Tocilizumab and Rituximab in Systemic Sclerosis: A Real-Life Retrospective Observational Study Across Different Clinical Phenotypes
Abstract
1. Introduction
2. Materials and Methods
Statistical Analysis
3. Results
3.1. Cohort Characteristics
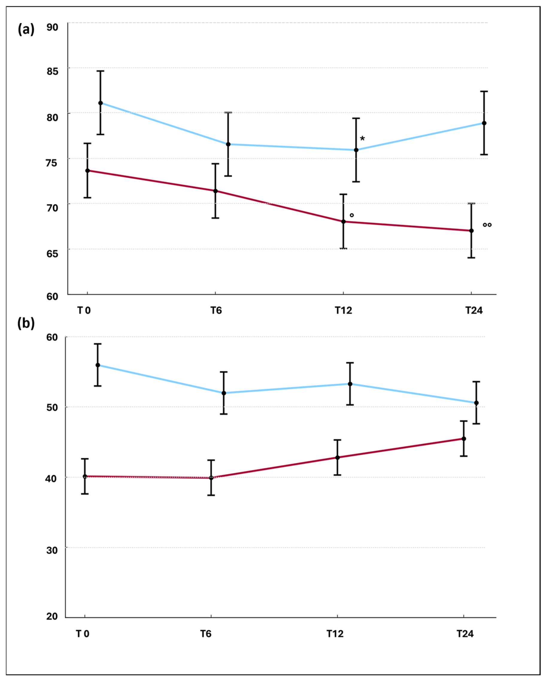
3.2. Clinical Outcomes: Trends and Comparison Between Groups
3.3. Spirometric Trends and Pulmonary Progression: Analysis and Comparison Between the Treatment Groups
3.4. Prognosis and Safety
4. Discussion
5. Conclusions
Supplementary Materials
Author Contributions
Funding
Institutional Review Board Statement
Informed Consent Statement
Data Availability Statement
Acknowledgments
Conflicts of Interest
Abbreviations
| ACA | Anti-centromere antibody |
| AHSCT | Autologous hematopoietic stem cell transplantation |
| ATA | Anti-topoisomerase I antibody |
| CRP | C-reactive protein |
| CT | Computed tomography |
| CTD | Connective tissue disease |
| CTD-ILD | Connective tissue disease-associated interstitial lung disease |
| CYC | Cyclophosphamide |
| dcSSc | Diffuse cutaneous systemic sclerosis |
| DLCO% | Diffusing capacity for carbon monoxide (percentage of predicted) |
| FDA | Food and Drug Administration |
| FVC% | Forced vital capacity (percentage of predicted) |
| IL6 | Interleukin-6 |
| ILD | Interstitial lung disease |
| IS | Immunosuppressants |
| MMF | Mycophenolate mofetil |
| mRSS | Modified Rodnan Skin Score |
| MTX | Methotrexate |
| NNT | Nintedanib |
| NSIP | Non-specific interstitial pneumonia |
| PFT | Pulmonary function test |
| PH | Pulmonary hypertension |
| RAI | Revised EUSTAR Activity Index 2017 |
| RTX | Rituximab |
| SSc | Systemic sclerosis |
| TCZ | Tocilizumab |
References
- Volkmann, E.R.; Andréasson, K.; Smith, V. Systemic sclerosis. Lancet 2023, 401, 304–318. [Google Scholar] [CrossRef]
- Tyndall, A.J.; Bannert, B.; Vonk, M.; Airò, P.; Cozzi, F.; Carreira, P.E.; Bancel, D.F.; Allanore, Y.; Müller-Ladner, U.; Distler, O.; et al. Causes and risk factors for death in systemic sclerosis: A study from the EULAR Scleroderma Trials and Research (EUSTAR) database. Ann. Rheum. Dis. 2010, 69, 1809–1815. [Google Scholar] [CrossRef] [PubMed]
- Hoffmann-Vold, A.M.; Allanore, Y.; Alves, M.; Brunborg, C.; Airó, P.; Ananieva, L.P.; Czirják, L.; Guiducci, S.; Hachulla, E.; Li, M.; et al. Progressive interstitial lung disease in patients with systemic sclerosis-associated interstitial lung disease in the EUSTAR database. Ann. Rheum. Dis. 2021, 80, 219–227. [Google Scholar] [CrossRef]
- Ebata, S.; Yoshizaki, A.; Oba, K.; Kashiwabara, K.; Ueda, K.; Uemura, Y.; Watadani, T.; Fukasawa, T.; Miura, S.; Yoshizaki-Ogawa, A.; et al. Safety and efficacy of rituximab in systemic sclerosis (DESIRES): A double-blind, investigator-initiated, randomised, placebo-controlled trial. Lancet Rheumatol. 2021, 3, e489–e497. [Google Scholar] [CrossRef]
- Maher, T.M.; Tudor, V.A.; Saunders, P.; Gibbons, M.A.; Fletcher, S.V.; Denton, C.P.; Hoyles, R.K.; Parfrey, H.; A Renzoni, E.; Kokosi, M.; et al. Rituximab versus intravenous cyclophosphamide in patients with connective tissue disease-associated interstitial lung disease in the UK (RECITAL): A double-blind, double-dummy, randomised, controlled, phase 2b trial. Lancet Respir. Med. 2023, 11, 45–54. [Google Scholar] [CrossRef]
- Khanna, D.; Denton, C.P.; Jahreis, A.; Van Laar, J.M.; Frech, T.M.; Anderson, M.E.; Baron, M.; Chung, L.; Fierlbeck, G.; Lakshminarayanan, S.; et al. Safety and efficacy of subcutaneous tocilizumab in adults with systemic sclerosis (faSScinate): A phase 2, randomised, controlled trial. Lancet 2016, 387, 2630–2640. [Google Scholar] [CrossRef]
- Khanna, D.; Lin, C.J.F.; Furst, D.E.; Goldin, J.; Kim, G.; Kuwana, M.; Allanore, Y.; Matucci-Cerinic, M.; Distler, O.; Shima, Y.; et al. Tocilizumab in systemic sclerosis: A randomised, double-blind, placebo-controlled, phase 3 trial. Lancet Respir. Med. 2020, 8, 963–974. [Google Scholar] [CrossRef] [PubMed]
- Distler, O.; Highland, K.B.; Gahlemann, M.; Azuma, A.; Fischer, A.; Mayes, M.D.; Raghu, G.; Sauter, W.; Girard, M.; Alves, M.; et al. Nintedanib for Systemic Sclerosis–Associated Interstitial Lung Disease. N. Engl. J. Med. 2019, 380, 2518–2528. [Google Scholar] [CrossRef] [PubMed]
- Wells, A.U.; Flaherty, K.R.; Brown, K.K.; Inoue, Y.; Devaraj, A.; Richeldi, L.; Moua, T.; Crestani, B.; Wuyts, W.A.; Stowasser, S.; et al. Nintedanib in patients with progressive fibrosing interstitial lung diseases—Subgroup analyses by interstitial lung disease diagnosis in the INBUILD trial: A randomised, double-blind, placebo-controlled, parallel-group trial. Lancet Respir. Med. 2020, 8, 453–460. [Google Scholar] [CrossRef]
- Del Galdo, F.; Lescoat, A.; Conaghan, P.G.; Bertoldo, E.; Čolić, J.; Santiago, T.; Suliman, Y.A.; Matucci-Cerinic, M.; Gabrielli, A.; Distler, O.; et al. EULAR recommendations for the treatment of systemic sclerosis: 2023 update. Ann. Rheum. Dis. 2024, 84, 29–40. [Google Scholar] [CrossRef]
- Goldman, N.R.; Nihtyanova, S.I.; Beesley, C.F.; Wells, A.U.; Denton, C.P.; Renzoni, E.A.; Mageed, R.; Ong, V.H. Tocilizumab and rituximab for systemic sclerosis interstitial lung disease: A real-world cohort analysis. Rheumatology 2025, 64, SI184–SI189. [Google Scholar] [CrossRef]
- Yan, Q.; Bruni, C.; Garaiman, A.; Mihai, C.; Jordan, S.; Becker, M.O.; Elhai, M.; Dobrota, R.; Liubov, P.; Henes, J.; et al. Post hoc comparison of the effectiveness of tocilizumab, rituximab, mycophenolate mofetil, and cyclophosphamide in patients with SSc-ILD from the EUSTAR database. Ann. Rheum. Dis. 2025, 84, 620–631. [Google Scholar] [CrossRef]
- van den Hoogen, F.; Khanna, D.; Fransen, J.; Johnson, S.R.; Baron, M.; Tyndall, A.; Matucci-Cerinic, M.; Naden, R.P.; Medsger, T.A., Jr.; Carreira, P.E.; et al. 2013 classification criteria for systemic sclerosis: An American college of rheumatology/European league against rheumatism collaborative initiative. Ann. Rheum. Dis. 2013, 72, 1747–1755. [Google Scholar] [CrossRef]
- Valentini, G.; Iudici, M.; Walker, U.A.; Jaeger, V.K.; Baron, M.; Carreira, P.; Czirják, L.; Denton, C.P.; Distler, O.; Hachulla, E.; et al. The European Scleroderma Trials and Research group (EUSTAR) task force for the development of revised activity criteria for systemic sclerosis: Derivation and validation of a preliminarily revised EUSTAR activity index. Ann. Rheum. Dis. 2017, 76, 270–276. [Google Scholar] [CrossRef] [PubMed]
- Khanna, D.; Mittoo, S.; Aggarwal, R.; Proudman, S.M.; Dalbeth, N.; Matteson, E.L.; Brown, K.; Flaherty, K.; Wells, A.U.; Seibold, J.R.; et al. Connective Tissue Disease-associated Interstitial Lung Diseases (CTD-ILD)—Report from OMERACT CTD-ILD Working Group. J. Rheumatol. 2015, 42, 2168–2171. [Google Scholar] [CrossRef]
- Tang, R.; Yu, J.; Shi, Y.; Zou, P.; Zeng, Z.; Tang, B.; Wang, Y.; Ling, G.; Luo, M.; Xiao, R. Safety and efficacy of Rituximab in systemic sclerosis: A systematic review and meta-analysis. Int. Immunopharmacol. 2020, 83, 106389. [Google Scholar] [CrossRef] [PubMed]
- Boonstra, M.; Meijs, J.; Dorjée, A.L.; Marsan, N.A.; Schouffoer, A.; Ninaber, M.K.; Quint, K.D.; Bonte-Mineur, F.; Huizinga, T.W.J.; Scherer, H.U.; et al. Rituximab in early systemic sclerosis. RMD Open 2017, 3, e000384. [Google Scholar] [CrossRef] [PubMed]
- Sircar, G.; Goswami, R.P.; Sircar, D.; Ghosh, A.; Ghosh, P. Intravenous cyclophosphamide vs. rituximab for the treatment of early diffuse scleroderma lung disease: Open label, randomized, controlled trial. Rheumatology 2018, 57, 2106–2113. [Google Scholar] [CrossRef]
- Petelytska, L.; Bonomi, F.; Cannistrà, C.; Fiorentini, E.; Peretti, S.; Torracchi, S.; Bernardini, P.; Coccia, C.; De Luca, R.; Economou, A.; et al. Heterogeneity of determining disease severity, clinical course and outcomes in systemic sclerosis-associated interstitial lung disease: A systematic literature review. RMD Open 2023, 9, e003426. [Google Scholar] [CrossRef]
- Kuster, S.; Jordan, S.; Elhai, M.; Held, U.; Steigmiller, K.; Bruni, C.; Cacciapaglia, F.; Vettori, S.; Siegert, E.; Rednic, S.; et al. Effectiveness and safety of tocilizumab in patients with systemic sclerosis: A propensity score matched controlled observational study of the EUSTAR cohort. RMD Open 2022, 8, e002477. [Google Scholar] [CrossRef]
- Liu, X.; Mayes, M.D.; Pedroza, C.; Draeger, H.T.; Gonzalez, E.B.; Harper, B.E.; Reveille, J.D.; Assassi, S. Does C-Reactive Protein Predict the Long-Term Progression of Interstitial Lung Disease and Survival in Patients with Early Systemic Sclerosis? Arthritis Care Res. 2013, 65, 1375–1380. [Google Scholar] [CrossRef] [PubMed]
- Hassoun, P.M. Pulmonary Arterial Hypertension. N. Engl. J. Med. 2021, 385, 2361–2376. [Google Scholar] [CrossRef]
- Ghazipura, M.; Macrea, M.; Herman, D.; Barnes, H.; Knight, S.L.; Silver, R.M.; Montesi, S.B.; Raghu, G.; Hossain, T. Tocilizumab in Patients with Systemic Sclerosis–associated Interstitial Lung Disease: A Systematic Review and Meta-Analysis. Ann. Am. Thorac. Soc. 2024, 21, 328–337. [Google Scholar] [CrossRef] [PubMed]
- De Luca, G.; De Lorenzis, E.; Campochiaro, C.; Cacciapaglia, F.; Del Papa, N.; Zanatta, E.; Airò, P.; Lazzaroni, M.G.; Giuggioli, D.; De Santis, M.; et al. Rituximab retention rate in systemic sclerosis: A long term real-life multicentre study. Rheumatology 2025, 64, 1284–1291. [Google Scholar] [CrossRef] [PubMed]



| TCZ (27) | RTX (23) | p-Values | |
|---|---|---|---|
| Female, n (%) | 25 (92.59) | 21 (91.30) | 1.000 |
| Caucasian, n (%) | 21 (77.77) | 21 (91.30) | 0.479 |
| Age, years, mean (SD) | 49.37 (14.49) | 48.30 (8.49) | 0.785 |
| Disease duration, months, median (IQR) | 98 (95.50) | 37 (20.50) | <0.001 |
| dcSSc, n (%) | 23 (85.18) | 23 (100.00) | 0.115 |
| ATA, n (%) | 23 (85.18) | 19 (82.61) | 1.000 |
| ACA, n (%) | 0 (0) | 1 (4.30) | 0.460 |
| ILD, n (%) | 19 (70.37) | 18 (78.26) | 0.747 |
| PH, n (%) | 2 (7.41) | 3 (13.04) | 0.868 |
| RA overlap, n (%) | 2 (7.41) | 2 (8.69) | 1.000 |
| FVC%, mean (SD) * | 73.68 (18.78) | 81.16 (20.66) | 0.320 |
| DLCO%, mean (SD) * | 41 (24.00) | 56 (20.91) | 0.024 |
| Arthritis, n (%) | 15 (55.55) | 9 (39.13) | 0.272 |
| Myocarditis, n (%) | 4 (14.81) | 3 (13.04) | 1.000 |
| Steroid, n (%) | 25 (92.60) | 21 (91.30) | 1.000 |
| Steroid dosage, mg, median (IQR) | 7.50 (5.00) | 10.00 (5.00) | 0.572 |
| MTX, n (%) | 11 (40.74) | 12 (52.17) | 0.570 |
| MMF, n (%) | 5 (18.52) | 7 (30.43) | 0.508 |
| NNT, n (%) | 7 (25.92) | 0 (0.00) | 0.011 |
| mRSS, median (IQR) | 3 (8.00) | 14 (10.00) | <0.001 |
| CRP, mg/dL, median (IQR) | 0.50 (8.00) | 0.30 (1.25) | 0.168 |
| RAI > 2.5, n (%) | 21 (77.78) | 21 (91.30) | 0.147 |
| Initiated for ILD, n (%) | 15 (55.55) | 10 (43.48) | 0.571 |
| Initiated for skin disease, n (%) | 3 (11.11) | 13 (56.52) | 0.008 |
| Initiated for myocarditis, n (%) | 3 (11.11) | 0 (0.00) | 0.240 |
| Initiated for arthritis, n (%) | 6 (22.22) | 0 (0.00) | 0.005 |
| T6 vs. T0 | T12 vs. T0 | T24 vs. T0 | T12 vs. T6 | T24 vs. T12 | T6 vs. T0 | |||||||
|---|---|---|---|---|---|---|---|---|---|---|---|---|
| Tocilizumab | Delta | p | Delta | p | Delta | p | Delta | p | Delta | p | Delta | p |
| mRSS | −1.000 | 0.010 | −1.000 | 0.011 | −1.000 | 0.001 | 0.000 | 0.044 | 0.000 | <0.001 | −1.000 | 0.011 |
| CRP | −0.500 | 0.009 | −0.500 | <0.001 | −0.500 | <0.001 | 0.000 | 0.036 | 0.000 | 0.150 | −0.500 | <0.001 |
| RAI | −1.572 | <0.001 | −2.664 | <0.001 | −2.832 | <0.001 | −1.092 | 0.007 | −0.168 | 0.006 | −2.664 | <0.001 |
| Rituximab | Delta | p | Delta | p | Delta | p | Delta | p | Delta | p | Delta | p |
| mRSS | −6.000 | <0.001 | −8.000 | <0.001 | −10.00 | <0.001 | −2.000 | 0.003 | −2.000 | 0.050 | −6.000 | <0.001 |
| CRP | −0.300 | 0.003 | −0.300 | <0.001 | −0.100 | 0.090 | 0.000 | 0.125 | 0.200 | 0.010 | −0.300 | 0.003 |
| RAI | −3.624 | <0.001 | −3.750 | <0.001 | −3.582 | <0.001 | −0.126 | 0.080 | 0.168 | 0.067 | −3.624 | <0.001 |
Disclaimer/Publisher’s Note: The statements, opinions and data contained in all publications are solely those of the individual author(s) and contributor(s) and not of MDPI and/or the editor(s). MDPI and/or the editor(s) disclaim responsibility for any injury to people or property resulting from any ideas, methods, instructions or products referred to in the content. |
© 2026 by the authors. Licensee MDPI, Basel, Switzerland. This article is an open access article distributed under the terms and conditions of the Creative Commons Attribution (CC BY) license.
Share and Cite
Cavalli, S.; Pellico, M.R.; Trignani, G.; Sette, M.; Iannone, C.; Caporali, R.; Del Papa, N. Tocilizumab and Rituximab in Systemic Sclerosis: A Real-Life Retrospective Observational Study Across Different Clinical Phenotypes. J. Pers. Med. 2026, 16, 186. https://doi.org/10.3390/jpm16040186
Cavalli S, Pellico MR, Trignani G, Sette M, Iannone C, Caporali R, Del Papa N. Tocilizumab and Rituximab in Systemic Sclerosis: A Real-Life Retrospective Observational Study Across Different Clinical Phenotypes. Journal of Personalized Medicine. 2026; 16(4):186. https://doi.org/10.3390/jpm16040186
Chicago/Turabian StyleCavalli, Silvia, Maria Rosa Pellico, Giorgia Trignani, Manuel Sette, Claudia Iannone, Roberto Caporali, and Nicoletta Del Papa. 2026. "Tocilizumab and Rituximab in Systemic Sclerosis: A Real-Life Retrospective Observational Study Across Different Clinical Phenotypes" Journal of Personalized Medicine 16, no. 4: 186. https://doi.org/10.3390/jpm16040186
APA StyleCavalli, S., Pellico, M. R., Trignani, G., Sette, M., Iannone, C., Caporali, R., & Del Papa, N. (2026). Tocilizumab and Rituximab in Systemic Sclerosis: A Real-Life Retrospective Observational Study Across Different Clinical Phenotypes. Journal of Personalized Medicine, 16(4), 186. https://doi.org/10.3390/jpm16040186

