Squeezing in Gravitational Wave Detectors
Abstract
:1. Introduction
1.1. Introduction to Quantum Noise in Gravitational Wave Detectors
1.2. Theoretical Description of Quantum Light, Squeezing
1.3. Squeezing in Gravitational Wave Detectors
2. Frequency Dependent Squeezing
3. Generating Squeezed States of Light
4. Results and History in GEO600, LIGO, Virgo
5. Integration of Squeezing in Gravitational-Wave Detectors
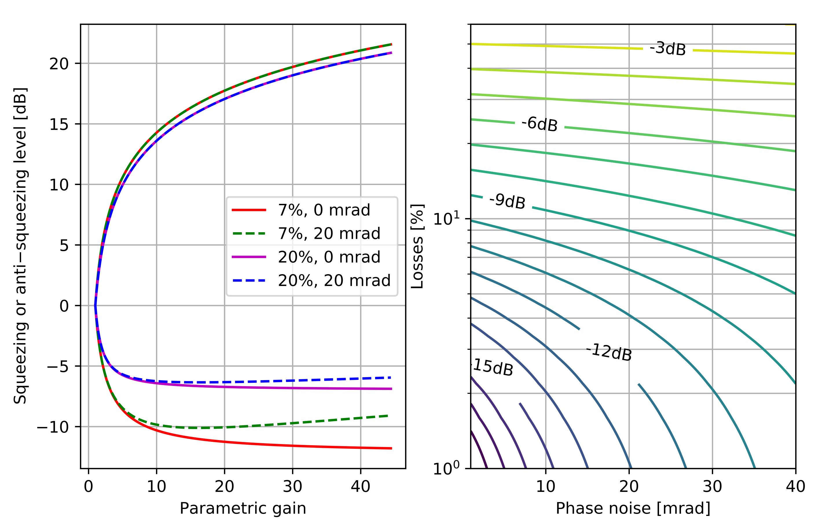
5.1. Loss and Phase Noise
5.2. Backscatter, Technical Noise Introduced by Squeezer
5.3. Controls
5.4. Filter Cavity
5.5. Mode Matching and Frequency Dependence of Interferometer Response
6. Conclusions and Future Plans
6.1. Plans for Upgrading Existing Detectors
6.2. Plans for Next Generation Detectors
6.3. Summary and Conclusions
Funding
Institutional Review Board Statement
Informed Consent Statement
Data Availability Statement
Conflicts of Interest
| 1 | Note, our definition of phase and amplitude quadrature operators is specifically by choosing a basis of the quadrature operators suitable to describe their respective first-order modulations of a reference classical field. This in contrast to conceptual operators defined to uniquely represent phase and amplitude measurements at all orders (e.g., the Susskind–Glogower or Pegg–Barnett phase operators). |
| 2 | In interferometers with either arm or signal extraction cavities, the effect is reversed. |
References
- Stoler, D. Equivalence Classes of Minimum Uncertainty Packets. Phys. Rev. D 1970, 1, 3217–3219. [Google Scholar] [CrossRef]
- Lu, E.Y.C. New Coherent States of the Electromagnetic Field. Lett. Nuovo C 1971, 2, 1241–1244. [Google Scholar] [CrossRef]
- Yuen, H.P. Two-Photon Coherent States of the Radiation Field. Phys. Rev. A 1976, 13, 2226–2243. [Google Scholar] [CrossRef] [Green Version]
- Walls, D.F. Squeezed States of Light. Nature 1983, 306, 141–146. [Google Scholar] [CrossRef]
- Collett, M.J.; Gardiner, C.W. Squeezing of Intracavity and Traveling-Wave Light Fields Produced in Parametric Amplification. Phys. Rev. A 1984, 30, 1386–1391. [Google Scholar] [CrossRef]
- Junker, J.; Wilken, D.; Huntington, E.; Heurs, M. High-precision cavity spectroscopy using high-frequency squeezed light. Opt. Express 2021, 29, 6053–6068. [Google Scholar] [CrossRef]
- Gehring, T.; Haendchen, V.; Duhme, J.; Furrer, F.; Franz, T.; Pacher, C.; Werner, R.F.W.; Schnabel, R. Implementation of continuous-variable quantum key distribution with composable and one-sided-device-independent security against coherent attacks. Nat. Commun. 2015, 6, 8795. [Google Scholar] [CrossRef] [Green Version]
- Lawrie, B.J.; Lett, P.D.; Marino, A.M.; Pooser, R.C. Quantum Sensing with Squeezed Light. ACS Photonics 2019, 6, 1307–1318. [Google Scholar] [CrossRef]
- Tse, M.; Yu, H.; Kijbunchoo, N.; Fernandez-Galiana, A.; Dupej, P.; Barsotti, L.; Blair, C.D.; Brown, D.D.; Dwyer, S.E.; Effler, A.; et al. Quantum-Enhanced Advanced LIGO Detectors in the Era of Gravitational-Wave Astronomy. Phys. Rev. Lett. 2019, 123, 231107. [Google Scholar] [CrossRef] [Green Version]
- Acernese, F.; Agathos, M.; Aiello, L.; Allocca, A.; Amato, A.; Ansoldi, S.; Antier, S.; Arène, M.; Arnaud, N.; Ascenzi, S.; et al. Increasing the Astrophysical Reach of the Advanced Virgo Detector via the Application of Squeezed Vacuum States of Light. Phys. Rev. Lett. 2019, 123, 231108. [Google Scholar] [CrossRef] [Green Version]
- LIGO Scientific Collaboration. A gravitational wave observatory operating beyond the quantum shot-noise limit. Nat. Phys. 2011, 7, 962–965. [Google Scholar] [CrossRef] [Green Version]
- LIGO Scientific Collaboration. Enhanced sensitivity of the LIGO gravitational wave detector by using squeezed states of light. Nat. Photon 2013, 7, 613–619. [Google Scholar] [CrossRef]
- Grote, H.; Danzmann, K.; Dooley, K.L.; Schnabel, R.; Slutsky, J.; Vahlbruch, H. First Long-Term Application of Squeezed States of Light in a Gravitational-Wave Observatory. Phys. Rev. Lett. 2013, 110, 181101. [Google Scholar] [CrossRef] [PubMed]
- Buikema, A.; Cahillane, C.; Mansell, G.L.; Blair, C.D.; Abbott, R.; Adams, C.; Adhikari, R.X.; Ananyeva, A.; Appert, S.; Arai, K.; et al. Sensitivity and Performance of the Advanced LIGO Detectors in the Third Observing Run. Phys. Rev. D 2020, 102, 062003. [Google Scholar] [CrossRef]
- LIGO Scientific Collaboration; Virgo Collaboration ; KAGRA Collaboration; Abbott, R.; Abbott, T.D.; Acernese, F.; Ackley, K.; Adams, C.; Adhikari, N.; Adhikari, R.X. GWTC-3: Compact Binary Coalescences Observed by LIGO and Virgo During the Second Part of the Third Observing Run. arXiv 2021, arXiv:2111.03606. [Google Scholar]
- Braginsky, V.B.; Khalili, F.Y. Quantum nondemolition measurements: The route from toys to tools. Rev. Mod. Phys. 1996, 68, 1–11. [Google Scholar] [CrossRef]
- Pygwinc: Python Gravitational Wave Interferometer Noise Calculator. Available online: https://git.ligo.org/gwinc (accessed on 15 September 2021).
- Walls, D.F.; Milburn, G.J. Quantum Optics; Springer: New York, NY, USA, 1995. [Google Scholar]
- Gerry, C.; Knight, P. Introductory Quantum Optics; Cambridge University Press: Cambridge, UK, 2004. [Google Scholar] [CrossRef]
- Caves, C.M. Quantum-mechanical noise in an interferometer. Phys. Rev. D 1981, 23, 1693–1708. [Google Scholar] [CrossRef]
- Caves, C.M.; Schumaker, B.L. New formalism for two-photon quantum optics. I. Quadrature phases and squeezed states. Phys. Rev. A 1985, 31, 3068–3092. [Google Scholar] [CrossRef]
- Schumaker, B.L.; Caves, C.M. New formalism for two-photon quantum optics. II. Mathematical foundation and compact notation. Phys. Rev. A 1985, 31, 3093–3111. [Google Scholar] [CrossRef]
- Unruh, W.G. Quantum Noise in the Interferometer Detector. In Quantum Optics, Experimental Gravity, and Measurement Theory; Meystre, P., Scully, M.O., Eds.; NATO Advanced Science Institutes Series; Springer: Boston, MA, USA, 1983; pp. 647–660. [Google Scholar] [CrossRef]
- Kimble, H.J.; Levin, Y.; Matsko, A.B.; Thorne, K.S.; Vyatchanin, S.P. Conversion of conventional gravitational-wave interferometers into quantum nondemolition interferometers by modifying their input and/or output optics. Phys. Rev. D 2001, 65, 022002. [Google Scholar] [CrossRef] [Green Version]
- Chelkowski, S.; Vahlbruch, H.; Hage, B.; Franzen, A.; Lastzka, N.; Danzmann, K.; Schnabel, R. Experimental Characterization of Frequency-Dependent Squeezed Light. Phys. Rev. A 2005, 71, 013806. [Google Scholar] [CrossRef] [Green Version]
- Oelker, E.; Isogai, T.; Miller, J.; Tse, M.; Barsotti, L.; Mavalvala, N.; Evans, M. Audio-Band Frequency-Dependent Squeezing for Gravitational-Wave Detectors. Phys. Rev. Lett. 2016, 116, 041102. [Google Scholar] [CrossRef] [Green Version]
- Zhao, Y.; Aritomi, N.; Capocasa, E.; Leonardi, M.; Eisenmann, M.; Guo, Y.; Polini, E.; Tomura, A.; Arai, K.; Aso, Y.; et al. Frequency-Dependent Squeezed Vacuum Source for Broadband Quantum Noise Reduction in Advanced Gravitational-Wave Detectors. Phys. Rev. Lett. 2020, 124, 171101. [Google Scholar] [CrossRef] [PubMed]
- McCuller, L.; Whittle, C.; Ganapathy, D.; Komori, K.; Tse, M.; Fernandez-Galiana, A.; Barsotti, L.; Fritschel, P.; MacInnis, M.; Matichard, F.; et al. Frequency-Dependent Squeezing for Advanced LIGO. Phys. Rev. Lett. 2020, 124, 171102. [Google Scholar] [CrossRef] [PubMed]
- Lough, J.; Schreiber, E.; Bergamin, F.; Grote, H.; Mehmet, M.; Vahlbruch, H.; Affeldt, C.; Brinkmann, M.; Bisht, A.; Kringel, V.; et al. First Demonstration of 6 dB Quantum Noise Reduction in a Kilometer Scale Gravitational Wave Observatory. Phys. Rev. Lett. 2021, 126, 041102. [Google Scholar] [CrossRef] [PubMed]
- Slusher, R.E.; Hollberg, L.W.; Yurke, B.; Mertz, J.C.; Valley, J.F. Observation of Squeezed States Generated by Four-Wave Mixing in an Optical Cavity. Phys. Rev. Lett. 1985, 55, 2409–2412. [Google Scholar] [CrossRef]
- Boyd, R.W. Nonlinear Optics; Elsevier: Amsterdam, The Netherlands, 2008. [Google Scholar]
- Schnabel, R.; Mavalvala, N.; McClelland, D.E.; Lam, P.K. Quantum Metrology for Gravitational Wave Astronomy. Nat. Commun. 2010, 1, 121. [Google Scholar] [CrossRef] [Green Version]
- Schnabel, R. Squeezed States of Light and Their Applications in Laser Interferometers. Phys. Rep. 2017, 684, 1–51. [Google Scholar] [CrossRef] [Green Version]
- Stefszky, M.; Mow-Lowry, C.M.; McKenzie, K.; Chua, S.; Buchler, B.C.; Symul, T.; McClelland, D.E.; Lam, P.K. An Investigation of Doubly-Resonant Optical Parametric Oscillators and Nonlinear Crystals for Squeezing. J. Phys. B At. Mol. Opt. Phys. 2010, 44, 015502. [Google Scholar] [CrossRef]
- Fejer, M.M.; Magel, G.A.; Jundt, D.H.; Byer, R.L. Quasi-Phase-Matched Second Harmonic Generation: Tuning and Tolerances. IEEE J. Quantum Electron. 1992, 28, 2631–2654. [Google Scholar] [CrossRef] [Green Version]
- Boyd, G.D.; Kleinman, D.A. Parametric Interaction of Focused Gaussian Light Beams. J. Appl. Phys. 1968, 39, 3597–3639. [Google Scholar] [CrossRef]
- McKenzie, K.; Grosse, N.; Bowen, W.P.; Whitcomb, S.E.; Gray, M.B.; McClelland, D.E.; Lam, P.K. Squeezing in the Audio Gravitational-Wave Detection Band. Phys. Rev. Lett. 2004, 93, 161105. [Google Scholar] [CrossRef] [PubMed] [Green Version]
- Vahlbruch, H.; Mehmet, M.; Chelkowski, S.; Hage, B.; Franzen, A.; Lastzka, N.; Goßler, S.; Danzmann, K.; Schnabel, R. Observation of Squeezed Light with 10-dB Quantum-Noise Reduction. Phys. Rev. Lett. 2008, 100, 033602. [Google Scholar] [CrossRef] [Green Version]
- Barsotti, L.; Harms, J.; Schnabel, R. Squeezed vacuum states of light for gravitational wave detectors. Rep. Prog. Phys. 2018, 82, 016905. [Google Scholar] [CrossRef]
- Vahlbruch, H.; Khalaidovski, A.; Lastzka, N.; Gräf, C.; Danzmann, K.; Schnabel, R. The GEO600 squeezed light source. Class. Quantum Gravity 2010, 27, 084027. [Google Scholar] [CrossRef] [Green Version]
- Khalaidovski, A.; Vahlbruch, H.; Lastzka, N.; Graf, C.; Danzmann, K.; Grote, H.; Schnabel, R. Long-term stable squeezed vacuum state of light for gravitational wave detectors. Class. Quantum Gravity 2012, 29, 075001. [Google Scholar] [CrossRef] [Green Version]
- Dooley, K.L.; Schreiber, E.; Vahlbruch, H.; Affeldt, C.; Leong, J.R.; Wittel, H.; Grote, H. Phase control of squeezed vacuum states of light in gravitational wave detectors. Opt. Express 2015, 23, 8235–8245. [Google Scholar] [CrossRef]
- Schreiber, E.; Dooley, K.L.; Vahlbruch, H.; Affeldt, C.; Bisht, A.; Leong, J.R.; Lough, J.; Prijatelj, M.; Slutsky, J.; Was, M.; et al. Alignment sensing and control for squeezed vacuum states of light. Opt. Express 2016, 24, 146–152. [Google Scholar] [CrossRef] [Green Version]
- Khalaidovski, A.; Vahlbruch, H.; Lastzka, N.; Gräf, C.; Lück, H.; Danzmann, K.; Grote, H.; Schnabel, R. Status of the GEO 600 squeezed-light laser. J. Phys. Conf. Ser. 2012, 363, 012013. [Google Scholar] [CrossRef] [Green Version]
- Mehmet, M.; Vahlbruch, H. The Squeezed Light Source for the Advanced Virgo Detector in the Observation Run O3. Galaxies 2020, 8, 79. [Google Scholar] [CrossRef]
- Nguyen, C.; Bawaj, M.; Sequino, V.; Barsuglia, M.; Bazzan, M.; Calloni, E.; Ciani, G.; Conti, L.; D’Angelo, B.; De Rosa, R.; et al. Automated source of squeezed vacuum states driven by finite state machine based software. Rev. Sci. Instrum. 2021, 92, 054504. [Google Scholar] [CrossRef] [PubMed]
- Chua, S.; Stefszky, M.; Mow-Lowry, C.; Buchler, B.; Dwyer, S.; Shaddock, D.; Lam, P.K.; McClelland, D. Backscatter tolerant squeezed light source for advanced gravitational-wave detectors. Opt. Lett. 2011, 36, 4680–4682. [Google Scholar] [CrossRef] [PubMed]
- Dwyer, S.; Barsotti, L.; Chua, S.S.Y.; Evans, M.; Factourovich, M.; Gustafson, D.; Isogai, T.; Kawabe, K.; Khalaidovski, A.; Lam, P.K.; et al. Squeezed quadrature fluctuations in a gravitational wave detector using squeezed light. Opt. Express 2013, 21, 19047–19060. [Google Scholar] [CrossRef] [PubMed]
- Oelker, E.; Mansell, G.; Tse, M.; Miller, J.; Matichard, F.; Barsotti, L.; Fritschel, P.; McClelland, D.E.; Evans, M.; Mavalvala, N. Ultra-low phase noise squeezed vacuum source for gravitational wave detectors. Optica 2016, 3, 682–685. [Google Scholar] [CrossRef]
- Wade, A.R.; Mansell, G.L.; Chua, S.S.; Ward, R.L.; Slagmolen, B.J.; Shaddock, D.A.; McClelland, D.E. A squeezed light source operated under high vacuum. Sci. Rep. 2015, 5, 18052. [Google Scholar] [CrossRef] [Green Version]
- Fernández-Galiana, Á.; McCuller, L.; Kissel, J.; Barsotti, L.; Miller, J.; Tse, M.; Evans, M.; Aston, S.M.; Abbott, R.; Shaffer, T.J.; et al. Advanced LIGO squeezer platform for backscattered light and optical loss reduction. Class. Quantum Gravity 2020, 37, 215015. [Google Scholar] [CrossRef]
- Oelker, E.; Barsotti, L.; Dwyer, S.; Sigg, D.; Mavalvala, N. Squeezed light for advanced gravitational wave detectors and beyond. Opt. Express 2014, 22, 21106–21121. [Google Scholar] [CrossRef] [Green Version]
- Yu, H.; McCuller, L.; Tse, M.; Kijbunchoo, N.; Barsotti, L.; Mavalvala, N. Quantum correlations between light and the kilogram-mass mirrors of LIGO. Nature 2020, 583, 43–47. [Google Scholar] [CrossRef]
- McCuller, L.; Dwyer, S.E.; Green, A.C.; Yu, H.; Kuns, K.; Barsotti, L.; Blair, C.D.; Brown, D.D.; Effler, A.; Evans, M.; et al. LIGO’s quantum response to squeezed states. Phys. Rev. D 2021, 104, 062006. [Google Scholar] [CrossRef]
- Aoki, T.; Takahashi, G.; Furasawa, A. Squeezing at 946 nm with periodically poled KTiOPO4. Opt. Express 2006, 14, 6930–6935. [Google Scholar] [CrossRef] [Green Version]
- Takeno, Y.; Yukawa, M.; Yonezawa, H.; Furusawa, A. Observation of -9 dB quadrature squeezing with improvement of phasestability in homodyne measurement. Opt. Express 2007, 15, 4321–4327. [Google Scholar] [CrossRef] [PubMed] [Green Version]
- Goetz, R.; Fulda, P.; Martin, R.; Tanner, D. Low Loss Faraday Isolators for Squeezed Vacuum Injection in Advanced LIGO. In APS April Meeting Abstracts; APS: College Park, MD, USA, 2016; p. 14. [Google Scholar]
- Martin, R.; Notte, J.; Reyes, J.; Fulda, P.; Goetz, R.; Tanner, D.B. The A+ Low-Loss Faraday Isolators. LIGO DCC G2101056, LIGO DCC. 2021. Available online: https://dcc.ligo.org/DocDB/0176/G2101056/001/G2101056_APlusLLFI_GWADW2021.pdf. (accessed on 15 December 2021).
- Genin, E.; Mantovani, M.; Pillant, G.; Rossi, C.D.; Pinard, L.; Michel, C.; Gosselin, M.; Casanueva, J. Vacuum-compatible low-loss Faraday isolator for efficient squeezed-light injection in laser-interferometer-based gravitational-wave detectors. Appl. Opt. 2018, 57, 9705–9713. [Google Scholar] [CrossRef] [PubMed]
- Chua, S.S.Y.; Dwyer, S.; Barsotti, L.; Sigg, D.; Schofield, R.M.S.; Frolov, V.V.; Kawabe, K.; Evans, M.; Meadors, G.D.; Factourovich, M.; et al. Impact of backscattered light in a squeezing-enhanced interferometric gravitational-wave detector. Class. Quantum Gravity 2014, 31, 035017. [Google Scholar] [CrossRef] [Green Version]
- Vahlbruch, H.; Chelkowski, S.; Danzmann, K.; Schnabel, R. Quantum Engineering of Squeezed States for Quantum Communication and Metrology. New J. Phys. 2007, 9, 371. [Google Scholar] [CrossRef]
- Chelkowski, S.; Vahlbruch, H.; Danzmann, K.; Schnabel, R. Coherent control of broadband vacuum squeezing. Phys. Rev. A 2007, 75, 043814. [Google Scholar] [CrossRef] [Green Version]
- McKenzie, K.; Mikhailov, E.E.; Goda, K.; Lam, P.K.; Grosse, N.; Gray, M.B.; Mavalvala, N.; McClelland, D.E. Quantum noise locking. J. Opt. B Quantum Semiclass. Opt. 2005, 7, S421. [Google Scholar] [CrossRef]
- Whittle, C.; Komori, K.; Ganapathy, D.; McCuller, L.; Barsotti, L.; Mavalvala, N.; Evans, M. Optimal Detuning for Quantum Filter Cavities. Phys. Rev. D 2020, 102, 102002. [Google Scholar] [CrossRef]
- Abbott, B.P.; Abbott, R.; Abbott, T.D.; Abraham, S.; Acernese, F.; Ackley, K.; Adams, C.; Adya, V.B.; Affeldt, C.; Agathos, M.; et al. Prospects for Observing and Localizing Gravitational-Wave Transients with Advanced LIGO, Advanced Virgo and KAGRA. Living Rev. Relativ. 2020, 23, 3. [Google Scholar] [CrossRef]
- Virgo Collaboration. Advanced Virgo Plus Phase I—Design Report. Technical Report VIR-0596A-19, Virgo TDS. 2019. Available online: https://tds.virgo-gw.eu/?content=3&r=15777. (accessed on 15 December 2021).
- Sequino, V. Quantum Noise Reduction in Advanced Virgo. Phys. Scr. 2021, 96, 104014. [Google Scholar] [CrossRef]
- McCuller, L.; Barsotti, L.; Design Requirements Document of the A+ Filter Cavity and Relay Optics for Squeezing Injection. Technical Report T1800447-v7, LIGO DCC. 2018. Available online: https://dcc.ligo.org/public/0156/T1800447/007/FC_DRD_T1800447-v7.pdf (accessed on 15 November 2021).
- Corbitt, T.; Mavalvala, N.; Whitcomb, S. Optical cavities as amplitude filters for squeezed fields. Phys. Rev. D 2004, 70, 022002. [Google Scholar] [CrossRef] [Green Version]
- Khalili, F.Y. Optimal configurations of filter cavity in future gravitational-wave detectors. Phys. Rev. D 2010, 81, 122002. [Google Scholar] [CrossRef] [Green Version]
- Evans, M.; Barsotti, L.; Kwee, P.; Harms, J.; Miao, H. Realistic filter cavities for advanced gravitational wave detectors. Phys. Rev. D 2013, 88, 022002. [Google Scholar] [CrossRef] [Green Version]
- Isogai, T.; Miller, J.; Kwee, P.; Barsotti, L.; Evans, M. Loss in long-storage-time optical cavities. Opt. Express 2013, 21, 30114–30125. [Google Scholar] [CrossRef] [PubMed] [Green Version]
- Kwee, P.; Miller, J.; Isogai, T.; Barsotti, L.; Evans, M. Decoherence and degradation of squeezed states in quantum filter cavities. Phys. Rev. D 2014, 90, 062006. [Google Scholar] [CrossRef] [Green Version]
- Aritomi, N.; Leonardi, M.; Capocasa, E.; Zhao, Y.; Flaminio, R. Control of a Filter Cavity with Coherent Control Sidebands. Phys. Rev. D 2020, 102, 042003. [Google Scholar] [CrossRef]
- Srivastava, V.; Mansell, G.; Makarem, C.; Noh, M.; Abbott, R.; Ballmer, S.; Billingsley, G.; Brooks, A.; Cao, H.T.; Fritschel, P.; et al. Piezo-deformable Mirrors for Active Mode Matching in Advanced LIGO. arXiv 2021, arXiv:2110.00674. [Google Scholar]
- Cao, H.T.; Brooks, A.; Ng, S.W.S.; Ottaway, D.; Perreca, A.; Richardson, J.W.; Chaderjian, A.; Veitch, P.J. High dynamic range thermally actuated bimorph mirror for gravitational wave detectors. Appl. Opt. 2020, 59, 2784–2790. [Google Scholar] [CrossRef]
- LIGO Scientific Collaboration. Instrument Science White Paper LIGO-T2000407. Available online: dcc.ligo.org/LIGO-T2000407/public (accessed on 3 November 2021).
- Evans, M.; Adhikari, R.X.; Afle, C.; Ballmer, S.W.; Biscoveanu, S.; Borhanian, S.; Brown, D.A.; Chen, Y.; Eisenstein, R.; Gruson, A.; et al. A Horizon Study for Cosmic Explorer: Science, Observatories, and Community. arXiv 2021, arXiv:2109.09882. [Google Scholar]
- Einstein Telescope Steering Committee Einstein Telescope Design Report Update 2020. Available online: https://gwic.ligo.org/3Gsubcomm/docs/ET-0007B-20_ETDesignReportUpdate2020.pdf (accessed on 15 November 2021).
- Jones, P.; Zhang, T.; Miao, H.; Freise, A. Implications of the quantum noise target for the Einstein Telescope infrastructure design. Phys. Rev. D 2020, 101, 082002. [Google Scholar] [CrossRef]
- Ackley, K.; Adya, V.B.; Agrawal, P.; Altin, P.; Ashton, G.; Bailes, M.; Baltinas, E.; Barbuio, A.; Beniwal, D.; Blair, C.; et al. Neutron Star Extreme Matter Observatory: A kilohertz-band gravitational-wave detector in the global network. Publ. Astron. Soc. Aust. 2020, 37, e047. [Google Scholar] [CrossRef]






Publisher’s Note: MDPI stays neutral with regard to jurisdictional claims in published maps and institutional affiliations. |
© 2022 by the authors. Licensee MDPI, Basel, Switzerland. This article is an open access article distributed under the terms and conditions of the Creative Commons Attribution (CC BY) license (https://creativecommons.org/licenses/by/4.0/).
Share and Cite
Dwyer, S.E.; Mansell, G.L.; McCuller, L. Squeezing in Gravitational Wave Detectors. Galaxies 2022, 10, 46. https://doi.org/10.3390/galaxies10020046
Dwyer SE, Mansell GL, McCuller L. Squeezing in Gravitational Wave Detectors. Galaxies. 2022; 10(2):46. https://doi.org/10.3390/galaxies10020046
Chicago/Turabian StyleDwyer, Sheila E., Georgia L. Mansell, and Lee McCuller. 2022. "Squeezing in Gravitational Wave Detectors" Galaxies 10, no. 2: 46. https://doi.org/10.3390/galaxies10020046
APA StyleDwyer, S. E., Mansell, G. L., & McCuller, L. (2022). Squeezing in Gravitational Wave Detectors. Galaxies, 10(2), 46. https://doi.org/10.3390/galaxies10020046

