Influence of the Bile Acid Transporter Genes ABCB4, ABCB8, and ABCB11 and the Farnesoid X Receptor on the Response to Ursodeoxycholic Acid in Patients with Nonalcoholic Steatohepatitis
Abstract
1. Introduction
2. Methods
2.1. Patient Information, Data Collections and Ethical Considerations
2.2. Sequencing
2.3. Statistics
3. Results
3.1. Demographic Data
3.2. High Prevalence of Polymorphism in ABCB4 or ABCB11 in NASH Patients with Elevated GGT-Levels
3.3. Polymorphisms in PNPLA3 Were the Most Common among NASH-Associated Genes
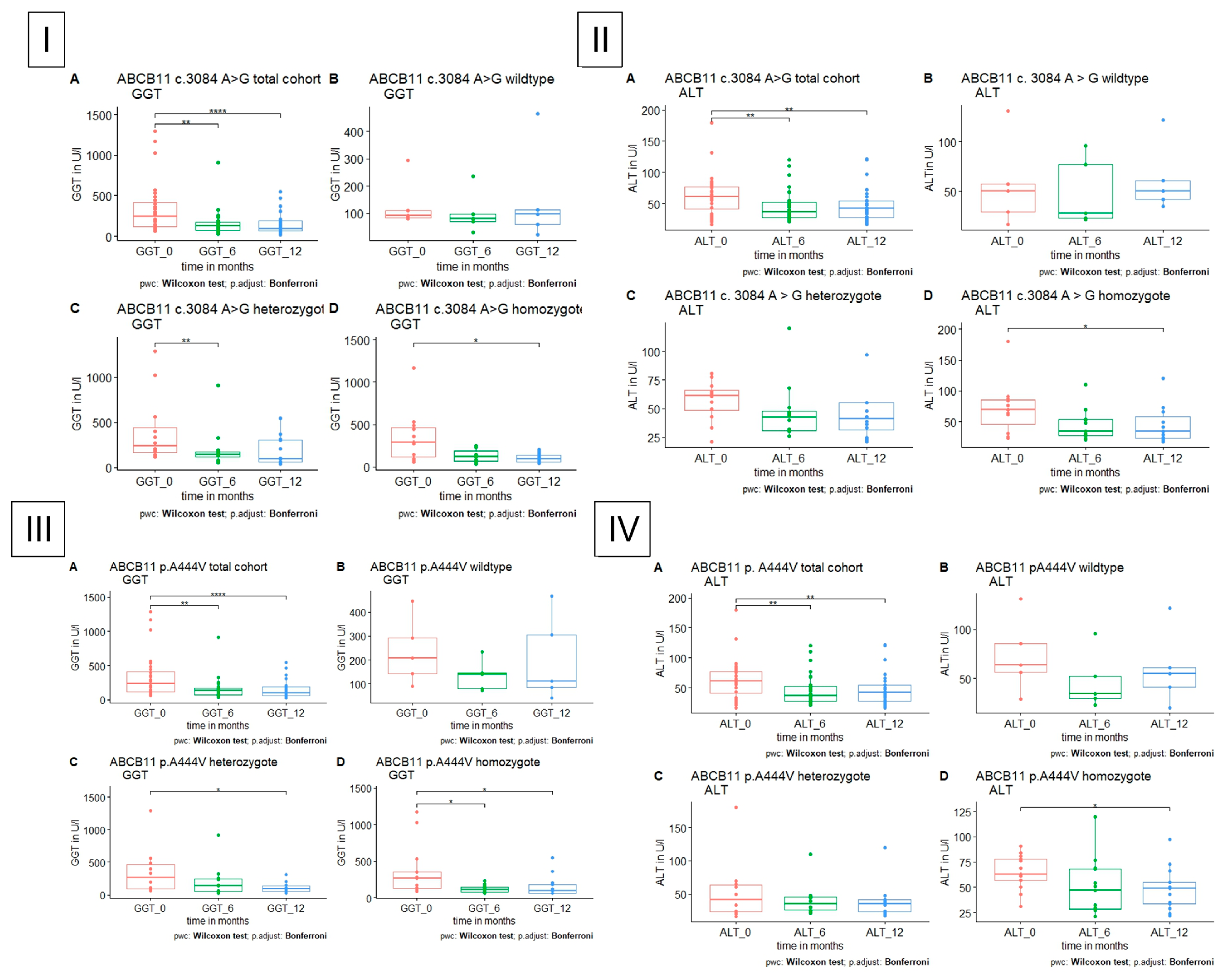
3.4. UDCA Therapy Leads to Various Decreases in Liver Function Tests and Is Dependent on the Underlying Polymorphism
3.5. UDCA Therapy Has No Effect on the Progression of Fibrosis
3.6. The Combination of Different Polymorphisms Shows the Highest Effect on ALT: GGT and Fib-4
4. Discussion
Supplementary Materials
Author Contributions
Funding
Institutional Review Board Statement
Informed Consent Statement
Data Availability Statement
Acknowledgments
Conflicts of Interest
References
- Younossi, Z.M.; Koenig, A.B.; Abdelatif, D.; Fazel, Y.; Henry, L.; Wymer, M. Global epidemiology of nonalcoholic fatty liver disease—Meta-analytic assessment of prevalence, incidence, and outcomes. Hepatology 2016, 64, 73–84. [Google Scholar] [CrossRef] [PubMed]
- Younossi, Z.M.; Golabi, P.; de Avila, L.; Paik, J.M.; Srishord, M.; Fukui, N.; Qiu, Y.; Burns, L.; Afendy, A.; Nader, F. The global epidemiology of NAFLD and NASH in patients with type 2 diabetes: A systematic review and meta-analysis. J. Hepatol. 2019, 71, 793–801. [Google Scholar] [CrossRef] [PubMed]
- Estes, C.; Anstee, Q.M.; Arias-Loste, M.T.; Bantel, H.; Bellentani, S.; Caballeria, J.; Colombo, M.; Craxi, A.; Crespo, J.; Day, C.P.; et al. Modeling NAFLD disease burden in China, France, Germany, Italy, Japan, Spain, United Kingdom, and United States for the period 2016–2030. J. Hepatol. 2018, 69, 896–904. [Google Scholar] [CrossRef]
- Marchesini, G.; Day, C.P.; Dufour, J.F.; Canbay, A.; Nobili, V.; Ratziu, V.; Tilg, H.; Roden, H.; Gastaldelli, A.; Yki-Järvinen, H.; et al. EASL-EASD-EASO Clinical Practice Guidelines for the management of non-alcoholic fatty liver disease. J. Hepatol. 2016, 64, 1388–1402. [Google Scholar] [CrossRef]
- Canbay, A.; Kachru, N.; Haas, J.S.; Sowa, J.P.; Meise, D.; Ozbay, A.B. Patterns and predictors of mortality and disease progression among patients with non-alcoholic fatty liver disease. Aliment. Pharmacol. Ther. 2020, 52, 1185–1194. [Google Scholar] [CrossRef] [PubMed]
- Angulo, P.; Kleiner, D.E.; Dam-Larsen, S.; Adams, L.A.; Björnsson, E.S.; Charatcharoenwitthaya, P.; Mills, P.R.; Keach, J.C.; Lafferty, H.D.; Stahler, A.; et al. Liver fibrosis, but no other histologic features, is associated with long-term outcomes of patients with nonalcoholic fatty liver disease. Gastroenterology 2015, 149, 389–397.e10. [Google Scholar] [CrossRef]
- Ha, Y.; Chon, Y.E.; Kim, M.N.; Lee, J.H.; Hwang, S.G. Gamma-glutamyl transpeptidase dynamics as a biomarker for advanced fibrosis in non-alcoholic fatty liver disease. J. Gastroenterol. Hepatol. 2022, 37, 1624–1632. [Google Scholar] [CrossRef]
- Gertzen, C.G.; Gohlke, H.; Häussinger, D.; Herebian, D.; Keitel, V.; Kubitz, R.; Mayatepek, E.; Schmitt, L. The many facets of bile acids in the physiology and pathophysiology of the human liver. Biol. Chem. 2021, 402, 1047–1062. [Google Scholar] [CrossRef]
- Bechmann, L.P.; Kocabayoglu, P.; Sowa, J.-P.; Sydor, S.; Best, J.; Schlattjan, M.; Beilfuss, A.; Schmitt, J.; Hannivoort, R.A.; Kilicarslan, A.; et al. Free fatty acids repress small heterodimer partner (SHP) activation and adiponectin counteracts bile acid-induced liver injury in superobese patients with nonalcoholic steatohepatitis. Hepatology 2013, 57, 1394–1406. [Google Scholar] [CrossRef]
- Gottlieb, A.; Canbay, A. Why Bile Acids Are So Important in Non-Alcoholic Fatty Liver Disease (NAFLD) Progression. Cells 2019, 8, 1358. [Google Scholar] [CrossRef]
- Meier, Y.; Zodan, T.; Lang, C.; Zimmermann, R.; Kullak-Ublick, G.A.; Meier, P.J.; Stieger, B.; Pauli-Magnus, C. Increased susceptibility for intrahepatic cholestasis of pregnancy and contraceptive-induced cholestasis in carriers of the 1331T>C polymorphism in the bile salt export pump. World J. Gastroenterol. 2008, 14, 38–45. [Google Scholar] [CrossRef]
- Sticova, E.; Jirsa, M. ABCB4 disease: Many faces of one gene deficiency. Ann. Hepatol. 2020, 19, 126–133. [Google Scholar] [CrossRef]
- Gordo-Gilart, R.; Andueza, S.; Hierro, L.; Jara, P.; Alvarez, L. Functional Rescue of Trafficking-Impaired ABCB4 Mutants by Chemical Chaperones. PLoS ONE 2016, 11, e0150098. [Google Scholar] [CrossRef]
- Eppens, E.F.; van Mil, S.W.; de Vree, J.L.; Mok, K.S.; Juijn, J.A.; Elferink, R.P.O.; Berger, R.; Houwen, R.H.; Klomp, L.W. FIC1, the protein affected in two forms of hereditary cholestasis, is localized in the cholangiocyte and the canalicular membrane of the hepatocyte. J. Hepatol. 2001, 35, 436–443. [Google Scholar] [CrossRef] [PubMed]
- Jüngst, C.; Justinger, C.; Fischer, J.; Berg, T.; Lammert, F. Common ABCB4 and ABCB11 Genotypes Are Associated with Idiopathic Chronic Cholestasis in Adults. Dig. Dis. 2022, 40, 489–496. [Google Scholar] [CrossRef] [PubMed]
- Smyk, W.; Weber, S.N.; Hall, R.; Gruenhage, F.; Lammert, F.; Krawczyk, M. Genetic variant c.711a>t in the hepatobiliary phospholipid transporter abcb4 is associated with significant liver fibrosis. J. Physiol. Pharmacol. 2020, 71, 321–327. [Google Scholar] [CrossRef]
- Krawczyk, M.; Rau, M.; Grünhage, F.; Hepatology, J.S. 2017 Undefined. The ABCB4 p. T175A Variant as Potential Modulator of Hepatic Fibrosis in Patients with Chronic Liver Diseases: Looking beyond the Cholestatic Realm. Available online: https://journals.lww.com/hep/Fulltext/2017/08000/The_ABCB4_p_T175A_variant_as_potential_modulator.36.aspx?casa_token=xz8EzoBIEJUAAAAA:T6bIHHiUOmPNfbLBcNJ5MW21dmlBXENNpVXr85N_aUUGvLp4gew07sFM9D_uLGGzQP26UVW51gQpzJVTMTjYG3Mm (accessed on 18 March 2023).
- Paumgartner, G.; Beuers, U. Mechanisms of action and therapeutic efficacy of ursodeoxycholic acid in cholestatic liver disease. Clin. Liver Dis. 2004, 8, 67–81. [Google Scholar] [CrossRef]
- Elhini, S.H.; Wahsh, E.A.; Elberry, A.A.; El Ameen, N.F.; Saedii, A.A.; Refaie, S.M.; Elsayed, A.A.; Rabea, H.M. The Impact of an SGLT2 Inhibitor versus Ursodeoxycholic Acid on Liver Steatosis in Diabetic Patients. Pharmaceuticals 2022, 15, 1516. [Google Scholar] [CrossRef]
- Lin, X.; Mai, M.; He, T.; Huang, H.; Zhang, P.; Xia, E.; Guo, H. Efficiency of ursodeoxycholic acid for the treatment of nonalcoholic steatohepatitis: A systematic review and meta-analysis. Expert Rev. Gastroenterol. Hepatol. 2022, 16, 537–545. [Google Scholar] [CrossRef]
- Ratziu, V.; de Ledinghen, V.; Oberti, F.; Mathurin, P.; Wartelle-Bladou, C.; Renou, C.; Sogni, P.; Maynard, M.; Larrey, D.; Serfaty, L.; et al. A randomized controlled trial of high-dose ursodesoxycholic acid for nonalcoholic steatohepatitis. J. Hepatol. 2011, 54, 1011–1019. [Google Scholar] [CrossRef]
- Sterling, R.K.; Lissen, E.; Clumeck, N.; Sola, R.; Correa, M.C.; Montaner, J.; Sulkowski, M.S.; Torriani, F.J.; Dieterich, D.T.; Thomas, D.L.; et al. Development of a simple noninvasive index to predict significant fibrosis in patients with HIV/HCV coinfection. Hepatology 2006, 43, 1317–1325. [Google Scholar] [CrossRef]
- Angulo, P.; Hui, J.M.; Marchesini, G.; Bugianesi, E.; George, J.; Farrell, G.C.; Enders, F.; Saksena, S.; Burt, A.D.; Bida, J.P.; et al. The NAFLD fibrosis score: A noninvasive system that identifies liver fibrosis in patients with NAFLD. Hepatology 2007, 45, 846–854. [Google Scholar] [CrossRef]
- Janik, M.K.; Smyk, W.; Kruk, B.; Szczepankiewicz, B.; Górnicka, B.; Lebiedzińska-Arciszewska, M.; Potes, Y.; Simões, I.C.M.; Weber, S.N.; Lammert, F.; et al. MARC1 p.A165T variant is associated with decreased markers of liver injury and enhanced antioxidant capacity in autoimmune hepatitis. Sci. Rep. 2021, 11, 24407. [Google Scholar] [CrossRef] [PubMed]
- Gudbjartsson, D.F.; Helgason, H.; Gudjonsson, S.; Zink, F.; Oddson, A.; Gylfason, A.; Besenbacher, S.; Magnusson, G.; Halldorsson, B.V.; Hjartarson, E.; et al. Large-scale whole-genome sequencing of the Icelandic population. Nat. Genet. 2015, 47, 435–444. [Google Scholar] [CrossRef] [PubMed]
- Iwata, R.; Baur, K.; Stieger, B.; Mertens, J.C.; Daly, A.K.; Frei, P.; Braun, J.; Vergopoulos, A.; Stickel, F.; Sabrane, K.; et al. A common polymorphism in the ABCB11 gene is associated with advanced fibrosis in hepatitis C but not in non-alcoholic fatty liver disease. Clin. Sci. 2011, 120, 287–296. [Google Scholar] [CrossRef] [PubMed]
- Tarao, K.; Fujiyama, S.; Ohkawa, S.; Miyakawa, K.; Tamai, S.; Hirokawa, S.; Masaki, T.; Tanaka, K. Ursodiol use is possibly associated with lower incidence of hepatocellular carcinoma in hepatitis C virus-associated liver cirrhosis. Cancer Epidemiol. Biomark. Prev. 2005, 14, 164–169. [Google Scholar] [CrossRef]
- Müllenbach, R.; Weber, S.N.; Krawczyk, M.; Zimmer, V.; Sarrazin, C.; Lammert, F.; Grünhage, F. A frequent variant in the human bile salt export pump gene ABCB11 is associated with hepatitis C virus infection, but not liver stiffness in a German population. BMC Gastroenterol. 2012, 12, 63. [Google Scholar] [CrossRef]
- Frider, B.; Castillo, A.; Gordo-Gilart, R.; Bruno, A.; Amante, M.; Alvarez, L.; Mathet, V. Reversal of advanced fibrosis after long-term ursodeoxycholic acid therapy in a patient with residual expression of MdR3. Ann. Hepatol. 2015, 14, 745–751. [Google Scholar] [CrossRef]
- Falcão, D.; Pedroto, I.; Moreira, T. The wide phenotypic and genetic spectrum of ABCB4 gene deficiency: A case series. Dig. Liver Dis. 2022, 54, 221–227. [Google Scholar] [CrossRef]
- Romeo, S.; Kozlitina, J.; Xing, C.; Pertsemlidis, A.; Cox, D.; Pennacchio, L.A.; Boerwinkle, E.; Cohen, J.C.; Hobbs, H.H. Genetic variation in PNPLA3 confers susceptibility to nonalcoholic fatty liver disease. Nat. Genet. 2008, 40, 1461–1465. [Google Scholar] [CrossRef]
- Anstee, Q.M.; Day, C.P. The genetics of NAFLD. Nat. Rev. Gastroenterol. Hepatol. 2013, 10, 645–655. [Google Scholar] [CrossRef]
- Liu, Y.-L.; Patman, G.L.; Leathart, J.B.S.; Piguet, A.-C.; Burt, A.D.; Dufour, J.-F.; Day, C.P.; Daly, A.K.; Reeves, H.L.; Anstee, Q.M. Carriage of the PNPLA3 rs738409 C >g polymorphism confers an increased risk of non-alcoholic fatty liver disease associated hepatocellular carcinoma. J. Hepatol. 2014, 61, 75–81. [Google Scholar] [CrossRef]
- Valenti, L.; Al-Serri, A.; Daly, A.K.; Galmozzi, E.; Rametta, R.; Dongiovanni, P.; Nobili, V.; Mozzi, E.; Roviaro, G.; Vanni, E.; et al. Homozygosity for the patatin-like phospholipase-3/adiponutrin I148M polymorphism influences liver fibrosis in patients with nonalcoholic fatty liver disease. Hepatology 2010, 51, 1209–1217. [Google Scholar] [CrossRef]
- Rosso, C.; Caviglia, G.P.; Birolo, G.; Armandi, A.; Pennisi, G.; Pelusi, S.; Younes, R.; Liguori, A.; Perez-Diaz-Del-Campo, N.; Nicolosi, A.; et al. Impact of PNPLA3 rs738409 Polymorphism on the Development of Liver-Related Events in Patients With Nonalcoholic Fatty Liver Disease. Clin. Gastroenterol. Hepatol. 2023, 5, 100744. [Google Scholar] [CrossRef] [PubMed]
- Lindén, D.; Romeo, S. Therapeutic opportunities for the treatment of NASH with genetically validated targets. J. Hepatol. 2023. [CrossRef]
- Simental-Mendía MSánchez-García ASimental-Mendía, L.E. Effect of ursodeoxycholic acid on liver markers: A systematic review and meta-analysis of randomized placebo-controlled clinical trials. Br. J. Clin. Pharmacol. 2020, 86, 1476–1488. [Google Scholar] [CrossRef] [PubMed]
- Kozlitina, J.; Smagris, E.; Stender, S.; Nordestgaard, B.G.; Zhou, H.H.; Tybjærg-Hansen, A.; Vogt, T.F.; Hobbs, H.H.; Cohen, J.C. Exome-wide association study identifies a TM6SF2 variant that confers susceptibility to nonalcoholic fatty liver disease. Nat. Genet. 2014, 46, 352–356. [Google Scholar] [CrossRef]
- Liu, Y.-L.; Reeves, H.L.; Burt, A.D.; Tiniakos, D.; McPherson, S.; Leathart, J.B.S.; Allison, M.E.D.; Alexander, G.J.; Piguet, A.-C.; Anty, R.; et al. TM6SF2 rs58542926 influences hepatic fibrosis progression in patients with non-alcoholic fatty liver disease. Nat. Commun. 2014, 5, 4309. [Google Scholar] [CrossRef]
- Promrat, K.; Kleiner, D.E.; Niemeier, H.M.; Jackvony, E.; Kearns, M.; Wands, J.R.; Fava, J.L.; Wing, R.R. Randomized controlled trial testing the effects of weight loss on nonalcoholic steatohepatitis. Hepatology 2010, 51, 121–129. [Google Scholar] [CrossRef] [PubMed]
- Tacke, F.; Puengel, T.; Loomba, R.; Friedman, S.L. An integrated view of anti-inflammatory and antifibrotic targets for the treatment of NASH. J. Hepatol. 2023, 79, 552–566. [Google Scholar] [CrossRef]





| Gen | SNP Cluster ID | c. | p. |
|---|---|---|---|
| ABCB4 | rs45575636 | c.1769G > A | p. R590Q |
| rs1202283 | c.504 C > T | p. N168= | |
| rs58238559 | c.523 T> C | p. T175A | |
| rs2109505 | c.711A>T | p. I237= | |
| ABCB11 | rs72549402 | c.1445A>G | p. D482G |
| rs497692 | c. 3084 A>G | p. A1028= | |
| rs2287622 | c.1331 T>C | p. A444V | |
| ATP8B1 | rs146599962 | c.134A>C | p. N45T |
| rs34018205 | c.1286A>C | p. E429A | |
| rs121909100 | c.1982T>C | p. I661T | |
| rs765889649 | c.2855G>A | p. R952Q | |
| PNPLA3 | rs738409 | C>G | p. I148M |
| TM6SF2 | rs58542926 | c.449 C>T | p. Glu167Lys; |
| FXR | rs56163822 | c. −1 G>T | Intron |
| Total Cohort | Min–Max (%) | |
|---|---|---|
| Number | 28 | |
| Age (mean) | 42.29 | 17–75 |
| Sex (female) | 13 | |
| Height (cm) | 171.68 | 132–192 |
| Weight (kg) | 80.39 | 35–115 |
| BMI (kg/m2) | 26.98 | 19–39 |
| FAST Score | 0.68 | 0.3–0.97 |
| Fib4 Score | 1.56 | 0.0–5.82 |
| NFS | −2.53 | −8.08–1.53 |
| Adipositas | ||
| Normal weight | 8 | 32 |
| Obese | 12 | 42.86 |
| Adipostias Grad I | 5 | 17.86 |
| Adipositas Grad II | 2 | 7.14 |
| Alcohol | ||
| None | 19 | 67.86 |
| Rarely | 8 | 32 |
| Sometimes | 1 | 3.57 |
| Comorbidities (no. of patients, %) | ||
| T2DM (n = 27, 96) | 6 | 21.42 |
| Arterielle hypertonie (n = 28, 100) | 8 | 32 |
| Cardiovascular disease (n = 28, 100) | 2 | 7.14 |
| Chronic kidney disease(n = 28, 100) | 2 | 7.14 |
| Vitamin B12 deficiency (n = 27, 96) | 2 | 7.14 |
| Vitamin D deficiency (n = 27, 96) | 5 | 17.86 |
| Anemia (n = 27, 96) | 2 | 7.14 |
| Iron deficiency (n = 27, 96) | 2 | 7.14 |
| Folat deficiency (n = 27, 96) | 0 | 0 |
| Osteopenia (n = 27, 96) | 3 | 10.71 |
| High cholesterol (n = 26, 92.86) | 14 | 0.5 |
| Smoking (n = 27, 96) | 5 | 17.86 |
| Polymorphism | Heterozygote | Homozygote | Wildtype | No Data |
|---|---|---|---|---|
| ABCB4 c.504 C>T | 11 | 11 | 6 | 0 |
| ABCB4 c.771 A>T | 5 | 21 | 2 | 0 |
| ABCB11c. 3084 A>G | 12 | 11 | 5 | 0 |
| ABCB11 c. 1331 T>C | 10 | 13 | 5 | 0 |
| PNPLA3 rs738409 C>G | 6 | 8 | 0 | 14 |
| TM6SF2 c.449 C>T | 2 | 0 | 10 | 16 |
| FXR c. −1 G>T | 3 | 0 | 25 | 0 |
Disclaimer/Publisher’s Note: The statements, opinions and data contained in all publications are solely those of the individual author(s) and contributor(s) and not of MDPI and/or the editor(s). MDPI and/or the editor(s) disclaim responsibility for any injury to people or property resulting from any ideas, methods, instructions or products referred to in the content. |
© 2023 by the authors. Licensee MDPI, Basel, Switzerland. This article is an open access article distributed under the terms and conditions of the Creative Commons Attribution (CC BY) license (https://creativecommons.org/licenses/by/4.0/).
Share and Cite
Kreimeyer, H.; Vogt, K.; Götze, T.; Best, J.; Götze, O.; Weigt, J.; Kahraman, A.; Özçürümez, M.; Kälsch, J.; Syn, W.-K.; et al. Influence of the Bile Acid Transporter Genes ABCB4, ABCB8, and ABCB11 and the Farnesoid X Receptor on the Response to Ursodeoxycholic Acid in Patients with Nonalcoholic Steatohepatitis. J. Pers. Med. 2023, 13, 1180. https://doi.org/10.3390/jpm13071180
Kreimeyer H, Vogt K, Götze T, Best J, Götze O, Weigt J, Kahraman A, Özçürümez M, Kälsch J, Syn W-K, et al. Influence of the Bile Acid Transporter Genes ABCB4, ABCB8, and ABCB11 and the Farnesoid X Receptor on the Response to Ursodeoxycholic Acid in Patients with Nonalcoholic Steatohepatitis. Journal of Personalized Medicine. 2023; 13(7):1180. https://doi.org/10.3390/jpm13071180
Chicago/Turabian StyleKreimeyer, Henriette, Katharina Vogt, Tobias Götze, Jan Best, Oliver Götze, Jochen Weigt, Alisan Kahraman, Mustafa Özçürümez, Julia Kälsch, Wing-Kin Syn, and et al. 2023. "Influence of the Bile Acid Transporter Genes ABCB4, ABCB8, and ABCB11 and the Farnesoid X Receptor on the Response to Ursodeoxycholic Acid in Patients with Nonalcoholic Steatohepatitis" Journal of Personalized Medicine 13, no. 7: 1180. https://doi.org/10.3390/jpm13071180
APA StyleKreimeyer, H., Vogt, K., Götze, T., Best, J., Götze, O., Weigt, J., Kahraman, A., Özçürümez, M., Kälsch, J., Syn, W.-K., Sydor, S., Canbay, A., & Manka, P. (2023). Influence of the Bile Acid Transporter Genes ABCB4, ABCB8, and ABCB11 and the Farnesoid X Receptor on the Response to Ursodeoxycholic Acid in Patients with Nonalcoholic Steatohepatitis. Journal of Personalized Medicine, 13(7), 1180. https://doi.org/10.3390/jpm13071180

