DEATHSTAR—CO Envelope Size and Asymmetry of Nearby AGB Stars
Abstract
1. Introduction
2. Data
3. Method
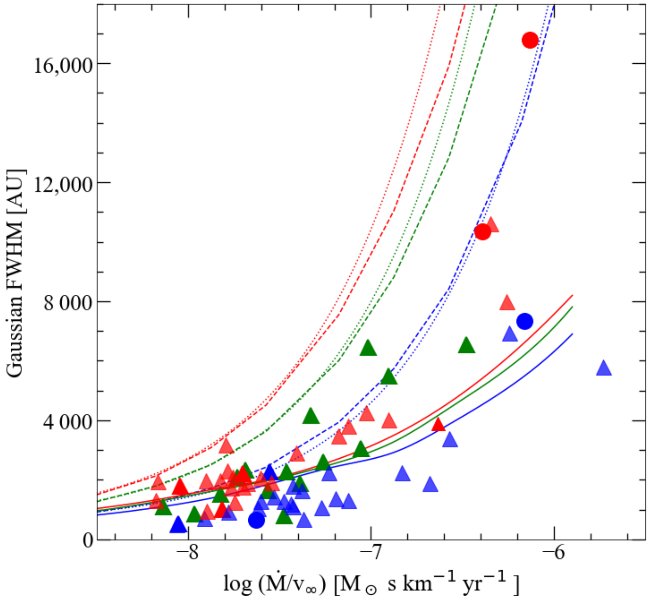
4. Results
5. Discussion
6. Conclusions
Author Contributions
Funding
Institutional Review Board Statement
Informed Consent Statement
Data Availability Statement
Acknowledgments
Conflicts of Interest
| 1 | www.astro.uu.se/deathstar (accessed on 1 January 2022). |
References
- Manchado, A.; Guerrero, M.A.; Stanghellini, L.; Serra-Ricart, M. The IAC Morphological Catalog of Northern Galactic Planetary Nebulae; Instituto de Astrofisica de Canarias: La Laguna, Spain, 1996. [Google Scholar]
- Balick, B.; Frank, A. Shapes and Shaping of Planetary Nebulae. Annu. Rev. Astron. Astrophys. 2002, 40, 439–486. [Google Scholar] [CrossRef]
- Stanghellini, L.; Villaver, E.; Manchado, A.; Guerrero, M.A. The Correlations between Planetary Nebula Morphology and Central Star Evolution: Analysis of the Northern Galactic Sample. Astrophys. J. 2002, 576, 285–293. [Google Scholar] [CrossRef]
- Parker, Q.A.; Acker, A.; Frew, D.J.; Hartley, M.; Peyaud, A.E.J.; Ochsenbein, F.; Phillipps, S.; Russeil, D.; Beaulieu, S.F.; Cohen, M.; et al. The Macquarie/AAO/Strasbourg Hα Planetary Nebula Catalogue: MASH. Mon. Not. R. Astron. Soc. 2006, 373, 79–94. [Google Scholar] [CrossRef]
- Sahai, R.; Morris, M.; Sánchez Contreras, C.; Claussen, M. Preplanetary Nebulae: A Hubble Space Telescope Imaging Survey and a New Morphological Classification System. Astron. J. 2007, 134, 2200–2225. [Google Scholar] [CrossRef]
- Sahai, R.; Morris, M.R.; Villar, G.G. Young Planetary Nebulae: Hubble Space Telescope Imaging and a New Morphological Classification System. Astron. J. 2011, 141, 134. [Google Scholar] [CrossRef]
- Vlemmings, W.H.T.; Diamond, P.J.; Imai, H. A magnetically collimated jet from an evolved star. Nature 2006, 440, 58–60. [Google Scholar] [CrossRef]
- Cox, N.L.J.; Kerschbaum, F.; van Marle, A.J.; Decin, L.; Ladjal, D.; Mayer, A.; Groenewegen, M.A.T.; van Eck, S.; Royer, P.; Ottensamer, R.; et al. A far-infrared survey of bow shocks and detached shells around AGB stars and red supergiants (Corrigendum). Astron. Astrophys. 2012, 543, C1. [Google Scholar] [CrossRef]
- Decin, L.; Montargès, M.; Richards, A.M.S.; Gottlieb, C.A.; Homan, W.; McDonald, I.; El Mellah, I.; Danilovich, T.; Wallström, S.H.J.; Zijlstra, A.; et al. (Sub)stellar companions shape the winds of evolved stars. Science 2020, 369, 1497–1500. [Google Scholar] [CrossRef] [PubMed]
- Decin, L. Evolution and Mass Loss of Cool Ageing Stars: A Daedalean Story. Annu. Rev. Astron. Astrophys. 2021, 59, 337–389. [Google Scholar] [CrossRef]
- Blasius, T.D.; Monnier, J.D.; Tuthill, P.G.; Danchi, W.C.; Anderson, M. The Keck Aperture Masking Experiment: Dust-enshrouded red giants. Mon. Not. R. Astron. Soc. 2012, 426, 2652–2667. [Google Scholar] [CrossRef][Green Version]
- Males, J.R.; Close, L.M.; Skemer, A.J.; Hinz, P.M.; Hoffmann, W.F.; Marengo, M. Four Decades of IRC +10216: Evolution of a Carbon-rich Dust Shell Resolved at 10 μm with MMT Adaptive Optics and MIRAC4. Astrophys. J. 2012, 744, 133. [Google Scholar] [CrossRef]
- Ohnaka, K.; Weigelt, G.; Hofmann, K.H. Clumpy dust clouds and extended atmosphere of the AGB star W Hydrae revealed with VLT/SPHERE-ZIMPOL and VLTI/AMBER. Astron. Astrophys. 2016, 589, A91. [Google Scholar] [CrossRef]
- Castro-Carrizo, A.; Quintana-Lacaci, G.; Neri, R.; Bujarrabal, V.; Schöier, F.L.; Winters, J.M.; Olofsson, H.; Lindqvist, M.; Alcolea, J.; Lucas, R.; et al. Mapping the 12CO J = 1-0 and J = 2-1 emission in AGB and early post-AGB circumstellar envelopes. I. The COSAS program, first sample. Astron. Astrophys. 2010, 523, A59. [Google Scholar] [CrossRef]
- Olofsson, H.; González Delgado, D.; Kerschbaum, F.; Schöier, F.L. Mass loss rates of a sample of irregular and semiregular M-type AGB-variables. Astron. Astrophys. 2002, 391, 1053–1067. [Google Scholar] [CrossRef]
- Maercker, M.; Vlemmings, W.H.T.; Brunner, M.; De Beck, E.; Humphreys, E.M.; Kerschbaum, F.; Lindqvist, M.; Olofsson, H.; Ramstedt, S. A detailed view of the gas shell around R Sculptoris with ALMA. Astron. Astrophys. 2016, 586, A5. [Google Scholar] [CrossRef]
- Kastner, J.H.; Wilson, E. Detached Shell Carbon Stars: Tracing Thermal Pulses on the Asymptotic Giant Branch. arXiv 2021, arXiv:2108.08940. [Google Scholar] [CrossRef]
- Leal Ferreira, M.L. Magnetic Fields and the Formation of Aspherical Planetary Nebulae. Ph.D. Thesis, Argelander Institut für Astronomie, University of Bonn, Bonn, Germany, 2014. [Google Scholar]
- Ramstedt, S.; Vlemmings, W.H.T.; Doan, L.; Danilovich, T.; Lindqvist, M.; Saberi, M.; Olofsson, H.; De Beck, E.; Groenewegen, M.A.T.; Höfner, S.; et al. DEATHSTAR: Nearby AGB stars with the Atacama Compact Array. I. CO envelope sizes and asymmetries: A new hope for accurate mass-loss-rate estimates. Astron. Astrophys. 2020, 640, A133. [Google Scholar] [CrossRef]
- Andriantsaralaza, M.; Ramstedt, S.; Vlemmings, W.H.T.; Danilovich, T.; De Beck, E.; Groenewegen, M.A.T.; Höfner, S.; Kerschbaum, F.; Khouri, T.; Lindqvist, M.; et al. DEATHSTAR: Nearby AGB stars with the Atacama Compact Array. II. CO envelope sizes and asymmetries: The S-type stars. Astron. Astrophys. 2021, 653, A53. [Google Scholar] [CrossRef]
- Mamon, G.A.; Glassgold, A.E.; Huggins, P.J. The Photodissociation of CO in Circumstellar Envelopes. Astrophys. J. 1988, 328, 797. [Google Scholar] [CrossRef]
- Saberi, M.; Vlemmings, W.H.T.; De Beck, E. Photodissociation of CO in the outflow of evolved stars. Astron. Astrophys. 2019, 625, A81. [Google Scholar] [CrossRef]
- McMullin, J.P.; Waters, B.; Schiebel, D.; Young, W.; Golap, K. CASA Architecture and Applications. In Astronomical Data Analysis Software and Systems XVI; Shaw, R.A., Hill, F., Bell, D.J., Eds.; Astronomical Society of the Pacific Conference Series; Astronomical Society of the Pacific (ASP): San Francisco, CA, USA, 2007; Volume 376, p. 127. [Google Scholar]
- Ramstedt, S.; Vlemmings, W.H.T.; Doan, L.; Danilovich, T.; Lindqvist, M.; Saberi, M.; Olofsson, H.; de, B.E.; Groenewegen, M.A.T.; Hoefner, S.; et al. VizieR Online Data Catalog: DEATHSTAR. Nearby AGB stars with ALMA ACA (Ramstedt+, 2020). VizieR On-line Data Catalog: J/A+A/640/A133. 2020. Available online: https://ui.adsabs.harvard.edu/abs/2020yCat..36400133R (accessed on 1 January 2022).
- Andriantsaralaza, M.; Ramstedt, S.; Vlemmings, W.H.T.; Danilovich, T.; de, B.E.; Groenewegen, M.A.T.; Hoefner, S.; Kerschbaum, F.; Khouri, T.; Lindqvist, M.; et al. VizieR Online Data Catalog: DEATHSTAR. II. The S-type (Andriantsaralaza+, 2021). VizieR On-line Data Catalog: J/A+A/653/A53. 2021. Available online: https://ui.adsabs.harvard.edu/abs/2021yCat..36530053A (accessed on 1 January 2022).
- Martí-Vidal, I.; Vlemmings, W.H.T.; Muller, S.; Casey, S. UVMULTIFIT: A versatile tool for fitting astronomical radio interferometric data. Astron. Astrophys. 2014, 563, A136. [Google Scholar] [CrossRef]
- Doan, L.; Ramstedt, S.; Vlemmings, W.H.T.; Mohamed, S.; Höfner, S.; De Beck, E.; Kerschbaum, F.; Lindqvist, M.; Maercker, M.; Paladini, C.; et al. The extended molecular envelope of the asymptotic giant branch star π1 Gruis as seen by ALMA. II. The spiral-outflow observed at high-angular resolution. Astron. Astrophys. 2020, 633, A13. [Google Scholar] [CrossRef]
- Schöier, F.L.; Olofsson, H. Models of circumstellar molecular radio line emission. Mass loss rates for a sample of bright carbon stars. Astron. Astrophys. 2001, 368, 969–993. [Google Scholar] [CrossRef]
- González Delgado, D.; Olofsson, H.; Kerschbaum, F.; Schöier, F.L.; Lindqvist, M.; Groenewegen, M.A.T. “Thermal” SiO radio line emission towards M-type AGB stars: A probe of circumstellar dust formation and dynamics. Astron. Astrophys. 2003, 411, 123–147. [Google Scholar] [CrossRef]
- Ramstedt, S.; Schöier, F.L.; Olofsson, H.; Lundgren, A.A. On the reliability of mass-loss-rate estimates for AGB stars. Astron. Astrophys. 2008, 487, 645–657. [Google Scholar] [CrossRef]
- Ramstedt, S.; Schöier, F.L.; Olofsson, H. Circumstellar molecular line emission from S-type AGB stars: Mass-loss rates and SiO abundances. Astron. Astrophys. 2009, 499, 515–527. [Google Scholar] [CrossRef]
- Ramstedt, S.; Mohamed, S.; Vlemmings, W.H.T.; Danilovich, T.; Brunner, M.; De Beck, E.; Humphreys, E.M.L.; Lindqvist, M.; Maercker, M.; Olofsson, H.; et al. The circumstellar envelope around the S-type AGB star W Aql. Effects of an eccentric binary orbit. Astron. Astrophys. 2017, 605, A126. [Google Scholar] [CrossRef] [PubMed]
- Neri, R.; Kahane, C.; Lucas, R.; Bujarrabal, V.; Loup, C. A (12) CO (J=1-> 0) and (J=2-> 1) atlas of circumstellar envelopes of AGB and post-AGB stars. Astron. Astrophys. Suppl. Ser. 1998, 130, 1–64. [Google Scholar] [CrossRef][Green Version]





Publisher’s Note: MDPI stays neutral with regard to jurisdictional claims in published maps and institutional affiliations. |
© 2022 by the authors. Licensee MDPI, Basel, Switzerland. This article is an open access article distributed under the terms and conditions of the Creative Commons Attribution (CC BY) license (https://creativecommons.org/licenses/by/4.0/).
Share and Cite
Andriantsaralaza, M.; Vlemmings, W.; Ramstedt, S.; De Beck, E. DEATHSTAR—CO Envelope Size and Asymmetry of Nearby AGB Stars. Galaxies 2022, 10, 33. https://doi.org/10.3390/galaxies10010033
Andriantsaralaza M, Vlemmings W, Ramstedt S, De Beck E. DEATHSTAR—CO Envelope Size and Asymmetry of Nearby AGB Stars. Galaxies. 2022; 10(1):33. https://doi.org/10.3390/galaxies10010033
Chicago/Turabian StyleAndriantsaralaza, Miora, Wouter Vlemmings, Sofia Ramstedt, and Elvire De Beck. 2022. "DEATHSTAR—CO Envelope Size and Asymmetry of Nearby AGB Stars" Galaxies 10, no. 1: 33. https://doi.org/10.3390/galaxies10010033
APA StyleAndriantsaralaza, M., Vlemmings, W., Ramstedt, S., & De Beck, E. (2022). DEATHSTAR—CO Envelope Size and Asymmetry of Nearby AGB Stars. Galaxies, 10(1), 33. https://doi.org/10.3390/galaxies10010033

