Observational Implications of OJ 287’s Predicted 2022 Disk Impact in the Black Hole Binary Model
Abstract
1. Introduction
2. Disk Impact Simulations
3. Light Curves in 2005 and 2022
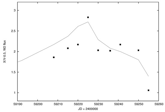
4. Optical vs. X-ray Flare in 2022
5. Spectral Index in 2005 and 2022
6. Expanding Cloud Model
7. Roche Lobe Flares
8. Precursors
9. Gamma-Ray Flares
10. Past and Future Light Curve Events
11. Discussion and Conclusions
Author Contributions
Funding
Data Availability Statement
Acknowledgments
Conflicts of Interest
References
- Sillanpää, A.; Haarala, S.; Valtonen, M.J.; Sundelius, B.; Byrd, G.G. OJ 287: Binary Pair of Supermassive Black Holes. ApJ 1988, 325, 628. [Google Scholar] [CrossRef]
- Hudec, R.; Basta, M.; Pihajoki, P.; Valtonen, M. The historical 1900 and 1913 outbursts of the binary blazar candidate OJ287. Astron. Astrophys. 2013, 559, 20. [Google Scholar] [CrossRef]
- Valtonen, M.J.; Lehto, H.J.; Sillanpää, A.; Nilsson, K.; Mikkola, S.; Hudec, R.; Basta, M.; Teräsranta, H.; Haque, S.; Rampadarath, H. Predicting the Next Outbursts of OJ 287 in 2006–2010. ApJ 2006, 646, 36–48. [Google Scholar] [CrossRef]
- Dey, L.; Valtonen, M.J.; Gopakumar, A.; Zola, S.; Hudec, R.; Pihajoki, P.; Ciprini, S.; Matsumoto, K.; Sadakane, K.; Kidger, M.; et al. Authenticating the Presence of a Relativistic Massive Black Hole Binary in OJ 287 Using Its General Relativity Centenary Flare: Improved Orbital Parameters. ApJ 2018, 866, 11. [Google Scholar] [CrossRef]
- Kidger, M. Cosmological Enigmas: Pulsars, Quasars, and Other Deep-Space Questions; The Johns Hopkins University Press: Baltimore, MD, USA, 2007. [Google Scholar]
- Valtonen, M.J.; Zola, S.; Gopakumar, A.; Lähteenmäki, A.; Tornikoski, M.; Dey, L.; Gupta, A.C.; Pursimo, T.; Knudstrup, E.; Gomez, J.L.; et al. Refining the OJ 287 2022 impact flare arrival epoch. MNRAS 2023, 521, 6143. [Google Scholar] [CrossRef]
- Sundelius, B.; Wahde, M.; Lehto, H.J.; Valtonen, M.J. Long-time Brightness Variations of 0J287 in the Binary Black Hole Model. ASP-CS 1996, 110, 99. [Google Scholar]
- Sundelius, B.; Wahde, M.; Lehto, H.J.; Valtonen, M.J. A Numerical Simulation of the Brightness Variations of OJ 287. ApJ 1997, 484, 180–185. [Google Scholar] [CrossRef]
- Lehto, H.J.; Valtonen, M.J. OJ 287 Outburst Structure and a Binary Black Hole Model. ApJ 1996, 460, 207. [Google Scholar] [CrossRef]
- Dey, L.; Gopakumar, A.; Valtonen, M.; Zola, S.; Susobhanan, A.; Hudec, R.; Pihajoki, P.; Pursimo, T.; Berdyugin, A.; Piirola, V.; et al. The Unique Blazar OJ 287 and Its Massive Binary Black Hole Central Engine. Universe 2019, 5, 108. [Google Scholar] [CrossRef]
- Pietilä, H. Possibilities and Predictions of the OJ 287 Binary Black Hole Model. ApJ 1998, 508, 669. [Google Scholar] [CrossRef]
- Valtonen, M.J.; Sillanpää, A. 2005–2010 Multiwavelength Campaing of OJ287. AcPol 2011, 51, 76. [Google Scholar] [CrossRef] [PubMed]
- Komossa, S.; Grupe, D.; Kraus, A.; Gurwell, M.A.; Haiman, Z.; Liu, F.K.; Tchekhovskoy, A.; Gallo, L.C.; Berton, M.; Gómez, J.L.; et al. Absence of the predicted 2022 October outburst of OJ 287 and implications for binary SMBH scenarios. Mon. Not. R. Astron. Soc. Lett. 2023, 522, L84. [Google Scholar] [CrossRef]
- Smith, P.S.; Balonek, T.J.; Heckert, P.A.; Elston, R.; Schmidt, G.D. UBVRI field comparison stars for selected active quasars and BL Lacertae objects. Astron. J. 1985, 90, 1184–1187. [Google Scholar] [CrossRef]
- Sillanpää, A.; Teerikorpi, P.; Haarala, S.; Korhonen, T.; Efimov, I.S.; Shakhovskoi, N.M. Similar structures in the outbursts of OJ 287 in 1972 and 1983. Astron. Astrophys. 1985, 147, 67–70. [Google Scholar]
- Sillanpää, A.; Takalo, L.O.; Pursimo, T.; Lehto, H.J.; Nilsson, K.; Teerikorpi, P.; Heinämäki, P.; Kidger, M.; de Diego, J.A.; Gonzalez-Perez, J.N.; et al. Confirmation of the 12-year optical outburst cycle in blazar OJ 287. Astron. Astrophys. 1996, 305, L17. [Google Scholar]
- Valtonen, M.J. The OJ 287 binary model and the expected outburst in November 1995. In Proceedings of the Workshop on Two Years of Intensive Monitoring of OJ 287 and 3C 66A, Oxford, UK, 11–14 September 1995; Takalo, L.O., Ed.; University of Turku: Turku, Finland, 1996; 64p. [Google Scholar]
- Sillanpää, A.; Takalo, L.O.; Pursimo, T.; Nilsson, K.; Heinämäki, P.; Katajainen, S.; Pietilä, H.; Hanski, M.; Rekola, R.; Kidger, M.; et al. Double-peak structure in the cyclic optical outbursts of blazar OJ 287. Astron. Astrophys. 1996, 315, L13–L16. [Google Scholar]
- Valtonen, M.J.; Nilsson, K.; Sillanpää, A.; Takalo, L.O.; Lehto, H.J.; Keel, W.C.; Haque, S.; Cornwall, D.; Mattingly, A. The 2005 November Outburst in OJ 287 and the Binary Black Hole Model. ApJ 2006, 643, L9–L12. [Google Scholar] [CrossRef]
- Valtonen, M.J.; Lehto, H.J.; Nilsson, K.; Heidt, J.; Takalo, L.O.; Sillanpää, A.; Villforth, C.; Kidger, M.; Poyner, G.; Pursimo, T.; et al. A massive binary black-hole system in OJ287 and a test of general relativity. Nature 2008, 452, 851–853. [Google Scholar] [CrossRef] [PubMed]
- Valtonen, M.J.; Zola, S.; Ciprini, S.; Gopakumar, A.; Matsumoto, K.; Sadakane, K.; Kidger, M.; Gazeas, K.; Nilsson, K.; Berdyugin, A.; et al. (OJ287-15/16 Collaboration). Primary Black Hole Spin in OJ 287 as Determined by the General Relativity Centenary Flare. ApJ 2016, 819, L37. [Google Scholar] [CrossRef]
- Laine, S.; Dey, L.; Valtonen, M.; Gopakumar, A.; Zola, S.; Komossa, S.; Kidger, M.; Pihajoki, P.; Gomez, J.L.; Caton, D.; et al. Spitzer Observations of the Predicted Eddington Flare from Blazar OJ 287. ApJL 2020, 894, L1. [Google Scholar] [CrossRef]
- Valtonen, M.J. New Orbit Solutions for the Precessing Binary Black Hole Model of OJ 287. ApJ 2007, 659, 1074–1081. [Google Scholar] [CrossRef]
- Valtonen, M.J.; Mikkola, S.; Lehto, H.J.; Gopakumar, A.; Hudec, R.; Polednikova, J. Testing the Black Hole No-hair Theorem with OJ287. ApJ 2011, 742, 22. [Google Scholar] [CrossRef]
- Pihajoki, P.; Valtonen, M.; Ciprini, S. Short time-scale periodicity in OJ 287. Mon. Not. R. Astron. Soc. Lett. 2013, 434, 3122–3129. [Google Scholar] [CrossRef]
- Valtonen, M.J.; Lehto, H.J.; Takalo, L.O.; Sillanpää, A. Testing the 1995 Binary Black Hole Model of OJ287. ApJ 2011, 729, 33. [Google Scholar] [CrossRef]
- Valtonen, M.J.; Zola, S.; Jermak, H.; Ciprini, S.; Hudec, R.; Dey, L.; Gopakumar, A.; Reichart, D.; Caton, D.; Gazeas, K.; et al. Polarization and Spectral Energy Distribution in OJ 287 during the 2016/17 Outbursts. Galaxies 2017, 5, 83. [Google Scholar] [CrossRef]
- Komossa, S.; Grupe, D.; Parker, M.L.; Valtonen, M.J.; Gómez, J.L.; Gopakumar, A.; Dey, L. The 2020 April-June super-outburst of OJ 287 and its long-term multiwavelength light curve with Swift: Binary supermassive black hole and jet activity. MNRAS 2020, 498, L35. [Google Scholar] [CrossRef]
- Valtonen, M.J.; Dey, L.; Gopakumar, A.; Zola, S.; Komossa, S.; Pursimo, T.; Gomez, J.L.; Hudec, R.; Jermak, H.; Berdyugin, A.V. Promise of Persistent Multi-Messenger Astronomy with the Blazar OJ 287. Galaxies 2021, 10, 1. [Google Scholar] [CrossRef]
- Valtonen, M.J.; Ciprini, S.; Lehto, H.J. On the masses of OJ287 black holes. Mon. Not. R. Astron. Soc. Lett. 2012, 427, 77–83. [Google Scholar] [CrossRef]
- Valtonen, M.J.; Zola, S.; Gopakumar, A.; Lähteenmäki, A.; Tornikoski, M.; Dey, L.; Gupta, A.C.; Pursimo, T.; Knudstrup, E.; Gomez, J.L.; et al. On the need of an ultramassive black hole in OJ 287. Mon. Not. R. Astron. Soc. Lett. 2023, submitted.
- Gondolo, P.; Silk, J. Dark Matter Annihilation at the Galactic Center. Phys. Rev. Lett. 1999, textit83, 1719–1722. [Google Scholar] [CrossRef]
- Dey, L.; Valtonen, M.J.; Gopakumar, A.; Lico, R.; Gomez, J.; Susobhanan, A.; Komossa, S.; Pihajoki, P. Explaining temporal variations in the jet PA of the blazar OJ 287 using its BBH central engine model. Mon. Not. R. Astron. Soc. Lett. 2021, 503, 4400–4412. [Google Scholar] [CrossRef]
- van der Laan, H. Expansion Models of Eruptions in Quasars and Radio Galaxies. In Pontificiae Academiae Scientiarum Scripta Varia, Proceedings of a Study Week on Nuclei of Galaxies, Rome, Italy, 13–18 April 1970; O’Connell, D.J.K., Ed.; North Holland: Amsterdam, The Netherlands; Elsevier: New York, NY, USA, 1971; p. 245. [Google Scholar]
- Ivanov, P.B.; Igumenshchev, I.V.; Novikov, I.D. Hydrodynamics of Black Hole-Accretion Disk Collision. ApJ 1998, 507, 131–144. [Google Scholar] [CrossRef]
- Valtonen, M.J.; Mikkola, S.; Merritt, D.; Gopakumar, A.; Lehto, H.J.; Hyvönen, T.; Rampadarath, H.; Saunders, R.; Basta, M.; Hudec, R. Measuring the Spin of the Primary Black Hole in OJ287. ApJ 2010, 709, 725. [Google Scholar] [CrossRef]
- Valtonen, M.J.; Zola, S.; Pihajoki, P.; Enestam, S.; Lehto, H.J.; Dey, L.; Gopakumar, A.; Drozdz, M.; Ogloza, W.; Zejmo, M.; et al. Accretion Disk Parameters Determined from the Great 2015 Flare of OJ 287. ApJ 2019, 882, 88. [Google Scholar] [CrossRef]
- Komossa, S.; Grupe, D.; Kraus, A.; Gonzalez, A.; Gallo, L.C.; Valtonen, M.J.; Laine, S.; Krichbaum, T.P.; Gurwell, M.A.; Gómez, J.L.; et al. MOMO - V. Effelsberg, Swift, and Fermi study of the blazar and supermassive binary black hole candidate OJ 287 in a period of high activity. Mon. Not. R. Astron. Soc. Lett. 2022, 513, 3165. [Google Scholar] [CrossRef]
- Pacholczyk, A.G. Radio Astrophysics; W.H. Freeman and Company: San Francisco, CA, USA, 1970. [Google Scholar]
- Zheng, Y.G.; Zhang, X.; Bi, X.W.; Hao, J.M.; Zhang, H.J. Long-term optical spectra variability of BL Lacertae object OJ 287. Mon. Not. R. Astron. Soc. Lett. 2008, 385, 823. [Google Scholar] [CrossRef]
- Ciprini, S.; Rizzi, N. OJ 287 colors during a multifrequency campaign. In Proceedings of the Workshop on Blazar Variability across the Electromagnetic Spectrum, Palaiseau, France, 22–25 April 2008; Available online: http://pos.sissa.it (accessed on 28 June 2023).
- Villforth, C.; Nilsson, K.; Heidt, J.; Takalo, L.O.; Pursimo, T.; Berdyugin, A.; Lindfors, E.; Pasanen, M.; Winiarski, M.; Drozdz, M.; et al. Variability and stability in blazar jets on time-scales of years: Optical polarization monitoring of OJ 287 in 2005–2009. Mon. Not. R. Astron. Soc. Lett. 2010, 402, 2087–2111. [Google Scholar] [CrossRef]
- Sakimoto, P.J.; Coroniti, F.V. Accretion disk models for QSOs and active galactic nuclei—The role of magnetic viscosity. ApJ 1981, 247, 19. [Google Scholar] [CrossRef]
- Stella, L.; Rosner, R. Magnetic field instabilities in accretion disks. ApJ 1984, 277, 312. [Google Scholar] [CrossRef]
- Jiang, Y.-F.; Blaes, O.; Stone, J.M.; Davis, S.W. Global Radiation Magnetohydrodynamic Simulations of sub-Eddington Accretion Disks around Supermassive Black Holes. ApJ 2019, textit885, 144. [Google Scholar] [CrossRef]
- Savolainen, T.; Wiik, K.; Valtaoja, E.; Tornikoski, M. Magnetic Field Structure in the Parsec Scale Jet of 3C 273 from Multifrequency VLBA Observations. ASPC 2008, 386, 451. [Google Scholar]
- Raiteri, C.M.; Villata, M. Polarimetric Properties of Blazars Caught by the WEBT. Galaxies 2021, 9, 42. [Google Scholar] [CrossRef]
- Marscher, A.P.; Jorstad, S.G. The Megaparsec-scale X-ray Jet of The BL Lac Object OJ287. ApJ 2011, 729, 26. [Google Scholar] [CrossRef]
- Valtonen, M.J.; Wiik, K. Optical polarization angle and VLBI jet direction in the binary black hole model of OJ287. Mon. Not. R. Astron. Soc. Lett. 2012, 421, 1861–1867. [Google Scholar] [CrossRef]
- Valtonen, M.J.; Pihajoki, P. A helical jet model for OJ287. Astron. Astrophys. 2013, 557, A28. [Google Scholar] [CrossRef]
- Agudo, I.; Marscher, A.P.; Jorstad, S.G.; Gomez, J.L.; Perucho, M.; Piner, P.G.; Rioja, M.; Dodson, R. Erratic Jet Wobbling in the BL Lacertae Object OJ287 Revealed by Sixteen Years of 7 mm VLBA Observations. ApJ 2011, 747, 63. [Google Scholar] [CrossRef]
- Villata, M.; Raiteri, C.M.; Sillanpää, A.; Takalo, L.O. A beaming model for the OJ 287 periodic optical outbursts. Mon. Not. R. Astron. Soc. Lett. 1998, 293, L13–L16. [Google Scholar] [CrossRef]
- Pihajoki, P.; Valtonen, M.; Zola, S.; Liakos, A.; Drozdz, M.; Winiarski, M.; Ogloza, W.; Koziel-Wierzbowska, D.; Provencal, J.; Nilsson, K.; et al. Precursor Flares in OJ 287. ApJ 2013, 764, 5. [Google Scholar] [CrossRef]
- Ghosh, P.; Abramowicz, M.A. Electromagnetic extraction of rotational energy from disc-fed black holes: The strength of the Blandford-Znajek process. Mon. Not. R. Astron. Soc. Lett. 1997, 292, 887. [Google Scholar] [CrossRef]
- Hovatta, T.; Valtaoja, E.; Tornikoski, M.; Lähteenmäki, A. Doppler factors, Lorentz factors and viewing angles for quasars, BL Lacertae objects and radio galaxies. Astron. Astrophys. 2009, 494, 527. [Google Scholar] [CrossRef]
- Gomez, J.L.; Traianou, E.; Krichbaum, T.P.; Lobanov, A.; Fuentes, A.; Lico, R.; Zhao, G.-Y.; Bruni, G.; Kovalev, Y.Y.; Lähteenmäki, A.; et al. Probing the Innermost Regions of AGN Jets and Their Magnetic Fields with RadioAstron. V. Space and Ground Mllimeter-VLBI Imaging of OJ 287. ApJ 2022, 924, 122. [Google Scholar] [CrossRef]
- Zeng, W.; Zhao, Q.-J.; Jiang, Z.-J.; Kong, Z.-H.; Liu, Z.; Wang, D.-D.; Geng, X.-F.; Yang, S.-B.; Dai, B.-Z. Intra-Night Variability of OJ287 with Long-Term Multiband Optical Monitoring. Galaxies 2017, 5, 85. [Google Scholar] [CrossRef]
- Pursimo, T.; Takalo, L.O.; Sillanpää, A.; Kidger, M.; Lehto, H.J.; Heidt, J.; Charles, P.A.; Aller, H.; Aller, M.; Beckmann, V.; et al. Intensive monitoring of OJ 287. Astron. Astrophys. Suppl. Ser. 2000, 146, 141–155. [Google Scholar] [CrossRef]
- Pursimo, T.; Takalo, L.O.; Sillanpää, A.; Kidger, M.; Lehto, H.J.; Heidt, J.; Charles, P.A.; Aller, H.; Aller, M.; Beckmann, V.; et al. VizieR Online Data Catalog: Intensive monitoring of OJ 287 (Pursimo+, 2000). VizieR -Line Data Cat. J/A+AS/ 2000, 146, 141. [Google Scholar]
- Kidger, M.; Takalo, L.; Mattei, J.; Wills, D.; York, D.; Boltwood, P.; Poyner, G.; Sakuma, S. OJ 287. IAUC 1993, 5909, 1. [Google Scholar]
- Kidger, M.R.; Gonzalez-Perez, J.N.; de Diego, J.A.; Zapatero-Osorio, M.R.; Hammersley, P.L.; Cepa, J.; Devaney, N.; Sahu, K.; Vidal, I. A large optical and infrared outburst in OJ 287. Astron. Astrophys. Suppl. Ser. 1995, 113, 431. [Google Scholar]
- Abdo, A.A.; Ackermann, M.; Ajello, M.; Atwood, W.B.; Axelsson, M.; Baldini, L.; Ballet, J.; Barbiellini, G.; Bastieri, D.; Baughman, B.M.; et al. Bright Active Galactic Nuclei Source List from the First Three Months of the Fermi Large Area Telescope All-Sky Survey. ApJ 2009, 700, 597–622. [Google Scholar] [CrossRef]
- Agudo, I.; Jorstad, S.G.; Marscher, A.P.; Larionov, V.M.; Gomez, J.L.; Lähteenmäki, A.; Gurwell, M.; Smith, P.S.; Wiesemeyer, H.; Thum, C.; et al. Location of γ-ray Flare Emission in the Jet of the BL Lacertae Object OJ287 More than 14 pc from the Central Engine. ApJ 2011, 726, L13. [Google Scholar] [CrossRef]
- Hodgson, J.A.; Krichbaum, T.P.; Marscher, A.P.; Jorstad, S.G.; Rani, B.; Marti-Vidal, I.; Bach, U.; Sanchez, S.; Bremer, M.; Lindqvist, M.; et al. Location of γ-ray emission and magnetic field strengths in OJ 287. Astron. Astrophys. 2017, 597, A80. [Google Scholar] [CrossRef]
- Araudo, A.T.; Bosch-Ramon, V.; Romero, G.E. Gamma rays from cloud penetration at the base of AGN jets. Astron. Astrophys. 2010, 522, 97. [Google Scholar] [CrossRef]
- Sbarrato, T.; Ghisellini, G.; Maraschi, L.; Colpi, M. The relation between broad lines and γ-ray luminosities in Fermi blazars. Mon. Not. R. Astron. Soc. Lett. 2012, 421, 1764. [Google Scholar] [CrossRef]
- Banasinski, P.; Bednarek, W.; Sitarek, J. Orphan γ-ray flares from relativistic blobs encountering luminous stars. Mon. Not. R. Astron. Soc. Lett. 2016, 463, L26. [Google Scholar] [CrossRef]
- Bednarek, W.; Sitarek, J. Absorption effects in the blazar’s γ-ray spectra due to luminous stars crossing the jet. Mon. Not. R. Astron. Soc. Lett. 2021, 503, 2423. [Google Scholar] [CrossRef]
- Abdalla, H.; Adam, R.; Aharonian, F.; Benkhali, F.A.; Angüner, E.O.; Arcaro, C.; Arm, C.; Armstrong, T.; Ashkar, H.; Backes, M. et al. [H.E.S.S. Collaboration] H.E.S.S. and MAGIC observations of a sudden cessation of a very-high-energy γ-ray flare in PKS 1510–089 in May 2016. Astron. Astrophys. 2021, 648, 23. [Google Scholar] [CrossRef]
- Saito, S.; Stawarz, L.; Tanaka, Y.T.; Takahashi, T.; Madejski, G.; D’Ammando, F. Very Rapid High-amplitude Gamma-Ray Variability in Luminous Blazar PKS 1510-089 Studied with Fermi-LAT. ApJ 2013, 766, L11. [Google Scholar] [CrossRef]
- Saito, S.; Stawarz, L.; Tanaka, Y.T.; Takahashi, T.; Sikora, M.; Moderski, R. Time-dependent Modeling of Gamma-Ray Flares in Blazar PKS1510–089. ApJ 2015, 809, 171. [Google Scholar] [CrossRef]













| Telescope | Measurement |
|---|---|
| Atlas | R-band |
| Skynet | R-band |
| Krakow | R-band |
| Osaka | R-band |
| Mt. Suhora | R-band |
| Jena | R-band |
| NOT | R-band |
| Liverpool-La Palma | polarisation |
| Hiroshima | polarisation |
| Turku-Hawaii | polarisation |
| Ondrejov | BVRI spectrum |
| NASA-Swift | UV and X-rays |
| NASA-Fermi | gamma-rays |
| Metsähovi | radio |
| Year | Imp Time | Precursor | Roche-Lobe | Blue Flash | Imp Flare | Tidal Flare |
|---|---|---|---|---|---|---|
| 1971 | 1971.13 | 1970.77 | 1971.10 | 1971.17 | 1971.13 | 1971.85 |
| 1973 | 1972.69 | 1971.77 | (1972.59) | 1972.77 | 1972.93 | 1974.5 |
| 1983 | 1982.96 | 1982.53 | 1982.92 | 1983.00 | 1982.96 | 1983.9 |
| 1984 | 1984.06 | —— | (1984.01) | 1984.11 | 1984.12 | 1985.1 |
| 1994 | 1994.53 | 1993.92 | 1994.46 | 1994.60 | 1994.59 | 1995.6 |
| 1995 | 1995.81 | —— | (1995.78) | 1995.85 | 1995.84 | 1996.6 |
| 2005 | 2005.17 | 2004.19 | 2004.98 | 2005.28 | 2005.74 | 2007.7 |
| 2007 | 2007.67 | 2007.28 | (2007.64) | 2007.70 | 2007.69 | 2008.45 |
| 2015 | 2013.56 | 2012.20 | 2013.22 | 2013.62 | 2015.87 | 2017.2 |
| 2019 | 2019.55 | 2019.20 | (2019.52) | 2019.58 | 2019.57 | 2020.3 |
| 2022 | 2022.04 | 2020.93 | 2021.86 | 2022.15 | 2022.52 | 2024.5 |
| 2031 | 2031.38 | 2031.01 | (2031.35) | 2031.42 | 2031.41 | 2032.3 |
| 2032 | 2032.67 | —— | 2032.60 | 2032.74 | 2032.73 | 2034.1 |
| 2043 | 2043.09 | 2042.62 | (2043.04) | 2043.14 | 2043.15 | 2044.1 |
| 2044 | 2044.19 | —— | 2044.15 | 2044.23 | 2044.20 | 2045.1 |
Disclaimer/Publisher’s Note: The statements, opinions and data contained in all publications are solely those of the individual author(s) and contributor(s) and not of MDPI and/or the editor(s). MDPI and/or the editor(s) disclaim responsibility for any injury to people or property resulting from any ideas, methods, instructions or products referred to in the content. |
© 2023 by the authors. Licensee MDPI, Basel, Switzerland. This article is an open access article distributed under the terms and conditions of the Creative Commons Attribution (CC BY) license (https://creativecommons.org/licenses/by/4.0/).
Share and Cite
Valtonen, M.J.; Dey, L.; Gopakumar, A.; Zola, S.; Lähteenmäki, A.; Tornikoski, M.; Gupta, A.C.; Pursimo, T.; Knudstrup, E.; Gomez, J.L.; et al. Observational Implications of OJ 287’s Predicted 2022 Disk Impact in the Black Hole Binary Model. Galaxies 2023, 11, 82. https://doi.org/10.3390/galaxies11040082
Valtonen MJ, Dey L, Gopakumar A, Zola S, Lähteenmäki A, Tornikoski M, Gupta AC, Pursimo T, Knudstrup E, Gomez JL, et al. Observational Implications of OJ 287’s Predicted 2022 Disk Impact in the Black Hole Binary Model. Galaxies. 2023; 11(4):82. https://doi.org/10.3390/galaxies11040082
Chicago/Turabian StyleValtonen, Mauri J., Lankeswar Dey, Achamveedu Gopakumar, Staszek Zola, Anne Lähteenmäki, Merja Tornikoski, Alok C. Gupta, Tapio Pursimo, Emil Knudstrup, Jose L. Gomez, and et al. 2023. "Observational Implications of OJ 287’s Predicted 2022 Disk Impact in the Black Hole Binary Model" Galaxies 11, no. 4: 82. https://doi.org/10.3390/galaxies11040082
APA StyleValtonen, M. J., Dey, L., Gopakumar, A., Zola, S., Lähteenmäki, A., Tornikoski, M., Gupta, A. C., Pursimo, T., Knudstrup, E., Gomez, J. L., Hudec, R., Jelínek, M., Štrobl, J., Berdyugin, A. V., Ciprini, S., Reichart, D. E., Kouprianov, V. V., Matsumoto, K., Drozdz, M., ... Uemura, M. (2023). Observational Implications of OJ 287’s Predicted 2022 Disk Impact in the Black Hole Binary Model. Galaxies, 11(4), 82. https://doi.org/10.3390/galaxies11040082

