Flattened Galaxy Rotation Curves in the Exochronous Metric
Abstract
1. Introduction
1.1. Dark Matter
1.2. Galaxy Rotation Curves
1.3. N-Body Simulations
2. The Exochronous Metric
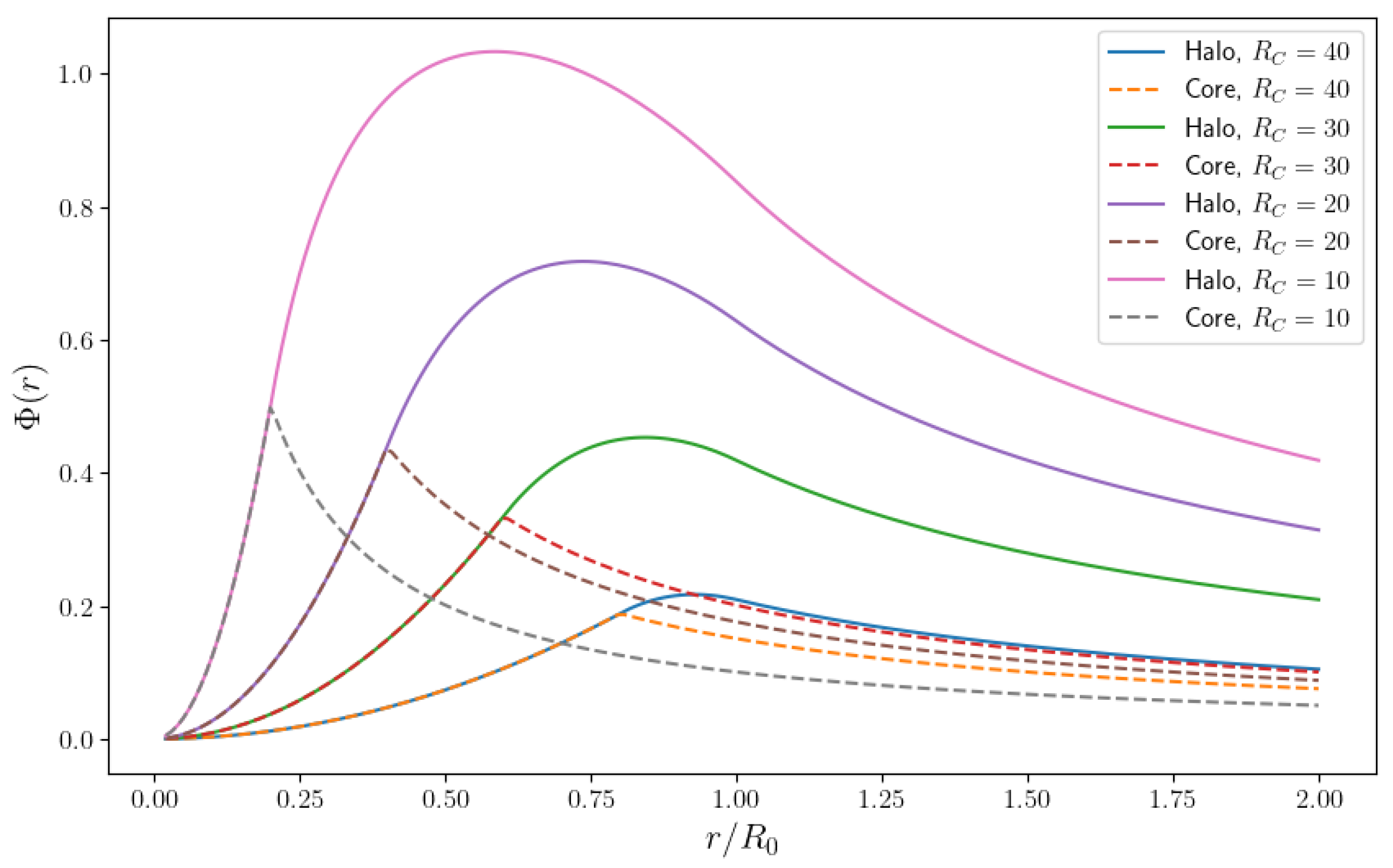
3. The Galaxy Halo Gravitational Potential Profile
3.1. The Modified Poisson Equation
3.2. Calculating the Galaxy’s Gravitational Potential Profile
- i
- The timescale for the initial contraction of the gas cloud to the point where the gas is largely virialized is small in comparison with the time between this point and the present day, and can therefore be neglected in this analysis.
- ii
- The rate of subsequent galaxy contraction (post-virialization) under gravity is linear, such that , where k is a constant velocity.
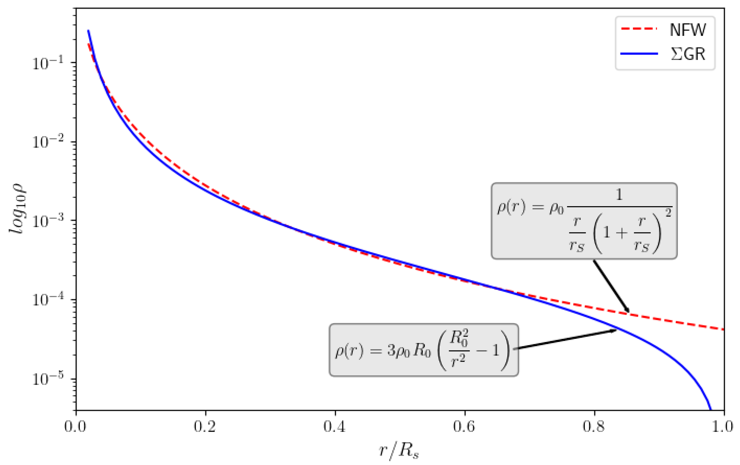
3.3. Effective Density Profile
- i
- In practice, it is often useful to take the edge of the NFW halo to be the virial radius, , which is related to the ‘concentration parameter’, c, and scale radius using , where is the radius within which the average enclosed density is the cosmic critical density in standard cosmology.
- ii
- In plotting the density profile of Figure 8, we assumed that . In practice, assuming a linear relationship between and , then k can be incorporated into as the two parameters are degenerate.

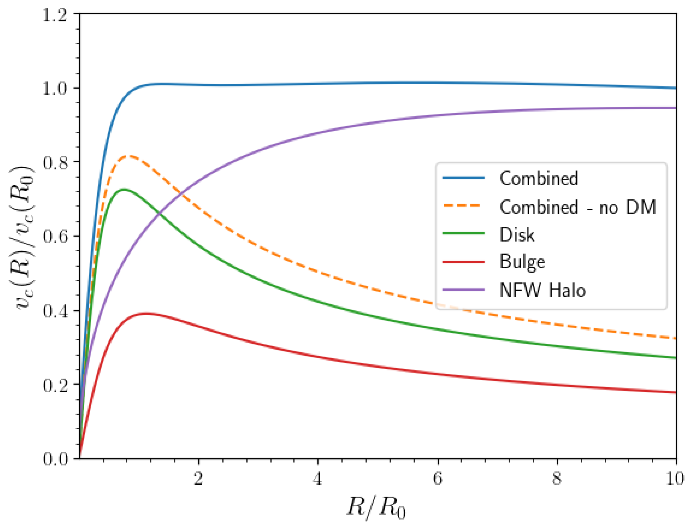
3.4. Rotation Curve
4. Fitting to Observations
5. N-Body Simulation
- GUI and control functionality written in C++.
- CUDA C used for the N-body compute kernels.
- The use of a mesh grid for storing (and displaying) the gravitational potential.
- Progressive relaxation solver used for solving the Poisson equation.
- Initial conditions can be generated using Zel’dovich approximation.
- The ability to configure initial overdensity regions, for example when simulating galaxy formation from a gas cloud.
- On-the-fly calculation and display of the following:
- −
- Matter power spectrum.
- −
- Velocity curves around a central mass.
- The ability to display gravitational potential as a contour map using the z-axis of the mesh grid.
- The hyperspatial foliation index is used in place of the scale factor as the ‘time’ coordinate in the simulation.
- Particle accelerations are determined solely by the gravitational potential gradients from the surrounding mesh nodes, and particle–particle interactions are not calculated.
- The Poisson equation does not use any form of FFT solver to calculate long-range potential, and relies exclusively on a relaxation solver.
- The simulation does not incorporate the viscous drag effect that would normally result from implementing the Hubble flow in a co-moving reference frame.
- Gravitational forces are scale-invariant and do not evolve as the simulation progresses.
- Only baryonic matter is used in the simulation (ignoring baryonic particle–particle interactions involving SPH) and no dark matter particles are present.
5.1. Large-Scale Structure Formation
5.2. Galaxy Rotation Curve
6. Discussion
Funding
Data Availability Statement
Acknowledgments
Conflicts of Interest
References
- Springel, V.; Frenk, C.; White, S. The large-scale structure of the Universe. Nature 2006, 440, 1137–1144. [Google Scholar] [CrossRef] [PubMed]
- van den Bergh, S. The Early History of Dark Matter. Publ. Astron. Soc. Pac. 1999, 111, 657–660. [Google Scholar] [CrossRef]
- Peebles, P.J.E. Growth of the nonbaryonic dark matter theory. Nat. Astron. 2017, 1, 57. [Google Scholar] [CrossRef]
- Bertone, G.; Hooper, D. History of dark matter. Rev. Mod. Phys. 2018, 90, 045002. [Google Scholar] [CrossRef]
- Aghanim, N.; Akrami, Y.; Ashdown, M.; Aumont, J.; Baccigalupi, C.; Ballardini, M.; Banday, A.J.; Barreiro, R.B.; Bartolo, N.; Basak, S.; et al. Planck 2018 results: VI. Cosmological parameters. Astron. Astrophys. 2020, 641, A6. [Google Scholar] [CrossRef]
- Bahcall, J.; Piran, T.; Weinberg, S. Dark Matter in the Universe; World Scientific: Singapore, 2004. [Google Scholar] [CrossRef]
- Rubin, V.C.; Ford, W.; Thonnard, N. Rotational Properties of 21 Sc Galaxies with a Large Range of Luminosities and Radii from NGC 4605 (R = 4 kpc) to UGC 2885 (R = 122 kpc). Astrophys. J. 1980, 238, 471–487. [Google Scholar] [CrossRef]
- Milgrom, M. MOND-a pedagogical review. arXiv 2001, arXiv:astro-ph/0112069. [Google Scholar]
- Brownstein, J.R.; Moffat, J.W. Galaxy Rotation Curves without Nonbaryonic Dark Matter. Astrophys. J. 2006, 636, 721. [Google Scholar] [CrossRef]
- Hofmeister, A.M.; Criss, R.E. Debated models for galactic rotation curves: A Review and mathematical assessment. Galaxies 2020, 8, 47. [Google Scholar] [CrossRef]
- Banik, I.; Zhao, H. From Galactic Bars to the Hubble Tension: Weighing Up the Astrophysical Evidence for Milgromian Gravity. Symmetry 2022, 14, 1331. [Google Scholar] [CrossRef]
- Navarro, J.F.; Frenk, C.S.; White, S.D.M. The Structure of Cold Dark Matter Halos. Astrophys. J. 1996, 462, 563. [Google Scholar] [CrossRef]
- Diemand, J.; Moore, B. The structure and evolution of cold dark matter halos. Adv. Sci. Lett. 2011, 4, 297–310. [Google Scholar] [CrossRef]
- Booth, R. The Exochronous Universe: A static solution to the Einstein field equations. arXiv 2022, arXiv:2201.13120. [Google Scholar] [CrossRef]
- Barbour, J.; Foster, B.; O’Murchadha, N. Relativity without relativity. Class. Quantum Gravity 2002, 19, 3217–3248. [Google Scholar] [CrossRef]
- Verheijen, M.a.W.; Sancisi, R. The Ursa Major cluster of galaxies. Astron. Astrophys. 2001, 370, 765–867. [Google Scholar] [CrossRef]
- Zel’dovich, Y.B. Gravitational instability: An approximate theory for large density perturbations. Astron. Astrophys. 1970, 5, 84–89. [Google Scholar]
- Lewis, A.; Challinor, A.; Lasenby, A. Efficient Computation of Cosmic Microwave Background Anisotropies in Closed Friedmann-Robertson-Walker Models. Astrophys. J. 2000, 538, 473–476. [Google Scholar] [CrossRef]













| Galaxy | Fit | c | DM/Baryon | ||||
|---|---|---|---|---|---|---|---|
| N3877 | 21.7 | 1.71 | 2.50 | 0.01 | 0.999 | 0.12 | 4.8 |
| N3917 | 33.6 | 9.54 | 3.30 | 0.11 | 0.996 | 0.10 | 5.8 |
| N4217 | 19.6 | 0.76 | 2.24 | 0.05 | 0.996 | 0.11 | 4.9 |
| N4100 | 18.6 | 0.51 | 2.97 | 0.14 | 0.973 | 0.16 | 3.2 |
| Mean | 0.12 | 5.4 |
Disclaimer/Publisher’s Note: The statements, opinions and data contained in all publications are solely those of the individual author(s) and contributor(s) and not of MDPI and/or the editor(s). MDPI and/or the editor(s) disclaim responsibility for any injury to people or property resulting from any ideas, methods, instructions or products referred to in the content. |
© 2024 by the author. Licensee MDPI, Basel, Switzerland. This article is an open access article distributed under the terms and conditions of the Creative Commons Attribution (CC BY) license (https://creativecommons.org/licenses/by/4.0/).
Share and Cite
Booth, R. Flattened Galaxy Rotation Curves in the Exochronous Metric. Galaxies 2024, 12, 21. https://doi.org/10.3390/galaxies12030021
Booth R. Flattened Galaxy Rotation Curves in the Exochronous Metric. Galaxies. 2024; 12(3):21. https://doi.org/10.3390/galaxies12030021
Chicago/Turabian StyleBooth, Robin. 2024. "Flattened Galaxy Rotation Curves in the Exochronous Metric" Galaxies 12, no. 3: 21. https://doi.org/10.3390/galaxies12030021
APA StyleBooth, R. (2024). Flattened Galaxy Rotation Curves in the Exochronous Metric. Galaxies, 12(3), 21. https://doi.org/10.3390/galaxies12030021
