A Novel Prognostic Prediction Model Based on Pyroptosis-Related Clusters for Breast Cancer
Abstract
1. Introduction
2. Methods
2.1. RNA-Seq and Clinical Datasets
2.2. Identification of Pyroptosis-Related Clusters
2.3. Bioinformatic Analysis of the Two Pyroptosis-Related Clusters
2.4. Risk Prognostic Model Construction and Evaluation
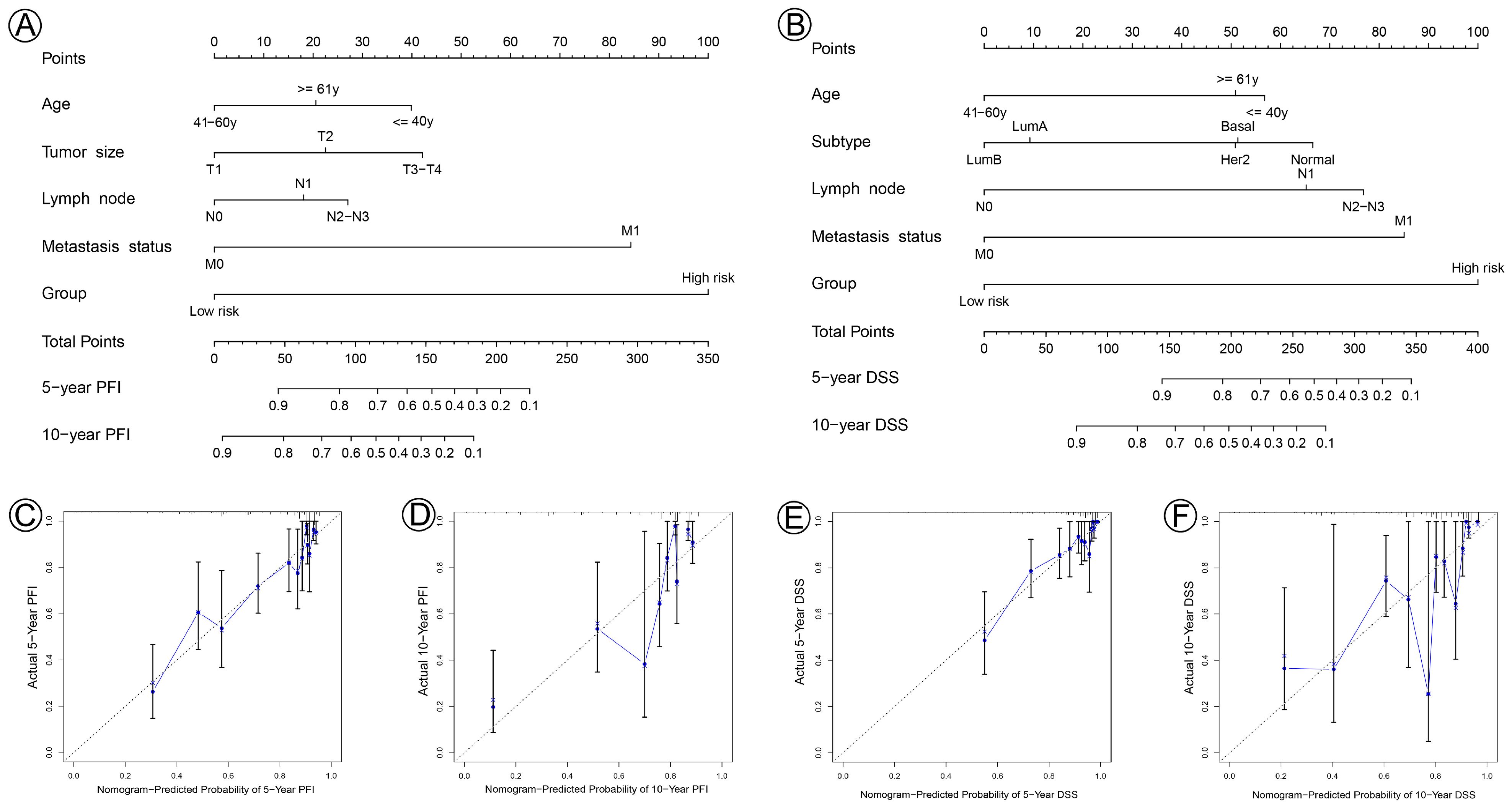
2.5. Nomogram Construction
2.6. Statistical Analyses
3. Results
3.1. Identification of Pyroptosis-Related Clusters
3.2. Identification of DEGs and Bioinformatic Analysis of the Two Pyroptosis-Related Clusters
3.3. Construction of Risk Model Based on Pyroptosis-Related DEGs
3.4. Clinicopathological Features
3.5. 56-Gene Signature Associated with Prognosis of Patients with BC
3.6. Evaluation of the Predictive Power of the Prognostic Signature
3.7. Nomogram Development
3.8. Relevance of the Prognostic Signature in Clinical Decision-Making
4. Discussion
5. Conclusions
6. Risk Calculation Formula
Supplementary Materials
Author Contributions
Funding
Institutional Review Board Statement
Informed Consent Statement
Data Availability Statement
Acknowledgments
Conflicts of Interest
Abbreviation
| Abbreviation | Full Name |
| AJCC | American Joint Committee on Cancer |
| AUC | Area under the curve |
| BC | Breast cancer |
| CI | Confidence intervals |
| DGEs | Differential gene expressions |
| DSS | Disease-specific survival |
| GDC | Genomic Data Commons |
| HER2 | Human epidermal growth factor receptor 2 |
| HR | Hazard ratio |
| KM | Kaplan–Meier |
| PFI | Progression-free interval |
| ROC | Receiver operating characteristic |
| OS | Overall survival |
| TCGA | The Cancer Genome Atlas |
| TNM | T, tumor size, N, lymph node status, M, metastasis status |
References
- Sung, H.; Ferlay, J.; Siegel, R.L.; Laversanne, M.; Soerjomataram, I.; Jemal, A.; Bray, F. Global Cancer Statistics 2020: GLOBOCAN Estimates of Incidence and Mortality Worldwide for 36 Cancers in 185 Countries. CA A Cancer J. Clin. 2021, 71, 209–249. [Google Scholar] [CrossRef] [PubMed]
- Łukasiewicz, S.; Czeczelewski, M.; Forma, A.; Baj, J.; Sitarz, R.; Stanisławek, A. Breast Cancer-Epidemiology, Risk Factors, Classification, Prognostic Markers, and Current Treatment Strategies-An Updated Review. Cancers 2021, 13, 4287. [Google Scholar] [CrossRef] [PubMed]
- Harbeck, N.; Gnant, M. Breast cancer. Lancet 2017, 389, 1134–1150. [Google Scholar] [CrossRef] [PubMed]
- Amin, M.B.; Greene, F.L.; Edge, S.B.; Compton, C.C.; Gershenwald, J.E.; Brookland, R.K.; Meyer, L.; Gress, D.M.; Byrd, D.R.; Winchester, D.P. The Eighth Edition AJCC Cancer Staging Manual: Continuing to build a bridge from a population-based to a more “personalized” approach to cancer staging. CA A Cancer J. Clin. 2017, 67, 93–99. [Google Scholar] [CrossRef]
- Mucaki, E.J.; Zhao, J.Z.L.; Lizotte, D.J.; Rogan, P.K. Predicting responses to platin chemotherapy agents with biochemically-inspired machine learning. Signal Transduct. Target. Ther. 2019, 4, 1. [Google Scholar] [CrossRef] [PubMed]
- de Munck, L.; Fracheboud, J.; de Bock, G.H.; den Heeten, G.J.; Siesling, S.; Broeders, M.J.M. Is the incidence of advanced-stage breast cancer affected by whether women attend a steady-state screening program? Int. J. Cancer 2018, 143, 842–850. [Google Scholar] [CrossRef]
- Waks, A.G.; Winer, E.P. Breast Cancer Treatment: A Review. JAMA 2019, 321, 288–300. [Google Scholar] [CrossRef]
- Gao, J.J.; Swain, S.M. Luminal A Breast Cancer and Molecular Assays: A Review. Oncologist 2018, 23, 556–565. [Google Scholar] [CrossRef]
- Ades, F.; Zardavas, D.; Bozovic-Spasojevic, I.; Pugliano, L.; Fumagalli, D.; de Azambuja, E.; Viale, G.; Sotiriou, C.; Piccart, M. Luminal B breast cancer: Molecular characterization, clinical management, and future perspectives. J. Clin. Oncol. 2014, 32, 2794–2803. [Google Scholar] [CrossRef]
- Escrivá-de-Romaní, S.; Arumí, M.; Bellet, M.; Saura, C. HER2-positive breast cancer: Current and new therapeutic strategies. Breast 2018, 39, 80–88. [Google Scholar] [CrossRef]
- Loibl, S.; Gianni, L. HER2-positive breast cancer. Lancet 2017, 389, 2415–2429. [Google Scholar] [CrossRef] [PubMed]
- Won, K.-A.; Spruck, C. Triple-negative breast cancer therapy: Current and future perspectives (Review). Int. J. Oncol. 2020, 57, 1245–1261. [Google Scholar] [CrossRef] [PubMed]
- Yin, L.; Duan, J.-J.; Bian, X.-W.; Yu, S.-C. Triple-negative breast cancer molecular subtyping and treatment progress. Breast Cancer Res. 2020, 22, 61. [Google Scholar] [CrossRef] [PubMed]
- Jelski, W.; Chrostek, L.; Szmitkowski, M.; Markiewicz, W. The activity of class I, II, III and IV alcohol dehydrogenase isoenzymes and aldehyde dehydrogenase in breast cancer. Clin. Exp. Med. 2006, 6, 89–93. [Google Scholar] [CrossRef] [PubMed]
- Jelski, W.; Chrostek, L.; Markiewicz, W.; Szmitkowski, M. Activity of alcohol dehydrogenase (ADH) isoenzymes and aldehyde dehydrogenase (ALDH) in the sera of patients with breast cancer. J. Clin. Lab. Anal. 2006, 20, 105–108. [Google Scholar] [CrossRef] [PubMed]
- Nicolini, A.; Ferrari, P.; Duffy, M.J. Prognostic and predictive biomarkers in breast cancer: Past, present and future. Semin. Cancer Biol. 2018, 52, 56–73. [Google Scholar] [CrossRef]
- Paik, S.; Shak, S.; Tang, G.; Kim, C.; Baker, J.; Cronin, M.; Baehner, F.L.; Walker, M.G.; Watson, D.; Park, T.; et al. A multigene assay to predict recurrence of tamoxifen-treated, node-negative breast cancer. N. Engl. J. Med. 2004, 351, 2817–2826. [Google Scholar] [CrossRef]
- van de Vijver, M.J.; He, Y.D.; van’t Veer, L.J.; Dai, H.; Hart, A.A.M.; Voskuil, D.W.; Schreiber, G.J.; Peterse, J.L.; Roberts, C.; Marton, M.J.; et al. A gene-expression signature as a predictor of survival in breast cancer. N. Engl. J. Med. 2002, 347, 1999–2009. [Google Scholar] [CrossRef]
- Basu, A.; Ramamoorthi, G.; Jia, Y.; Faughn, J.; Wiener, D.; Awshah, S.; Kodumudi, K.; Czerniecki, B.J. Immunotherapy in breast cancer: Current status and future directions. Adv. Cancer Res. 2019, 143, 295–349. [Google Scholar] [CrossRef]
- Franzoi, M.A.; Romano, E.; Piccart, M. Immunotherapy for early breast cancer: Too soon, too superficial, or just right? Ann. Oncol. 2021, 32, 323–336. [Google Scholar] [CrossRef]
- Pitt, J.M.; Marabelle, A.; Eggermont, A.; Soria, J.C.; Kroemer, G.; Zitvogel, L. Targeting the tumor microenvironment: Removing obstruction to anticancer immune responses and immunotherapy. Ann. Oncol. 2016, 27, 1482–1492. [Google Scholar] [CrossRef] [PubMed]
- Bejarano, L.; Jordāo, M.J.C.; Joyce, J.A. Therapeutic Targeting of the Tumor Microenvironment. Cancer Discov. 2021, 11, 933–959. [Google Scholar] [CrossRef] [PubMed]
- Fang, Y.; Tian, S.; Pan, Y.; Li, W.; Wang, Q.; Tang, Y.; Yu, T.; Wu, X.; Shi, Y.; Ma, P.; et al. Pyroptosis: A new frontier in cancer. Biomed. Pharmacother. 2020, 121, 109595. [Google Scholar] [CrossRef]
- Xia, X.; Wang, X.; Cheng, Z.; Qin, W.; Lei, L.; Jiang, J.; Hu, J. The role of pyroptosis in cancer: Pro-cancer or pro-”host”? Cell Death Dis. 2019, 10, 650. [Google Scholar] [CrossRef]
- Liu, X.; Xia, S.; Zhang, Z.; Wu, H.; Lieberman, J. Channelling inflammation: Gasdermins in physiology and disease. Nat. Rev. Drug Discov. 2021, 20, 384–405. [Google Scholar] [CrossRef] [PubMed]
- Loveless, R.; Bloomquist, R.; Teng, Y. Pyroptosis at the forefront of anticancer immunity. J. Exp. Clin. Cancer Res. 2021, 40, 264. [Google Scholar] [CrossRef]
- Gourgou-Bourgade, S.; Cameron, D.; Poortmans, P.; Asselain, B.; Azria, D.; Cardoso, F.; A’Hern, R.; Bliss, J.; Bogaerts, J.; Bonnefoi, H.; et al. Guidelines for time-to-event end point definitions in breast cancer trials: Results of the DATECAN initiative (Definition for the Assessment of Time-to-event Endpoints in CANcer trials)†. Ann. Oncol. 2015, 26, 873–879. [Google Scholar] [CrossRef]
- Thorsson, V.; Gibbs, D.L.; Brown, S.D.; Wolf, D.; Bortone, D.S.; Ou Yang, T.-H.; Porta-Pardo, E.; Gao, G.F.; Plaisier, C.L.; Eddy, J.A.; et al. The Immune Landscape of Cancer. Immunity 2018, 48, 812–830.e814. [Google Scholar] [CrossRef]
- Tian, B.; Hou, M.; Zhou, K.; Qiu, X.; Du, Y.; Gu, Y.; Yin, X.; Wang, J. A Novel TCGA-Validated, MiRNA-Based Signature for Prediction of Breast Cancer Prognosis and Survival. Front. Cell Dev. Biol. 2021, 9, 717462. [Google Scholar] [CrossRef]
- Li, J.; Chen, Z.; Su, K.; Zeng, J. Clinicopathological classification and traditional prognostic indicators of breast cancer. Int. J. Clin. Exp. Pathol. 2015, 8, 8500–8505. [Google Scholar]
- Anders, C.K.; Johnson, R.; Litton, J.; Phillips, M.; Bleyer, A. Breast cancer before age 40 years. Semin. Oncol. 2009, 36, 237–249. [Google Scholar] [CrossRef] [PubMed]
- Parker, J.S.; Mullins, M.; Cheang, M.C.U.; Leung, S.; Voduc, D.; Vickery, T.; Davies, S.; Fauron, C.; He, X.; Hu, Z.; et al. Supervised risk predictor of breast cancer based on intrinsic subtypes. J. Clin. Oncol. 2009, 27, 1160–1167. [Google Scholar] [CrossRef]
- Tolaney, S.M.; Guo, H.; Pernas, S.; Barry, W.T.; Dillon, D.A.; Ritterhouse, L.; Schneider, B.P.; Shen, F.; Fuhrman, K.; Baltay, M.; et al. Seven-Year Follow-Up Analysis of Adjuvant Paclitaxel and Trastuzumab Trial for Node-Negative, Human Epidermal Growth Factor Receptor 2-Positive Breast Cancer. J. Clin. Oncol. 2019, 37, 1868–1875. [Google Scholar] [CrossRef]
- Lænkholm, A.-V.; Jensen, M.-B.; Eriksen, J.O.; Rasmussen, B.B.; Knoop, A.S.; Buckingham, W.; Ferree, S.; Schaper, C.; Nielsen, T.O.; Haffner, T.; et al. PAM50 Risk of Recurrence Score Predicts 10-Year Distant Recurrence in a Comprehensive Danish Cohort of Postmenopausal Women Allocated to 5 Years of Endocrine Therapy for Hormone Receptor-Positive Early Breast Cancer. J. Clin. Oncol. 2018, 36, 735–740. [Google Scholar] [CrossRef]
- Liang, Y.; Zhang, H.; Song, X.; Yang, Q. Metastatic heterogeneity of breast cancer: Molecular mechanism and potential therapeutic targets. Semin. Cancer Biol. 2020, 60, 14–27. [Google Scholar] [CrossRef]
- Hsu, S.-K.; Li, C.-Y.; Lin, I.L.; Syue, W.-J.; Chen, Y.-F.; Cheng, K.-C.; Teng, Y.-N.; Lin, Y.-H.; Yen, C.-H.; Chiu, C.-C. Inflammation-related pyroptosis, a novel programmed cell death pathway, and its crosstalk with immune therapy in cancer treatment. Theranostics 2021, 11, 8813–8835. [Google Scholar] [CrossRef] [PubMed]
- Zhou, Z.; He, H.; Wang, K.; Shi, X.; Wang, Y.; Su, Y.; Wang, Y.; Li, D.; Liu, W.; Zhang, Y.; et al. Granzyme A from cytotoxic lymphocytes cleaves GSDMB to trigger pyroptosis in target cells. Science 2020, 368, eaaz7548. [Google Scholar] [CrossRef] [PubMed]
- Megha, K.B.; Mohanan, P.V. Role of immunoglobulin and antibodies in disease management. Int. J. Biol. Macromol. 2021, 169, 28–38. [Google Scholar] [CrossRef] [PubMed]
- Perez, E.E.; Orange, J.S.; Bonilla, F.; Chinen, J.; Chinn, I.K.; Dorsey, M.; El-Gamal, Y.; Harville, T.O.; Hossny, E.; Mazer, B.; et al. Update on the use of immunoglobulin in human disease: A review of evidence. J. Allergy Clin. Immunol. 2017, 139, S1–S46. [Google Scholar] [CrossRef]
- Alcover, A.; Alarcón, B.; Di Bartolo, V. Cell Biology of T Cell Receptor Expression and Regulation. Annu. Rev. Immunol. 2018, 36, 103–125. [Google Scholar] [CrossRef] [PubMed]
- Piedra-Quintero, Z.L.; Wilson, Z.; Nava, P.; Guerau-de-Arellano, M. CD38: An Immunomodulatory Molecule in Inflammation and Autoimmunity. Front. Immunol. 2020, 11, 597959. [Google Scholar] [CrossRef] [PubMed]
- McArdel, S.L.; Terhorst, C.; Sharpe, A.H. Roles of CD48 in regulating immunity and tolerance. Clin. Immunol. 2016, 164, 10–20. [Google Scholar] [CrossRef] [PubMed]
- Masi, M.; Garattini, E.; Bolis, M.; Di Marino, D.; Maraccani, L.; Morelli, E.; Grolla, A.A.; Fagiani, F.; Corsini, E.; Travelli, C.; et al. OXER1 and RACK1-associated pathway: A promising drug target for breast cancer progression. Oncogenesis 2020, 9, 105. [Google Scholar] [CrossRef] [PubMed]
- Buoso, E.; Masi, M.; Long, A.; Chiappini, C.; Travelli, C.; Govoni, S.; Racchi, M. Ribosomes as a nexus between translation and cancer progression: Focus on ribosomal Receptor for Activated C Kinase 1 (RACK1) in breast cancer. Br. J. Pharmacol. 2022, 179, 2813–2828. [Google Scholar] [CrossRef]
- Corsini, E.; Buoso, E.; Galbiati, V.; Racchi, M. Role of Protein Kinase C in Immune Cell Activation and Its Implication Chemical-Induced Immunotoxicity. Adv. Exp. Med. Biol. 2021, 1275, 151–163. [Google Scholar] [CrossRef]
- Wei, X.; Xie, F.; Zhou, X.; Wu, Y.; Yan, H.; Liu, T.; Huang, J.; Wang, F.; Zhou, F.; Zhang, L. Role of pyroptosis in inflammation and cancer. Cell Mol. Immunol. 2022, 19, 971–992. [Google Scholar] [CrossRef]
- Jiang, Y.-Z.; Ma, D.; Suo, C.; Shi, J.; Xue, M.; Hu, X.; Xiao, Y.; Yu, K.-D.; Liu, Y.-R.; Yu, Y.; et al. Genomic and Transcriptomic Landscape of Triple-Negative Breast Cancers: Subtypes and Treatment Strategies. Cancer Cell 2019, 35, 428–440. [Google Scholar] [CrossRef]
- Jiang, Y.-Z.; Liu, Y.; Xiao, Y.; Hu, X.; Jiang, L.; Zuo, W.-J.; Ma, D.; Ding, J.; Zhu, X.; Zou, J.; et al. Molecular subtyping and genomic profiling expand precision medicine in refractory metastatic triple-negative breast cancer: The FUTURE trial. Cell Res. 2021, 31, 178–186. [Google Scholar] [CrossRef]
- Ping, L.; Zhang, K.; Ou, X.; Qiu, X.; Xiao, X. A Novel Pyroptosis-Associated Long Non-coding RNA Signature Predicts Prognosis and Tumor Immune Microenvironment of Patients With Breast Cancer. Front. Cell Dev. Biol. 2021, 9, 727183. [Google Scholar] [CrossRef]
- Wu, J.; Zhu, Y.; Luo, M.; Li, L. Comprehensive Analysis of Pyroptosis-Related Genes and Tumor Microenvironment Infiltration Characterization in Breast Cancer. Front. Immunol. 2021, 12, 748221. [Google Scholar] [CrossRef]
- Xu, D.; Ji, Z.; Qiang, L. Molecular Characteristics, Clinical Implication, and Cancer Immunity Interactions of Pyroptosis-Related Genes in Breast Cancer. Front. Med. 2021, 8, 702638. [Google Scholar] [CrossRef] [PubMed]
- Gao, L.; Li, Q. Identification of Novel Pyroptosis-Related lncRNAs Associated with the Prognosis of Breast Cancer Through Interactive Analysis. Cancer Manag. Res. 2021, 13, 7175–7186. [Google Scholar] [CrossRef] [PubMed]












| Variable | Training Dataset | Validation Dataset | ||||||||
|---|---|---|---|---|---|---|---|---|---|---|
| Total | Risk Group | χ2 | p Value | Total | Risk Group | χ2 | p Value | |||
| Low | High | Low | High | |||||||
| n = 1025 | n = 717 | n = 308 | n = 512 | n = 355 | n = 157 | |||||
| Age, year | ||||||||||
| ≦40 | 94 | 70 | 24 | 6.429 | 0.040 | 45 | 33 | 12 | 5.661 | 0.059 |
| 41–60 | 473 | 345 | 128 | 243 | 179 | 64 | ||||
| ≧61 | 458 | 302 | 156 | 224 | 143 | 81 | ||||
| Subtype (PAM50) | ||||||||||
| LumA | 480 | 357 | 123 | 10.957 | 0.027 | 54 | 35 | 19 | 6.174 | 0.187 |
| LumB | 176 | 110 | 66 | 253 | 186 | 67 | ||||
| HER2 | 70 | 48 | 22 | 86 | 53 | 33 | ||||
| Basal | 170 | 111 | 59 | 39 | 29 | 10 | ||||
| Normal | 129 | 91 | 38 | 80 | 52 | 28 | ||||
| Tumor size | ||||||||||
| T1 | 261 | 194 | 67 | 5.926 | 0.052 | 119 | 90 | 29 | 3.515 | 0.172 |
| T2 | 601 | 420 | 181 | 307 | 210 | 97 | ||||
| T3–T4 | 163 | 103 | 60 | 86 | 55 | 31 | ||||
| Lymph node status | ||||||||||
| N0 | 498 | 351 | 147 | 5.650 | 0.059 | 246 | 170 | 76 | 2.033 | 0.362 |
| N1 | 343 | 250 | 93 | 168 | 122 | 46 | ||||
| N2–N3 | 184 | 116 | 68 | 98 | 63 | 35 | ||||
| Metastasis status | ||||||||||
| M0 | 1009 | 712 | 297 | 11.582 | 0.001 | 502 | 352 | 150 | 7.243 | 0.011 a |
| M1 | 16 | 5 | 11 | 10 | 3 | 7 | ||||
| Variables | Progression-Free Interval | Disease-Specific Survival | ||||||||||
|---|---|---|---|---|---|---|---|---|---|---|---|---|
| Univariate | Multivariate | Univariate | Multivariate | |||||||||
| HR | 95% CI | p Value | HR | 95% CI | p Value | HR | 95% CI | p Value | HR | 95% CI | p Value | |
| Age | ||||||||||||
| 41–60 year | 0.468 | 0.285–0.769 | 0.003 | 0.5014 | 0.299–0.841 | 0.009 | 0.446 | 0.228–0.439 | 0.018 | 0.445 | 0.217–0.912 | 0.027 |
| ≧61 year | 0.686 | 0.421–1.119 | 0.131 | 0.716 | 0.431–1.191 | 0.198 | 0.834 | 0.439–1.585 | 0.580 | 0.972 | 0.494–1.912 | 0.935 |
| Subtype (PAM50) | ||||||||||||
| Luminal-A | 0.675 | 0.416–1.095 | 0.112 | 0.417 | 0.222–0.783 | 0.006 | 0.414 | 0.218–0.787 | 0.007 | |||
| Luminal-B | 0.694 | 0.370–1.301 | 0.255 | 0.589 | 0.269–1.289 | 0.185 | 0.378 | 0.168–0.851 | 0.019 | |||
| HER2 | 1.040 | 0.485–2.230 | 0.920 | 0.757 | 0.279–2.054 | 0.584 | 0.810 | 0.291–2.258 | 0.687 | |||
| Basal-like | 1.217 | 0.712–2.081 | 0.473 | 0.910 | 0.464–1.787 | 0.785 | 0.841 | 0.415–1.706 | 0.632 | |||
| Tumor size | ||||||||||||
| T2 | 1.865 | 1.144–3.042 | 0.013 | 1.476 | 0.891–2.447 | 0.131 | 1.656 | 0.881–3.110 | 0.117 | 0.994 | 0.508–1.947 | 0.986 |
| T3–T4 | 3.643 | 2.131–6.228 | <0.001 | 2.073 | 1.145–3.751 | 0.016 | 3.126 | 1.561–6.257 | 0.001 | 1.483 | 0.682–3.228 | 0.320 |
| Lymph node status | ||||||||||||
| N1 | 1.670 | 1.106–2.522 | 0.015 | 1.367 | 0.893–2.094 | 0.150 | 2.723 | 1.538–4.822 | 0.001 | 2.592 | 1.421–4.730 | 0.002 |
| N2–N3 | 3.151 | 2.015–4.929 | <0.001 | 1.597 | 0.953–2.677 | 0.075 | 4.137 | 2.186–7.830 | <0.001 | 2.767 | 1.327–5.773 | 0.007 |
| Metastasis status | ||||||||||||
| M1 | 7.804 | 4.386–13.900 | <0.001 | 4.305 | 2.261–8.194 | <0.001 | 7.053 | 3.489–14.260 | <0.001 | 3.553 | 1.617–7.807 | 0.002 |
| Risk group | ||||||||||||
| High-risk | 6.257 | 4.331–9.039 | <0.001 | 5.643 | 3.894–8.175 | <0.001 | 5.520 | 3.407–8.944 | <0.001 | 4.578 | 2.797–7.494 | <0.001 |
| Progression-Free Interval | Disease-Specific Survival | |||||||||
|---|---|---|---|---|---|---|---|---|---|---|
| Regrouping Factors | Subgroup | Sample Size | Kaplan–Meier | ROC | Kaplan–Meier | ROC | ||||
| p Value | AUC | 95% CI | p Value | p Value | AUC | 95% CI | p Value | |||
| Age, y | ||||||||||
| ≦40 | 94 | <0.001 | 0.796 | 0.693–0.899 | <0.001 | 0.001 | 0.771 | 0.661–0.881 | 0.002 | |
| 41–60 | 473 | <0.001 | 0.765 | 0.703–0.808 | <0.001 | <0.001 | 0.718 | 0.619–0.817 | <0.001 | |
| ≧61 | 458 | <0.001 | 0.781 | 0.715–0.847 | <0.001 | <0.001 | 0.762 | 0.680–0.844 | <0.001 | |
| Tumor size status | ||||||||||
| T1 | 261 | <0.001 | 0.756 | 0.661–0.850 | <0.001 | 0.003 | 0.731 | 0.589–0.873 | 0.005 | |
| T2 | 601 | <0.001 | 0.758 | 0.700–0.816 | <0.001 | <0.001 | 0.715 | 0.641–0.789 | <0.001 | |
| T3–T4 | 163 | <0.001 | 0.785 | 0.702–0.867 | <0.001 | <0.001 | 0.789 | 0.648–0.894 | <0.001 | |
| Lymph node status | ||||||||||
| N0 | 498 | <0.001 | 0.819 | 0.762–0.875 | <0.001 | <0.001 | 0.805 | 0.717–0.894 | <0.001 | |
| N1 | 343 | <0.001 | 0.733 | 0.665–0.801 | <0.001 | <0.001 | 0.694 | 0.613–0.775 | <0.001 | |
| N2–N3 | 184 | <0.001 | 0.764 | 0.676–0.853 | <0.001 | <0.001 | 0.797 | 0.691–0.904 | <0.001 | |
| Metastasis status | ||||||||||
| M0 | 1009 | <0.001 | 0.764 | 0.721–0.808 | <0.001 | <0.001 | 0.737 | 0.677–0.796 | <0.001 | |
| M1 | 16 | 0.012 | 0.385 | 0.014–0.755 | 0.545 | 0.200 | 0.537 | 0.221–0.853 | 0.814 | |
| Subtype (PAM50) | ||||||||||
| Normal like | 129 | <0.001 | 0.783 | 0.689–0.876 | <0.001 | 0.025 | 0.735 | 0.618–0.853 | 0.002 | |
| Luminal-A | 480 | <0.001 | 0.744 | 0.673–0.815 | <0.001 | <0.001 | 0.698 | 0.594–0.802 | 0.001 | |
| Luminal-B | 176 | <0.001 | 0.692 | 0.561–0.824 | 0.011 | <0.001 | 0.751 | 0.611–0.891 | 0.008 | |
| HER2 | 70 | <0.001 | 0.854 | 0.753–0.955 | 0.001 | 0.006 | 0.851 | 0.712–0.989 | 0.009 | |
| Basal like | 170 | <0.001 | 0.813 | 0.738–0.888 | <0.001 | <0.001 | 0.789 | 0.684–0.894 | <0.001 | |
Disclaimer/Publisher’s Note: The statements, opinions and data contained in all publications are solely those of the individual author(s) and contributor(s) and not of MDPI and/or the editor(s). MDPI and/or the editor(s) disclaim responsibility for any injury to people or property resulting from any ideas, methods, instructions or products referred to in the content. |
© 2022 by the authors. Licensee MDPI, Basel, Switzerland. This article is an open access article distributed under the terms and conditions of the Creative Commons Attribution (CC BY) license (https://creativecommons.org/licenses/by/4.0/).
Share and Cite
Tian, B.; Yin, K.; Qiu, X.; Sun, H.; Zhao, J.; Du, Y.; Gu, Y.; Wang, X.; Wang, J. A Novel Prognostic Prediction Model Based on Pyroptosis-Related Clusters for Breast Cancer. J. Pers. Med. 2023, 13, 69. https://doi.org/10.3390/jpm13010069
Tian B, Yin K, Qiu X, Sun H, Zhao J, Du Y, Gu Y, Wang X, Wang J. A Novel Prognostic Prediction Model Based on Pyroptosis-Related Clusters for Breast Cancer. Journal of Personalized Medicine. 2023; 13(1):69. https://doi.org/10.3390/jpm13010069
Chicago/Turabian StyleTian, Baoxing, Kai Yin, Xia Qiu, Haidong Sun, Ji Zhao, Yibao Du, Yifan Gu, Xingyun Wang, and Jie Wang. 2023. "A Novel Prognostic Prediction Model Based on Pyroptosis-Related Clusters for Breast Cancer" Journal of Personalized Medicine 13, no. 1: 69. https://doi.org/10.3390/jpm13010069
APA StyleTian, B., Yin, K., Qiu, X., Sun, H., Zhao, J., Du, Y., Gu, Y., Wang, X., & Wang, J. (2023). A Novel Prognostic Prediction Model Based on Pyroptosis-Related Clusters for Breast Cancer. Journal of Personalized Medicine, 13(1), 69. https://doi.org/10.3390/jpm13010069

