Hawking Radiation and Lifetime of Primordial Black Holes in Braneworld
Abstract
1. Introduction
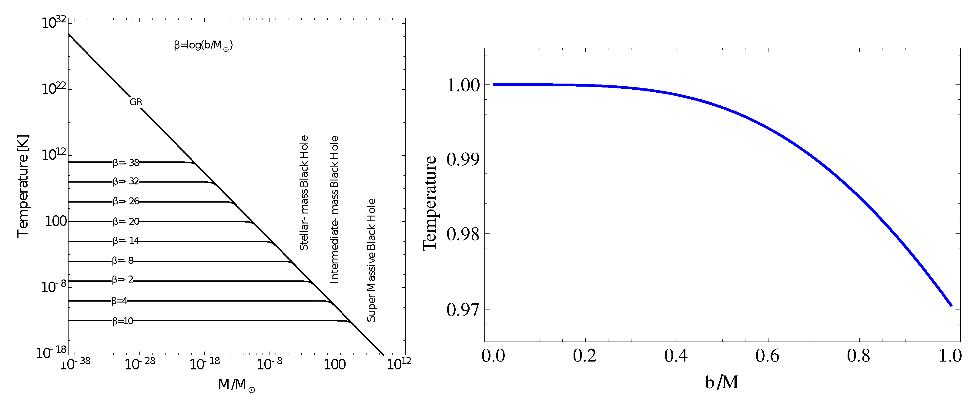
2. Lifetime of PBH in the Braneworld
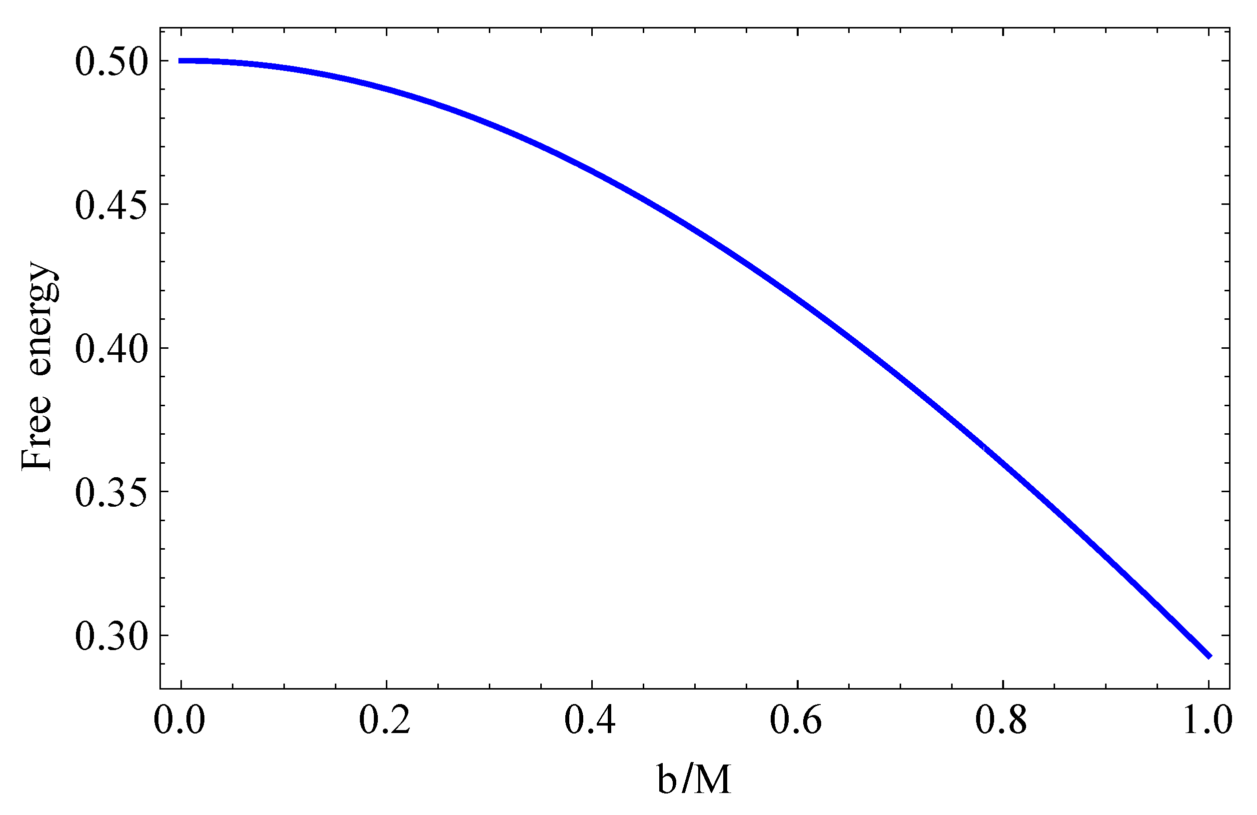
3. Thermodynamic Properties of PBH in the Braneworld
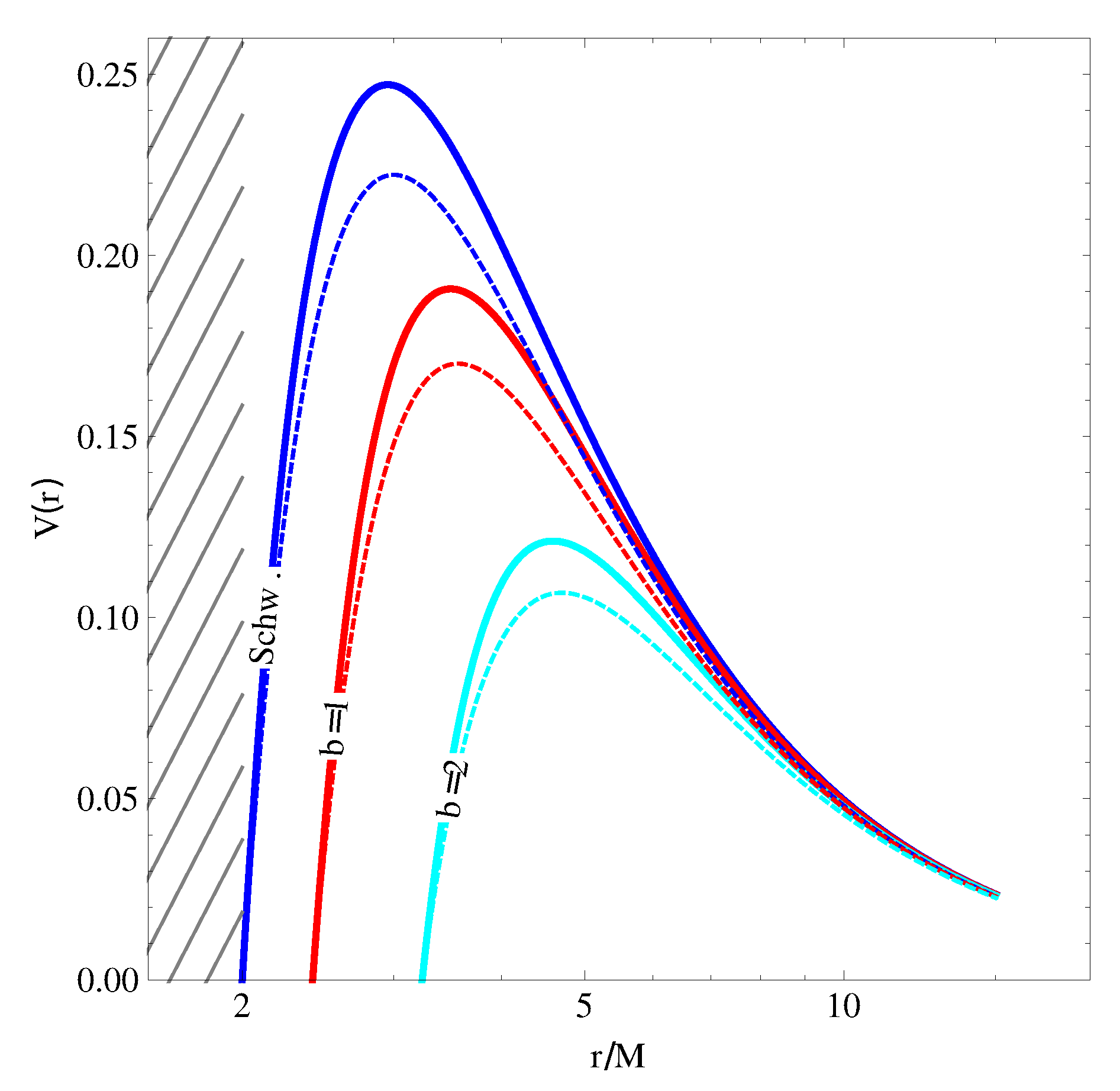
4. Emission Rate and Grey-Body Factor
5. Conclusions
- We have studied the thermodynamic properties of PBHs within the braneworld model, taking into account the effect of brane tension. Through our analysis, we were able to derive exact analytical expressions for various thermodynamic quantities including temperature, entropy, Bekenstein–Hawking entropy, specific heat, heat capacity, and free energy.
- We have also investigated the impact of the braneworld scenario on the Hawking radiation and the lifetime of PBHs. Our findings indicate that PBHs in the early universe experienced a shortened lifetime by at least one order of magnitude, leading to early evaporation. This early evaporation could explain the absence of specific high-energy bursts associated with PBH evaporation in the recent epoch of the universe.
- Finally, we have investigated the grey-body factor, which characterizes the efficiency of a black hole to emit Hawking radiation, by determining the transmission and reflection coefficients. To obtain these coefficients, we have employed the Regge–Wheeler equation for massless scalar () and vector () fields. Our analysis has revealed that in the braneworld scenario, the transmission and reflection coefficient curves intersect each other, even in the low frequency regime, which has implications for the behavior of Hawking radiation from PBHs. Moreover, we have found that for the scalar field case, the intersection of the transmission and reflection coefficient curves occurs at larger values of the brane tension parameter compared to the vector field case.
Author Contributions
Funding
Institutional Review Board Statement
Informed Consent Statement
Data Availability Statement
Acknowledgments
Conflicts of Interest
References
- Ivanov, P.; Naselsky, P.; Novikov, I. Inflation and primordial black holes as dark matter. Phys. Rev. D 1994, 50, 7173–7178. [Google Scholar] [CrossRef] [PubMed]
- Carr, B.J.; Gilbert, J.H.; Lidsey, J.E. Black hole relics and inflation: Limits on blue perturbation spectra. Phys. Rev. D 1994, 50, 4853–4867. [Google Scholar] [CrossRef] [PubMed]
- García-Bellido, J.; Linde, A.; Wands, D. Density perturbations and black hole formation in hybrid inflation. Phs. Rev. D 1996, 54, 6040–6058. [Google Scholar] [CrossRef] [PubMed]
- Yokoyama, J. Formation of MACHO-primordial black holes in inflationary cosmology. Astron. Astrophys. 1997, 318, 673–679. [Google Scholar]
- Yokoyama, J. Chaotic new inflation and formation of primordial black holes. Phys. Rev. D 1998, 58, 083510. [Google Scholar] [CrossRef]
- Yokoyama, J. Formation of primordial black holes in the inflationary universe. Phys. Rep. 1998, 307, 133–139. [Google Scholar] [CrossRef]
- Kawasaki, M.; Yanagida, T. Primordial black hole formation in supergravity. Phys. Rev. D 1999, 59, 043512. [Google Scholar] [CrossRef]
- Alabidi, L.; Kohri, K. Generating primordial black holes via hilltop-type inflation models. Phys. Rev. D 2009, 80, 063511. [Google Scholar] [CrossRef]
- Hawking, S. Gravitationally collapsed objects of very low mass. Mon. Not. R. Astron. Soc. 1971, 152, 75. [Google Scholar] [CrossRef]
- Carr, B.J. The primordial black hole mass spectrum. Astrophys. J. 1975, 201, 1–19. [Google Scholar] [CrossRef]
- Khlopov, M.Y.; Polnarev, A.G. Primordial black holes as a cosmological test of grand unification. Phys. Lett. B 1980, 97, 383–387. [Google Scholar] [CrossRef]
- Niemeyer, J.C.; Jedamzik, K. Near-Critical Gravitational Collapse and the Initial Mass Function of Primordial Black Holes. Phys. Rev. Lett. 1998, 80, 5481–5484. [Google Scholar] [CrossRef]
- Niemeyer, J.C.; Jedamzik, K. Dynamics of primordial black hole formation. Phys. Rev. D 1999, 59, 124013. [Google Scholar] [CrossRef]
- Jedamzik, K.; Niemeyer, J.C. Primordial black hole formation during first-order phase transitions. Phys. Rev. D 1999, 59, 124014. [Google Scholar] [CrossRef]
- Nozari, K. A possible mechanism for production of primordial black holes in early universe. Astropart. Phys. 2007, 27, 169–173. [Google Scholar] [CrossRef]
- Musco, I.; Miller, J.C.; Rezzola, L. Computations of primordial black-hole formation. Class. Quantum Gravity 2005, 22, 1405–1424. [Google Scholar] [CrossRef]
- Musco, I.; Miller, J.C.; Polnarev, A.G. Primordial black hole formation in the radiative era: Investigation of the critical nature of the collapse. Class. Quantum Gravity 2009, 26, 235001. [Google Scholar] [CrossRef]
- Musco, I.; Miller, J.C. Primordial black hole formation in the early universe: Critical behaviour and self-similarity. Class. Quantum Gravity 2013, 30, 145009. [Google Scholar] [CrossRef]
- Hawking, S.W. Black holes from cosmic strings. Phys. Lett. B 1989, 231, 237–239. [Google Scholar] [CrossRef]
- Polnarev, A.; Zembowicz, R. Formation of primordial black holes by cosmic strings. Phys. Rev. D 1991, 43, 1106–1109. [Google Scholar] [CrossRef]
- Hawking, S.W.; Moss, I.G.; Stewart, J.M. Bubble collisions in the very early universe. Phys. Rev. D 1982, 26, 2681–2693. [Google Scholar] [CrossRef]
- Crawford, M.; Schramm, D.N. Spontaneous generation of density perturbations in the early Universe. Nature 1982, 298, 538–540. [Google Scholar] [CrossRef]
- Kodama, H.; Sasaki, M.; Sato, K. Abundance of Primordial Holes Produced by Cosmological First-Order Phase Transition. Prog. Theor. Phys. 1982, 68, 1979–1998. [Google Scholar] [CrossRef]
- Zel’dovich, Y.B.; Novikov, I.D. The Hypothesis of Cores Retarded during Expansion and the Hot Cosmological Model. Astron. Zhurnal 1966, 43, 758. [Google Scholar]
- Carr, B.J.; MacGibbon, J.H. Cosmic rays from primordial black holes and constraints on the early universe. Phys. Rep. 1998, 307, 141–154. [Google Scholar] [CrossRef]
- Hawking, S.W. Black hole explosions? Nature 1974, 248, 30–31. [Google Scholar] [CrossRef]
- Carr, B.J.; Kohri, K.; Sendouda, Y.; Yokoyama, J. New cosmological constraints on primordial black holes. Phys. Rev. D 2010, 81, 104019. [Google Scholar] [CrossRef]
- Clesse, S.; García-Bellido, J. Massive primordial black holes from hybrid inflation as dark matter and the seeds of galaxies. Phys. Rev. D 2015, 92, 023524. [Google Scholar] [CrossRef]
- Bird, S.; Cholis, I.; Muñoz, J.B.; Ali-Haïmoud, Y.; Kamionkowski, M.; Kovetz, E.D.; Raccanelli, A.; Riess, A.G. Did LIGO Detect Dark Matter? Phys. Rev. Lett. 2016, 116, 201301. [Google Scholar] [CrossRef]
- Clesse, S.; García-Bellido, J. The clustering of massive Primordial Black Holes as Dark Matter: Measuring their mass distribution with advanced LIGO. Phys. Dark Universe 2017, 15, 142–147. [Google Scholar] [CrossRef]
- Sasaki, M.; Suyama, T.; Tanaka, T.; Yokoyama, S. Primordial Black Hole Scenario for the Gravitational-Wave Event GW150914. Phys. Rev. Lett. 2016, 117, 061101. [Google Scholar] [CrossRef] [PubMed]
- Kashlinsky, A. LIGO Gravitational Wave Detection, Primordial Black Holes, and the Near-IR Cosmic Infrared Background Anisotropies. Astrophys. J. Lett. 2016, 823, L25. [Google Scholar] [CrossRef]
- Stojkovic, D.; Freese, K.; Starkman, G.D. Holes in the walls: Primordial black holes as a solution to the cosmological domain wall problem. Phys. Rev. D 2005, 72, 045012. [Google Scholar] [CrossRef]
- Stojkovic, D.; Freese, K. A black hole solution to the cosmological monopole problem. Phys. Lett. B 2005, 606, 251–257. [Google Scholar] [CrossRef]
- Khlopov, M.; Paik, B.; Ray, S. Revisiting Primordial Black Hole Evolution. Axioms 2020, 9, 71. [Google Scholar] [CrossRef]
- Randall, L.; Sundrum, R. Large Mass Hierarchy from a Small Extra Dimension. Phys. Rev. Lett. 1999, 83, 3370–3373. [Google Scholar] [CrossRef]
- Dadhich, N.; Maartens, R.; Papadopoulos, P.; Rezania, V. Black holes on the brane. Phys. Lett. B 2000, 487, 1–6. [Google Scholar] [CrossRef]
- Casadio, R.; Fabbri, A.; Mazzacurati, L. New black holes in the brane world? Phys. Rev. D 2002, 65, 084040. [Google Scholar] [CrossRef]
- Casadio, R.; Mazzacurati, L. Bulk Shape of Brane-World Black Holes. Mod. Phys. Lett. A 2003, 18, 651–660. [Google Scholar] [CrossRef]
- Bronnikov, K.; Melnikov, V.; Dehnen, H. General class of brane-world black holes. Phys. Rev. D 2003, 68, 024025. [Google Scholar] [CrossRef]
- Bozza, V. Gravitational lensing in the strong field limit. Phys. Rev. D 2002, 66, 103001. [Google Scholar] [CrossRef]
- Eiroa, E.F. Braneworld Black Holes as Gravitational Lenses. Braz. J. Phys. 2005, 35, 1113–1116. [Google Scholar] [CrossRef]
- Whisker, R. Strong gravitational lensing by braneworld black holes. Phys. Rev. D 2005, 71, 064004. [Google Scholar] [CrossRef]
- Keeton, C.R.; Petters, A.O. Formalism for testing theories of gravity using lensing by compact objects. III. Braneworld gravity. Phys. Rev. D 2006, 73, 104032. [Google Scholar] [CrossRef]
- Schee, J.; Stuchlík, Z. Optical Phenomena in the Field of Braneworld Kerr Black Holes. Int. J. Mod. Phys. D 2009, 18, 983–1024. [Google Scholar] [CrossRef]
- Aliev, A.N.; Gümrükçüoǧlu, A.E. Charged rotating black holes on a 3-brane. Phys. Rev. D 2005, 71, 104027. [Google Scholar] [CrossRef]
- Abdujabbarov, A.; Ahmedov, B. Test particle motion around a black hole in a braneworld. Phys. Rev. D 2010, 81, 044022. [Google Scholar] [CrossRef]
- Turimov, B. Electromagnetic fields in vicinity of tidal charged static black hole. Int. J. Mod. Phys. D 2018, 27, 1850092. [Google Scholar] [CrossRef]
- Stuchlík, Z.; Blaschke, M.; Schee, J. Particle collisions and optical effects in the mining Kerr-Newman spacetimes. Phys. Rev. D 2017, 96, 104050. [Google Scholar] [CrossRef]
- Ahmedov, B.J.; Fattoyev, F.J. Magnetic fields of spherical compact stars in a braneworld. Phys. Rev. D 2008, 78, 047501. [Google Scholar] [CrossRef]
- Morozova, V.S.; Ahmedov, B.J. Electromagnetic fields of slowly rotating compact magnetized stars in braneworld. Astrophys. Space Sci. 2011, 333, 133–142. [Google Scholar] [CrossRef]
- Turimov, B.V.; Ahmedov, B.J.; Hakimov, A.A. Stationary electromagnetic fields of slowly rotating relativistic magnetized star in the braneworld. Phys. Rev. D 2017, 96, 104001. [Google Scholar] [CrossRef]
- Turimov, B.; Ahmedov, B.; Abdujabbarov, A.; Bambi, C. Electromagnetic fields of slowly rotating magnetized compact stars in conformal gravity. Phys. Rev. D 2018, 97, 124005. [Google Scholar] [CrossRef]
- Rayimbaev, J.; Turimov, B.; Ahmedov, B. Braneworld effects in plasma magnetosphere of a slowly rotating magnetized neutron star. Int. J. Mod. Phys. D 2019, 28, 1950128. [Google Scholar] [CrossRef]
- Rayimbaev, J.; Turimov, B.; Palvanov, S. Plasma magnetosphere of slowly rotating magnetized neutron star in branewold. Int. J. Mod. Phys. Conf. Ser. 2019, 49, 1960019. [Google Scholar] [CrossRef]
- Kotrlová, A.; Stuchlík, Z.; Török, G. Quasiperiodic oscillations in a strong gravitational field around neutron stars testing braneworld models. Class. Quantum Gravity 2008, 25, 225016. [Google Scholar] [CrossRef]
- Stuchlík, Z.; Kotrlová, A. Orbital resonances in discs around braneworld Kerr black holes. Gen. Relativ. Gravit. 2009, 41, 1305–1343. [Google Scholar] [CrossRef]
- Pun, C.S.J.; Kovács, Z.; Harko, T. Thin accretion disks onto brane world black holes. Phys. Rev. D 2008, 78, 084015. [Google Scholar] [CrossRef]
- Schee, J.; Stuchlík, Z. Profiles of emission lines generated by rings orbiting braneworld Kerr black holes. Gen. Relativ. Gravit. 2009, 41, 1795–1818. [Google Scholar] [CrossRef]
- Gergely, L.Á.; Darázs, B. Weak gravitational lensing in brane-worlds. Publ. Astron. Dep. Eotvos Lorand Univ. 2006, 17, 213. [Google Scholar]
- Gergely, L.Á.; Keresztes, Z.; Dwornik, M. Second-order light deflection by tidal charged black holes on the brane. Class. Quantum Gravity 2009, 26, 145002. [Google Scholar] [CrossRef]
- Toshmatov, B.; Stuchlík, Z.; Schee, J.; Ahmedov, B. Quasinormal frequencies of black hole in the braneworld. Phys. Rev. D 2016, 93, 124017. [Google Scholar] [CrossRef]
- Germani, C.; Maartens, R. Stars in the braneworld. Phys. Rev. D 2001, 64, 124010. [Google Scholar] [CrossRef]
- Hawking, S.W. The quantum mechanics of black holes. Sci. Am. 1977, 236, 34–40. [Google Scholar] [CrossRef]
- Barvinsky, A.O.; Vilkovisky, G.A. The generalized Schwinger-DeWitt technique and the unique effective action in quantum gravity. Phys. Lett. B 1983, 131, 313–318. [Google Scholar] [CrossRef]
- Ma, Y.; Zhang, Y.; Zhang, L.; Wu, L.; Huang, Y.; Pan, Y. Thermodynamic properties of higher-dimensional dS black holes in dRGT massive gravity. Eur. Phys. J. C 2020, 80, 213. [Google Scholar] [CrossRef]
- Hawking, S.W. Black holes and thermodynamics. Phys. Rev. D 1976, 13, 191–197. [Google Scholar] [CrossRef]
- Hawking, S.W. Particle creation by black holes. Commun. Math. Phys. 1976, 46, 206. [Google Scholar] [CrossRef]
- Halzen, F.; Zas, E.; MacGibbon, J.H.; Weekes, T.C. Gamma rays and energetic particles from primordial black holes. Nature 1991, 353, 807–815. [Google Scholar] [CrossRef]
- Chakrabarty, H.; Abdujabbarov, A.; Bambi, C. Scalar perturbations and quasi-normal modes of a nonlinear magnetic-charged black hole surrounded by quintessence. Eur. Phys. J. C 2019, 79, 179. [Google Scholar] [CrossRef]
- Boonserm, P.; Visser, M. Bounding the greybody factors for Schwarzschild black holes. Phys. Rev. D 2008, 78, 101502. [Google Scholar] [CrossRef]
- Boonserm, P.; Ngampitipan, T.; Visser, M. Regge-Wheeler equation, linear stability, and greybody factors for dirty black holes. Phys. Rev. D 2013, 88, 041502. [Google Scholar] [CrossRef]
- Ngampitipan, T.; Boonserm, P. Bounding the Greybody Factors for Non-Rotating Black Holes. Int. J. Mod. Phys. D 2013, 22, 1350058. [Google Scholar] [CrossRef]
- Ngampitipan, T.; Boonserm, P. Bounding the greybody factors for the Reissner-Nordström black holes. J. Phys. Conf. Ser. 2013, 435, 012027. [Google Scholar] [CrossRef]
- Boonserm, P.; Chatrabhuti, A.; Ngampitipan, T.; Visser, M. Greybody factors for Myers-Perry black holes. J. Math. Phys. 2014, 55, 112502. [Google Scholar] [CrossRef]
- Nagar, A.; Rezzolla, L. TOPICAL REVIEW: Gauge-invariant non-spherical metric perturbations of Schwarzschild black-hole spacetimes. Class. Quantum Gravity 2005, 22, R167–R192. [Google Scholar] [CrossRef]








Disclaimer/Publisher’s Note: The statements, opinions and data contained in all publications are solely those of the individual author(s) and contributor(s) and not of MDPI and/or the editor(s). MDPI and/or the editor(s) disclaim responsibility for any injury to people or property resulting from any ideas, methods, instructions or products referred to in the content. |
© 2023 by the authors. Licensee MDPI, Basel, Switzerland. This article is an open access article distributed under the terms and conditions of the Creative Commons Attribution (CC BY) license (https://creativecommons.org/licenses/by/4.0/).
Share and Cite
Turimov, B.; Mamadjanov, A.; Rahimov, O. Hawking Radiation and Lifetime of Primordial Black Holes in Braneworld. Galaxies 2023, 11, 70. https://doi.org/10.3390/galaxies11030070
Turimov B, Mamadjanov A, Rahimov O. Hawking Radiation and Lifetime of Primordial Black Holes in Braneworld. Galaxies. 2023; 11(3):70. https://doi.org/10.3390/galaxies11030070
Chicago/Turabian StyleTurimov, Bobur, Akhror Mamadjanov, and Ozodbek Rahimov. 2023. "Hawking Radiation and Lifetime of Primordial Black Holes in Braneworld" Galaxies 11, no. 3: 70. https://doi.org/10.3390/galaxies11030070
APA StyleTurimov, B., Mamadjanov, A., & Rahimov, O. (2023). Hawking Radiation and Lifetime of Primordial Black Holes in Braneworld. Galaxies, 11(3), 70. https://doi.org/10.3390/galaxies11030070

