Prognostic Survival Significance of Signet Ring Cell (SRC) Gastric Cancer: Retrospective Analysis from a Single Western Center
Abstract
1. Introduction
2. Methods
- Age;
- Gender;
- Serum albumin level;
- Inflammatory markers such as neutrophils-to-lymphocytes ratio (NLR)
- Tumor location.
- Type of surgery;
- Number of harvested nodes;
- Lymph node ratio.
- Early gastric cancer vs. advanced gastric cancer;
- pT;
- pN;
- Peritoneal cytology status;
- Veno-lymphatic infiltration;
- Perineural infiltration;
- p Stage;
- Completeness of surgical procedure;
- Recurrences sites;
- Neo/and Adjuvant chemotherapy.
Statistical Analysis
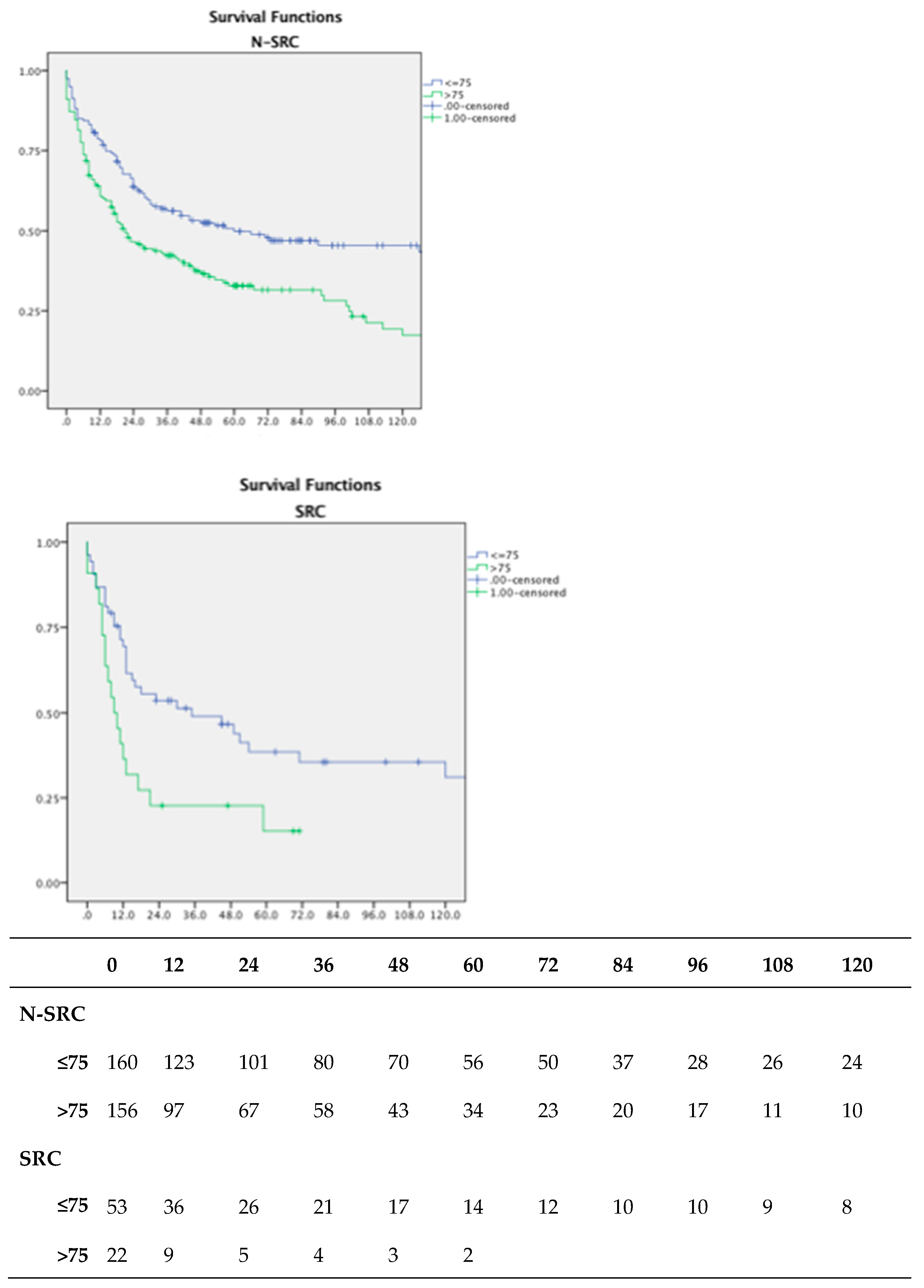
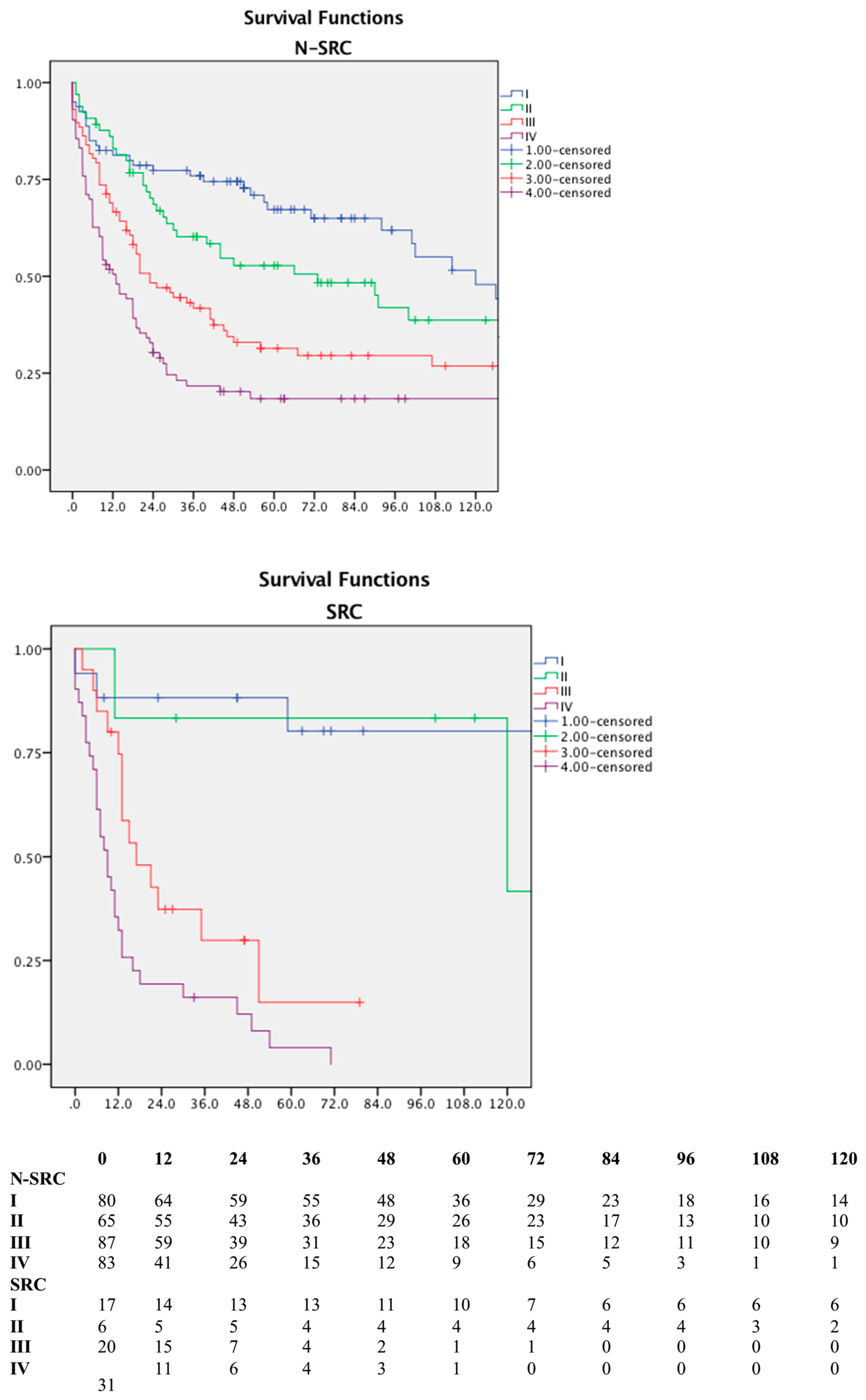
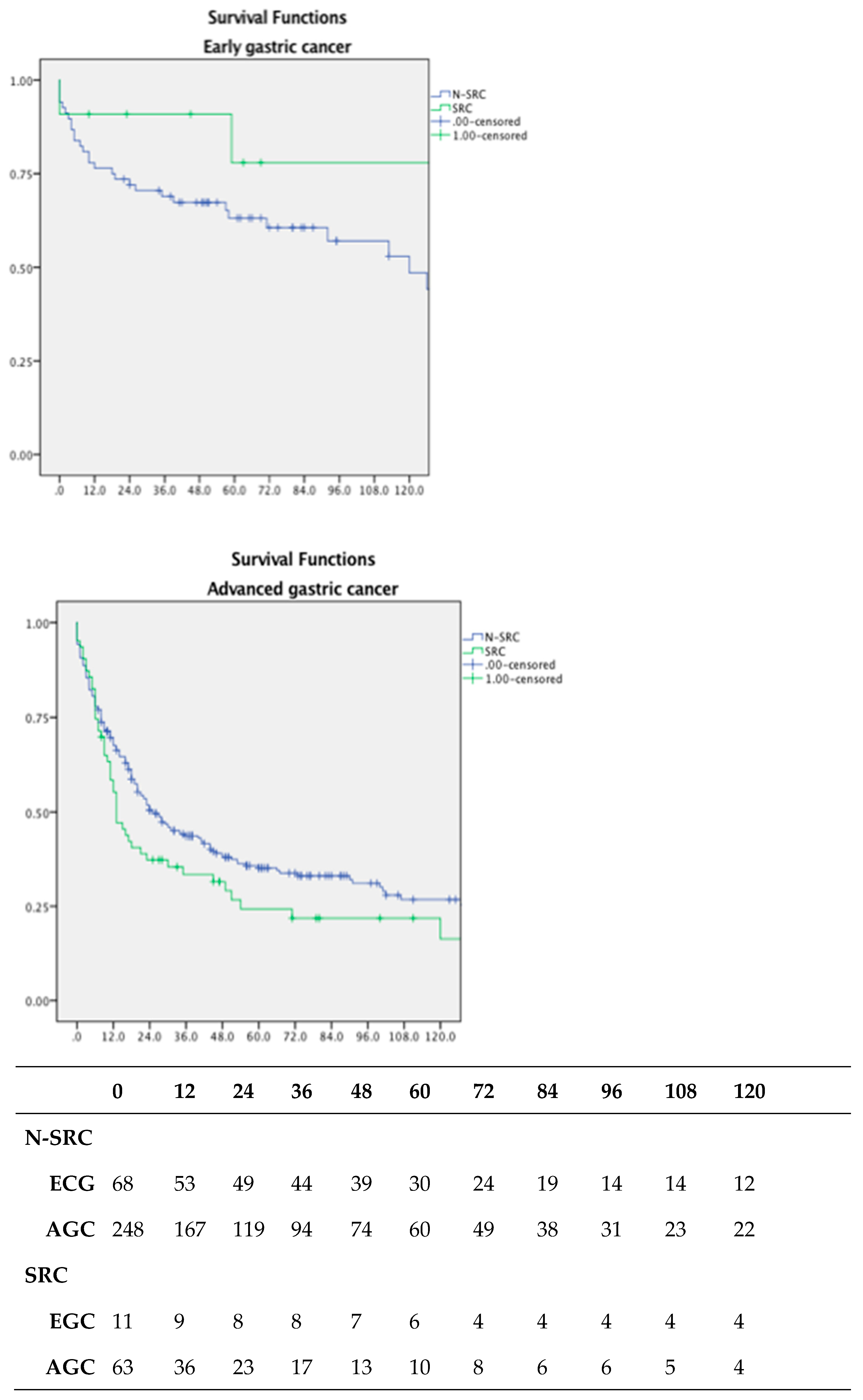
3. Results
4. Discussion
5. Conclusions
Author Contributions
Funding
Institutional Review Board Statement
Informed Consent Statement
Data Availability Statement
Conflicts of Interest
References
- Natsume, H.; Szczepaniak, K.; Yamada, H.; Iwashita, Y.; Gędek, M.; Šuto, J.; Ishino, K.; Kasajima, R.; Matsuda, T.; Manirakiza, F.; et al. Non-CpG sites preference in G:C > A:T transition of TP53 in gastric cancer of Eastern Europe (Poland, Romania and Hungary) compared to East Asian countries (China and Japan). Genes Environ. 2023, 45, 1. [Google Scholar] [CrossRef] [PubMed]
- Bamboat, Z.M.; Tang, L.H.; Vinuela, E.; Kuk, D.; Gonen, M.; Shah, M.A.; Brennan, M.F.; Coit, D.G.; Strong, V.E. Stage-Stratified Prognosis of Signet Ring Cell Histology in Patients Undergoing Curative Resection for Gastric Adenocarcinoma. Ann. Surg. Oncol. 2014, 21, 1678–1685. [Google Scholar] [CrossRef] [PubMed]
- Taghavi, S.; Jayarajan, S.N.; Davey, A.; Willis, A.I. Prognostic Significance of Signet Ring Gastric Cancer. J. Clin. Oncol. 2012, 30, 3493–3498. [Google Scholar] [CrossRef]
- Lokuhetty, D.; White, V.A.; Watanabe, R.; Cree, I.A.; World Health Organization; International Agency for Research on Cancer. Digestive System Tumours. Available online: https://publications.iarc.fr/579 (accessed on 28 November 2020).
- Mariette, C.; Carneiro, F.; Grabsch, H.I.; van der Post, R.S.; Allum, W.; de Manzoni, G.; European Chapter of International Gastric Cancer Association. Consensus on the pathological definition and classification of poorly cohesive gastric carcinoma. Gastric Cancer 2019, 22, 1–9. [Google Scholar] [CrossRef]
- Assumpção, P.P.; Barra, W.F.; Ishak, G.; Coelho, L.G.V.; Coimbra, F.J.F.; Freitas, H.C.; Dias-Neto, E.; Camargo, M.C.; Szklo, M. The diffuse-type gastric cancer epidemiology enigma. BMC Gastroenterol. 2020, 20, 223. [Google Scholar] [CrossRef]
- Pernot, S.; Voron, T.; Perkins, G.; Lagorce-Pages, C.; Berger, A.; Taieb, J. Signet-ring cell carcinoma of the stomach: Impact on prognosis and specific therapeutic challenge. World J. Gastroenterol. 2015, 21, 11428–11438. [Google Scholar] [CrossRef]
- Messager, M.; Lefevre, J.H.; Pichot-Delahaye, V.; Souadka, A.; Piessen, G.; Mariette, C.; Arnaud, J.P.; Balon, J.M.; Bonnetain, F.; Borie, F.; et al. The Impact of Perioperative Chemotherapy on Survival in Patients with Gastric Signet Ring Cell Adenocarcinoma. Ann. Surg. 2011, 254, 684–693. [Google Scholar] [CrossRef]
- Nie, R.-C.; Yuan, S.-Q.; Li, Y.-F.; Chen, Y.-M.; Chen, X.-J.; Zhu, B.-Y.; Xu, L.-P.; Zhou, Z.-W.; Chen, S.; Chen, Y.-B. Clinicopathological Characteristics and Prognostic Value of Signet Ring Cells in Gastric Carcinoma: A Meta-Analysis. J. Cancer 2017, 8, 3396–3404. [Google Scholar] [CrossRef]
- Fourgeaud, C.; Derieux, S.; Mirshahi, S.; Besbes, S.; Chidiac, J.; Mahé, I.; Contant, G.; Pocard, M.; Soria, J.; Mirshahi, M. PO-23—Expression of heparanase in cancer as biomarker of malignancies: Overexpression in an aggressive, poor survival gastric cancer “gastric signet ring cell carcinoma” compared with that of other gastric cancers. Thromb. Res. 2016, 140, S184–S185. [Google Scholar] [CrossRef]
- Amin, M.B.; Greene, F.L.; Edge, S.B.; Compton, C.C.; Gershenwald, J.E.; Brookland, R.K.; Meyer, L.; Gress, D.M.; Byrd, D.R.; Winchester, D.P. The Eighth Edition AJCC Cancer Staging Manual: Continuing to build a bridge from a population-based to a more “personalized” approach to cancer staging. CA Cancer J. Clin. 2017, 67, 93–99. [Google Scholar] [CrossRef]
- Ferlay, J.; Ervik, M.; Lam, F.; Colombet, M.; Mery, L.; Piñeros, M.; Znaor, A.; Soerjomataram, I.; Bray, F. Global Cancer Observatory: Cancer Today; International Agency for Research on Cancer: Lyon, France, 2020. Available online: https://gco.iarc.fr/today (accessed on 10 January 2022).
- Peng, J.; Xiao, P.; Liao, B.; Ye, J.; He, Y. Analysis of clinicopathological features of 1879 cases of gastric cancer in Southern China: A single center experience. Zhonghua Wai Ke Za Zhi (Chin. J. Surg.) 2014, 52, 168–170. [Google Scholar] [PubMed]
- Ren, J.; Niu, G.; Wang, X.; Song, T.; Hu, Z.; Ke, C. Effect of Age on Prognosis of Gastric Signet-Ring Cell Carcinoma: A SEER Database Analysis. Experiment 2018, 24, 8524–8532. [Google Scholar] [CrossRef] [PubMed]
- Xu, Z.; Jin, Y.; Fang, X. Advances in the research of gastric signet ring cell carcinoma. Zhonghua Wei Chang. Wai Ke Za Zhi (Chin. J. Gastrointest. Surg.) 2018, 21, 1196–1200. [Google Scholar]
- Zhao, B.; Lv, W.; Zhang, J.; Zhang, J.; Huang, B.; Lin, J. Different prognostic significance of signet ring cell histology for early and advanced gastric cancer patients: A systematic review and meta-analysis. Expert Rev. Gastroenterol. Hepatol. 2020, 14, 499–509. [Google Scholar] [CrossRef]
- Jeong, S.-H.; Kim, J.W.; Kim, H.M. Prevalence of Regional Lymph Node Metastasis of Mucosal Gastric Signet Ring Cell Carcinoma: Analysis of the Collaborative Stage Data Survey of the Korean Central Cancer Registry. Dig. Surg. 2021, 38, 330–336. [Google Scholar] [CrossRef]
- Zhang, L.; Ma, Y.; Liu, B. Prognostic Performance of three lymph node staging systems on gastric cancer. Cancer 2023, 15, 3170. [Google Scholar] [CrossRef]
- Liu, X.; Cai, H.; Sheng, W.; Yu, L.; Long, Z.; Shi, Y.; Wang, Y. Clinicopathological Characteristics and Survival Outcomes of Primary Signet Ring Cell Carcinoma in the Stomach: Retrospective Analysis of Single Center Database. PLoS ONE 2015, 10, e0144420. [Google Scholar] [CrossRef]
- Chen, J.-N.; Wang, Q.-W.; Zhang, Q.-W.; Tang, Z.-R.; Li, X.-B. Poorly differentiated is more significant than signet ring cell component for lymph node metastasis in mixed-type early gastric cancer: A retrospective study from a large-volume hospital. Surg. Endosc. 2020, 35, 1558–1565. [Google Scholar] [CrossRef]
- Lee, H.H.; Song, K.Y.; Park, C.H.; Jeon, H.M. Undifferentiated-type gastric adenocarcinoma: Prognostic impact of three histological types. World J. Surg. Oncol. 2012, 10, 254. [Google Scholar] [CrossRef]
- Hyung, W.J.; Noh, S.H.; Lee, J.H.; Huh, J.J.; Lah, K.H.; Choi, S.H.; Min, J.S. Early gastric carcinoma with signet ring cell histology. Cancer 2001, 94, 78–83. [Google Scholar] [CrossRef]
- Jin, X.; Wu, W.; Zhao, J.; Song, S.; Zhang, C.; Sun, W.; Lv, B. Clinical Features and Risk Factors for Lymph Node Metastasis in Early Signet Ring Cell Gastric Cancer. Front. Oncol. 2021, 11, 630675. [Google Scholar] [CrossRef] [PubMed]
- Shu, Y.; Zhang, W.; Hou, Q.; Zhao, L.; Zhang, S.; Zhou, J.; Song, X.; Zhang, Y.; Jiang, D.; Chen, X.; et al. Prognostic significance of frequent CLDN18-ARHGAP26/6 fusion in gastric signet-ring cell cancer. Nat. Commun. 2018, 9, 2447. [Google Scholar] [CrossRef] [PubMed]
- Phoo, N.L.L.; Dejkriengkraikul, P.; Khaw-On, P.; Yodkeeree, S. Transcriptomic Profiling Reveals AKR1C1 and AKR1C3 Mediate Cisplatin Resistance in Signet Ring Cell Gastric Carcinoma via Autophagic Cell Death. Int. J. Mol. Sci. 2021, 22, 12512. [Google Scholar] [CrossRef] [PubMed]
- Li, Y.; Zhu, Z.; Ma, F.; Xue, L.; Tian, Y. Improving survival of stage II-III primary gastric signet ring cell carcinoma by adjuvant chemoradiotherapy. Cancer Med. 2020, 9, 6617–6628. [Google Scholar] [CrossRef]
- Zhao, W.; Jia, Y.; Sun, G.; Yang, H.; Liu, L.; Qu, X.; Ding, J.; Yu, H.; Xu, B.; Zhao, S.; et al. Single cell analysis of gastric cancer cell carcinoma reveals cytological and immune microenviromentt features. Nat. Commun. 2023, 14, 2985. [Google Scholar] [CrossRef]
- Chen, J.; Liu, K.; Luo, Y.; Kang, M.; Wang, J.; Chen, G.; Chen, J. Single-cell profiling of tumor immune microenvironmet reveals immune irresponsiveness in gastric sig-net-ring cell carcinoma. Gastroenterology 2023, 165, 88–103. [Google Scholar] [CrossRef]
- Ushiku, T.; Ishikawa, S.; Kakiuchi, M.; Tanaka, A.; Katoh, H.; Aburatani, H.; Lauwers, G.Y.; Fukayama, M. RHOA mutation in diffuse-type gastric cancer: A comparative clinicopathology analysis of 87 cases. Gastric Cancer 2015, 19, 403–411. [Google Scholar] [CrossRef]
- Roviello, F.; Marano, L.; Ambrosio, M.R.; Resca, L.; D’Ignazio, A.; Petrelli, F.; Petrioli, R.; Costantini, M.; Polom, K.; Macchiarelli, R.; et al. Signet ring cell percentage in poorly cohesive gastric cancer patients: A potential novel predictor of survival. Eur. J. Surg. Oncol. 2021, 48, 561–569. [Google Scholar] [CrossRef]







| Clinical Pathological Characteristics | GSRCC (n = 75) | N-SRCC (n = 316) | p | ||
|---|---|---|---|---|---|
| Age | |||||
| <75 >75 | 53 22 | 160 156 | 0.001 | ||
| Gender: | |||||
| Male Female | 38 37 | 211 105 | 0.004 | ||
| Preoperative Albumin: | |||||
| <3.7 >3.7 | 40 33 | 127 176 | 0.60 | ||
| N/L | |||||
| <2.67 >2.67 | 47 25 | 145 158 | 0.007 | ||
| Tumor Location: | |||||
| Proximal Distant | 31 40 | 101 199 | 0.18 | ||
| Surgery | |||||
| Subtotal Gastrectomy Total Gastrectomy Other | 40 29 6 | 199 101 15 | 0.21 | ||
| Lymphadenectomy Level: | |||||
| D1 D2 D2+ | 22 40 12 | 102 159 46 | 0.84 | ||
| EGC AGC | 11 63 | 68 248 | 0.26 | ||
| pT | |||||
| 1 2 3 4a 4b | 11 9 23 21 8 | 67 39 90 89 25 | 0.74 | ||
| pN | |||||
| 0 1 2 3a 3b | 19 5 7 17 24 | 116 42 59 58 36 | 0.0001 | ||
| Stage | |||||
| I II III IV | 17 6 20 31 | 80 65 87 83 | 0.01 | ||
| Lymph node Harvested: | |||||
| <27 >27 | 44 26 | 135 173 | 0.004 | ||
| Ln ratio: | |||||
| <0.13 >0.13 | 27 43 | 165 142 | 0.02 | ||
| Veno-Lympathic. Invasion | |||||
| Yes No | 39 11 | 143 64 | 0.23 | ||
| Perineural Invasion | |||||
| Yes No | 39 9 | 114 83 | 0.002 | ||
| Peritoneal cytology: | |||||
| Positive Negative | 17 37 | 41 166 | 0.06 | ||
| Completeness of Surgery: | |||||
| R0 R1 R2 | 39 23 3 | 225 45 4 | 0.005 | ||
| Chemotherapy: | |||||
| Neoadjuvant: | |||||
| Y N | 10 62 | 47 265 | 0.80 | ||
| Adjuvant: | |||||
| Y N | 19 12 | 77 52 | 0.80 | ||
| Recurrences: | |||||
| None Local Hematological Lymph node Peritoneal More than 1 location | 36 4 1 2 7 0 | 190 6 15 2 19 8 | 0.04 | ||
| Clinical Pathological Variables | Hazard Ratio | 95.0% CI | p | |
|---|---|---|---|---|
| Lower | Upper | |||
| Age | 1.563 | 0.962 | 2.540 | 0.071 |
| Sex | 1.442 | 0.898 | 2.317 | 0.130 |
| Albumin Level | 1.629 | 1.000 | 2.653 | 0.050 |
| N/L Ratio | 0.755 | 0.494 | 1.155 | 0.195 |
| Venolymphatic. Invasion | 0.909 | 0.421 | 1.962 | 0.807 |
| Perineural Invasion | 0.805 | 0.465 | 1.396 | 0.441 |
| Harvested Node | 0.701 | 0.392 | 1.253 | 0.230 |
| Lymph Nodal Ratio | 1.915 | 0.890 | 4.118 | 0.096 |
| Surgical Radicality | 2.324 | 1.421 | 3.800 | 0.001 |
| Type of surgery | 1.027 | 0.707 | 1.492 | 0.887 |
| Lymphadenectomy | 0.403 | 0.269 | 0.603 | 0.000 |
| Peritoneal Cytology | 1.013 | 0.705 | 1.457 | 0.943 |
| pT | 0.928 | 0.672 | 1.282 | 0.650 |
| pN | 0.975 | 0.735 | 1.293 | 0.860 |
| pStage | 1.949 | 1.316 | 2.885 | 0.001 |
Disclaimer/Publisher’s Note: The statements, opinions and data contained in all publications are solely those of the individual author(s) and contributor(s) and not of MDPI and/or the editor(s). MDPI and/or the editor(s) disclaim responsibility for any injury to people or property resulting from any ideas, methods, instructions or products referred to in the content. |
© 2023 by the authors. Licensee MDPI, Basel, Switzerland. This article is an open access article distributed under the terms and conditions of the Creative Commons Attribution (CC BY) license (https://creativecommons.org/licenses/by/4.0/).
Share and Cite
Graziosi, L.; Marino, E.; Natalizi, N.; Donini, A. Prognostic Survival Significance of Signet Ring Cell (SRC) Gastric Cancer: Retrospective Analysis from a Single Western Center. J. Pers. Med. 2023, 13, 1157. https://doi.org/10.3390/jpm13071157
Graziosi L, Marino E, Natalizi N, Donini A. Prognostic Survival Significance of Signet Ring Cell (SRC) Gastric Cancer: Retrospective Analysis from a Single Western Center. Journal of Personalized Medicine. 2023; 13(7):1157. https://doi.org/10.3390/jpm13071157
Chicago/Turabian StyleGraziosi, Luigina, Elisabetta Marino, Nicola Natalizi, and Annibale Donini. 2023. "Prognostic Survival Significance of Signet Ring Cell (SRC) Gastric Cancer: Retrospective Analysis from a Single Western Center" Journal of Personalized Medicine 13, no. 7: 1157. https://doi.org/10.3390/jpm13071157
APA StyleGraziosi, L., Marino, E., Natalizi, N., & Donini, A. (2023). Prognostic Survival Significance of Signet Ring Cell (SRC) Gastric Cancer: Retrospective Analysis from a Single Western Center. Journal of Personalized Medicine, 13(7), 1157. https://doi.org/10.3390/jpm13071157
