Scholar] [CrossRef]
- Willman, B.; Dalcanton, J.J.; Martinez-Delgado, D.; West, A.A.; Blanton, M.R.; Hogg, D.W.; Barentine, J.C.; Brewington, H.J.; Harvanek, M.; Kleinman, S.J.; et al. A New Milky Way Dwarf Galaxy in Ursa Major. Astrophys. J. Lett. 2005, 626, L85–L88. [Google Scholar] [CrossRef]
- Belokurov, V.; Zucker, D.B.; Evans, N.W.; Wilkinson, M.I.; Irwin, M.J.; Hodgkin, S.; Bramich, D.M.; Irwin, J.M.; Gilmore, G.; Willman, B.; et al. A Faint New Milky Way Satellite in Bootes. Astrophys. J. Lett. 2006, 647, L111–L114. [Google Scholar] [CrossRef]
- Zucker, D.B.; Belokurov, V.; Evans, N.W.; Wilkinson, M.I.; Irwin, M.J.; Sivarani, T.; Hodgkin, S.; Bramich, D.M.; Irwin, J.M.; Gilmore, G.; et al. A New Milky Way Dwarf Satellite in Canes Venatici. Astrophys. J. Lett. 2006, 643, L103–L106. [Google Scholar] [CrossRef]
- Sakamoto, T.; Hasegawa, T. Discovery of a Faint Old Stellar System at 150 kpc. Astrophys. J. Lett. 2006, 653, L29–L32. [Google Scholar] [CrossRef]
- Irwin, M.J.; Belokurov, V.; Evans, N.W.; Ryan-Weber, E.V.; de Jong, J.T.A.; Koposov, S.; Zucker, D.B.; Hodgkin, S.T.; Gilmore, G.; Prema, P.; et al. Discovery of an Unusual Dwarf Galaxy in the Outskirts of the Milky Way. Astrophys. J. Lett. 2007, 656, L13–L16. [Google Scholar] [CrossRef]
- Tollerud, E.J.; Bullock, J.S.; Strigari, L.E.; Willman, B. Hundreds of Milky Way Satellites? Luminosity Bias in the Satellite Luminosity Function. Astrophys. J. 2008, 688, 277–289. [Google Scholar] [CrossRef]
- Bullock, J.S.; Kravtsov, A.V.; Weinberg, D.H. Reionization and the Abundance of Galactic Satellites. Astrophys. J. 2000, 539, 517–521. [Google Scholar] [CrossRef]
- Moore, B.; Diemand, J.; Madau, P.; Zemp, M.; Stadel, J. Globular clusters, satellite galaxies and stellar haloes from early dark matter peaks. Mon. Not. Roy. Astro. Soc. 2006, 368, 563–570. [Google Scholar] [CrossRef]
- Simon, J.D.; Geha, M. The Kinematics of the Ultra-faint Milky Way Satellites: Solving the Missing Satellite Problem. Astrophys. J. 2007, 670, 313–331. [Google Scholar] [CrossRef]
- Dekel, A.; Silk, J. The origin of dwarf galaxies, cold dark matter, and biased galaxy formation. Astrophys. J. 1986, 303, 39–55. [Google Scholar] [CrossRef]
- Mori, M.; Yoshii, Y.; Nomoto, K. Dissipative Process as a Mechanism of Differentiating Internal Structures between Dwarf and Normal Elliptical Galaxies in a Cold Dark Matter Universe. Astrophys. J. 1999, 511, 585–594. [Google Scholar] [CrossRef]
- Mayer, L.; Mastropietro, C.; Wadsley, J.; Stadel, J.; Moore, B. Simultaneous ram pressure and tidal stripping; how dwarf spheroidals lost their gas. Mon. Not. Roy. Astro. Soc. 2006, 369, 1021–1038. [Google Scholar] [CrossRef]
- Bovill, M.S.; Ricotti, M. Pre-Reionization Fossils, Ultra-Faint Dwarfs, and the Missing Galactic Satellite Problem. Astrophys. J. 2009, 693, 1859–1870. [Google Scholar] [CrossRef]
- Binggeli, B.; Sandage, A.; Tammann, G.A. Studies of the Virgo Cluster. II—A catalog of 2096 galaxies in the Virgo Cluster area. Astro. J. 1985, 90, 1681–1759. [Google Scholar] [CrossRef]
- Mateo, M.L. Dwarf Galaxies of the Local Group. Ann. Rev. Astron. Astrophys. 1998, 36, 435–506. [Google Scholar] [CrossRef]
- Strigari, L.E.; Bullock, J.S.; Kaplinghat, M.; Diemand, J.; Kuhlen, M.; Madau, P. Redefining the Missing Satellites Problem. Astrophys. J. 2007, 669, 676–683. [Google Scholar] [CrossRef]
- Madau, P.; Diemand, J.; Kuhlen, M. Dark Matter Subhalos and the Dwarf Satellites of the Milky Way. Astrophys. J. 2008, 679, 1260–1271. [Google Scholar] [CrossRef]
- Zhu, Q.; Marinacci, F.; Maji, M.; Li, Y.; Springel, V.; Hernquist, L. Baryonic impact on the dark matter distribution in Milky Way-sized galaxies and their satellites. Mon. Not. Roy. Astro. Soc. 2016, 458, 1559–1580. [Google Scholar] [CrossRef]
- Kravtsov, A.V.; Gnedin, O.Y.; Klypin, A.A. The Tumultuous Lives of Galactic Dwarfs and the Missing Satellites Problem. Astrophys. J. 2004, 609, 482–497. [Google Scholar] [CrossRef]
- Okamoto, T.; Gao, L.; Theuns, T. Mass loss of galaxies due to an ultraviolet background. Mon. Not. Roy. Astro. Soc. 2008, 390, 920–928. [Google Scholar] [CrossRef]
- Ricotti, M.; Gnedin, N.Y. Formation Histories of Dwarf Galaxies in the Local Group. Astrophys. J. 2005, 629, 259–267. [Google Scholar] [CrossRef]
- Vera-Ciro, C.A.; Helmi, A.; Starkenburg, E.; Breddels, M.A. Not too big, not too small: The dark haloes of the dwarf spheroidals in the Milky Way. Mon. Not. Roy. Astro. Soc. 2013, 428, 1696–1703. [Google Scholar] [CrossRef] [Green Version]
- Di Cintio, A.; Knebe, A.; Libeskind, N.I.; Brook, C.; Yepes, G.; Gottlöber, S.; Hoffman, Y. Size matters: The non-universal density profile of subhaloes in SPH simulations and implications for the Milky Way’s dSphs. Mon. Not. Roy. Astro. Soc. 2013, 431, 1220–1229. [Google Scholar] [CrossRef]
- Garrison-Kimmel, S.; Boylan-Kolchin, M.; Bullock, J.S.; Kirby, E.N. Too big to fail in the Local Group. Mon. Not. Roy. Astro. Soc. 2014, 444, 222–236. [Google Scholar] [CrossRef]
- Brook, C.B.; Di Cintio, A. Expanded haloes, abundance matching and too-big-to-fail in the Local Group. Mon. Not. Roy. Astro. Soc. 2015, 450, 3920–3934. [Google Scholar] [CrossRef]
- Brook, C.B.; Di Cintio, A. Signatures of dark matter halo expansion in galaxy populations. Mon. Not. Roy. Astro. Soc. 2015, 453, 2133–2143. [Google Scholar] [CrossRef] [Green Version]
- Papastergis, E.; Shankar, F. An Assessment of the “too Big to Fail” Problem for Field Dwarf Galaxies in View of Baryonic Feedback Effects. arXiv 2015. [Google Scholar]
- Sawala, T.; Frenk, C.S.; Fattahi, A.; Navarro, J.F.; Bower, R.G.; Crain, R.A.; Dalla Vecchia, C.; Furlong, M.; Jenkins, A.; McCarthy, I.G.; et al. Bent by baryons: The low-mass galaxy-halo relation. Mon. Not. Roy. Astro. Soc. 2015, 448, 2941–2947. [Google Scholar] [CrossRef]
- Dutton, A.A.; Macciò, A.V.; Frings, J.; Wang, L.; Stinson, G.S.; Penzo, C.; Kang, X. NIHAO V: Too big does not fail - reconciling the conflict between ΛCDM predictions and the circular velocities of nearby field galaxies. Mon. Not. Roy. Astro. Soc. 2016, 457, L74–L78. [Google Scholar]
- Del Popolo, A.; Le Delliou, M. A unified solution to the small scale problems of the ΛCDM model II: Introducing parent-satellite interaction. J. Cosmo. Astrop. Phys 2014, 2014, 051. [Google Scholar]
- Taylor, J.E.; Babul, A. The Dynamics of Sinking Satellites around Disk Galaxies: A Poor Man’s Alternative to High-Resolution Numerical Simulations. Astrophys. J. 2001, 559, 716–735. [Google Scholar] [CrossRef]
- Hiotelis, N.; Del Popolo, A. On the Reliability of Merger-Trees and the Mass-Growth Histories of Dark Matter Haloes. Astrophys. Space Sci. 2006, 301, 167–177. [Google Scholar] [CrossRef]
- Hiotelis, N.; Del Popolo, A. Anomalous diffusion models for the formation of dark matter haloes. Mon. Not. Roy. Astro. Soc. 2013, 436, 163–178. [Google Scholar] [CrossRef]
- Öpik, E. Selective absorption of light in space, and the dynamics of the Universe. Bull. Soc. Astr. Russ. 1915, 21, 150. [Google Scholar]
- Strigari, L.E.; Frenk, C.S.; White, S.D.M. Dynamical Models for the Sculptor Dwarf Spheroidal in a Lambda CDM Universe. arXiv 2014. [Google Scholar]
- De Bruijne, J.H.J. Science performance of Gaia, ESA’s space-astrometry mission. Astrophys. Space Sci. 2012, 341, 31–41. [Google Scholar] [CrossRef]
- Takada, M. Subaru Hyper Suprime-Cam Project. AIP Conf. Proc. 2010, 1279, 120–127. [Google Scholar]
- Richardson, T.D.; Spolyar, D.; Lehnert, M.D. Plan β: Core or cusp? Mon. Not. Roy. Astro. Soc. 2014, 440, 1680–1689. [Google Scholar] [CrossRef]
- Battaglia, G.; Helmi, A.; Breddels, M. Internal kinematics and dynamical models of dwarf spheroidal galaxies around the Milky Way. New Astron. Rev. 2013, 57, 52–79. [Google Scholar] [CrossRef]
- Metcalf, R.B.; Amara, A. Small-scale structures of dark matter and flux anomalies in quasar gravitational lenses. Mon. Not. Roy. Astro. Soc. 2012, 419, 3414–3425. [Google Scholar] [CrossRef]
- Carlberg, R.G.; Grillmair, C.J. Gaps in the GD-1 Star Stream. Astrophys. J. 2013, 768, 171. [Google Scholar] [CrossRef]
- 1.It was pointed out, however, for the first time by Kroupa et al. [46], that the planar distribution of all known satellite galaxies in 2005 was in significant disagreement with the expected spatial distribution of dark-matter dominated satellite galaxies
- 2., and theories are types of modified gravity theories, generalisation of Einstein’s General Relativity. First proposed in 1970 by Buchdahl [238], and turned into an active research field by Starobinsky [239], theories are defined by a different function of the Ricci scalar in their Lagrangian [246]. Inspired by the Teleparallel Equivalent of GR, the theories have been introduced to explain Universe acceleration without using dark energy (see Ref. [240]). Finally, the Modified Newtonian Dynamics, was introduced in 1983 by Milgrom [244,245] as a way to model rotation curves of galaxies.
- 4.The peak height of a proto-structure is defined as , where is the central peak overdensity, and σ is mass variance (see [269]). ν is larger for more massive objects.
- 5.Calculated through iterative techniques (e.g., [272]).
- 7.In general, the supernovae feedback mechanism is not able to transform cusps into cores in galaxies with .
- 8.See footnote 7.
- 9.The process of star formation is not efficient.
- 10.1 cm2/g ≃ 1 barn/GeV
- 11.However, this change in Newton’s law violates momentum conservation
- 12.“Too Big to Fail” refers to simulation satellites being too big for MW satellites, while no mechanism would lead them to fail being visible.
- 13.Note that scatter in the relation proceeds from a halo mass reduction caused by tidal stripping and heating from to .
- 14.This conclusion is not true in the DFBC scenario.
- 15.The diphoton excess might be able to rescue the WIMP hypothesis.



















© 2017 by the authors. This article is an open access article distributed under the terms and conditions of the Creative Commons Attribution (CC BY) license ( http://creativecommons.org/licenses/by/4.0/).
Share and Cite
Del Popolo, A.; Le Delliou, M. Small Scale Problems of the ΛCDM Model: A Short Review. Galaxies 2017, 5, 17. https://doi.org/10.3390/galaxies5010017
Del Popolo A, Le Delliou M. Small Scale Problems of the ΛCDM Model: A Short Review. Galaxies. 2017; 5(1):17. https://doi.org/10.3390/galaxies5010017
Chicago/Turabian StyleDel Popolo, Antonino, and Morgan Le Delliou. 2017. "Small Scale Problems of the ΛCDM Model: A Short Review" Galaxies 5, no. 1: 17. https://doi.org/10.3390/galaxies5010017
APA StyleDel Popolo, A., & Le Delliou, M. (2017). Small Scale Problems of the ΛCDM Model: A Short Review. Galaxies, 5(1), 17. https://doi.org/10.3390/galaxies5010017
