Resonant Effects of a Bar on the Galactic Disk Kinematics Perpendicular to Its Plane
Abstract
1. Introduction
2. The Model
2.1. Initial Distribution
2.2. Galactic Potential Models
2.3. Rotation Curves
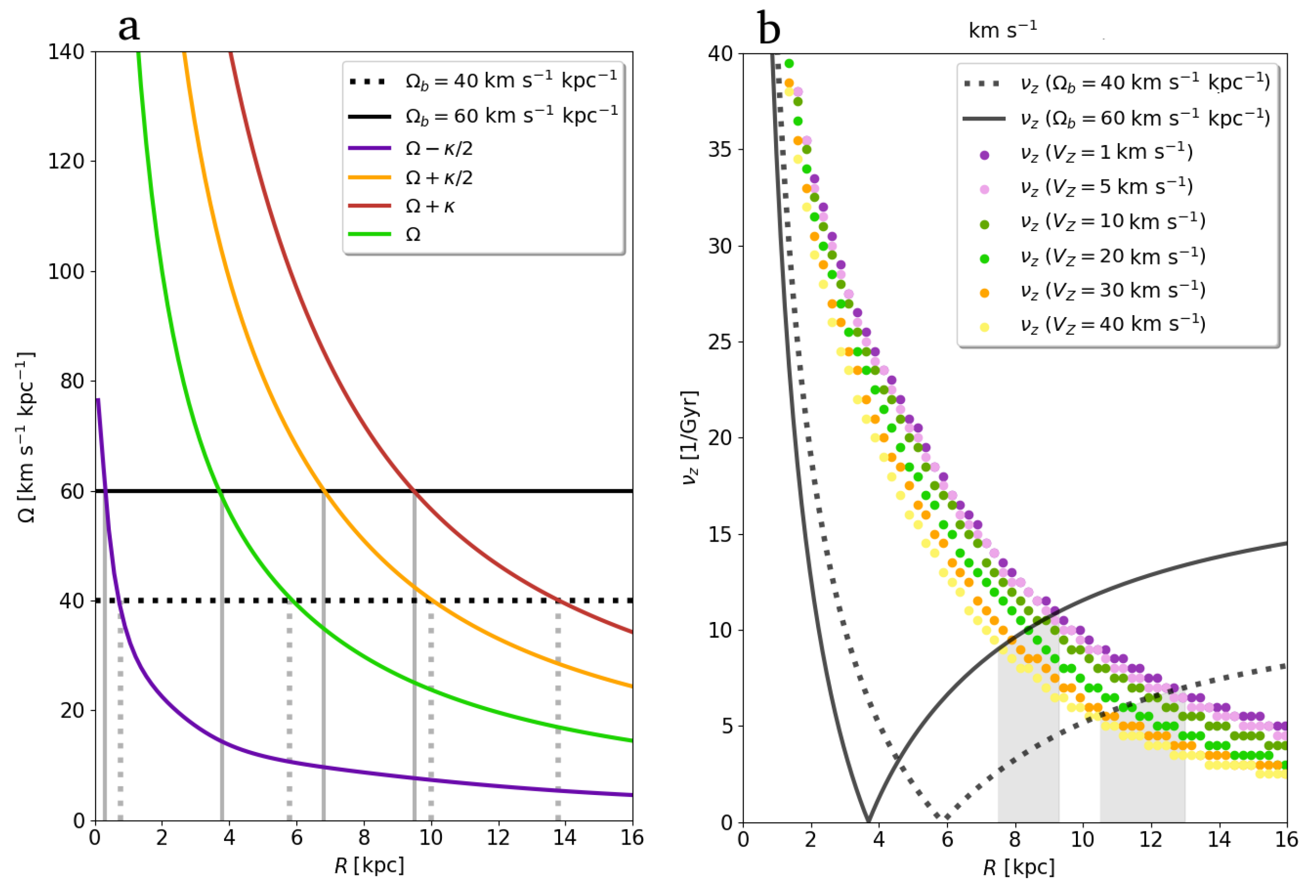
2.4. Resonances
2.4.1. Resonances in the Plane of the Disk
2.4.2. Vertical Resonances
3. Results and Discussion
3.1. Equilibrium in the Axisymmetric Potential
3.2. Dynamics in a Barred Potential
3.2.1. Resonances in the Plane of the Disk
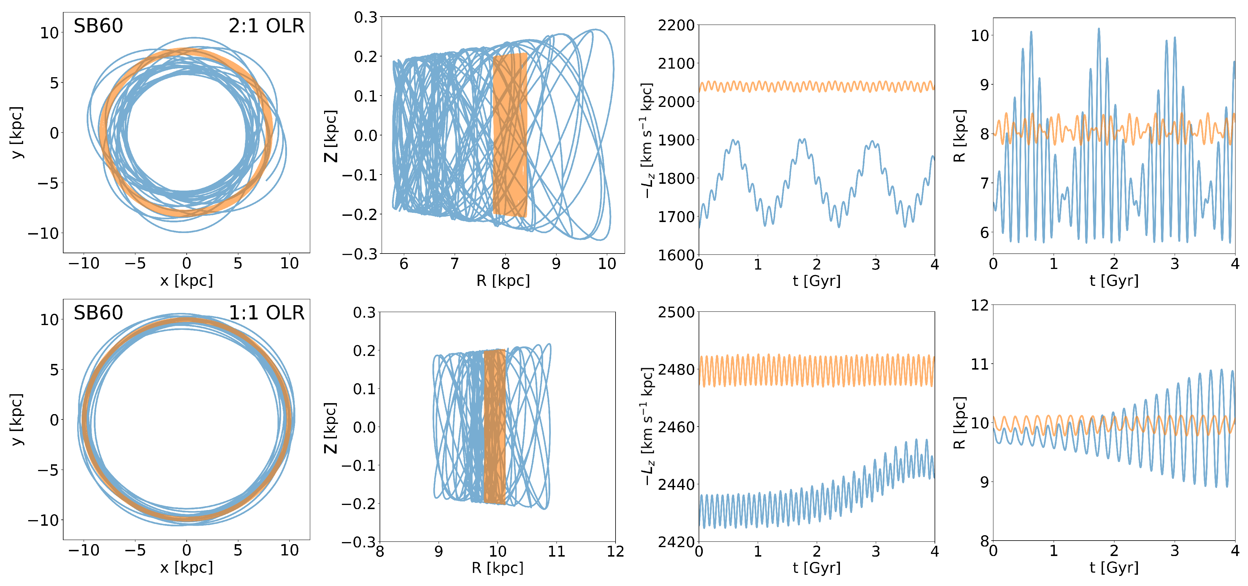
3.2.2. Resonance with Motions Perpendicular to the Disk Direction
4. Summary
Author Contributions
Funding
Data Availability Statement
Acknowledgments
Conflicts of Interest
Abbreviations
| Corotation Resonance | CR |
| inner Lindblad resonance | ILR |
| outer Lindblad resonance | OLR |
| vertical outer Lindblad resonance | vOLR |
| Long bar | LB |
| Short bar | SB |
| MC17 | McMillan17 |
References
- Perryman, M.A.C.; de Boer, K.S.; Gilmore, G.; Høg, E.; Lattanzi, M.G.; Lindegren, L.; Luri, X.; Mignard, F.; Pace, O.; de Zeeuw, P.T. GAIA: Composition, formation and evolution of the Galaxy. Astron. Astrophys. 2001, 369, 339–363. [Google Scholar] [CrossRef]
- Lindegren, L.; Lammers, U.; Bastian, U.; Hernández, J.; Klioner, S.; Hobbs, D.; Bombrun, A.; Michalik, D.; Ramos-Lerate, M.; Butkevich, A.; et al. Gaia Data Release 1. Astrometry: One billion positions, two million proper motions and parallaxes. Astron. Astrophys. 2016, 595, A4. [Google Scholar] [CrossRef]
- Fabricius, C.; Bastian, U.; Portell, J.; Castañeda, J.; Davidson, M.; Hambly, N.C.; Clotet, M.; Biermann, M.; Mora, A.; Busonero, D.; et al. Gaia Data Release 1. Pre-processing and source list creation. Astron. Astrophys. 2016, 595, A3. [Google Scholar] [CrossRef]
- Evans, D.W.; Riello, M.; De Angeli, F.; Carrasco, J.M.; Montegriffo, P.; Fabricius, C.; Jordi, C.; Palaversa, L.; Diener, C.; Busso, G.; et al. Gaia Data Release 2. Photometric content and validation. Astron. Astrophys. 2018, 616, A4. [Google Scholar] [CrossRef]
- Antoja, T.; Helmi, A.; Romero-Gómez, M.; Katz, D.; Babusiaux, C.; Drimmel, R.; Evans, D.W.; Figueras, F.; Poggio, E.; Reylé, C.; et al. A dynamically young and perturbed Milky Way disk. Nature 2018, 561, 360–362. [Google Scholar] [CrossRef] [PubMed]
- Kawata, D.; Baba, J.; Ciucǎ, I.; Cropper, M.; Grand, R.J.J.; Hunt, J.A.S.; Seabroke, G. Radial distribution of stellar motions in Gaia DR2. Mon. Not. R. Astron. Soc. 2018, 479, L108–L112. [Google Scholar] [CrossRef]
- Khanna, S.; Sharma, S.; Tepper-Garcia, T.; Bland-Hawthorn, J.; Hayden, M.; Asplund, M.; Buder, S.; Chen, B.; De Silva, G.M.; Freeman, K.C.; et al. The GALAH survey and Gaia DR2: Linking ridges, arches, and vertical waves in the kinematics of the Milky Way. Mon. Not. R. Astron. Soc. 2019, 489, 4962–4979. [Google Scholar] [CrossRef]
- Schönrich, R.; Binney, J. Origin and structure of the Galactic disc(s). Mon. Not. R. Astron. Soc. 2009, 399, 1145–1156. [Google Scholar] [CrossRef]
- Sellwood, J.A.; Binney, J.J. Radial mixing in galactic discs. Mon. Not. R. Astron. Soc. 2002, 336, 785–796. [Google Scholar] [CrossRef]
- Roškar, R.; Debattista, V.P.; Quinn, T.R.; Stinson, G.S.; Wadsley, J. Riding the Spiral Waves: Implications of Stellar Migration for the Properties of Galactic Disks. Astrophys. J. 2008, 684, L79. [Google Scholar] [CrossRef]
- Laughlin, G.; Korchagin, V. Nonlinear Generation of One-armed Spirals in Self-gravitating Disks. Astrophys. J. 1996, 460, 855. [Google Scholar] [CrossRef]
- Dehnen, W. The Effect of the Outer Lindblad Resonance of the Galactic Bar on the Local Stellar Velocity Distribution. Astron. J. 2000, 119, 800–812. [Google Scholar] [CrossRef]
- Antoja, T.; Helmi, A.; Dehnen, W.; Bienaymé, O.; Bland-Hawthorn, J.; Famaey, B.; Freeman, K.; Gibson, B.K.; Gilmore, G.; Grebel, E.K.; et al. Constraints on the Galactic bar from the Hercules stream as traced with RAVE across the Galaxy. Astron. Astrophys. 2014, 563, A60. [Google Scholar] [CrossRef]
- Monari, G.; Kawata, D.; Hunt, J.A.S.; Famaey, B. Tracing the Hercules stream with Gaia and LAMOST: New evidence for a fast bar in the Milky Way. Mon. Not. R. Astron. Soc. 2017, 466, L113–L117. [Google Scholar] [CrossRef]
- Hunt, J.A.S.; Bovy, J. The 4:1 outer Lindblad resonance of a long-slow bar as an explanation for the Hercules stream. Mon. Not. R. Astron. Soc. 2018, 477, 3945–3953. [Google Scholar] [CrossRef]
- Hunt, J.A.S.; Hong, J.; Bovy, J.; Kawata, D.; Grand, R.J.J. Transient spiral structure and the disc velocity substructure in Gaia DR2. Mon. Not. R. Astron. Soc. 2018, 481, 3794–3803. [Google Scholar] [CrossRef]
- Binney, J.; Schönrich, R. The origin of the Gaia phase-plane spiral. Mon. Not. R. Astron. Soc. 2018, 481, 1501–1506. [Google Scholar] [CrossRef]
- Tepper-García, T.; Bland-Hawthorn, J.; Freeman, K. Galactic seismology: Joint evolution of impact-triggered stellar and gaseous disc corrugations. Mon. Not. R. Astron. Soc. 2022, 515, 5951–5968. [Google Scholar] [CrossRef]
- Chequers, M.H.; Widrow, L.M.; Darling, K. Bending waves in the Milky Way’s disc from halo substructure. Mon. Not. R. Astron. Soc. 2018, 480, 4244–4258. [Google Scholar] [CrossRef]
- Khoperskov, S.; Di Matteo, P.; Gerhard, O.; Katz, D.; Haywood, M.; Combes, F.; Berczik, P.; Gomez, A. The echo of the bar buckling: Phase-space spirals in Gaia Data Release 2. Astron. Astrophys. 2019, 622, L6. [Google Scholar] [CrossRef]
- Khachaturyants, T.; Beraldo e Silva, L.; Debattista, V.P.; Daniel, K.J. Bending waves excited by irregular gas inflow along warps. Mon. Not. R. Astron. Soc. 2022, 512, 3500–3519. [Google Scholar] [CrossRef]
- Trick, W.H.; Fragkoudi, F.; Hunt, J.A.S.; Mackereth, J.T.; White, S.D.M. Identifying resonances of the Galactic bar in Gaia DR2: I. Clues from action space. Mon. Not. R. Astron. Soc. 2021, 500, 2645–2665. [Google Scholar] [CrossRef]
- Mishurov, Y.N.; Tkachenko, R.V. On the radial oxygen distribution in the Galactic disc. Mon. Not. R. Astron. Soc. 2018, 473, 3700–3709. [Google Scholar] [CrossRef]
- Mishurov, Y.N.; Tkachenko, R.V. On the radial iron distribution in the Galactic disc. Mon. Not. R. Astron. Soc. 2019, 485, 2225–2234. [Google Scholar] [CrossRef]
- Mishurov, Y.N.; Tkachenko, R.V. Local Metallicity Distribution Function Derived from Galactic Large-scale Radial Iron Pattern Modeling. Astrophys. J. 2019, 887, 238. [Google Scholar] [CrossRef]
- Khoperskov, S.; Gerhard, O. Chemo-kinematics of the Milky Way spiral arms and bar resonances: Connection to ridges and moving groups in the solar vicinity. Astron. Astrophys. 2022, 663, A38. [Google Scholar] [CrossRef]
- Binney, J. Resonant excitation of motion perpendicular to galactic planes. Mon. Not. R. Astron. Soc. 1981, 196, 455–467. [Google Scholar] [CrossRef]
- Combes, F.; Debbasch, F.; Friedli, D.; Pfenniger, D. Box and peanut shapes generated by stellar bars. Astron. Astrophys. 1990, 233, 82. [Google Scholar]
- Quillen, A.C. Growth of a Peanut-shaped Bulge via Resonant Trapping of Stellar Orbits in the Vertical Inner Lindblad Resonances. Astron. J. 2002, 124, 722–732. [Google Scholar] [CrossRef]
- Quillen, A.C.; Minchev, I.; Sharma, S.; Qin, Y.J.; Di Matteo, P. A vertical resonance heating model for X- or peanut-shaped galactic bulges. Mon. Not. R. Astron. Soc. 2014, 437, 1284–1307. [Google Scholar] [CrossRef]
- Fouvry, J.B.; Pichon, C.; Chavanis, P.H.; Monk, L. Resonant thickening of self-gravitating discs: Imposed or self-induced orbital diffusion in the tightly wound limit. Mon. Not. R. Astron. Soc. 2017, 471, 2642–2673. [Google Scholar] [CrossRef]
- Vieira, K.; Carraro, G.; Korchagin, V.; Lutsenko, A.; Girard, T.M.; van Altena, W. Milky Way Thin and Thick Disk Kinematics with Gaia EDR3 and RAVE DR5. Astrophys. J. 2022, 932, 28. [Google Scholar] [CrossRef]
- Bovy, J. galpy: A python Library for Galactic Dynamics. Astrophys. J. Suppl. Ser. 2015, 216, 29. [Google Scholar] [CrossRef]
- Alexander, R. Solving Ordinary Differential Equations I: Nonstiff Problems (E. Hairer, SP Norsett, and G. Wanner). SIAM Rev. 1990, 32, 485–486. [Google Scholar] [CrossRef]
- Drimmel, R.; Spergel, D.N. Three-dimensional Structure of the Milky Way Disk: The Distribution of Stars and Dust beyond 0.35 Rsolar. Astrophys. J. 2001, 556, 181–202. [Google Scholar] [CrossRef]
- Gerhard, O.E. Structure and Mass Distribution of the Milky Way Bulge and Disk. In Proceedings of the Galaxy Disks and Disk Galaxies, Rome, Italy, 12–16 January 2001; Astronomical Society of the Pacific Conference Series, San Francisco, U.S. Funes, J.G., Corsini, E.M., Eds.; 2001; Volume 230, pp. 21–30. [Google Scholar] [CrossRef]
- Piffl, T.; Binney, J.; McMillan, P.J.; Steinmetz, M.; Helmi, A.; Wyse, R.F.G.; Bienaymé, O.; Bland-Hawthorn, J.; Freeman, K.; Gibson, B.; et al. Constraining the Galaxy’s dark halo with RAVE stars. Mon. Not. R. Astron. Soc. 2014, 445, 3133–3151. [Google Scholar] [CrossRef]
- Khrapov, S.; Khoperskov, A.; Korchagin, V. Modeling of Spiral Structure in a Multi-Component Milky Way-Like Galaxy. Galaxies 2021, 9, 29. [Google Scholar] [CrossRef]
- Jurić, M.; Ivezić, Ž.; Brooks, A.; Lupton, R.H.; Schlegel, D.; Finkbeiner, D.; Padmanabhan, N.; Bond, N.; Sesar, B.; Rockosi, C.M.; et al. The Milky Way Tomography with SDSS. I. Stellar Number Density Distribution. Astrophys. J. 2008, 673, 864–914. [Google Scholar] [CrossRef]
- Kordopatis, G.; Recio-Blanco, A.; de Laverny, P.; Gilmore, G.; Hill, V.; Wyse, R.F.G.; Helmi, A.; Bijaoui, A.; Zoccali, M.; Bienaymé, O. A spectroscopic survey of thick disc stars outside the solar neighbourhood. Astron. Astrophys. 2011, 535, A107. [Google Scholar] [CrossRef]
- McMillan, P.J. The mass distribution and gravitational potential of the Milky Way. Mon. Not. R. Astron. Soc. 2017, 465, 76–94. [Google Scholar] [CrossRef]
- Tiede, G.P.; Terndrup, D.M. Kinematics, Metallicities, and Stellar Distributions in the Inner Disk and Bulge of the Milky Way. Astron. J. 1999, 118, 895–910. [Google Scholar] [CrossRef]
- Long, K.; Murali, C. Analytical Potentials for Barred Galaxies. Astrophys. J. 1992, 397, 44. [Google Scholar] [CrossRef]
- Portail, M.; Gerhard, O.; Wegg, C.; Ness, M. Dynamical modelling of the galactic bulge and bar: The Milky Way’s pattern speed, stellar and dark matter mass distribution. Mon. Not. R. Astron. Soc. 2017, 465, 1621–1644. [Google Scholar] [CrossRef]
- Kent, S.M. Galactic Structure from the Spacelab Infrared Telescope. III. A Dynamical Model for the Milky Way Bulge. Astrophys. J. 1992, 387, 181. [Google Scholar] [CrossRef]
- Zhao, H.; Spergel, D.N.; Rich, R.M. Signature of Bulge Triaxiality From Kinematics in Baade’s Window. Astron. J. 1994, 108, 2154. [Google Scholar] [CrossRef]
- Debattista, V.P.; Gerhard, O.; Sevenster, M.N. The pattern speed of the OH/IR stars in the Milky Way. Mon. Not. R. Astron. Soc. 2002, 334, 355–368. [Google Scholar] [CrossRef]
- Sanders, J.L.; Smith, L.; Evans, N.W.; Lucas, P. Transverse kinematics of the Galactic bar-bulge from VVV and Gaia. Mon. Not. R. Astron. Soc. 2019, 487, 5188–5208. [Google Scholar] [CrossRef]
- Clarke, J.P.; Wegg, C.; Gerhard, O.; Smith, L.C.; Lucas, P.W.; Wylie, S.M. The Milky Way bar/bulge in proper motions: A 3D view from VIRAC and Gaia. Mon. Not. R. Astron. Soc. 2019, 489, 3519–3538. [Google Scholar] [CrossRef]
- Shen, J.; Zheng, X.W. The bar and spiral arms in the Milky Way: Structure and kinematics. Res. Astron. Astrophys. 2020, 20, 159. [Google Scholar] [CrossRef]
- Sormani, M.C.; Binney, J.; Magorrian, J. Gas flow in barred potentials—III. Effects of varying the quadrupole. Mon. Not. R. Astron. Soc. 2015, 454, 1818–1839. [Google Scholar] [CrossRef]
- Gardner, E.; Flynn, C. Probing the Galaxy’s bars via the Hercules stream. Mon. Not. R. Astron. Soc. 2010, 405, 545–552. [Google Scholar] [CrossRef][Green Version]
- Chakrabarty, D. Phase space structure in the solar neighbourhood. Astron. Astrophys. 2007, 467, 145–162. [Google Scholar] [CrossRef]
- Bissantz, N.; Englmaier, P.; Gerhard, O. Gas dynamics in the Milky Way: Second pattern speed and large-scale morphology. Mon. Not. R. Astron. Soc. 2003, 340, 949–968. [Google Scholar] [CrossRef]
- Contopoulos, G. How far do bars extend. Astron. Astrophys. 1980, 81, 198–209. [Google Scholar]
- Abuter, R.; Amorim, A.; Anugu, N.; Bauböck, M.; Benisty, M.; Berger, J.P.; Blind, N.; Bonnet, H.; Brandner, W.; Buron, A.; et al. Detection of the gravitational redshift in the orbit of the star S2 near the Galactic centre massive black hole. Astron. Astrophys. 2018, 615, L15. [Google Scholar] [CrossRef]
- Sellwood, J.A. Dynamics of Disks and Warps. In Planets, Stars and Stellar Systems: Galactic Structure and Stellar Populations; Oswalt, T.D., Gilmore, G., Eds.; Springer: Dordrecht, The Netherlands, 2013; Volume 5, p. 923. [Google Scholar] [CrossRef]
- Sellwood, J.A.; Wilkinson, A. Dynamics of barred galaxies. Rep. Prog. Phys. 1993, 56, 173–256. [Google Scholar] [CrossRef]
- Beraldo e Silva, L.; Debattista, V.P.; Anderson, S.R.; Valluri, M.; Erwin, P.; Daniel, K.J.; Deg, N. Orbital support and evolution of flat profiles of bars (shoulders). arXiv 2023, arXiv:2303.04828. [Google Scholar] [CrossRef]
- Fux, R. Order and chaos in the local disc stellar kinematics induced by the Galactic bar. Astron. Astrophys. 2001, 373, 511–535. [Google Scholar] [CrossRef]
- Minchev, I.; Quillen, A.C.; Williams, M.; Freeman, K.C.; Nordhaus, J.; Siebert, A.; Bienaymé, O. Is the Milky Way ringing? The hunt for high-velocity streams. Mon. Not. R. Astron. Soc. 2009, 396, L56–L60. [Google Scholar] [CrossRef]
- Gómez, F.A.; Minchev, I.; Villalobos, Á.; O’Shea, B.W.; Williams, M.E.K. Signatures of minor mergers in Milky Way like disc kinematics: Ringing revisited. Mon. Not. R. Astron. Soc. 2012, 419, 2163–2172. [Google Scholar] [CrossRef]
- Melnik, A.M. Galactic resonance rings: Modelling of motions in the wide solar neighbourhood. Mon. Not. R. Astron. Soc. 2019, 485, 2106–2124. [Google Scholar] [CrossRef]
- Mikkola, D.; McMillan, P.J.; Hobbs, D. Radial migration and vertical action in N-body simulations. Mon. Not. R. Astron. Soc. 2020, 495, 3295–3306. [Google Scholar] [CrossRef]
- Michtchenko, T.A.; Lépine, J.R.D.; Barros, D.A.; Vieira, R.S.S. Combined dynamical effects of the bar and spiral arms in a Galaxy model. Application to the solar neighbourhood. Astron. Astrophys. 2018, 615, A10. [Google Scholar] [CrossRef]
- Hunt, J.A.S.; Bub, M.W.; Bovy, J.; Mackereth, J.T.; Trick, W.H.; Kawata, D. Signatures of resonance and phase mixing in the Galactic disc. Mon. Not. R. Astron. Soc. 2019, 490, 1026–1043. [Google Scholar] [CrossRef]
- Khoperskov, S.; Di Matteo, P.; Haywood, M.; Gómez, A.; Snaith, O.N. Escapees from the bar resonances. Presence of low-eccentricity metal-rich stars at the solar vicinity. Astron. Astrophys. 2020, 638, A144. [Google Scholar] [CrossRef]
- Davies, E.Y.; Dillamore, A.M.; Vasiliev, E.; Belokurov, V. Accelerated phase-mixing in the stellar halo due to a rotating bar. Mon. Not. R. Astron. Soc. 2023, 521, L24–L28. [Google Scholar] [CrossRef]
- Belokurov, V.; Vasiliev, E.; Deason, A.J.; Koposov, S.E.; Fattahi, A.; Dillamore, A.M.; Davies, E.Y.; Grand, R.J.J. Energy wrinkles and phase-space folds of the last major merger. Mon. Not. R. Astron. Soc. 2023, 518, 6200–6215. [Google Scholar] [CrossRef]
- Dey, A.; Najita, J.R.; Koposov, S.E.; Josephy-Zack, J.; Maxemin, G.; Bell, E.F.; Poppett, C.; Patel, E.; Beraldo e Silva, L.; Raichoor, A.; et al. DESI Observations of the Andromeda Galaxy: Revealing the Immigration History of Our Nearest Neighbor. Astrophys. J. 2023, 944, 1. [Google Scholar] [CrossRef]
- Wu, W.; Zhao, G.; Chang, J.; Xue, X.-X.; Chen, Y.; Li, C.; Ye, X.; Yang, C. Detection of multiple phase space overdensities of GSE stars by orbit integration. arXiv 2023, arXiv:2305.06759. [Google Scholar] [CrossRef]
- Dillamore, A.M.; Belokurov, V.; Evans, N.W.; Davies, E.Y. Stellar halo substructure generated by bar resonances. arXiv 2023, arXiv:2303.00008. [Google Scholar] [CrossRef]
- Lee, Y.H.; Park, M.G.; Hwang, H.S.; Ann, H.B.; Chung, H.; Kim, T. Properties of Fast and Slow Bars Classified by Epicyclic Frequency Curves from Photometry of Barred Galaxies. Astrophys. J. 2022, 926, 58. [Google Scholar] [CrossRef]
- Garma-Oehmichen, L.; Hernández-Toledo, H.; Aquino-Ortíz, E.; Martinez-Medina, L.; Puerari, I.; Cano-Díaz, M.; Valenzuela, O.; Vázquez-Mata, J.A.; Géron, T.; Martínez-Vázquez, L.A.; et al. SDSS IV MaNGA: Bar pattern speed in Milky Way analogue galaxies. Mon. Not. R. Astron. Soc. 2022, 517, 5660–5677. [Google Scholar] [CrossRef]












| Name | ||
|---|---|---|
| SB40 | 40 | 3.0 |
| SB60 | 60 | 3.0 |
| LB40 | 40 | 5.0 |
| LB60 | 60 | 5.0 |
Disclaimer/Publisher’s Note: The statements, opinions and data contained in all publications are solely those of the individual author(s) and contributor(s) and not of MDPI and/or the editor(s). MDPI and/or the editor(s) disclaim responsibility for any injury to people or property resulting from any ideas, methods, instructions or products referred to in the content. |
© 2023 by the authors. Licensee MDPI, Basel, Switzerland. This article is an open access article distributed under the terms and conditions of the Creative Commons Attribution (CC BY) license (https://creativecommons.org/licenses/by/4.0/).
Share and Cite
Korchagin, V.; Lutsenko, A.; Tkachenko, R.; Carraro, G.; Vieira, K. Resonant Effects of a Bar on the Galactic Disk Kinematics Perpendicular to Its Plane. Galaxies 2023, 11, 97. https://doi.org/10.3390/galaxies11050097
Korchagin V, Lutsenko A, Tkachenko R, Carraro G, Vieira K. Resonant Effects of a Bar on the Galactic Disk Kinematics Perpendicular to Its Plane. Galaxies. 2023; 11(5):97. https://doi.org/10.3390/galaxies11050097
Chicago/Turabian StyleKorchagin, Vladimir, Artem Lutsenko, Roman Tkachenko, Giovanni Carraro, and Katherine Vieira. 2023. "Resonant Effects of a Bar on the Galactic Disk Kinematics Perpendicular to Its Plane" Galaxies 11, no. 5: 97. https://doi.org/10.3390/galaxies11050097
APA StyleKorchagin, V., Lutsenko, A., Tkachenko, R., Carraro, G., & Vieira, K. (2023). Resonant Effects of a Bar on the Galactic Disk Kinematics Perpendicular to Its Plane. Galaxies, 11(5), 97. https://doi.org/10.3390/galaxies11050097

