External Validation and Comparative Performance of the T.O.HO. and S.T.O.N.E. Scoring Systems for Predicting Stone-Free Outcomes Following Flexible Ureteroscopy: Toward Personalized Preoperative Counseling
Abstract
1. Introduction
2. Materials and Methods
2.1. Study Design and Population
2.2. Operative Details: Laser Platforms, Ureteroscopes, and Accessory Devices
2.3. Data Collection
2.4. Definition of Stone-Free Status
2.5. Scoring Systems
2.6. Statistical Analysis
2.7. Ethical Considerations
3. Results
3.1. Patient Characteristics
3.2. Uni- and Multivariate Analyses
3.3. ROC Curve Analysis
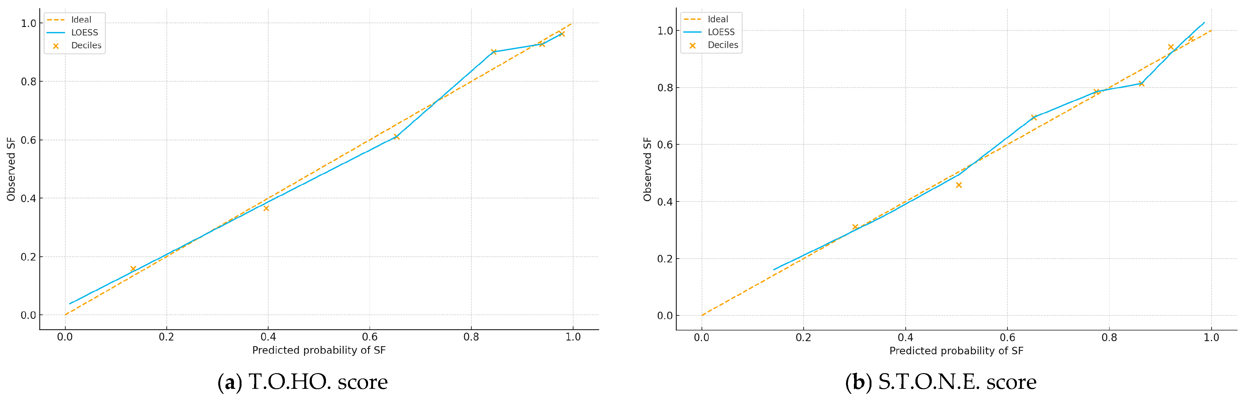
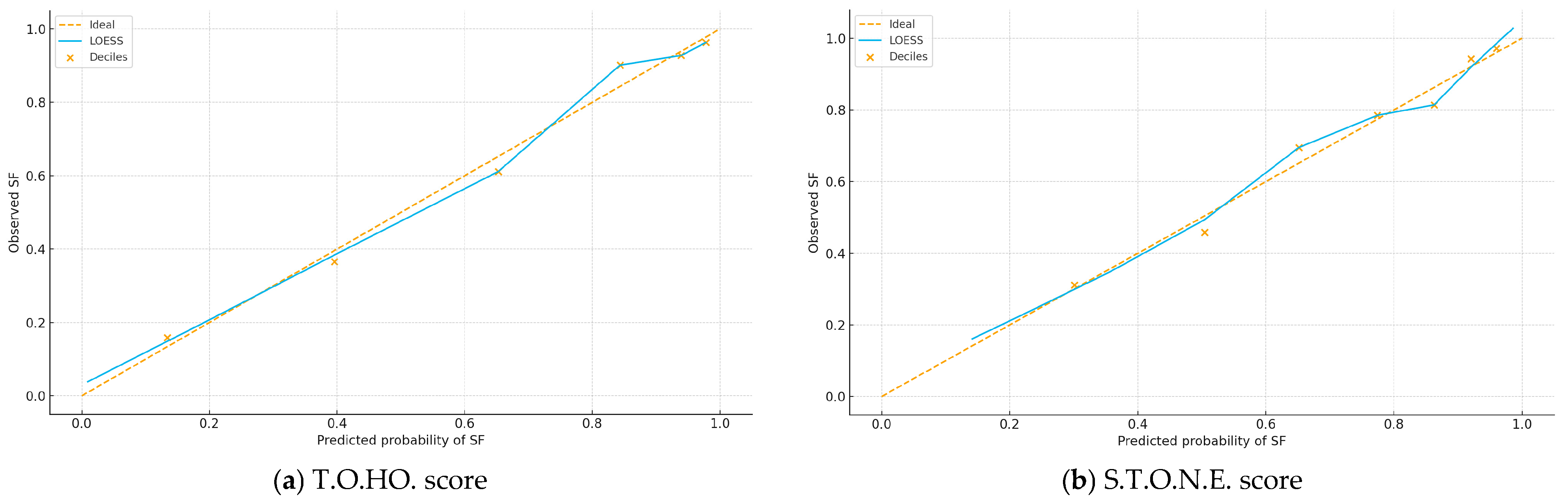
3.4. Calibration and DCA
3.5. Threshold Metrics
4. Discussion
5. Conclusions
Author Contributions
Funding
Institutional Review Board Statement
Informed Consent Statement
Data Availability Statement
Conflicts of Interest
Abbreviations
| AUC | area under the curve |
| BMI | body mass index |
| CI | confidence interval |
| CKD | chronic kidney disease |
| CRP | C-reactive protein |
| CT | computed tomography |
| DCA | decision curve analysis |
| ECOG-PS | Eastern Cooperative Oncology Group–Performance Status |
| eGFR | estimated glomerular filtration rate |
| fURS | flexible ureteroscopy |
| Hb | hemoglobin |
| HbA1c | hemoglobin A1c |
| HU | Hounsfield units |
| IQR | interquartile range |
| LOESS | locally estimated scatterplot smoothing |
| NCCT | non-contrast computed tomography |
| NPV | negative predictive value |
| OR | odds ratio |
| PPV | positive predictive value |
| ROC | receiver operating characteristic |
| SF | stone-free |
| WBC | white blood cell |
References
- Thongprayoon, C.; Krambeck, A.E.; Rule, A.D. Determining the true burden of kidney stone disease. Nat. Rev. Nephrol. 2020, 16, 736. [Google Scholar] [CrossRef]
- Shpunt, I.; Pratt Aloni, H.; Khanukaeva, N.; Herskovitz, P.; Dror, I.; Berkowitz, B.; Leibovici, D.; Shilo, Y. The Impact of Radiographic, Metabolic and Demographic Characteristics on Kidney Stone Recurrence. JPM 2022, 12, 1632. [Google Scholar] [CrossRef]
- Chang, C.; Ke, H.; Lee, J.; Lee, Y.; Jhan, J.; Wang, H.; Shen, J.; Tsao, Y.; Huang, S.; Geng, J. Metabolic Syndrome Increases the Risk of Kidney Stone Disease: A Cross-Sectional and Longitudinal Cohort Study. JPM 2021, 11, 1154. [Google Scholar] [CrossRef]
- Zi, H.; Liu, M.; Luo, L.; Huang, Q.; Luo, P.; Luan, H.; Huang, J.; Wang, D.; Wang, Y.; Zhang, Y.; et al. Global burden of benign prostatic hyperplasia, urinary tract infections, urolithiasis, bladder cancer, kidney cancer, and prostate cancer from 1990 to 2021. Mil. Med. Res. 2024, 11, 64. [Google Scholar] [CrossRef]
- Scales, C.D.; Smith, A.C.; Hanley, J.M.; Saigal, C.S. Prevalence of Kidney Stones in the United States. Eur. Urol. 2012, 62, 160. [Google Scholar] [CrossRef]
- Abu-Ghanem, Y.; Fontaine, C.; Sehgal, R.; Forster, L.; Verma, N.; Ellis, G.; Kucheria, R.; Allen, D.; Singh, P.; Goyal, A.; et al. Emergency Primary Ureteroscopy for Acute Ureteric Colic—From Guidelines to Practice. JPM 2022, 12, 1866. [Google Scholar] [CrossRef]
- Huettenbrink, C.; Hitzl, W.; Distler, F.; Ell, J.; Ammon, J.; Pahernik, S. Personalized Prediction of Patient Radiation Exposure for Therapy of Urolithiasis: An Application and Comparison of Six Machine Learning Algorithms. JPM 2023, 13, 643. [Google Scholar] [CrossRef] [PubMed]
- Aiumtrakul, N.; Thongprayoon, C.; Arayangkool, C.; Vo, K.B.; Wannaphut, C.; Suppadungsuk, S.; Krisanapan, P.; Garcia Valencia, O.A.; Qureshi, F.; Miao, J.; et al. Personalized Medicine in Urolithiasis: AI Chatbot-Assisted Dietary Management of Oxalate for Kidney Stone Prevention. JPM 2024, 14, 107. [Google Scholar] [CrossRef]
- Xiao, Y.; Li, D.; Chen, L.; Xu, Y.; Zhang, D.; Shao, Y.; Lu, J. The R.I.R.S. scoring system: An innovative scoring system for predicting stone-free rate following retrograde intrarenal surgery. BMC Urol. 2017, 17, 105. [Google Scholar] [CrossRef]
- Gu, J.; Luo, S.; Jiang, L.; Hu, D.; Zhao, G.; Tang, W. Novel scoring system combined with a virtual reality technique for the preoperative evaluation of the stone-free status after flexible ureteroscopy: The H.L.P.E.S. score. BMC Urol. 2022, 22, 161. [Google Scholar] [CrossRef]
- Molina, W.R.; Kim, F.J.; Spendlove, J.; Pompeo, A.S.; Sillau, S.; Sehrt, D.E. The S.T.O.N.E. Score: A new assessment tool to predict stone free rates in ureteroscopy from pre-operative radiological features. Int. Braz. J. Urol. 2014, 40, 23. [Google Scholar] [CrossRef]
- Hori, S.; Otsuki, H.; Fujio, K.; Kobayashi, H.; Nagao, K.; Nakajima, K.; Mitsui, Y. Novel prediction scoring system for simple assessment of stone-free status after flexible ureteroscopy lithotripsy: T.O.HO. score. Int. J. Urol. 2020, 27, 742. [Google Scholar] [CrossRef]
- Bulut, S.; Yahsi, S.; Ceviz, K.; Esengen, S.; Gültekin, H. External validation of Ito’s nomogram and T.O.HO. scoring system in flexible ureterorenoscopy. BMC Urol. 2024, 24, 203. [Google Scholar] [CrossRef]
- Senel, S.; Kasap, Y.; Kizilkan, Y.; Tastemur, S.; Ozden, C. External validation of the T.O.HO. score as predictor of success after retrograde intrarenal surgery. BMC Urol. 2022, 22, 68. [Google Scholar] [CrossRef]
- Utsumi, T.; Ishitsuka, N.; Noro, T.; Suzuki, Y.; Iijima, S.; Sugizaki, Y.; Somoto, T.; Oka, R.; Endo, T.; Kamiya, N.; et al. Development, Validation, and Clinical Utility of a Nomogram for Urological Tumors: How to Build the Best Predictive Model. Int. J. Urol. 2025, 32, 919–931. [Google Scholar] [CrossRef]
- Sugizaki, Y.; Utsumi, T.; Ishitsuka, N.; Noro, T.; Suzuki, Y.; Iijima, S.; Somoto, T.; Oka, R.; Endo, T.; Kamiya, N.; et al. Predicting Urosepsis in Ureteral Calculi: External Validation of Hu’s Nomogram and Identification of Novel Risk Factors. Diagnostics 2025, 15, 1104. [Google Scholar] [CrossRef]
- Iijima, S.; Utsumi, T.; Ishitsuka, N.; Noro, T.; Suzuki, Y.; Sugizaki, Y.; Somoto, T.; Oka, R.; Endo, T.; Kamiya, N.; et al. Impact of COVID-19 on Ureteroscopy Management of Urolithiasis: Retrospective Comparative Study Before and After Pandemic. Appl. Sci. 2025, 15, 6101. [Google Scholar] [CrossRef]
- Matsuo, S.; Imai, E.; Horio, M.; Yasuda, Y.; Tomita, K.; Nitta, K.; Yamagata, K.; Tomino, Y.; Yokoyama, H.; Hishida, A. Revised Equations for Estimated GFR From Serum Creatinine in Japan. Am. J. Kidney Dis. 2009, 53, 982. [Google Scholar] [CrossRef]
- Fernbach, S.K.; Maizels, M.; Conway, J.J. Ultrasound grading of hydronephrosis: Introduction to the system used by the Society for Fetal Urology. Pediatr. Radiol. 1993, 23, 478–480. [Google Scholar] [CrossRef]
- Yang, B.; Sun, S.; Wang, J.; Wang, J.; Liu, S.; Wei, Y.; Yang, X. Novel scoring system for predicting stone-free rate after flexible ureteroscopy lithotripsy. Medicine 2024, 103, e40390. [Google Scholar] [CrossRef]
- Polat, S.; Danacioglu, Y.O.; Soytas, M.; Yarimoglu, S.; Koras, O.; Fakir, A.E.; Seker, K.G.; Degirmenci, T. External validation of the T.O.HO. score and derivation of the modified T.O.HO. score for predicting stone-free status after flexible ureteroscopy in ureteral and renal stones. Int. J. Clin. Pract. 2021, 75, e14653. [Google Scholar] [CrossRef]
- Kanda, Y. Investigation of the freely available easy-to-use software ‘EZR’ for medical statistics. Bone Marrow Transplant. 2013, 48, 452. [Google Scholar] [CrossRef] [PubMed]
- Noah, K.; Shaher, H.; Hamdy, M.; Diab, T.; Farag, M. Comparative analysis of STONE, TOHO, and ITO stone scoring systems for predicting stone-free status following flexible ureteroscopy in patients with renal stones: A prospective study. Int. Urol. Nephrol. 2025; in press. [Google Scholar]
- Selmi, V.; Sari, S.; Oztekin, U.; Caniklioglu, M.; Isikay, L. External Validation and Comparison of Nephrolithometric Scoring Systems Predicting Outcomes of Retrograde Intrarenal Surgery. J. Endourol. 2021, 35, 781. [Google Scholar] [CrossRef]
- Richard, F.; Marguin, J.; Frontczak, A.; Barkatz, J.; Balssa, L.; Bernardini, S.; Chabannes, E.; Guichard, G.; Bittard, H.; Kleinclauss, F. Evaluation and comparison of scoring systems for predicting stone-free status after flexible ureteroscopy for renal and ureteral stones. PLoS ONE 2020, 15, e0237068. [Google Scholar] [CrossRef] [PubMed]
- Ito, H.; Sakamaki, K.; Kawahara, T.; Terao, H.; Yasuda, K.; Kuroda, S.; Yao, M.; Kubota, Y.; Matsuzaki, J. Development and internal validation of a nomogram for predicting stone-free status after flexible ureteroscopy for renal stones. BJU Int. 2015, 115, 446. [Google Scholar] [CrossRef]
- Resorlu, B.; Unsal, A.; Gulec, H.; Oztuna, D. A new scoring system for predicting stone-free rate after retrograde intrarenal surgery: The “resorlu-unsal stone score”. Urology 2012, 80, 512–518. [Google Scholar] [CrossRef]
- Raj, K.K.; Adiga, K.P.; D’Souza, R.C.C.; Nandakishore, B.; Shetty, M. Assessment of Factors Responsible for Stone-Free Status After Retrograde Intrarenal Surgery. Cureus 2024, 16, e63627. [Google Scholar] [CrossRef]
- Akgül, M.; Çakır, H.; Çinar, Ö.; Özman, O.; Başataç, C.; Sıddıkoğlu, D.; Doğan, Ç.; Başeskioğlu, A.B.; Yazıcı, C.M.; Sancak, E.; et al. The Efficacy and Safety of Retrograde Intrarenal Surgery: A Multi-Center Experience of the RIRSearch Group Study. J. Urol. Surg. 2023, 10, 119. [Google Scholar] [CrossRef]
- Ozgor, F.; Kucuktopcu, O.; Ucpinar, B.; Gurbuz, Z.G.; Sarilar, O.; Berberoglu, A.Y.; Baykal, M.; Binbay, M. Is there a difference between presence of single stone and multiple stones in flexible ureterorenoscopy and laser lithotripsy for renal stone burden. Int. Braz. J. Urol. 2016, 42, 1168. [Google Scholar] [CrossRef]
- Fan, S.; Gong, B.; Hao, Z.; Zhang, L.; Zhou, J.; Zhang, Y.; Liang, C. Risk factors of infectious complications following flexible ureteroscope with a holmium laser: A retrospective study. Int. J. Clin. Exp. Med. 2015, 8, 11252. [Google Scholar]
- Demir, M.; Dündar, İ.; Eryilmaz, R.; Aslan, R.; Ertaş, K.; Durmaz, F.; Sevim, M.; Körpe, K.; Taken, K. Average, and Maximum Ureteral Wall Thickness are Predictor Factor for Ureteroscopy Outcomes? Online Türk Sağlık Bilim. Derg. 2022, 7, 215. [Google Scholar] [CrossRef]
- Kırlı, E.A.; Bülbül, E.; Kaygısız, O.; Yeni, S.; Can, G.; Tutar, O.; Onal, B. Ureteral wall thickness at the stone site: A critical predictor of success and complications in children undergoing semi-rigid ureteroscopy. J. Pediatr. Urol. 2021, 17, 796.e1–796.e8. [Google Scholar] [CrossRef]
- Ma, Y.; Jian, Z.; Xiang, L.; Zhou, L.; Jin, X.; Luo, D.; Li, H.; Wang, K. Development of a novel predictive model for a successful stone removal after flexible ureteroscopic lithotripsy based on ipsilateral renal function: A single-centre, retrospective cohort study in China. BMJ Open 2022, 12, e059319. [Google Scholar] [CrossRef]
- Akdogan, N.; Zubaroglu, M.; Arıkan, M.G.; Yilmaz, I.O.; Deger, M. The impact of chronic kidney disease stages and CROES AND GSS scores on stone free rate in kidney stones. BMC Urol. 2025, 25, 65. [Google Scholar] [CrossRef] [PubMed]
- Yuruk, E.; Binbay, M.; Ozgor, F.; Erbin, A.; Berberoglu, Y.; Muslumanoglu, A.Y. Flexible ureterorenoscopy is safe and efficient for the treatment of kidney stones in patients with chronic kidney disease. Urology 2014, 84, 1279–1284. [Google Scholar] [CrossRef] [PubMed]
- Reeves, T.; Pietropaolo, A.; Somani, B.K. Ureteroscopy and Laser Stone Fragmentation Is Safe and Tends to Improve Renal Function in Patients with Chronic Kidney Disease: Prospective Outcomes with a Minimum Follow-Up of 6 Months. J. Endourol. 2020, 34, 423. [Google Scholar] [CrossRef]
- Ito, K.; Takahashi, T.; Somiya, S.; Kanno, T.; Higashi, Y.; Yamada, H. Predictors of Repeat Surgery and Stone-related Events After Flexible Ureteroscopy for Renal Stones. Urology 2021, 154, 96–102. [Google Scholar] [CrossRef]
- Khaitan, A.; Gupta, N.P.; Hemal, A.K.; Dogra, P.N.; Seth, A.; Aron, M. Post-ESWL, clinically insignificant residual stones: Reality or myth? Urology 2002, 59, 20–24. [Google Scholar] [CrossRef]
- Çavdar, O.F.; Aydin, A.; Tokas, T.; Tozsin, A.; Gadzhiev, N.; Sönmez, M.G.; Tekeli, R.; Ortner, G.; Kallidonis, P.; Akgül, B.; et al. Residual stone fragments: Systematic review of definitions, diagnostic standards. World J. Urol. 2025, 43, 194. [Google Scholar] [CrossRef]
- Osman, Y.; Harraz, A.M.; El-Nahas, A.R.; Awad, B.; El-Tabey, N.; Shebel, H.; Shoma, A.M.; Eraky, I.; El-Kenawy, M. Clinically Insignificant Residual Fragments: An Acceptable Term in the Computed Tomography Era? Urology 2013, 81, 723–726. [Google Scholar] [CrossRef]



| Variables | Total (N = 361) |
|---|---|
| Sex (Male/Female), n (%) | 228 (63.2)/133 (36.8) |
| Age (years), Median (IQR) | 62.0 (52.0–73.0) |
| BMI (kg/m2), Median (IQR) | 24.4 (21.8–26.9) |
| ECOG-PS ≥ 2, n (%) | 12 (3.3) |
| Medical history: | |
| Urolithiasis, n (%) | 211 (58.5) |
| Diabetes mellitus, n (%) | 71 (19.7) |
| Hyperparathyroidism, n (%) | 11 (3.0) |
| Medication use: | |
| α1-blocker | 35 (9.7) |
| Anticoagulant/antiplatelet agents, n (%) | 27 (7.5) |
| Corticosteroid, n (%) | 8 (2.2) |
| Pre-stenting, n (%) | 145 (40.2) |
| Ureteral stone characteristics: | |
| Maximum stone size (mm), Median (IQR) | 10.1 (7.0–13.6) |
| Total stone length (mm), Median (IQR) | 12.9 (8.3–19.4) |
| Laterality (Right/Left/Bilateral) , n (%) | 181 (50.1)/160 (44.3)/20 (5.6) |
| Ureteral stone location (Upper/Middle/Lower), n (%) | 206 (74.9)/37 (13.5)/32 (11.6) |
| Kidney stone location (Upper/Middle/Lower), n (%) | 36 (21.1)/31 (18.1)/104 (60.8) |
| Number of stones (1/2/ ≥ 3) | 169 (46.8)/87 (24.1)/105 (29.1) |
| Laboratory findings: | |
| WBC (/μL), Median (IQR) | 7030 (5660–8980) |
| Hb (g/dL) , Median (IQR) | 13.9 (12.8–15.0) |
| Platelet (×103/μL), Median (IQR) | 241 (195–279) |
| CRP (mg/dL), Median (IQR) | 0.2 (0.1–1.7) |
| HbA1c (%), Median (IQR) | 5.8 (5.5–6.3) |
| CKD ≥ G3 | 58 (16.1) |
| Urinalysis: | |
| Urine pH, Median (IQR) | 6.0 (5.5–7.0) |
| Urine WBC (positive), n (%) | 206 (57.4) |
| Urine nitrite (positive), n (%) | 20 (5.6) |
| Radiographic findings: | |
| Hydronephrosis grade (None/Grade I/Grade II/Grade III/Grade IV), n (%) | 128 (35.5)/ 96 (26.6)/ 93 (25.8)/ 37 (10.2)/ 7 (1.9) |
| Mean CT attenuation value of stones (HU), Median (IQR) | 862.0 (584.0–1120.0) |
| Solitary kidney, n (%) | 3 (0.8) |
| Operative time (min), Median (IQR) | 77.0 (56.0–98.0) |
| T.O.HO. score, Median (IQR) | 5.0 (4.0–6.0) |
| S.T.O.N.E. score, Median (IQR) | 10.0 (9.0–12.0) |
| Stone-free rate, n (%) | 255 (70.6) |
| Variables | Stone-Free (n = 255) | Non-Stone-Free (n = 106) | p Value |
|---|---|---|---|
| Sex (Female), n (%) | 97 (38.0) | 36 (34.0) | 0.48 |
| Age (years), Median (IQR) | 61.0 (51.0–72.0) | 62.0 (54.0–74.0) | 0.19 |
| BMI (kg/m2), Median (IQR) | 24.5 (22.0–27.1) | 23.8 (21.3–26.6) | 0.12 |
| ECOG-PS ≥ 2, n (%) | 9 (3.5) | 3 (2.8) | 1.00 |
| Medical history: | |||
| Urolithiasis, n (%) | 135 (52.9) | 76 (71.6) | <0.01 |
| Diabetes mellitus, n (%) | 55 (21.6) | 16 (15.1) | 0.19 |
| Hyperparathyroidism, n (%) | 5 (2.0) | 6 (5.7) | 0.09 |
| Medications use: | |||
| α1-blocker | 22 (8.6) | 13 (12.3) | 0.33 |
| Anticoagulant/antiplatelet agents, n (%) | 17 (6.7) | 10 (9.4) | 0.36 |
| Corticosteroid, n (%) | 4 (1.6) | 4 (3.8) | 0.18 |
| Pre-stenting, n (%) | 110 (43.1) | 35 (33.0) | 0.07 |
| Ureteral stone characteristics: | |||
| Maximum stone size (mm), Median (IQR) | 8.5 (6.5–11.6) | 12.9 (10.6–15.0) | <0.01 |
| Total stone length (mm), Median (IQR) | 11.0 (7.5–15.7) | 19.1 (13.0–25.0) | <0.01 |
| Laterality (Right/Left/Bilateral), n (%) | 126 (49.4)/117 (45.9)/12 (4.7) | 55 (51.9)/43 (40.6)/8 (7.5) | 0.44 |
| Ureteral stone location (Upper/Middle/Lower), n (%) | 161 (74.2)/29 (13.4)/27 (12.4) | 45 (77.6)/8 (13.8)/5 (8.6) | 0.16 |
| Kidney stone location (Upper/Middle/Lower), n (%) | 26 (34.7)/21 (28.0)/28 (37.3) | 10 (10.4)/10 (10.4)/ 76 (79.2) | <0.01 |
| The number of stones (1/2/ ≥ 3), n (%) | 140 (54.7) /64 (25.0) /51 (20.3) | 29 (27.4)/23 (21.7)/54 (50.9) | <0.01 |
| Laboratory findings: | |||
| WBC (/μL), Median (IQR) | 7050 (5615–9320) | 6785 (5700–8282) | 0.15 |
| Hb (g/dL) , Median (IQR) | 13.9 (12.7–15.0) | 14.1 (13.1–15.2) | 0.25 |
| Platelet (×103/μL), Median (IQR) | 243 (194–277) | 238 (201–286) | 0.72 |
| CRP (mg/dL), Median (IQR) | 0.29 (0.06–2.02) | 0.14 (0.04–0.84) | 0.09 |
| HbA1c (%), Median (IQR) | 5.8 (5.5–6.4) | 5.8 (5.5–6.1) | 0.16 |
| CKD ≥ G3 | 34 (13.3) | 24 (22.6) | 0.04 |
| Urinalysis | |||
| Urine pH | 6.0 (5.5–7.0) | 6.5 (6.0–7.0) | 0.22 |
| Urine WBC (positive), n (%) | 133 (52.6) | 73 (68.9) | <0.01 |
| Urine nitrite (positive), n (%) | 15 (5.9) | 5 (4.8) | 0.80 |
| Radiographic findings: | |||
| Hydronephrosis grade (None/Grade I/Grade II/Grade III/Grade IV) , n (%) | 76 (29.8)/79 (30.9)/70 (27.5)/27 (10.6)/3 (1.2) | 52 (49.1)/17 (16.0)/23 (21.7)/10 (9.4)/4 (3.8) | <0.01 |
| Mean CT attenuation value of stones (HU), Median (IQR) | 816.0 (551.0–1076.0) | 963.5 (763.0–1231.8) | <0.01 |
| Solitary kidney, n (%) | 2 (0.8) | 1 (0.9) | 1.00 |
| Operative time (min), Median (IQR) | 71.0 (48.0–91.5) | 93.0 (72.0–114.8) | <0.01 |
| T.O.HO. score, Median (IQR) | 5.0 (4.0–6.0) | 7.0 (6.0–8.0) | <0.01 |
| S.T.O.N.E. score, Median (IQR) | 10.0 (8.0–11.0) | 12.0 (10.0–13.0) | <0.01 |
| Variables | Adjusted Odds Ratio (95% CI) | p Value |
|---|---|---|
| Medical history of Urolithiasis | 1.08 (0.55–2.11) | 0.82 |
| Maximum stone size (Per 1.0 mm) | 1.15 (1.08–1.22) | <0.01 |
| Per 5.0 mm | 1.99 (1.45–2.74) | |
| Per 10.0 mm | 3.94 (2.09–7.46) | |
| Lower-pole kidney stone | 19.09 (9.34–39.01) | <0.01 |
| Number of stones ≥ 3 | 1.89 (0.96–3.74) | 0.07 |
| CKD ≥ G3 | 1.29 (0.55–3.01) | 0.56 |
| Urine WBC (positive) | 2.25 (1.14–4.44) | 0.02 |
| Hydronephrosis Grade IV | 0.80 (0.41–1.55) | 0.50 |
| Mean CT attenuation value of stones | 1.00 (1.00–1.00) | 0.05 |
| Clinical Predictors | AUC (95% CI) | p Value (Compared with T.O.HO. Score) |
|---|---|---|
| T.O.HO. score | 0.86 (0.82–0.90) | - |
| S.T.O.N.E score | 0.77 (0.72–0.83) | <0.01 |
| Lower-pole kidney stone | 0.80 (0.75–0.86) | 0.14 |
| Maximum stone size | 0.74 (0.68–0.80) | <0.01 |
| Number of stones ≥ 3 | 0.65 (0.59–0.72) | <0.01 |
| Mean CT attenuation value of stones | 0.62 (0.55–0.68) | <0.01 |
| Medical history of Urolithiasis | 0.59 (0.53–0.66) | <0.01 |
| Urine WBC | 0.58 (0.52–0.65) | <0.01 |
| Hydronephrosis Grade IV | 0.58 (0.52–0.64) | <0.01 |
| CKD ≥ G3 | 0.55 (0.48–0.61) | <0.01 |
Disclaimer/Publisher’s Note: The statements, opinions and data contained in all publications are solely those of the individual author(s) and contributor(s) and not of MDPI and/or the editor(s). MDPI and/or the editor(s) disclaim responsibility for any injury to people or property resulting from any ideas, methods, instructions or products referred to in the content. |
© 2025 by the authors. Licensee MDPI, Basel, Switzerland. This article is an open access article distributed under the terms and conditions of the Creative Commons Attribution (CC BY) license (https://creativecommons.org/licenses/by/4.0/).
Share and Cite
Sugizaki, Y.; Utsumi, T.; Ikeda, R.; Ishitsuka, N.; Noro, T.; Suzuki, Y.; Iijima, S.; Somoto, T.; Oka, R.; Endo, T.; et al. External Validation and Comparative Performance of the T.O.HO. and S.T.O.N.E. Scoring Systems for Predicting Stone-Free Outcomes Following Flexible Ureteroscopy: Toward Personalized Preoperative Counseling. J. Pers. Med. 2025, 15, 477. https://doi.org/10.3390/jpm15100477
Sugizaki Y, Utsumi T, Ikeda R, Ishitsuka N, Noro T, Suzuki Y, Iijima S, Somoto T, Oka R, Endo T, et al. External Validation and Comparative Performance of the T.O.HO. and S.T.O.N.E. Scoring Systems for Predicting Stone-Free Outcomes Following Flexible Ureteroscopy: Toward Personalized Preoperative Counseling. Journal of Personalized Medicine. 2025; 15(10):477. https://doi.org/10.3390/jpm15100477
Chicago/Turabian StyleSugizaki, Yuka, Takanobu Utsumi, Rino Ikeda, Naoki Ishitsuka, Takahide Noro, Yuta Suzuki, Shota Iijima, Takatoshi Somoto, Ryo Oka, Takumi Endo, and et al. 2025. "External Validation and Comparative Performance of the T.O.HO. and S.T.O.N.E. Scoring Systems for Predicting Stone-Free Outcomes Following Flexible Ureteroscopy: Toward Personalized Preoperative Counseling" Journal of Personalized Medicine 15, no. 10: 477. https://doi.org/10.3390/jpm15100477
APA StyleSugizaki, Y., Utsumi, T., Ikeda, R., Ishitsuka, N., Noro, T., Suzuki, Y., Iijima, S., Somoto, T., Oka, R., Endo, T., Kamiya, N., & Suzuki, H. (2025). External Validation and Comparative Performance of the T.O.HO. and S.T.O.N.E. Scoring Systems for Predicting Stone-Free Outcomes Following Flexible Ureteroscopy: Toward Personalized Preoperative Counseling. Journal of Personalized Medicine, 15(10), 477. https://doi.org/10.3390/jpm15100477

