Unveiling the Variability and Chemical Composition of AL Col
Abstract
1. Introduction
2. Sample Selection
3. TESS Photometry
Wavelet and Autocorrelation Analysis
4. High-Resolution Spectroscopy
4.1. Basic Physical Parameters
4.2. Spectral Energy Distribution
4.3. Spectral Synthesis with pySME
4.4. Photospheric Chemical Abundance Analysis
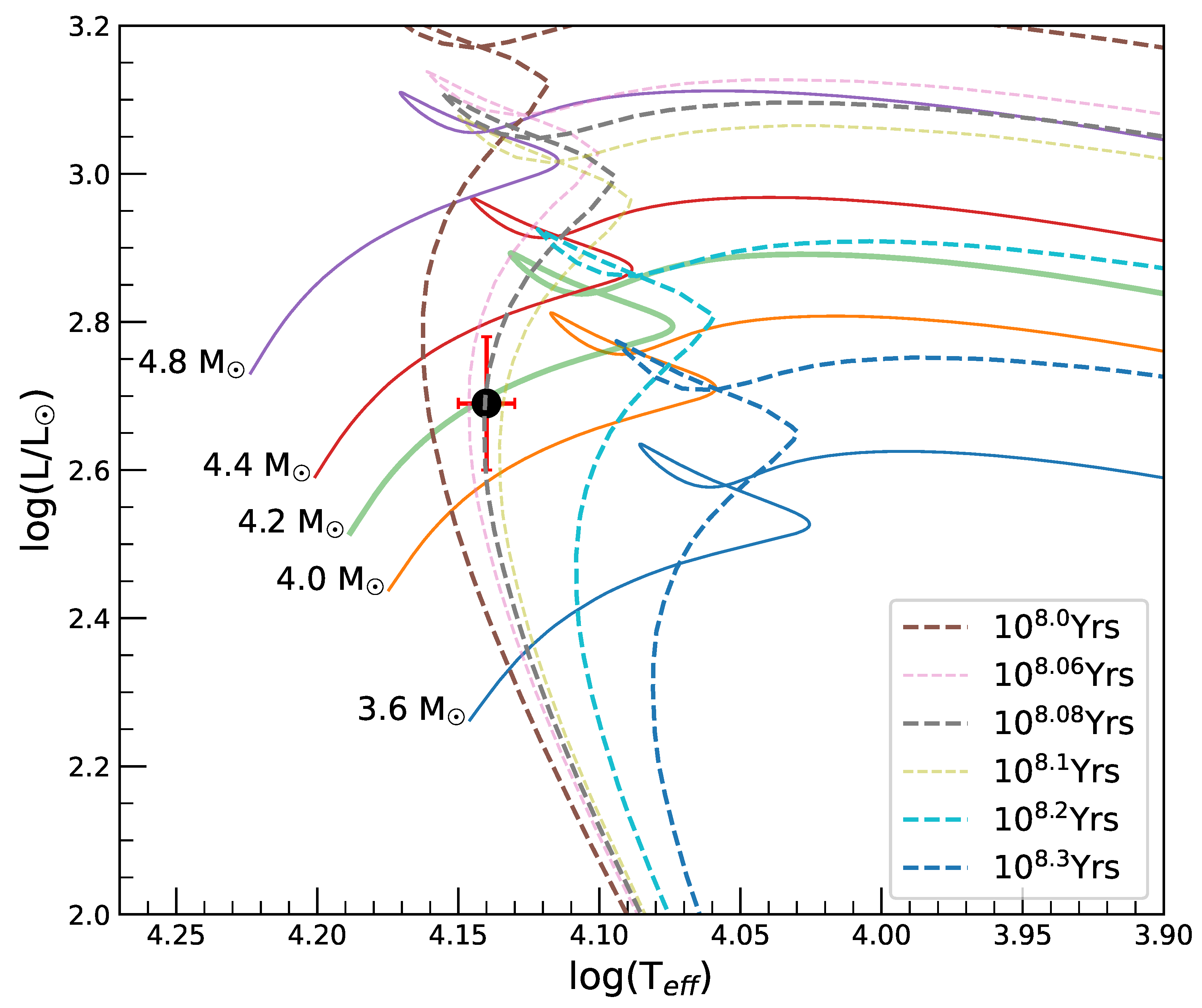
5. Evolutionary Status
5.1. Luminosity Estimate
5.2. Radius, Mass, and Age
6. Spot Modeling
7. Discussion and Conclusions
Author Contributions
Funding
Data Availability Statement
Acknowledgments
Conflicts of Interest
| 1 | https://archive.eso.org/scienceportal/home, accessed on 8 December 2008. |
| 2 | http://cdsarc.u-strasbg.fr/viz-bin/Cat?II/168, accessed on 1 August 2025, https://cdsarc.unistra.fr/viz-bin/cat/I/327, accessed on 1 August 2025. |
| 3 | http://svo2.cab.inta-csic.es/vocats/cmc15/, accessed on 1 August 2025. |
| 4 | http://www.astro.uu.se/~oleg/binmag.html, accessed on 1 August 2025. |
| 5 | https://github.com/KBicz/BASSMAN, accessed on 1 August 2025. |
References
- Lueftinger, T.; Wade, G.A.; Weiss, W.W. Magnetic Fields in B, (peculiar) A, and F stars recent results from MuSiCoS Data. In Proceedings of the EAS Publications Series; Arnaud, J., Meunier, N., Eds.; EAS Publications Series; Cambridge University Press: Cambridge, UK, 2003; Volume 9, p. 249. [Google Scholar]
- Lehmann, H.; Tkachenko, A.; Fraga, L.; Tsymbal, V.; Mkrtichian, D.E. The helium weak silicon star HR 7224. II. Doppler Imaging analysis. Astron. Astrophys. 2007, 471, 941–949. [Google Scholar] [CrossRef][Green Version]
- Preston, G.W. The chemically peculiar stars of the upper main sequence. Annu. Rev. Astron. Astrophys. 1974, 12, 257–277. [Google Scholar] [CrossRef]
- Maitzen, H.M. A note on the relation between magnetic fields and the lambda 5200 feature in helium weak-stars. Astron. Astrophys. 1984, 138, 493–494. [Google Scholar]
- Paunzen, E. The λ Bootis stars. In Proceedings of the A-Star Puzzle, IAU Symposium, Přerov, Czech Republic, 5–10 July 2004; Zverko, J., Ziznovsky, J., Adelman, S.J., Weiss, W.W., Eds.; Cambridge University Press: Cambridge, UK, 2004; Volume 224, pp. 443–450. [Google Scholar] [CrossRef]
- Ghazaryan, S.; Alecian, G.; Hakobyan, A.A. Statistical Analysis of the New Catalogue of CP Stars. Commun. Byurakan Astrophys. Obs. 2018, 65, 223–227. [Google Scholar] [CrossRef]
- Aurière, M.; Wade, G.A.; Silvester, J.; Lignières, F.; Bagnulo, S.; Bale, K.; Dintrans, B.; Donati, J.F.; Folsom, C.P.; Gruberbauer, M.; et al. Weak magnetic fields in Ap/Bp stars. Evidence for a dipole field lower limit and a tentative interpretation of the magnetic dichotomy. Astron. Astrophys. 2007, 475, 1053–1065. [Google Scholar] [CrossRef]
- Kochukhov, O. The spots on Ap stars. In Proceedings of the Physics of Sun and Star Spots, IAU Symposium, La Palma, Spain, 22–26 August 2010; Prasad Choudhary, D., Strassmeier, K.G., Eds.; Cambridge University Press: Cambridge, UK, 2011; Volume 273, pp. 249–255. [Google Scholar] [CrossRef]
- Shultz, M.; Wade, G.A.; Alecian, E.; Neiner, C.; Kholtygin, A.; Monin, D.; Sikora, J.; Landstreet, J.D.; Bohlender, D.; Bord, D.J.; et al. The incidence and properties of magnetic fields in early B-type stars. Mon. Not. R. Astron. Soc. 2019, 490, 274–296. [Google Scholar] [CrossRef]
- Braithwaite, J.; Spruit, H.C. Fossil magnetic fields in stars: Origin and evolution. Proc. Int. Astron. Union 2014, 302, 338–347. [Google Scholar] [CrossRef]
- Michaud, G. Diffusion Processes in Peculiar a Stars. Astrophys. J. 1970, 160, 641. [Google Scholar] [CrossRef]
- Richer, J.; Michaud, G.; Turcotte, S. Implications of Diffusion for the Surface Composition of A and B Stars. ApJ 2005, 625, 548–556. [Google Scholar] [CrossRef]
- Michaud, G.; Alecian, G.; Richer, J. Atomic Diffusion in Stars; Springer: Berlin/Heidelberg, Germany, 2015. [Google Scholar] [CrossRef]
- Alecian, E.; Villebrun, F.; Grunhut, J.; Hussain, G.; Neiner, C.; Wade, G.A. Fossil magnetic fields in intermediate-mass and massive stars. EAS Publ Ser. 2019, 82, 345–355. [Google Scholar] [CrossRef]
- Babcock, H.W. Stellar magnetic fields and rotation. Observatory 1949, 69, 191–192. [Google Scholar]
- Stibbs, D.W.N. A Light Curve for the Magnetic Variable Star HD125248. Nature 1950, 165, 195. [Google Scholar] [CrossRef]
- Shulyak, D.; Krtička, J.; Mikulášek, Z.; Kochukhov, O.; Lüftinger, T. Modelling the light variability of the Ap star ϵ Ursae Majoris. Astron. Astrophys. 2010, 524, A66. [Google Scholar] [CrossRef]
- Kochukhov, O.; Wade, G.A.; Shulyak, D. Zeeman Doppler imaging of magnetic Ap stars: A practical approach. Astron. Astrophys. 2012, 542, A116. [Google Scholar] [CrossRef]
- Kurtz, D.W.; Elkin, V.G.; Cunha, M.S.; Mathys, G.; Hubrig, S.; Wolff, B.; Savanov, I. The discovery of 8.0-min radial velocity variations in the strongly magnetic cool Ap star HD154708, a new roAp star. Mon. Not. R. Astron. Soc. 2006, 372, 286–292. [Google Scholar] [CrossRef]
- Saio, H.; Gruberbauer, M.; Weiss, W.W.; Matthews, J.M.; Ryabchikova, T. Pulsation models for the roAp star HD 134214. Mon. Not. R. Astron. Soc. 2012, 420, 283–290. [Google Scholar] [CrossRef][Green Version]
- Joshi, S.; Joshi, Y.C. Asteroseismology of Pulsating Stars. J. Astrophys. Astron. 2015, 36, 33–80. [Google Scholar] [CrossRef]
- Holdsworth, D.L.; Cunha, M.S.; Kurtz, D.W.; Antoci, V.; Hey, D.R.; Bowman, D.M.; Kobzar, O.; Buzasi, D.L.; Kochukhov, O.; Niemczura, E.; et al. TESS cycle 1 observations of roAp stars with 2-min cadence data. Mon. Not. R. Astron. Soc. 2021, 506, 1073–1110. [Google Scholar] [CrossRef]
- Kurtz, D.W. Asteroseismology Across the Hertzsprung-Russell Diagram. Annu. Rev. Astron. Astrophys. 2022, 60, 31–71. [Google Scholar] [CrossRef]
- Martinez, P.; Kurtz, D.W.; Kauffmann, G.M. The Cape rapidly oscillating star survey-I. First results. Mon. Not. R. Astron. Soc. 1991, 250, 666. [Google Scholar] [CrossRef]
- Martinez, P.; Kurtz, D.W.; Ashoka, B.N.; Chaubey, U.S.; Girish, V.; Gupta, S.K.; Joshi, S.; Kasturirangan, K.; Sagar, R.; Seetha, S. The Naini Tal—Cape survey for pulsations in chemically peculiar A-type stars. I. Methods and preliminary results. Astron. Astrophys. 2001, 371, 1048–1055. [Google Scholar] [CrossRef]
- Joshi, S.; Girish, V.; Sagar, R.; Kurtz, D.W.; Martinez, P.; Kumar, B.; Seetha, S.; Ashoka, B.N.; Zhou, A. Discovery of unusual pulsations in the cool, evolved Am stars HD 98851 and HD 102480. Mon. Not. R. Astron. Soc. 2003, 344, 431–438. [Google Scholar] [CrossRef]
- Joshi, S.; Mary, D.L.; Martinez, P.; Kurtz, D.W.; Girish, V.; Seetha, S.; Sagar, R.; Ashoka, B.N. The Nainital-Cape Survey. II. Report for pulsation in five chemically peculiar A-type stars and presentation of 140 null results. Astron. Astrophys. 2006, 455, 303–313. [Google Scholar] [CrossRef]
- Joshi, S.; Mary, D.L.; Chakradhari, N.K.; Tiwari, S.K.; Billaud, C. The Nainital-Cape Survey. III. A search for pulsational variability in chemically peculiar stars. Astron. Astrophys. 2009, 507, 1763–1784. [Google Scholar] [CrossRef]
- Joshi, S.; Ryabchikova, T.; Kochukhov, O.; Sachkov, M.; Tiwari, S.K.; Chakradhari, N.K.; Piskunov, N. Time-resolved photometric and spectroscopic analysis of the luminous Ap star HD103498. Mon. Not. R. Astron. Soc. 2010, 401, 1299–1307. [Google Scholar] [CrossRef]
- Joshi, S.; Semenko, E.; Martinez, P.; Sachkov, M.; Joshi, Y.C.; Seetha, S.; Chakradhari, N.K.; Mary, D.L.; Girish, V.; Ashoka, B.N. A spectroscopic analysis of the chemically peculiar star HD 207561. Mon. Not. R. Astron. Soc. 2012, 424, 2002–2008. [Google Scholar] [CrossRef]
- Joshi, S.; Martinez, P.; Chowdhury, S.; Chakradhari, N.K.; Joshi, Y.C.; van Heerden, P.; Medupe, T.; Kumar, Y.B.; Kuhn, R.B. The Nainital-Cape Survey. IV. A search for pulsational variability in 108 chemically peculiar stars. Astron. Astrophys. 2016, 590, A116. [Google Scholar] [CrossRef]
- Joshi, S.; Semenko, E.; Moiseeva, A.; Sharma, K.; Joshi, Y.C.; Sachkov, M.; Singh, H.P.; Yerra, B.K. High-resolution Spectroscopy and Spectropolarimetry of Selected δ-Sct Pulsating Variables. Mon. Not. R. Astron. Soc. 2017, 467, 633–645. [Google Scholar] [CrossRef]
- Joshi, S.; Trust, O.; Semenko, E.; Williams, P.E.; Lampens, P.; De Cat, P.; Vermeylen, L.; Holdsworth, D.L.; García, R.A.; Mathur, S.; et al. Study of chemically peculiar stars–I. High-resolution spectroscopy and K2 photometry of Am stars in the region of M44. Mon. Not. R. Astron. Soc. 2022, 510, 5854. [Google Scholar] [CrossRef]
- Buysschaert, B.; Neiner, C.; Martin, A.J.; Oksala, M.E.; Aerts, C.; Tkachenko, A.; Alecian, E.; MiMeS Collaboration. Magnetic characterization and variability study of the magnetic SPB star o Lupi. Astron. Astrophys. 2019, 622, A67. [Google Scholar] [CrossRef]
- Holdsworth, D.L.; Cunha, M.S.; Lares-Martiz, M.; Kurtz, D.W.; Antoci, V.; Barceló Forteza, S.; De Cat, P.; Derekas, A.; Kayhan, C.; Ozuyar, D.; et al. TESS Cycle 2 observations of roAp stars with 2-min cadence data. Mon. Not. R. Astron. Soc. 2023, 527, 9548–9580. [Google Scholar] [CrossRef]
- Bagnulo, S.; Landstreet, J.D.; Power, J.; Fossati, L.; Wade, G.A.; Donati, J.-F.; Grunhut, J.H.; Neiner, C.; Oksala, M.E.; Owocki, S.P.; et al. Magnetic chemically peculiar stars in the TESS era: Rotation and magnetic field from photometry and spectroscopy. Astron. Astrophys. 2023, 671, A154. [Google Scholar] [CrossRef]
- Wade, G.A.; Alecian, E.; Grunhut, J.H.; Bohlender, D.A.; Bouret, J.-C.; Cohen, D.H.; David-Uraz, A.; Folsom, C.P.; Henrichs, H.F.; Kochukhov, O.; et al. The MiMeS survey of magnetism in massive stars: Introduction and overview. Proc. Int. Astron. Union 2014, 302, 265–270. [Google Scholar] [CrossRef]
- Sikora, J.; Wade, G.A.; Power, J. Magnetism in Ap/Bp stars with rotational periods longer than 100 d. Mon. Not. R. Astron. Soc. 2020, 499, 5049–5068. [Google Scholar] [CrossRef]
- Bernhard, K.; Hümmerich, S.; Paunzen, E. New and improved rotational periods of magnetic CP stars from ASAS-3, KELT, and MASCARA data. Mon. Not. R. Astron. Soc. 2020, 493, 3293–3330. [Google Scholar] [CrossRef]
- Lightkurve Collaboration; Cardoso, J.; Hedges, C.; Gully-Santiago, M.; Saunders, N.; Cody, A.; Barclay, T.; Hall, O.; Sagear, S.; Turtelboom, E.; et al. Lightkurve: Kepler and TESS Time Series Analysis in Python; Astrophysics Source Code Library (ascl: 1812.013): Online, 2018. [Google Scholar]
- Lenz, P.; Breger, M. Period04 User Guide. CoAst 2005, 146, 53–136. [Google Scholar] [CrossRef]
- Baran, A.S.; Koen, C. A Detection Threshold in the Amplitude Spectra Calculated from TESS Time-Series Data. Acta Astron. 2021, 71, 113–121. [Google Scholar] [CrossRef]
- Bravo, J.P.; Roque, S.; Estrela, R.; Leão, I.C.; De Medeiros, J.R. Wavelets: A powerful tool for studying rotation, activity, and pulsation in Kepler and CoRoT stellar light curves. Astron. Astrophys. 2014, 568, A34. [Google Scholar] [CrossRef]
- Mathur, S.; García, R.A.; Ballot, J.; Ceillier, T.; Salabert, D.; Metcalfe, T.S.; Régulo, C.; Jiménez, A.; Bloemen, S. Magnetic activity of F stars observed by Kepler. Astron. Astrophys. 2014, 562, A124. [Google Scholar] [CrossRef]
- Ochsenbein, F.; Bauer, P.; Marcout, J. The VizieR database of astronomical catalogues. Astron. Astrophys. Suppl. Ser. 2000, 143, 23–32. [Google Scholar] [CrossRef]
- Paunzen, E. A new catalogue of Strömgren-Crawford uvbyβ photometry. Astron. Astrophys. 2015, 580, A23. [Google Scholar] [CrossRef]
- Høg, E.; Fabricius, C.; Makarov, V.V.; Bastian, U.; Schwekendiek, P.; Wicenec, A.; Urban, S.; Corbin, T.; Wycoff, G. Construction and verification of the Tycho-2 Catalogue. Astron. Astrophys. 2000, 357, 367–386. [Google Scholar]
- Gaia Collaboration; Montegriffo, P.; Bellazzini, M.; De Angeli, F.; Andrae, R.; Barstow, M.A.; Bossini, D.; Bragaglia, A.; Burgess, P.W.; Cacciari, C.; et al. Gaia Data Release 3: The Galaxy in your preferred colours. Synthetic photometry from Gaia low-resolution spectra. arXiv 2022, arXiv:2206.06215. [Google Scholar]
- Gaia Collaboration; Prusti, T.; de Bruijne, J.H.J.; Brown, A.G.A.; Vallenari, A.; Babusiaux, C.; Bailer-Jones, C.A.L.; Bastian, U.; Biermann, M.; Evans, D.W.; et al. The Gaia mission. Astron. Astrophys. 2016, 595, A1. [Google Scholar] [CrossRef]
- Skrutskie, M.F.; Cutri, R.M.; Stiening, R.; Weinberg, M.D.; Schneider, S.; Carpenter, J.M.; Beichman, C.; Capps, R.; Chester, T.; Elias, J.; et al. The Two Micron All Sky Survey (2MASS). Astron. J. 2006, 131, 1163–1183. [Google Scholar] [CrossRef]
- Wright, E.L.; Eisenhardt, P.R.M.; Mainzer, A.K.; Ressler, M.E.; Cutri, R.M.; Jarrett, T.; Kirkpatrick, J.D.; Padgett, D.; McMillan, R.S.; Skrutskie, M.; et al. The Wide-field Infrared Survey Explorer (WISE): Mission Description and Initial On-orbit Performance. Astron. J. 2010, 140, 1868–1881. [Google Scholar] [CrossRef]
- Fouqué, P.; Chevallier, L.; Cohen, M.; Galliano, E.; Loup, C.; Alard, C.; de Batz, B.; Bertin, E.; Borsenberger, J.; Cioni, M.R.; et al. An absolute calibration of DENIS (deep near infrared southern sky survey). Astron. Astrophys. Suppl. Ser. 2000, 141, 313–317. [Google Scholar] [CrossRef][Green Version]
- Epchtein, N.; Deul, E.; Derriere, S.; Borsenberger, J.; Egret, D.; Simon, G.; Alard, C.; Balázs, L.G.; de Batz, B.; Cioni, M.R.; et al. A preliminary database of DENIS point sources. Astron. Astrophys. 1999, 349, 236–242. [Google Scholar][Green Version]
- Mainzer, A.; Bauer, J.; Cutri, R.M.; Grav, T.; Masiero, J.; Beck, R.; Clarkson, P.; Conrow, T.; Dailey, J.; Eisenhardt, P.; et al. Initial Performance of the NEOWISE Reactivation Mission. Astrophys. J. 2014, 792, 30. [Google Scholar] [CrossRef]
- Pakhomov, Y.; Piskunov, N.; Ryabchikova, T. VALD3: Current developments. arXiv 2017, arXiv:1710.10854. [Google Scholar] [CrossRef]
- Wehrhahn, A.; Piskunov, N.; Ryabchikova, T. PySME: Spectroscopy Made Easier. Astron. Astrophys. 2023, 671, A171. [Google Scholar] [CrossRef]
- Castelli, F.; Kurucz, R.L. New Grids of ATLAS9 Model Atmospheres. arXiv 2004, arXiv:astro-ph/0405087. [Google Scholar] [CrossRef]
- Kochukhov, O. BinMag: Widget for Comparing Stellar Observed with Theoretical Spectra; Astrophysics Source Code Library: Online, 2018; p. ascl-1805. [Google Scholar]
- Tkachenko, A. Grid search in stellar parameters: A software for spectrum analysis of single stars and binary systems. Astron. Astrophys. 2015, 581, A129. [Google Scholar] [CrossRef]
- Dileep, A.; Joshi, S.; Alexeeva, S.; Kochukhov, O.; Semenko, E.; De Cat, P.; Zúñiga-Fernández, S.; Trust, O.; Pollard, K.; Crause, L.; et al. Chemical abundances and doppler imaging of the Ap Si/He-wk star HD 100357. Mon. Not. R. Astron. Soc. 2025, staf1247. [Google Scholar] [CrossRef]
- Asplund, M.; Amarsi, A.M.; Grevesse, N. The chemical make-up of the Sun: A 2020 vision. Astron. Astrophys. 2021, 653, A141. [Google Scholar] [CrossRef]
- Mashonkina, L.; Gehren, T.; Shi, J.R.; Korn, A.J.; Grupp, F. Non-LTE line formation for Fe and Ca in late-type stars–I. Statistical equilibrium of neutral and singly-ionised species. Astron. Astrophys. 2011, 528, A87. [Google Scholar] [CrossRef]
- Przybilla, N.; Butler, K.; Becker, S.R.; Kudritzki, R.P.; Venn, K.A. Non-LTE line-formation for hydrogen and helium in early-type stars—II. The line spectrum of the B8 IV star HD 160762. Astron. Astrophys. 2001, 369, 1009. [Google Scholar] [CrossRef]
- Ryabchikova, T.; Leone, F.; Kochukhov, O. Vertical abundance stratification in peculiar A-type stars: Silicon in 10 Aql. Astron. Astrophys. 2005, 438, 973. [Google Scholar] [CrossRef]
- Romanovskaya, E.V.; Kochukhov, O.; Ryabchikova, T. Stratification and Non-LTE Effects in the Slowly Rotating Ap Star BD +00°1659. Astron. Astrophys. 2024, 670, A45. [Google Scholar]
- Kochukhov, O.; Ryabchikova, T.; Weiss, W.W.; Piskunov, N. Discovery of a Magnetic Field in the Rapidly Oscillating Ap Star HD 99563. Nature 2007, 450, 633. [Google Scholar]
- Hubeny, I.; Lanz, T. Non-LTE line-blanketed model atmospheres of hot stars. 1: Hybrid complete linearization/accelerated lambda iteration method. Astrophys. J. 1995, 439, 875. [Google Scholar] [CrossRef]
- Butler, K.; Giddings, J. Newsletter on Analysis of Astronomical Spectra, No. 9; Technical Report; University of London: London, UK, 1985. [Google Scholar]
- Bressan, A.; Marigo, P.; Girardi, L.; Salasnich, B.; Dal Cero, C.; Rubele, S.; Nanni, A. PARSEC: Stellar tracks and isochrones with the PAdova and TRieste Stellar Evolution Code. Mon. Not. R. Astron. Soc. 2012, 427, 127–145. [Google Scholar] [CrossRef]
- Hubrig, S.; North, P.; Mathys, G. Magnetic AP Stars in the Hertzsprung-Russell Diagram. Astrophys. J. 2000, 539, 352–363. [Google Scholar] [CrossRef][Green Version]
- Torres, G. On the Use of Empirical Bolometric Corrections for Stars. Astron. J. 2010, 140, 1158–1162. [Google Scholar] [CrossRef]
- Gaia Collaboration; Brown, A.G.A.; Vallenari, A.; Prusti, T.; de Bruijne, J.H.J.; Babusiaux, C.; Biermann, M.; Creevey, O.L.; Evans, D.W.; Eyer, L.; et al. Gaia Early Data Release 3. Summary of the contents and survey properties. Astron. Astrophys. 2021, 649, A1. [Google Scholar] [CrossRef]
- McEvoy, C.M.; Smoker, J.V.; Dufton, P.L.; Smith, K.T.; Kennedy, M.B.; Keenan, F.P.; Lambert, D.L.; Welty, D.E.; Lauroesch, J.T. Early-type stars observed in the ESO UVES Paranal Observatory Project - V. Time-variable interstellar absorption. Mon. Not. R. Astron. Soc. 2015, 451, 1396–1412. [Google Scholar] [CrossRef]
- Glagolevskij, Y.V. On Properties of Main Sequence Magnetic Stars. Astrophys. Bull. 2019, 74, 66–79. [Google Scholar] [CrossRef]
- Borisov, S.B.; Chilingarian, I.V.; Rubtsov, E.V.; Ledoux, C.; Melo, C.; Grishin, K.A.; Katkov, I.Y.; Goradzhanov, V.S.; Afanasiev, A.V.; Kasparova, A.V.; et al. New Generation Stellar Spectral Libraries in the Optical and Near-infrared. I. The Recalibrated UVES-POP Library for Stellar Population Synthesis. Astrophys. J. Suppl. Ser. 2023, 266, 11. [Google Scholar] [CrossRef]
- van Leeuwen, F. Validation of the new Hipparcos reduction. Astron. Astrophys. 2007, 474, 653–664. [Google Scholar] [CrossRef]
- Bicz, K.; Falewicz, R.; Pietras, M.; Siarkowski, M.; Preś, P. Starspot Modeling and Flare Analysis on Selected Main-sequence M-type Stars. Astrophys. J. 2022, 935, 102. [Google Scholar] [CrossRef]
- Notsu, Y.; Shibayama, T.; Maehara, H.; Notsu, S.; Nagao, T.; Honda, S.; Ishii, T.T.; Nogami, D.; Shibata, K. Superflares on Solar-type Stars Observed with Kepler II. Photometric Variability of Superflare-generating Stars: A Signature of Stellar Rotation and Starspots. Astrophys. J. 2013, 771, 127. [Google Scholar] [CrossRef]
- Shibata, K.; Isobe, H.; Hillier, A.; Choudhuri, A.R.; Maehara, H.; Ishii, T.T.; Shibayama, T.; Notsu, S.; Notsu, Y.; Nagao, T.; et al. Can Superflares Occur on Our Sun? Publ. Astron. Soc. Jpn. 2013, 65, 49. [Google Scholar] [CrossRef]
- Notsu, Y.; Maehara, H.; Honda, S.; Hawley, S.L.; Davenport, J.R.A.; Namekata, K.; Notsu, S.; Ikuta, K.; Nogami, D.; Shibata, K. Do Kepler Superflare Stars Really Include Slowly Rotating Sun-like Stars?—Results Using APO 3.5 m Telescope Spectroscopic Observations and Gaia-DR2 Data. Astrophys. J. 2019, 876, 58. [Google Scholar] [CrossRef]
- Walkowicz, L.M.; Basri, G.; Valenti, J.A. The Information Content in Analytic Spot Models of Broadband Precision Light Curves. Astrophys. J. Suppl. Ser. 2013, 205, 17. [Google Scholar] [CrossRef]
- Leone, F.; Catalano, F.A. The overall flux distribution of magnetic chemically peculiar stars. Astron. Astrophys. 1991, 242, 199. [Google Scholar]
- Bailey, J.D.; Landstreet, J.D.; Bagnulo, S. Discovery of secular variations in the atmospheric abundances of magnetic Ap stars. Astron. Astrophys. 2014, 561, A147. [Google Scholar] [CrossRef][Green Version]
- Przybilla, N. Non-LTE line formation for neutral helium in early-type stars. Astron. Astrophys. 2005, 443, 293–303. [Google Scholar] [CrossRef]
- Nieva, M.F.; Przybilla, N. Present-day cosmic abundances: A comprehensive study of nearby early B-type stars. Astron. Astrophys. 2012, 539, A143. [Google Scholar] [CrossRef]
- Lind, K.; Bergemann, M.; Asplund, M. Non-LTE line formation of Fe in late-type stars—I. Standard stars with 1D and 3D model atmospheres. Mon. Not. R. Astron. Soc. 2012, 427, 50–60. [Google Scholar] [CrossRef]
- Mashonkina, L.I.; Sitnova, T.N.; Pakhomov, Y.V. Non-LTE abundance determinations for silicon in A–B-type stellar atmospheres. Astron. Lett. 2016, 42, 606–617. [Google Scholar] [CrossRef]
- Sitnova, T.N.; Mashonkina, L.I.; Pakhomov, Y.V. Non-LTE line formation for Sii–iii in A–B stars and the origin of Siii emission in iota Her. Mon. Not. R. Astron. Soc. 2020, 493, 6095–6108. [Google Scholar] [CrossRef]
- Mashonkina, L.; Ryabchikova, T.; Ryabtsev, A. NLTE ionisation equilibrium of Nd ii and Nd iii in cool A and Ap stars. Astron. Astrophys. 2005, 441, 309–318. [Google Scholar] [CrossRef]
- Ryabchikova, T.; Piskunov, N.; Kurucz, R.L. A database of rare-earth element line data and its application to Ap-star spectra. Mon. Not. R. Astron. Soc. 2015, 447, 2046–2055. [Google Scholar] [CrossRef]
- Bailey, J.D.; Landstreet, J.D. Abundances determined using Si ii and Si iii in B-type stars: Evidence for stratification. Astron. Astrophys. 2013, 551, A30. [Google Scholar] [CrossRef]










| Frequency (d−1) | Amplitude (mmag) | Phase | SNR | Combination Frequencies |
|---|---|---|---|---|
| 0.09655 | 24.2324 | 0.9878 | 210.93 | |
| 0.19296 | 14.6962 | 0.4103 | 137.74 | |
| 0.38499 | 0.8011 | 0.7481 | 8.34 | |
| 0.28611 | 0.6341 | 0.8373 | 6.28 |
| Element | Atomic No. Z | No. of Lines Used | log (dex) | Error (dex) | log (dex) |
|---|---|---|---|---|---|
| He i | 2 | 6 | −1.71 | 0.39 | −1.09 |
| C ii | 6 | 5 | −2.72 | 0.62 | −3.54 |
| N i | 7 | 1 | −3.04 | – | −4.17 |
| N ii | 7 | 5 | −2.52 | 0.54 | −4.17 |
| O i | 8 | 1 | −2.46 | – | −3.31 |
| O ii | 8 | 3 | −3.11 | 0.24 | −3.31 |
| Ne i | 10 | 10 | −3.23 | 0.30 | −3.94 |
| Na ii | 11 | 2 | −3.80 | 0.21 | −5.78 |
| Mg i | 12 | 1 | −3.69 | – | −4.45 |
| Mg ii | 12 | 5 | −4.63 | 0.91 | −4.45 |
| Al ii | 13 | 3 | −4.47 | 0.60 | −5.57 |
| Si ii | 14 | 29 | −3.78 | 0.63 | −4.49 |
| Si iii | 14 | 2 | −2.55 | 0.45 | −4.49 |
| P ii | 15 | 6 | −5.78 | 0.48 | −6.59 |
| S i | 16 | 1 | −3.48 | – | −4.88 |
| S ii | 16 | 20 | −4.68 | 0.86 | −4.88 |
| Cl ii | 17 | 3 | −4.14 | 0.90 | −6.69 |
| Ca ii | 20 | 2 | −5.36 | 0.09 | −5.70 |
| Ti ii | 22 | 9 | −5.89 | 0.62 | −7.03 |
| V ii | 23 | 1 | −6.16 | – | −8.10 |
| Cr ii | 24 | 12 | −5.53 | 0.78 | −6.38 |
| Mn ii | 25 | 2 | −4.73 | 1.11 | −6.58 |
| Fe i | 26 | 1 | −1.77 | – | −4.54 |
| Fe ii | 26 | 133 | −3.86 | 0.44 | −4.54 |
| Ni ii | 28 | 10 | −4.77 | 0.42 | −5.80 |
| Zn i | 30 | 1 | −4.84 | – | −7.44 |
| Y ii | 39 | 4 | −6.81 | 0.71 | −9.79 |
| Ce ii | 58 | 15 | −5.27 | 0.55 | −10.42 |
| Ce iii | 58 | 1 | −6.32 | – | −10.42 |
| Pr ii | 59 | 3 | −6.36 | 0.36 | −11.25 |
| Pr iii | 59 | 26 | −7.08 | 0.64 | −11.25 |
| Nd ii | 60 | 4 | −5.38 | 0.76 | −10.58 |
| Nd iii | 60 | 28 | −7.37 | 0.39 | −10.58 |
| Eu iii | 63 | 3 | −6.35 | 0.45 | −11.48 |
| Literature | Present Study | ||
|---|---|---|---|
| Parameter | Value | Parameter | Value |
| (K) 1 | 12,600 ± 126 | (K) (Spectroscopy) | 13,814 ± 400 |
| (K) (SED) | 11,750 ± 125 | ||
| (dex) 1 | 3.99 ± 0.03 | (dex) | 4.09 ± 0.08 |
| (km s−1) 1 | 19.49 ± 0.74 | (km s−1) | 16 ± 1 |
| (d) 2 | 10.363 | (d) | 10.35733 |
| 2.336 | 2.69 ± 0.09 | ||
| 2.44 | 3.74 ± 0.48 | ||
| 3.9 | 4.2 ± 0.2 | ||
| Age (Gyrs) 3 | 0.055 | Age (Gyrs) | 0.12 ± 0.01 |
| (mag) 4 | 7.56 | ||
| B-V 4 | −0.1 | ||
| 0.52 | |||
| plx(mas) 6,7 | 4.11 ± 0.38 (d = 243 pc) | ||
| 2.93 ± 0.52 (d = 341 pc) | |||
| Sec. No. | Spot No. | Lat. (deg) | Long. (deg) | Spot Size (%) | Analytical Spot Size (%) | SNR | |
|---|---|---|---|---|---|---|---|
| 1 | 49.09 | −120.05 | 1.49 | ||||
| 6 | 2 | 20.86 | 106.53 | 1.99 | 5.77 | 4.42 | 1657.84 |
| 3 | −65.32 | −85.27 | 1.00 | ||||
| 1 | 42.98 | −24.91 | 1.00 | ||||
| 7 | 2 | 23.92 | −157.87 | 2.49 | 5.68 | 5.89 | 1455.62 |
| 3 | −61.24 | 149.79 | 1.39 |
Disclaimer/Publisher’s Note: The statements, opinions and data contained in all publications are solely those of the individual author(s) and contributor(s) and not of MDPI and/or the editor(s). MDPI and/or the editor(s) disclaim responsibility for any injury to people or property resulting from any ideas, methods, instructions or products referred to in the content. |
© 2025 by the authors. Licensee MDPI, Basel, Switzerland. This article is an open access article distributed under the terms and conditions of the Creative Commons Attribution (CC BY) license (https://creativecommons.org/licenses/by/4.0/).
Share and Cite
Ghosh, S.C.; Joshi, S.; Ghosh, S.; Dileep, A.; Trust, O.; Sarkar, M.; Rosales Guzmán, J.A.; Castro-Toledo, N.E.; Malkov, O.; Singh, H.P.; et al. Unveiling the Variability and Chemical Composition of AL Col. Galaxies 2025, 13, 93. https://doi.org/10.3390/galaxies13040093
Ghosh SC, Joshi S, Ghosh S, Dileep A, Trust O, Sarkar M, Rosales Guzmán JA, Castro-Toledo NE, Malkov O, Singh HP, et al. Unveiling the Variability and Chemical Composition of AL Col. Galaxies. 2025; 13(4):93. https://doi.org/10.3390/galaxies13040093
Chicago/Turabian StyleGhosh, Surath C., Santosh Joshi, Samrat Ghosh, Athul Dileep, Otto Trust, Mrinmoy Sarkar, Jaime Andrés Rosales Guzmán, Nicolás Esteban Castro-Toledo, Oleg Malkov, Harinder P. Singh, and et al. 2025. "Unveiling the Variability and Chemical Composition of AL Col" Galaxies 13, no. 4: 93. https://doi.org/10.3390/galaxies13040093
APA StyleGhosh, S. C., Joshi, S., Ghosh, S., Dileep, A., Trust, O., Sarkar, M., Rosales Guzmán, J. A., Castro-Toledo, N. E., Malkov, O., Singh, H. P., Tan, K., & Bedi, S. S. (2025). Unveiling the Variability and Chemical Composition of AL Col. Galaxies, 13(4), 93. https://doi.org/10.3390/galaxies13040093

