New Method to Detect and Characterize Active Be Star Candidates in Open Clusters
Abstract
1. Introduction
2. Materials and Methods
2.1. Gaia DR2 and DR3 Photometry
2.2. Taking Advantage of the Variable Nature of Be Stars
2.3. Open Cluster Data
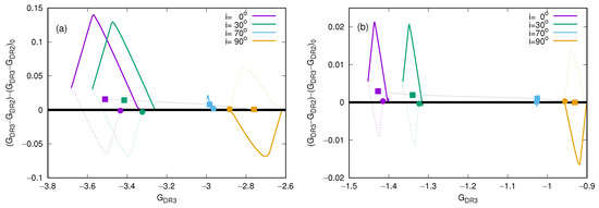
3. Results
3.1. NGC869/NGC884
3.2. NGC663
3.3. NGC7419
3.4. A Model for Be Disk Formation and Dissipation
4. Discussion
Author Contributions
Funding
Institutional Review Board Statement
Informed Consent Statement
Data Availability Statement
Acknowledgments
Conflicts of Interest
Appendix A
Appendix A.1. NGC869/NGC884
| RA | DEC | Group | V sin(i) | Ref. | |||||||
|---|---|---|---|---|---|---|---|---|---|---|---|
| 34.9493 | 57.1110 | 10.8742 | 11.1487 | 10.3406 | 10.9341 | 0.0062 | 11.2242 | 10.4313 | 1 | 51 | [24] |
| 34.5823 | 57.1462 | 12.1688 | 12.3107 | 11.8610 | 12.1583 | 0.0028 | 12.3166 | 11.8579 | 1 | 207 | [24] |
| 34.8701 | 57.1179 | 10.9403 | 11.2315 | 10.4876 | 10.9430 | 0.0030 | 11.2193 | 10.4826 | 1 | 264 | [24] |
| 34.7368 | 57.1286 | 12.0243 | 12.2062 | 11.6728 | 12.0125 | 0.0028 | 12.2074 | 11.6691 | 1 | 219 | [24] |
| 34.7263 | 57.1582 | 10.2641 | 10.4417 | 9.9624 | 10.2670 | 0.0028 | 10.4313 | 9.9551 | 1 | 151 | [24] |
| 34.8644 | 57.1382 | 9.2773 | 9.4955 | 8.9362 | 9.2856 | 0.0028 | 9.4795 | 8.9269 | 1 | 127 | [24] |
| 34.7244 | 57.1395 | 9.4608 | 9.6454 | 9.1537 | 9.4659 | 0.0028 | 9.6308 | 9.1476 | 1 | 258 | [24] |
| 35.8538 | 57.3176 | 10.5171 | 10.9499 | 9.9197 | 10.4723 | 0.0054 | 10.8947 | 9.8582 | 1 | 187 | [33] |
| 35.4289 | 57.0918 | 11.2214 | 11.4029 | 10.9038 | 11.1660 | 0.0049 | 11.3458 | 10.7962 | 1 | 242 | [24] |
| 35.7402 | 57.3940 | 12.3000 | 12.5393 | 11.8834 | 12.2877 | 0.0028 | 12.5352 | 11.8769 | 1 | 426 | * |
| 35.4706 | 57.1664 | 9.6194 | 9.9104 | 9.1552 | 9.7160 | 0.0053 | 9.9660 | 9.2597 | 1 | 79 | [24] |
| 35.7503 | 57.2039 | 11.8232 | 12.0240 | 11.4525 | 11.8161 | 0.0029 | 12.0239 | 11.4485 | 1–4 | 360 | [24] |
| 35.7095 | 57.1474 | 11.8411 | 12.0159 | 11.5078 | 11.8091 | 0.0033 | 12.0022 | 11.4536 | 1–4 | 338 | [24] |
| 35.7674 | 57.1274 | 10.2063 | 10.4515 | 9.8175 | 10.1797 | 0.0040 | 10.4128 | 9.7811 | 1–4 | 300 | [49] |
| 35.4353 | 57.1812 | 11.4977 | 11.7296 | 11.1105 | 11.4967 | 0.0028 | 11.7209 | 11.1072 | 1–4 | 229 | [33] |
| 35.5103 | 57.1557 | 10.9163 | 11.1057 | 10.5768 | 10.8882 | 0.0038 | 11.0594 | 10.5437 | 1–4 | 345 | [26] |
| 35.5127 | 57.1348 | 11.5075 | 11.6759 | 11.1950 | 11.4989 | 0.0029 | 11.6788 | 11.1861 | 2 | ||
| 35.7670 | 57.1691 | 12.0040 | 12.2191 | 11.6201 | 11.9934 | 0.0028 | 12.2141 | 11.6150 | 2 | ||
| 35.5034 | 57.1255 | 11.0243 | 11.1382 | 10.8016 | 11.0235 | 0.0028 | 11.1329 | 10.7970 | 2 | 108 | [24] |
| 35.5651 | 57.2247 | 11.6959 | 11.8949 | 11.3398 | 11.6868 | 0.0028 | 11.8861 | 11.3327 | 2 | 42 | [24] |
| 34.7403 | 57.1383 | 10.9792 | 11.1288 | 10.6958 | 10.9792 | 0.0028 | 11.1266 | 10.6901 | 3 | 29 | [24] |
| 35.5116 | 57.1403 | 9.8773 | 10.0418 | 9.6027 | 9.8797 | 0.0028 | 10.0249 | 9.5944 | 3–4 | 101 | [24] |
| 35.4569 | 57.0266 | 13.0194 | 13.2094 | 12.6567 | 13.0016 | 0.0033 | 13.2051 | 12.6650 | 6–4 | 67 | [24] |
| 35.4656 | 57.2516 | 13.0872 | 13.3849 | 12.6004 | 13.0761 | 0.0028 | 13.3813 | 12.5933 | 4 | ||
| 35.5632 | 57.1613 | 12.2744 | 12.4501 | 11.9271 | 12.2618 | 0.0028 | 12.4466 | 11.9218 | 4 | 74 | [24] |
| 35.3907 | 57.0655 | 12.9961 | 13.2280 | 12.5881 | 12.9839 | 0.0028 | 13.2265 | 12.5862 | 4 | 33 | [24] |
| 35.3685 | 57.1429 | 12.7480 | 12.9406 | 12.3892 | 12.7346 | 0.0028 | 12.9385 | 12.3857 | 4 | ||
| 35.6083 | 57.1148 | 13.6839 | 13.8988 | 13.2909 | 13.6709 | 0.0028 | 13.8914 | 13.2902 | 4 | 261 | [24] |
| 35.5357 | 57.1245 | 9.0813 | 9.2409 | 8.8145 | 9.0882 | 0.0028 | 9.2231 | 8.8073 | 4 | 106 | [24] |
| 35.6736 | 57.1745 | 13.7828 | 14.0480 | 13.3374 | 13.7699 | 0.0028 | 14.0369 | 13.3322 | 4 | ||
| 35.7984 | 57.1721 | 9.4555 | 9.6140 | 9.1837 | 9.4608 | 0.0028 | 9.5966 | 9.1803 | 4 | ||
| 35.6791 | 57.2053 | 14.0299 | 14.2640 | 13.5991 | 14.0169 | 0.0028 | 14.2585 | 13.5901 | 4 | ||
| 35.5610 | 57.1038 | 12.7677 | 12.9296 | 12.4428 | 12.7528 | 0.0028 | 12.9300 | 12.4399 | 4 | 261 | [24] |
| 35.5740 | 57.1038 | 13.9658 | 14.1573 | 13.6065 | 13.9531 | 0.0028 | 14.1542 | 13.6056 | 4 | ||
| 35.3572 | 57.0727 | 13.4464 | 13.6912 | 13.0258 | 13.4346 | 0.0028 | 13.6834 | 13.0205 | 4 | 170 | [24] |
| 35.6499 | 57.2089 | 14.3629 | 14.6035 | 13.9438 | 14.3493 | 0.0028 | 14.5967 | 13.9436 | 4 | ||
| 35.3535 | 57.0403 | 13.1761 | 13.3697 | 12.8174 | 13.1619 | 0.0028 | 13.3636 | 12.8114 | 4 | 318.4 | [50] |
| 35.5546 | 57.0228 | 13.0086 | 13.2169 | 12.6250 | 12.9914 | 0.0028 | 13.2075 | 12.6215 | 4 | 203 | [24] |
| 35.8416 | 57.0071 | 13.6374 | 13.8506 | 13.2549 | 13.6243 | 0.0028 | 13.8428 | 13.2505 | 4 | ||
| 35.7392 | 57.0089 | 12.4026 | 12.5392 | 12.1126 | 12.3868 | 0.0028 | 12.5385 | 12.1088 | 4 | ||
| 35.5774 | 57.1972 | 11.5349 | 11.7150 | 11.1979 | 11.5283 | 0.0028 | 11.7130 | 11.1917 | 4 | 112 | [24] |
| 35.8269 | 57.2589 | 13.4186 | 13.6603 | 13.0026 | 13.4065 | 0.0028 | 13.6522 | 12.9944 | 4 | ||
| 35.4569 | 57.1393 | 11.2951 | 11.4272 | 11.0250 | 11.2929 | 0.0028 | 11.4336 | 11.0207 | 4 | 136 | [33] |
| 35.4455 | 57.1649 | 13.4276 | 13.6494 | 13.0349 | 13.4139 | 0.0028 | 13.6431 | 13.0301 | 4 | 116 | [24] |
| 35.4415 | 57.0836 | 12.5769 | 12.7887 | 12.1972 | 12.5632 | 0.0028 | 12.7839 | 12.1909 | 4 | 248 | [24] |
| 35.4350 | 57.1483 | 11.8044 | 11.9496 | 11.5095 | 11.7970 | 0.0028 | 11.9506 | 11.5091 | 4 | 67 | [26] |
| 35.5934 | 57.1841 | 13.7854 | 14.0243 | 13.3578 | 13.7725 | 0.0028 | 14.0223 | 13.3545 | 4 | 371 | [24] |
| 35.5205 | 57.1005 | 13.1930 | 13.3577 | 12.8670 | 13.1802 | 0.0028 | 13.3576 | 12.8634 | 4 | 154 | [24] |
| 35.5464 | 57.1067 | 14.1656 | 14.3810 | 13.7706 | 14.1522 | 0.0028 | 14.3773 | 13.7698 | 4 | ||
| 35.6210 | 57.0288 | 12.9666 | 13.1444 | 12.6263 | 12.9498 | 0.0028 | 13.1403 | 12.6211 | 4 | 30 | [24] |
| 35.5146 | 57.1190 | 12.5907 | 12.7674 | 12.2621 | 12.5758 | 0.0028 | 12.7574 | 12.2585 | 4 | 141 | [24] |
| 35.5571 | 57.0881 | 13.0428 | 13.1915 | 12.7294 | 13.0287 | 0.0028 | 13.1966 | 12.7270 | 4 | 108 | [24] |
| 35.5302 | 57.2033 | 12.5708 | 12.7529 | 12.2199 | 12.5593 | 0.0028 | 12.7542 | 12.2175 | 4 | 81 | [24] |
| 35.5116 | 57.1479 | 12.4469 | 12.6046 | 12.1357 | 12.4332 | 0.0028 | 12.6024 | 12.1317 | 4 | ||
| 35.5968 | 57.1682 | 14.0780 | 14.3092 | 13.6478 | 14.0658 | 0.0028 | 14.3022 | 13.6473 | 4 | ||
| 35.4447 | 57.1241 | 10.9932 | 11.1498 | 10.7138 | 10.9954 | 0.0028 | 11.1461 | 10.7073 | 4 | 169 | [24] |
| 35.6619 | 57.1955 | 12.4247 | 12.6093 | 12.0751 | 12.4104 | 0.0028 | 12.6058 | 12.0690 | 4 | 241 | [24] |
| 35.5470 | 57.1093 | 13.8381 | 14.0395 | 13.4629 | 13.8253 | 0.0028 | 14.0377 | 13.4634 | 4 | ||
| 35.6244 | 57.2080 | 9.4355 | 9.6155 | 9.1426 | 9.4389 | 0.0028 | 9.5958 | 9.1318 | 4 | 116 | [24] |
| 34.4696 | 57.1242 | 12.9408 | 13.1021 | 12.6158 | 12.9441 | 0.0029 | 13.1196 | 12.6285 | 5 | 180 | [50] |
| 34.8142 | 57.0939 | 13.0988 | 13.3639 | 12.6514 | 13.0739 | 0.0029 | 13.3422 | 12.6408 | 5 | 185 | [24] |
| 34.8834 | 57.1218 | 13.6437 | 13.9132 | 13.1905 | 13.6183 | 0.0030 | 13.9044 | 13.1716 | 5–6 | 272 | [24] |
| 35.4618 | 57.2643 | 13.5838 | 13.5885 | 0.0029 | 5 | ||||||
| 35.5035 | 57.1597 | 11.2881 | 11.4393 | 11.0116 | 11.2935 | 0.0028 | 11.4408 | 11.0079 | 5 | 79 | [24] |
| 35.7434 | 57.0802 | 13.7731 | 14.0176 | 13.3364 | 13.7703 | 0.0028 | 14.0095 | 13.3302 | 5–4 | 228 | [24] |
Appendix A.2. NGC663
| RA | DEC | |||||||
|---|---|---|---|---|---|---|---|---|
| 26.1345 | 61.0357 | 11.7643 | 11.9475 | 11.4064 | 11.7675 | 0.0025 | 11.9430 | 11.3990 |
| 26.5405 | 61.2060 | 12.6804 | 12.9845 | 12.1887 | 12.7118 | 0.0028 | 13.0160 | 12.2311 |
| 26.5817 | 61.2636 | 11.4527 | 11.8009 | 10.9543 | 11.4701 | 0.0029 | 11.7979 | 10.9528 |
| 26.6511 | 61.2011 | 14.0593 | 14.4175 | 13.5280 | 14.0679 | 0.0031 | 14.4219 | 13.5397 |
| 26.8232 | 61.3506 | 13.8222 | 14.1819 | 13.2778 | 13.8036 | 0.0034 | 14.1629 | 13.2602 |
Appendix A.3. NGC7419
| RA | DEC | |||||||
|---|---|---|---|---|---|---|---|---|
| 343.3217 | 60.8266 | 16.2447 | 17.9178 | 14.9481 | 16.2317 | 0.0038 | 17.8946 | 14.9813 |
| 343.3976 | 60.7236 | 17.8185 | 19.6804 | 16.4386 | 17.8098 | 0.0030 | 19.7270 | 16.4657 |
| 343.5181 | 60.7933 | 17.1032 | 18.5614 | 15.8439 | 17.0907 | 0.0029 | 18.5888 | 15.8691 |
| 343.5192 | 60.7611 | 16.3070 | 17.4165 | 15.0216 | 16.2996 | 0.0029 | 17.4446 | 15.0234 |
| 343.5481 | 60.8442 | 15.7882 | 16.9885 | 14.6624 | 15.7526 | 0.0030 | 16.9658 | 14.6565 |
| 343.5646 | 60.8256 | 16.6244 | 17.6384 | 15.2435 | 16.6339 | 0.0031 | 17.6608 | 15.2752 |
| 343.5754 | 60.8065 | 16.3449 | 16.3460 | 0.0030 | 17.3938 | 15.1945 | ||
| 343.5891 * | 60.8316 | 15.4774 | 16.6915 | 14.3236 | 15.4416 | 0.0045 | 16.6786 | 14.3248 |
| 343.5972 | 60.8085 | 16.9569 | 17.8607 | 15.2027 | 16.9731 | 0.0031 | 17.9529 | 15.2617 |
| 343.6272 | 60.7987 | 17.7249 | 18.8056 | 15.8962 | 17.7590 | 0.0035 | 18.8473 | 15.9640 |
| 343.6694 | 60.7861 | 15.5368 | 16.7586 | 14.4025 | 15.4961 | 0.0035 | 16.7250 | 14.3865 |
| 343.6737 | 60.8330 | 17.3693 | 19.2339 | 16.0482 | 17.3605 | 0.0030 | 19.2504 | 16.0646 |
| 343.6776 | 60.7436 | 17.7969 | 19.5841 | 16.4758 | 17.7850 | 0.0030 | 19.5888 | 16.4931 |
| 343.6802 | 60.8398 | 17.0955 | 17.1111 | 0.0030 | 19.3139 | 15.7285 | ||
| 343.6902 | 60.8920 | 16.3127 | 17.3359 | 15.2738 | 16.3054 | 0.0028 | 17.3156 | 15.2716 |
| 343.7105 | 60.7716 | 16.1045 | 17.3278 | 14.9738 | 16.0684 | 0.0030 | 17.2937 | 14.9631 |
| 343.7106 | 60.8031 | 17.8798 | 19.3287 | 16.6495 | 17.8704 | 0.0030 | 19.3064 | 16.6636 |
| 343.7752 * | 60.7680 | 14.8305 | 15.8472 | 13.7992 | 14.8327 | 0.0061 | 15.8423 | 13.8122 |
| 343.8161 | 60.8345 | 17.8965 | 17.9114 | 0.0031 | 20.0666 | 16.5431 |
| 1 | https://www.cosmos.esa.int/web/gaia/iow_20180316 (accessed on 15 February 2023). |
| 2 | https://www.cosmos.esa.int/web/gaia/edr3-passbands (accessed on 15 February 2023). |
References
- Rivinius, T.; Carciofi, A.C.; Martayan, C. Classical Be stars. Rapidly rotating B stars with viscous Keplerian decretion disks. Astron. Astrophys. Rev. 2013, 21, 69. [Google Scholar] [CrossRef]
- Pigulski, A.; Kopacki, G. NGC 7419: An open cluster rich in Be stars. Astron. Astrophys. Suppl. Ser. 2000, 146, 465–469. [Google Scholar] [CrossRef]
- Pigulski, A.; Kopacki, G.; Kołaczkowski, Z. The young open cluster NGC 663 and its Be stars. Astron. Astrophys. 2001, 376, 144–153. [Google Scholar] [CrossRef]
- Mathew, B.; Subramaniam, A.; Bhatt, B.C. Be phenomenon in open clusters: Results from a survey of emission-line stars in young open clusters. Mon. Not. R. Astron. Soc. 2008, 388, 1879–1888. [Google Scholar] [CrossRef]
- Ekström, S.; Meynet, G.; Maeder, A.; Barblan, F. Evolution towards the critical limit and the origin of Be stars. Astron. Astrophys. 2008, 478, 467–485. [Google Scholar] [CrossRef]
- Georgy, C.; Ekström, S.; Granada, A.; Meynet, G.; Mowlavi, N.; Eggenberger, P.; Maeder, A. Populations of rotating stars. I. Models from 1.7 to 15 M⊙ at Z = 0.014, 0.006, and 0.002 with Ω/Ωcrit between 0 and 1. Astron. Astrophys. 2013, 553, A24. [Google Scholar] [CrossRef]
- Granada, A.; Ekström, S.; Georgy, C.; Krtička, J.; Owocki, S.; Meynet, G.; Maeder, A. Populations of rotating stars. II. Rapid rotators and their link to Be-type stars. Astron. Astrophys. 2013, 553, A25. [Google Scholar] [CrossRef]
- Bodensteiner, J.; Shenar, T.; Sana, H. Investigating the lack of main-sequence companions to massive Be stars. Astron. Astrophys. 2020, 641, A42. [Google Scholar] [CrossRef]
- El-Badry, K.; Conroy, C.; Quataert, E.; Rix, H.W.; Labadie-Bartz, J.; Jayasinghe, T.; Thompson, T.; Cargile, P.; Stassun, K.G.; Ilyin, I. Birth of a Be star: An APOGEE search for Be stars forming through binary mass transfer. Mon. Not. R. Astron. Soc. 2022, 516, 3602–3630. [Google Scholar] [CrossRef]
- Fabregat, J.; Torrejón, J.M. On the evolutionary status of Be stars. Astron. Astrophys. 2000, 357, 451–459. [Google Scholar]
- Majewski, S.R. APOGEE—SDSS-III’s Other Milky Way Experiment. In Proceedings of the American Astronomical Society Meeting Abstracts #219; 2012; Volume 219, p. 205.06. [Google Scholar]
- Luo, A.L.; Zhao, Y.H.; Zhao, G.; Deng, L.C.; Liu, X.W.; Jing, Y.P.; Wang, G.; Zhang, H.T.; Shi, J.R.; Cui, X.Q.; et al. The first data release (DR1) of the LAMOST regular survey. Res. Astron. Astrophys. 2015, 15, 1095. [Google Scholar] [CrossRef]
- Chojnowski, S.D.; Whelan, D.G.; Wisniewski, J.P.; Majewski, S.R.; Hall, M.; Shetrone, M.; Beaton, R.; Burton, A.; Damke, G.; Eikenberry, S.; et al. High-Resolution H-Band Spectroscopy of Be Stars With SDSS-III/Apogee: I. New Be Stars, Line Identifications, and Line Profiles. Astron. J. 2015, 149, 7. [Google Scholar] [CrossRef]
- Lin, C.C.; Hou, J.L.; Chen, L.; Shao, Z.Y.; Zhong, J.; Yu, P.C. Searching for classical Be stars in LAMOST DR1. Res. Astron. Astrophys. 2015, 15, 1325. [Google Scholar] [CrossRef]
- Vioque, M.; Oudmaijer, R.D.; Schreiner, M.; Mendigutía, I.; Baines, D.; Mowlavi, N.; Pérez-Martínez, R. Catalogue of new Herbig Ae/Be and classical Be stars. A machine learning approach to Gaia DR2. Astron. Astrophys. 2020, 638, A21. [Google Scholar] [CrossRef]
- Wang, L.; Li, J.; Wu, Y.; Gies, D.R.; Liu, J.Z.; Liu, C.; Guo, Y.; Chen, X.; Han, Z. Identification of New Classical Be Stars from the LAMOST Medium Resolution Survey. Astrophys. J. Suppl. Ser. 2022, 260, 35. [Google Scholar] [CrossRef]
- Gaia Collaboration; Brown, A.G.A.; Vallenari, A.; Prusti, T.; de Bruijne, J.H.J.; Babusiaux, C.; Bailer-Jones, C.A.L.; Biermann, M.; Evans, D.W.; Eyer, L.; et al. Gaia Data Release 2. Summary of the contents and survey properties. Astron. Astrophys. 2018, 616, A1. [Google Scholar] [CrossRef]
- Gaia Collaboration; Vallenari, A.; Brown, A.G.A.; Prusti, T.; de Bruijne, J.H.J.; Arenou, F.; Babusiaux, C.; Biermann, M.; Creevey, O.L.; Ducourant, C.; et al. Gaia Data Release 3: Summary of the content and survey properties. arXiv 2022, arXiv:2208.00211. [Google Scholar]
- Gaia Collaboration; Prusti, T.; de Bruijne, J.H.J.; Brown, A.G.A.; Vallenari, A.; Babusiaux, C.; Bailer-Jones, C.A.L.; Bastian, U.; Biermann, M.; Evans, D.W.; et al. The Gaia mission. Astron. Astrophys. 2016, 595, A1. [Google Scholar] [CrossRef]
- Riello, M.; De Angeli, F.; Evans, D.W.; Montegriffo, P.; Carrasco, J.M.; Busso, G.; Palaversa, L.; Burgess, P.W.; Diener, C.; Davidson, M.; et al. Gaia Early Data Release 3. Photometric content and validation. Astron. Astrophys. 2021, 649, A3. [Google Scholar] [CrossRef]
- Lee, U.; Osaki, Y.; Saio, H. Viscous excretion discs around Be stars. Mon. Not. R. Astron. Soc. 1991, 250, 432–437. [Google Scholar] [CrossRef]
- Labadie-Bartz, J.; Pepper, J.; McSwain, M.V.; Bjorkman, J.E.; Bjorkman, K.S.; Lund, M.B.; Rodriguez, J.E.; Stassun, K.G.; Stevens, D.J.; James, D.J.; et al. Photometric Variability of the Be Star Population. Astron. J. 2017, 153, 252. [Google Scholar] [CrossRef]
- Haubois, X.; Mota, B.C.; Carciofi, A.C.; Draper, Z.H.; Wisniewski, J.P.; Bednarski, D.; Rivinius, T. Dynamical Evolution of Viscous Disks around Be Stars. II. Polarimetry. Astrophys. J. 2014, 785, 12. [Google Scholar] [CrossRef]
- Strom, S.E.; Wolff, S.C.; Dror, D.H.A. B Star Rotational Velocities in h and χ Persei: A Probe of Initial Conditions during the Star Formation Epoch? Astron. J. 2005, 129, 809–828. [Google Scholar] [CrossRef]
- McSwain, M.V.; Gies, D.R. The Evolutionary Status of Be Stars: Results from a Photometric Study of Southern Open Clusters. Astrophys. J. Suppl. Ser. 2005, 161, 118. [Google Scholar] [CrossRef]
- Huang, W.; Gies, D.R.; McSwain, M.V. A Stellar Rotation Census of B Stars: From ZAMS to TAMS. Astrophys. J. 2010, 722, 605. [Google Scholar] [CrossRef]
- Pandey, A.K.; Upadhyay, K.; Ogura, K.; Sagar, R.; Mohan, V.; Mito, H.; Bhatt, H.C.; Bhatt, B.C. Stellar contents of two young open clusters: NGC 663 and 654. Mon. Not. R. Astron. Soc. 2005, 358, 1290–1308. [Google Scholar] [CrossRef]
- Torrejon, J.M.; Fabregat, J.; Bernabeu, G.; Alba, S. Be stars in open clusters. II. Balmer line spectroscopy. Astron. Astrophys. Suppl. Ser. 1997, 124, 329–347. [Google Scholar] [CrossRef]
- Cantat-Gaudin, T.; Jordi, C.; Vallenari, A.; Bragaglia, A.; Balaguer-Núñez, L.; Soubiran, C.; Bossini, D.; Moitinho, A.; Castro-Ginard, A.; Krone-Martins, A.; et al. A Gaia DR2 view of the open cluster population in the Milky Way. Astron. Astrophys. 2018, 618, A93. [Google Scholar] [CrossRef]
- Dias, W.S.; Monteiro, H.; Moitinho, A.; Lépine, J.R.D.; Carraro, G.; Paunzen, E.; Alessi, B.; Villela, L. Updated parameters of 1743 open clusters based on Gaia DR2. Mon. Not. R. Astron. Soc. 2021, 504, 356–371. [Google Scholar] [CrossRef]
- Kharchenko, N.V.; Piskunov, A.E.; Roeser, S.; Schilbach, E.; Scholz, R.D. VizieR Online Data Catalog: Milky Way global survey of star clusters. II. (Kharchenko+, 2013). Vizier Online Data Cat. 2013, 355, 80053. [Google Scholar]
- Cantat-Gaudin, T.; Anders, F.; Castro-Ginard, A.; Jordi, C.; Romero-Gómez, M.; Soubiran, C.; Casamiquela, L.; Tarricq, Y.; Moitinho, A.; Vallenari, A.; et al. Painting a portrait of the Galactic disc with its stellar clusters. Astron. Astrophys. 2020, 640, A1. [Google Scholar] [CrossRef]
- Huang, W.; Gies, D.R. Stellar Rotation in Young Clusters. I. Evolution of Projected Rotational Velocity Distributions. Astrophys. J. 2006, 648, 580–590. [Google Scholar] [CrossRef]
- Saesen, S.; Briquet, M.; Aerts, C.; Miglio, A.; Carrier, F. Pulsating B-type Stars in the Open Cluster NGC 884: Frequencies, Mode Identification, and Asteroseismology. Astron. J. 2013, 146, 102. [Google Scholar] [CrossRef]
- Chen, X.; Wang, S.; Deng, L.; de Grijs, R.; Yang, M.; Tian, H. The Zwicky Transient Facility Catalog of Periodic Variable Stars. Astrophys. J. Suppl. Ser. 2020, 249, 18. [Google Scholar] [CrossRef]
- Cantat-Gaudin, T.; Anders, F. Clusters and mirages: Cataloguing stellar aggregates in the Milky Way. Astron. Astrophys. 2020, 633, A99. [Google Scholar] [CrossRef]
- Marco, A.; Negueruela, I. NGC 7419 as a template for red supergiant clusters. Astron. Astrophys. 2013, 552, A92. [Google Scholar] [CrossRef]
- Okazaki, A.T.; Bate, M.R.; Ogilvie, G.I.; Pringle, J.E. Viscous effects on the interaction between the coplanar decretion disc and the neutron star in Be/X-ray binaries. Mon. Not. R. Astron. Soc. 2002, 337, 967–980. [Google Scholar] [CrossRef]
- Okazaki, A.T. Theory vs. Observation of Circumstellar Disks and Their Formation. In Proceedings of the Active OB-Stars: Laboratories for Stellar and Circumstellar Physics; Okazaki, A.T., Owocki, S.P., Stefl, S., Eds.; Astronomical Society of the Pacific Conference Series, ASP: San Francisco, CA, USA, 2007; Volume 361, p. 230. [Google Scholar]
- Lynden-Bell, D.; Pringle, J.E. The evolution of viscous discs and the origin of the nebular variables. Mon. Not. R. Astron. Soc. 1974, 168, 603–637. [Google Scholar] [CrossRef]
- Carciofi, A.C.; Bjorkman, J.E. Non-LTE Monte Carlo Radiative Transfer. I. The Thermal Properties of Keplerian Disks around Classical Be Stars. Astrophys. J. 2006, 639, 1081–1094. [Google Scholar] [CrossRef]
- Carciofi, A.C.; Bjorkman, J.E. Non-LTE Monte Carlo Radiative Transfer. II. Nonisothermal Solutions for Viscous Keplerian Disks. Astrophys. J. 2008, 684, 1374–1383. [Google Scholar] [CrossRef]
- Ghoreyshi, M.R.; Jones, C.E.; Granada, A. Angular momentum loss rates in Be stars determined by the viscous decretion disc model. Mon. Not. R. Astron. Soc. 2023, 518, 30–38. [Google Scholar] [CrossRef]
- Vieira, R.G.; Carciofi, A.C.; Bjorkman, J.E.; Rivinius, T.; Baade, D.; Rímulo, L.R. The life cycles of Be viscous decretion discs: Time-dependent modelling of infrared continuum observations. Mon. Not. R. Astron. Soc. 2017, 464, 3071–3089. [Google Scholar] [CrossRef]
- Rímulo, L.R.; Carciofi, A.C.; Vieira, R.G.; Rivinius, T.; Faes, D.M.; Figueiredo, A.L.; Bjorkman, J.E.; Georgy, C.; Ghoreyshi, M.R.; Soszyński, I. The life cycles of Be viscous decretion discs: Fundamental disc parameters of 54 SMC Be stars. Mon. Not. R. Astron. Soc. 2018, 476, 3555–3579. [Google Scholar] [CrossRef]
- Southworth, J.; Clausen, J.V. Eclipsing Binaries in Open Clusters. Astrophys. Space Sci. 2006, 304, 199–202. [Google Scholar] [CrossRef]
- Laur, J.; Kolka, I.; Eenmäe, T.; Tuvikene, T.; Leedjärv, L. Variability survey of brightest stars in selected OB associations. Astron. Astrophys. 2017, 598, A108. [Google Scholar] [CrossRef]
- Jönsson, H.; Holtzman, J.A.; Allende Prieto, C.; Cunha, K.; García-Hernández, D.A.; Hasselquist, S.; Masseron, T.; Osorio, Y.; Shetrone, M.; Smith, V.; et al. APOGEE Data and Spectral Analysis from SDSS Data Release 16: Seven Years of Observations Including First Results from APOGEE-South. Astron. J. 2020, 160, 120. [Google Scholar] [CrossRef]
- Glebocki, R.; Gnacinski, P. VizieR Online Data Catalog: Catalog of Stellar Rotational Velocities (Glebocki+ 2005). Vizier Online Data Cat. 2005, III, 244. [Google Scholar]
- Sun, W.; Duan, X.W.; Deng, L.; de Grijs, R.; Zhang, B.; Liu, C. Exploring the Stellar Rotation of Early-type Stars in the LAMOST Medium-resolution Survey. I. Catalog. Astrophys. J. Suppl. Ser. 2021, 257, 22. [Google Scholar] [CrossRef]





Disclaimer/Publisher’s Note: The statements, opinions and data contained in all publications are solely those of the individual author(s) and contributor(s) and not of MDPI and/or the editor(s). MDPI and/or the editor(s) disclaim responsibility for any injury to people or property resulting from any ideas, methods, instructions or products referred to in the content. |
© 2023 by the authors. Licensee MDPI, Basel, Switzerland. This article is an open access article distributed under the terms and conditions of the Creative Commons Attribution (CC BY) license (https://creativecommons.org/licenses/by/4.0/).
Share and Cite
Granada, A.; Ghoreyshi, M.R.; Jones, C.E.; Eenmäe, T. New Method to Detect and Characterize Active Be Star Candidates in Open Clusters. Galaxies 2023, 11, 37. https://doi.org/10.3390/galaxies11010037
Granada A, Ghoreyshi MR, Jones CE, Eenmäe T. New Method to Detect and Characterize Active Be Star Candidates in Open Clusters. Galaxies. 2023; 11(1):37. https://doi.org/10.3390/galaxies11010037
Chicago/Turabian StyleGranada, Anahí, Maziar R. Ghoreyshi, Carol E. Jones, and Tõnis Eenmäe. 2023. "New Method to Detect and Characterize Active Be Star Candidates in Open Clusters" Galaxies 11, no. 1: 37. https://doi.org/10.3390/galaxies11010037
APA StyleGranada, A., Ghoreyshi, M. R., Jones, C. E., & Eenmäe, T. (2023). New Method to Detect and Characterize Active Be Star Candidates in Open Clusters. Galaxies, 11(1), 37. https://doi.org/10.3390/galaxies11010037

