Whole-Body Cryostimulation: An Effective Complementary Treatment in Fibromyalgia? A Follow Up Study
Abstract
1. Introduction
2. Materials and Methods
2.1. Procedure
2.2. Measures
2.2.1. Demographic and Clinical Characteristics
2.2.2. Primary Outcome Measures
2.3. Statistical Analyses
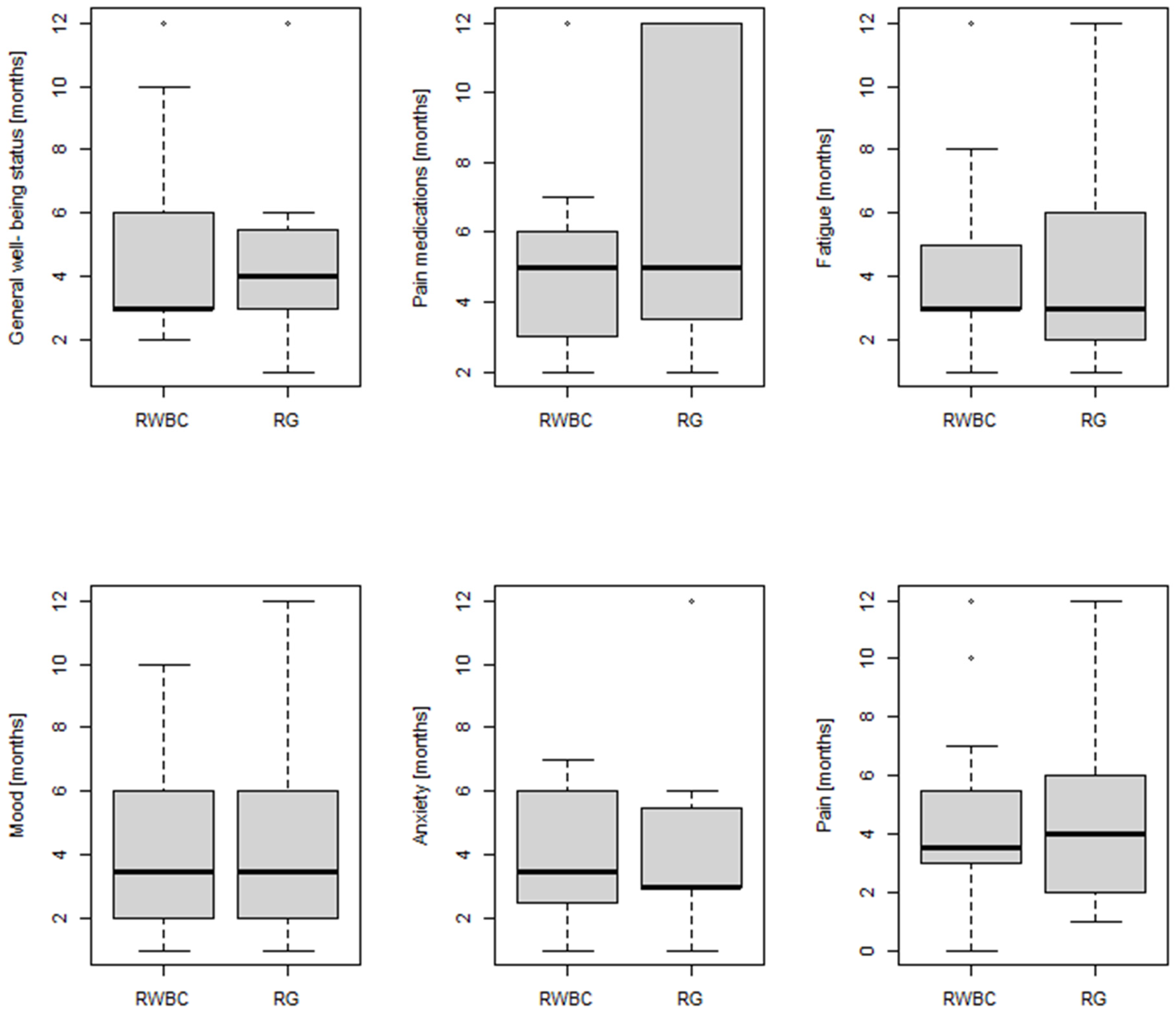
3. Results
4. Discussion
5. Conclusions
Author Contributions
Funding
Institutional Review Board Statement
Informed Consent Statement
Data Availability Statement
Conflicts of Interest
Appendix A
References
- Bhargava, J.; Hurley, J.A. Fibromyalgia. In StatPearls; StatPearls Publishing: Treasure Island, FL, USA, 2024. [Google Scholar]
- Wolfe, F.; Clauw, D.J.; Fitzcharles, M.-A.; Goldenberg, D.L.; Häuser, W.; Katz, R.L.; Mease, P.J.; Russell, A.S.; Russell, I.J.; Walitt, B. 2016 Revisions to the 2010/2011 Fibromyalgia Diagnostic Criteria. Semin. Arthritis Rheum. 2016, 46, 319–329. [Google Scholar] [CrossRef] [PubMed]
- Arnold, L.M.; Bennett, R.M.; Crofford, L.J.; Dean, L.E.; Clauw, D.J.; Goldenberg, D.L.; Fitzcharles, M.-A.; Paiva, E.S.; Staud, R.; Sarzi-Puttini, P.; et al. AAPT Diagnostic Criteria for Fibromyalgia. J. Pain 2019, 20, 611–628. [Google Scholar] [CrossRef] [PubMed]
- Sarzi-Puttini, P.; Giorgi, V.; Marotto, D.; Atzeni, F. Fibromyalgia: An Update on Clinical Characteristics, Aetiopathogenesis and Treatment. Nat. Rev. Rheumatol. 2020, 16, 645–660. [Google Scholar] [CrossRef] [PubMed]
- Koroschetz, J.; Rehm, S.E.; Gockel, U.; Brosz, M.; Freynhagen, R.; Tölle, T.R.; Baron, R. Fibromyalgia and Neuropathic Pain—Differences and Similarities. A Comparison of 3057 Patients with Diabetic Painful Neuropathy and Fibromyalgia. BMC Neurol. 2011, 11, 55. [Google Scholar] [CrossRef]
- Gormsen, L.; Rosenberg, R.; Bach, F.W.; Jensen, T.S. Depression, Anxiety, Health-Related Quality of Life and Pain in Patients with Chronic Fibromyalgia and Neuropathic Pain. Eur. J. Pain 2010, 14, 127.e1–127.e8. [Google Scholar] [CrossRef] [PubMed]
- Bennett, R.M.; Jones, J.; Turk, D.C.; Russell, I.J.; Matallana, L. An Internet Survey of 2596 People with Fibromyalgia. BMC Musculoskelet. Disord. 2007, 8, 27. [Google Scholar] [CrossRef]
- Harris, S.; Morley, S.; Barton, S.B. Role Loss and Emotional Adjustment in Chronic Pain. Pain 2003, 105, 363–370. [Google Scholar] [CrossRef] [PubMed]
- Varallo, G.; Piterà, P.; Fontana, J.M.; Gobbi, M.; Arreghini, M.; Giusti, E.M.; Franceschini, C.; Plazzi, G.; Castelnuovo, G.; Capodaglio, P. Is Whole-Body Cryostimulation an Effective Add-On Treatment in Individuals with Fibromyalgia and Obesity? A Randomized Controlled Clinical Trial. J. Clin. Med. 2022, 11, 4324. [Google Scholar] [CrossRef] [PubMed]
- Briones-Vozmediano, E.; Vives-Cases, C.; Ronda-Pérez, E.; Gil-González, D. Patients’ and Professionals’ Views on Managing Fibromyalgia. Pain Res. Manag. 2013, 18, 19–24. [Google Scholar] [CrossRef]
- Al Sharie, S.; Varga, S.J.; Al-Husinat, L.; Sarzi-Puttini, P.; Araydah, M.; Bal’awi, B.R.; Varrassi, G. Unraveling the Complex Web of Fibromyalgia: A Narrative Review. Medicina 2024, 60, 272. [Google Scholar] [CrossRef]
- Giorgi, V.; Sirotti, S.; Romano, M.E.; Marotto, D.; Ablin, J.N.; Salaffi, F.; Sarzi-Puttini, P. Fibromyalgia: One Year in Review 2022. Clin. Exp. Rheumatol. 2022, 40, 1065–1072. [Google Scholar] [CrossRef] [PubMed]
- Moore, R.A.; Fisher, E.; Häuser, W.; Bell, R.F.; Perrot, S.; Bidonde, J.; Makri, S.; Straube, S. Pharmacological Therapies for Fibromyalgia (Fibromyalgia Syndrome) in Adults—An Overview of Cochrane Reviews. Cochrane Database Syst. Rev. 2021, CD013151. [Google Scholar] [CrossRef]
- Goldenberg, D.L.; Burckhardt, C.; Crofford, L. Management of Fibromyalgia Syndrome. JAMA 2004, 292, 2388–2395. [Google Scholar] [CrossRef] [PubMed]
- Rolls, C.; Prior, Y. 285° Non-Pharmacological Interventions for People with Fibromyalgia: A Systematic Review. Rheumatology 2018, 57, key075.509. [Google Scholar] [CrossRef][Green Version]
- Hassett, A.L.; Williams, D.A. Non-Pharmacological Treatment of Chronic Widespread Musculoskeletal Pain. Best Pract. Res. Clin. Rheumatol. 2011, 25, 299–309. [Google Scholar] [CrossRef]
- Pagliai, G.; Giangrandi, I.; Dinu, M.; Sofi, F.; Colombini, B. Nutritional Interventions in the Management of Fibromyalgia Syndrome. Nutrients 2020, 12, 2525. [Google Scholar] [CrossRef]
- Lowry, E.; Marley, J.; McVeigh, J.G.; McSorley, E.; Allsopp, P.; Kerr, D. Dietary Interventions in the Management of Fibromyalgia: A Systematic Review and Best-Evidence Synthesis. Nutrients 2020, 12, 2664. [Google Scholar] [CrossRef]
- Maddox, E.K.; Massoni, S.C.; Hoffart, C.M.; Takata, Y. Dietary Effects on Pain Symptoms in Patients with Fibromyalgia Syndrome: Systematic Review and Future Directions. Nutrients 2023, 15, 716. [Google Scholar] [CrossRef]
- Pătru, S.; Pădureanu, R.; Dumitrescu, F.; Pădureanu, V.; Rădulescu, D.; Dragoi, D.; Matei, D. Influence of Multidisciplinary Therapeutic Approach on Fibromyalgia Patients. Exp. Ther. Med. 2021, 21, 528. [Google Scholar] [CrossRef]
- Llàdser, A.-N.; Montesó-Curto, P.; López, C.; Rosselló, L.; Lear, S.; Toussaint, L.; Casadó-Martín, L.C. Multidisciplinary Rehabilitation Treatments for Patients with Fibromyalgia: A Systematic Review. Eur. J. Phys. Rehabil. Med. 2022, 58, 76–84. [Google Scholar] [CrossRef]
- Friedberg, F.; Williams, D.A.; Collinge, W. Lifestyle-Oriented Non-Pharmacological Treatments for Fibromyalgia: A Clinical Overview and Applications with Home-Based Technologies. J. Pain Res. 2012, 5, 425–435. [Google Scholar] [CrossRef] [PubMed]
- Tzadok, R.; Ablin, J.N. Current and Emerging Pharmacotherapy for Fibromyalgia. Pain Res. Manag. 2020, 2020, 6541798. [Google Scholar] [CrossRef] [PubMed]
- D’Onghia, M.; Ciaffi, J.; Ruscitti, P.; Cipriani, P.; Giacomelli, R.; Ablin, J.N.; Ursini, F. The Economic Burden of Fibromyalgia: A Systematic Literature Review. Semin. Arthritis Rheum. 2022, 56, 152060. [Google Scholar] [CrossRef] [PubMed]
- Fontana, J.M.; Bozgeyik, S.; Gobbi, M.; Piterà, P.; Giusti, E.M.; Dugué, B.; Lombardi, G.; Capodaglio, P. Whole-Body Cryostimulation in Obesity. A Scoping Review. J. Therm. Biol. 2022, 106, 103250. [Google Scholar] [CrossRef] [PubMed]
- Alito, A.; Quartarone, A.; Leonardi, G.; Tisano, A.; Bruschetta, A.; Cucinotta, F.; Milardi, D.; Portaro, S. Brown Adipose Tissue Human Biomarkers: Which One Fits Best? A Narrative Review. Medicine 2022, 101, e32181. [Google Scholar] [CrossRef] [PubMed]
- Kozłowska, M.; Kortas, J.; Żychowska, M.; Antosiewicz, J.; Żuczek, K.; Perego, S.; Lombardi, G.; Ziemann, E. Beneficial Effects of Whole-Body Cryotherapy on Glucose Homeostasis and Amino Acid Profile Are Associated with a Reduced Myostatin Serum Concentration. Sci. Rep. 2021, 11, 7097. [Google Scholar] [CrossRef] [PubMed]
- Rymaszewska, J.; Ramsey, D.; Chładzińska-Kiejna, S. Whole-Body Cryotherapy as Adjunct Treatment of Depressive and Anxiety Disorders. Arch. Immunol. Ther. Exp. 2008, 56, 63–68. [Google Scholar] [CrossRef]
- Bouzigon, R.; Ravier, G.; Dugue, B.; Grappe, F. The Use of Whole-Body Cryostimulation to Improve the Quality of Sleep in Athletes during High Level Standard Competitions. Br. J. Sports Med. 2014, 48, 572. [Google Scholar] [CrossRef]
- Miller, E.; Kostka, J.; Włodarczyk, T.; Dugué, B. Whole-Body Cryostimulation (Cryotherapy) Provides Benefits for Fatigue and Functional Status in Multiple Sclerosis Patients. A Case-Control Study. Acta Neurol. Scand. 2016, 134, 420–426. [Google Scholar] [CrossRef]
- Fontana, J.M.; Alito, A.; Piterà, P.; Verme, F.; Cattaldo, S.; Cornacchia, M.; Mai, S.; Brunani, A.; Capodaglio, P. Whole-Body Cryostimulation in Post-COVID Rehabilitation for Patients with Obesity: A Multidisciplinary Feasibility Study. Biomedicines 2023, 11, 3092. [Google Scholar] [CrossRef]
- Hirvonen, H.E.; Mikkelsson, M.K.; Kautiainen, H.; Pohjolainen, T.H.; Leirisalo-Repo, M. Effectiveness of Different Cryotherapies on Pain and Disease Activity in Active Rheumatoid Arthritis. A Randomised Single Blinded Controlled Trial. Clin. Exp. Rheumatol. 2006, 24, 295–301. [Google Scholar] [PubMed]
- Klemm, P.; Hoffmann, J.; Asendorf, T.; Aykara, I.; Frommer, K.; Dischereit, G.; Müller-Ladner, U.; Neumann, E.; Lange, U. Whole-Body Cryotherapy for the Treatment of Rheumatoid Arthritis: A Monocentric, Single-Blinded, Randomised Controlled Trial. Clin. Exp. Rheumatol. 2022, 40, 2133–2140. [Google Scholar] [CrossRef] [PubMed]
- Verme, F.; Scarpa, A.; Varallo, G.; Piterà, P.; Capodaglio, P.; Fontana, J.M. Effects of Whole-Body Cryostimulation on Pain Management and Disease Activity in Active Rheumatic Polymyalgia: A Case-Report. Biomedicines 2023, 11, 1594. [Google Scholar] [CrossRef] [PubMed]
- Klemm, P.; Becker, J.; Aykara, I.; Asendorf, T.; Dischereit, G.; Neumann, E.; Müller-Ladner, U.; Lange, U. Serial Whole-Body Cryotherapy in Fibromyalgia Is Effective and Alters Cytokine Profiles. Adv. Rheumatol. 2021, 61, 3. [Google Scholar] [CrossRef] [PubMed]
- Fontana, J.M.; Gobbi, M.; Piterà, P.; Giusti, E.M.; Capodaglio, P. Whole-Body Cryostimulation in Fibromyalgia: A Scoping Review. Appl. Sci. 2022, 12, 4794. [Google Scholar] [CrossRef]
- Rivera, J.; Tercero, M.J.; Salas, J.S.; Gimeno, J.H.; Alejo, J.S. The Effect of Cryotherapy on Fibromyalgia: A Randomised Clinical Trial Carried out in a Cryosauna Cabin. Rheumatol. Int. 2018, 38, 2243–2250. [Google Scholar] [CrossRef] [PubMed]
- Bettoni, L.; Bonomi, F.G.; Zani, V.; Manisco, L.; Indelicato, A.; Lanteri, P.; Banfi, G.; Lombardi, G. Effects of 15 Consecutive Cryotherapy Sessions on the Clinical Output of Fibromyalgic Patients. Clin. Rheumatol. 2013, 32, 1337–1345. [Google Scholar] [CrossRef] [PubMed]
- Vitenet, M.; Tubez, F.; Marreiro, A.; Polidori, G.; Taiar, R.; Legrand, F.; Boyer, F.C. Effect of Whole Body Cryotherapy Interventions on Health-Related Quality of Life in Fibromyalgia Patients: A Randomized Controlled Trial. Complement. Ther. Med. 2018, 36, 6–8. [Google Scholar] [CrossRef] [PubMed]
- Douzi, W.; Dupuy, O.; Tanneau, M.; Boucard, G.; Bouzigon, R.; Dugué, B. 3-Min Whole Body Cryotherapy/Cryostimulation after Training in the Evening Improves Sleep Quality in Physically Active Men. Eur. J. Sport Sci. 2019, 19, 860–867. [Google Scholar] [CrossRef]
- Aloulou, A.; Leduc, C.; Duforez, F.; Piscione, J.; Cheradame, J.; Bieuzen, F.; Thomas, C.; Chennaoui, M.; Van Beers, P.; Nedelec, M. Effect of an Innovative Mattress and Cryotherapy on Sleep after an Elite Rugby Match. Med. Sci. Sports Exerc. 2020, 52, 2655–2662. [Google Scholar] [CrossRef]
- Joch, W.; Jonas, L.; Nöcker, K.; Papenfuss, W.; Samborski, W.; Savalli, L.; Schwenke, G.; Smuk, L.; Sobieska, M.; Teuber, J.; et al. Consensus Declaration on Whole-Body Cryotherapy (WBCT). In Proceedings of the Second Austrian Symposium on WBC, Bad Vöslau Health Resort, Bad Vöslau, Austria, 17–18 February 2006; Available online: https://www.polarior.com/images/manager/Hauptordner/Concensus%20Declaration%20on%20WBCT.pdf (accessed on 1 August 2024).
- Alghadir, A.H.; Anwer, S.; Iqbal, A.; Iqbal, Z.A. Test–Retest Reliability, Validity, and Minimum Detectable Change of Visual Analog, Numerical Rating, and Verbal Rating Scales for Measurement of Osteoarthritic Knee Pain. J. Pain Res. 2018, 11, 851–856. [Google Scholar] [CrossRef] [PubMed]




| n | Age (Mean ± SD) | BMI (Mean ± SD) | NRS Pre-Rehabilitation Score (Mean ± SD) | |
|---|---|---|---|---|
| RWBC | 23 | 57.5 ± 8.9 | 41.1 ± 7 | 8.3 ± 1.7 |
| RG | 23 | 57 ± 8 | 40 ± 5.7 | 8.6 ± 0.8 |
| RWBC | RG | p Value ** | ||
|---|---|---|---|---|
| Well-being status | n | 23 | 23 | 0.022 * |
| nyes (%) | 22 (96%) | 15 (65%) | ||
| Pain medications | n | 22 | 21 | 0.227 |
| nyes (%) | 13 (59%) | 8 (38%) | ||
| Fatigue | n | 23 | 23 | 0.414 |
| nyes (%) | 21 (91%) | 18 (78%) | ||
| Sleep Quality | n | 22 | 19 | 0.001 * |
| nyes (%) | 14 (64%) | 2 (11%) | ||
| Mood | n | 16 | 18 | 1.000 |
| nyes (%) | 14 (88%) | 16 (89%) | ||
| Anxiety | n | 16 | 18 | 0.715 |
| nyes (%) | 12 (75%) | 12 (67%) |
Disclaimer/Publisher’s Note: The statements, opinions and data contained in all publications are solely those of the individual author(s) and contributor(s) and not of MDPI and/or the editor(s). MDPI and/or the editor(s) disclaim responsibility for any injury to people or property resulting from any ideas, methods, instructions or products referred to in the content. |
© 2024 by the authors. Licensee MDPI, Basel, Switzerland. This article is an open access article distributed under the terms and conditions of the Creative Commons Attribution (CC BY) license (https://creativecommons.org/licenses/by/4.0/).
Share and Cite
Verme, F.; Majdič, N.; Modaffari, G.; Alito, A.; Scarpa, A.; Piterà, P.; Brunani, A.; Fontana, J.M.; Capodaglio, P. Whole-Body Cryostimulation: An Effective Complementary Treatment in Fibromyalgia? A Follow Up Study. J. Pers. Med. 2024, 14, 836. https://doi.org/10.3390/jpm14080836
Verme F, Majdič N, Modaffari G, Alito A, Scarpa A, Piterà P, Brunani A, Fontana JM, Capodaglio P. Whole-Body Cryostimulation: An Effective Complementary Treatment in Fibromyalgia? A Follow Up Study. Journal of Personalized Medicine. 2024; 14(8):836. https://doi.org/10.3390/jpm14080836
Chicago/Turabian StyleVerme, Federica, Neža Majdič, Giuseppe Modaffari, Angelo Alito, Alessandra Scarpa, Paolo Piterà, Amelia Brunani, Jacopo Maria Fontana, and Paolo Capodaglio. 2024. "Whole-Body Cryostimulation: An Effective Complementary Treatment in Fibromyalgia? A Follow Up Study" Journal of Personalized Medicine 14, no. 8: 836. https://doi.org/10.3390/jpm14080836
APA StyleVerme, F., Majdič, N., Modaffari, G., Alito, A., Scarpa, A., Piterà, P., Brunani, A., Fontana, J. M., & Capodaglio, P. (2024). Whole-Body Cryostimulation: An Effective Complementary Treatment in Fibromyalgia? A Follow Up Study. Journal of Personalized Medicine, 14(8), 836. https://doi.org/10.3390/jpm14080836

